Effects of Irrigation Amount and Nitrogen Rate on Cotton Yield, Nitrogen Use Efficiency, and Soil Nitrogen Balance under Drip Irrigation
Abstract
1. Introduction
2. Materials and Methods
2.1. Experimental Site
2.2. Experimental Design
2.3. Sampling and Measurements
2.3.1. Soil Water and Nutrients
2.3.2. Plant N Uptake and N Use Efficiency
2.3.3. Seed Cotton Yield and Irrigation Water Productivity (WPI)
2.3.4. Soil N Balance
2.3.5. Optimization of Irrigation Amount and N Application Rate
2.4. Data Analysis
3. Results
3.1. Dry Matter Accumulation and N Uptake
3.2. Seed Cotton Yield
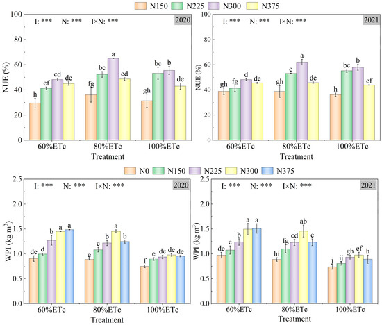
3.3. NUE and WPI
3.4. N Balance in Soil–Plant System
3.4.1. Soil Inorganic N Residues
3.4.2. Soil N Balance
3.5. Multi-Objective Optimization
4. Discussion
4.1. Appropriate Irrigation and N Application Promoted Cotton Growth and N Uptake
4.2. Appropriate Irrigation and N Application Increased Cotton Yield and NUE
4.3. Appropriate Irrigation and N Application Improved Soil N Balance
4.4. Determination of Optimal Ranges of Irrigation Amount and N Application Rate
5. Conclusions
Supplementary Materials
Author Contributions
Funding
Data Availability Statement
Acknowledgments
Conflicts of Interest
References
- Dai, J.; Wang, Z.; Li, F.; He, G.; Wang, S.; Li, Q.; Malhi, S.S. Optimizing nitrogen input by balancing winter wheat yield and residual nitrate-N in soil in a long-term dryland field experiment in the Loess Plateau of China. Field Crop. Res. 2015, 181, 32–41. [Google Scholar] [CrossRef]
- He, Z.; Hu, Q.; Zhang, Y.; Cao, H.; Nan, X. Effects of irrigation and nitrogen management strategies on soil nitrogen and apple yields in loess plateau of China. Agric. Water Manag. 2023, 280, 108220. [Google Scholar] [CrossRef]
- Hu, C.; Xia, X.; Chen, Y.; Qiao, Y.; Liu, D.; Fan, J.; Li, S. Yield, nitrogen use efficiency and balance response to thirty-five years of fertilization in paddy rice-upland wheat cropping system. Plant Soil Environ. 2019, 65, 55–62. [Google Scholar] [CrossRef]
- Wang, T.; Wang, Z.; Zhang, J.; Ma, K. An optimum combination of irrigation amount, irrigation water salinity and nitrogen application rate can improve cotton (for fiber) nitrogen uptake and final yield. Ind. Crops Prod. 2022, 187, 115386. [Google Scholar] [CrossRef]
- Shi, Z.; Liu, D.; Luo, W.; Hafeez, M.B.; Li, J.; Wen, P.; Wang, X. Combined nitrogen and phosphorus management based on nitrate nitrogen threshold for balancing crop yield and soil nitrogen supply capacity. Agric. Ecosyst. Environ. 2022, 337, 108071. [Google Scholar] [CrossRef]
- Luo, Z.; Hu, Q.; Tang, W.; Wang, X.; Lu, H.; Zhang, Z.; Kong, X. Effects of N fertilizer rate and planting density on short-season cotton yield, N agronomic efficiency and soil N using 15N tracing technique. Eur. J. Agron. 2022, 138, 126546. [Google Scholar] [CrossRef]
- Li, B.; Yan, L.; Zhang, W. Study on N application and N reduction potential of farmland in China. Environ. Monit. Assessmen 2023, 195, 1156. [Google Scholar] [CrossRef]
- Adams, A.M.; Gillespie, A.W.; Kar, G.; Koala, S.; Ouattara, B.; Kimaro, A.A.; Peak, D. Long-term effects of reduced fertilizer rates on millet yields and soil properties in the West-African Sahel. Nutr. Cycl. Agroecosystems 2016, 106, 17–29. [Google Scholar] [CrossRef]
- Li, C.; Aluko, O.O.; Yuan, G.; Li, J.; Liu, H. The responses of soil organic carbon and total nitrogen to chemical nitrogen fertilizers reduction base on a meta-analysis. Sci. Rep. 2022, 12, 16326. [Google Scholar] [CrossRef]
- Ren, K.; Xu, M.; Li, R.; Zheng, L.; Liu, S.; Reis, S.; Gu, B. Optimizing nitrogen fertilizer use for more grain and less pollution. J. Clean. Prod. 2022, 360, 132180. [Google Scholar] [CrossRef]
- Yan, L.; Zhang, Z.; Zhang, J.; Gao, Q.; Feng, G.; Abelrahman, A.M.; Chen, Y. Effects of improving nitrogen management on nitrogen utilization, nitrogen balance, and reactive nitrogen losses in a Mollisol with maize monoculture in Northeast China. Environ. Sci. Pollut. Res. Int. 2016, 23, 4576–4584. [Google Scholar] [CrossRef]
- Giacomo, T.; Paolo, B.; Michela, F.; Marcello, G.; Andrea, O.; Francesco, T. Processing tomato–durum wheat rotation under integrated, organic and mulch-based no-tillage organic systems: Yield, N balance and N loss. Agronomy 2019, 9, 718. [Google Scholar] [CrossRef]
- Rocha, K.F.; de Souza, M.; Almeida, D.S.; Chadwick, D.R.; Jones, D.L.; Mooney, S.J.; Rosolem, C.A. Cover crops affect the partial nitrogen balance in a maize-forage cropping system. Geoderma 2020, 360, 114000. [Google Scholar] [CrossRef]
- Xu, M.; Zhang, Y.; Wang, Y.; Wang, L.; Bai, Y.; Lu, Y. Optimizing nitrogen input and nitrogen use efficiency through soil nitrogen balance in a long-term winter wheat-summer maize rotation system in North China. Eur. J. Agron. 2023, 149, 126908. [Google Scholar] [CrossRef]
- Dhawan, G.; Dheri, G.S.; Gill, A.A.S. Long-term use of balanced fertilization decreases nitrogen losses in a maize-wheat system on Inceptisol of north India. Arch. Agron. Soil Sci. 2020, 68, 395–412. [Google Scholar] [CrossRef]
- Frerichs, C.; Glied-Olsen, S.; De Neve, S.; Broll, G.; Daum, D. Crop residue management strategies to reduce nitrogen losses during the winter leaching period after autumn spinach harvest. Agronomy 2022, 12, 653. [Google Scholar] [CrossRef]
- Tian, Y.; Tian, L.; Wang, F.; Shi, X.; Shi, F.; Hao, X.; Yang, G. Optimizing nitrogen application improves its efficiency by higher allocation in bolls of cotton under drip fertigation. Field Crop. Res. 2023, 298, 108968. [Google Scholar] [CrossRef]
- Li, H.; Mei, X.; Wang, J.; Huang, F.; Hao, W.; Li, B. Drip fertigation significantly increased crop yield, water productivity and nitrogen use efficiency with respect to traditional irrigation and fertilization practices: A meta-analysis in China. Agric. Water Manag. 2021, 244, 106534. [Google Scholar] [CrossRef]
- Kiani, M.; Gheysari, M.; Mostafazadeh-Fard, B.; Majidi, M.M.; Karchani, K.; Hoogenboom, G. Effect of the interaction of water and nitrogen on sunflower under drip irrigation in an arid region. Agric. Water Manag. 2016, 171, 162–172. [Google Scholar] [CrossRef]
- Wang, Y.; Shi, W.; Jing, B. Optimizing brackish water and nitrogen application regimes for soil salinity, yield, fertilizer and water productivity of a mulched drip irrigated cotton cropping system. Field Crop. Res. 2023, 302, 109097. [Google Scholar] [CrossRef]
- Rathore, V.S.; Nathawat, N.S.; Bhardwaj, S.; Sasidharan, R.P.; Yadav, B.M.; Kumar, M.; Yadav, O.P. Yield, water and nitrogen use efficiencies of sprinkler irrigated wheat grown under different irrigation and nitrogen levels in an arid region. Agric. Water Manag. 2017, 187, 232–245. [Google Scholar] [CrossRef]
- Wang, Z.; Zhang, K.; Shao, G.; Lu, J.; Gao, Y.; Song, E. Water and nitrogen use efficiencies in cotton production: A meta-analysis. Field Crop. Res. 2024, 309, 109322. [Google Scholar] [CrossRef]
- Pandey, K.R.; Maranville, W.J.; Admou, A. Deficit irrigation and nitrogen effects on maize in a Sahelian environment I. Grain Yield Yield Compon. Agric. Water Manag. 2000, 46, 1–13. [Google Scholar] [CrossRef]
- Ye, T.; Liu, B.; Wang, X.; Zhou, J.; Liu, L.; Tang, L.; Cao, W.; Zhu, Y. Effects of water-nitrogen interactions on the fate of nitrogen fertilizer in a wheat-soil system. Eur. J. Agron. 2022, 136, 126507. [Google Scholar] [CrossRef]
- Qin, W.; Zhang, X.; Chen, S.; Sun, H.; Shao, L. Crop rotation and N application rate affecting the performance of winter wheat under deficit irrigation. Agric. Water Manag. 2018, 210, 330–339. [Google Scholar] [CrossRef]
- Wu, B.; Zhang, L.; Tian, J.; Zhang, G.; Zhang, W. Nitrogen rate for cotton should be adjusted according to water availability in arid regions. Field Crop. Res. 2022, 285, 108606. [Google Scholar] [CrossRef]
- Ye, T.; Ma, J.; Zhang, P.; Shan, S.; Liu, L.; Tang, L.; Cao, W.; Liu, B.; Zhu, Y. Interaction effects of irrigation and nitrogen on the coordination between crop water productivity and nitrogen use efficiency in wheat production on the North China Plain. Agric. Water Manag. 2022, 271, 107787. [Google Scholar] [CrossRef]
- Shi, X.; Batchelor, W.D.; Liang, H.; Li, S.; Li, B.; Hu, K. Determining optimal water and nitrogen management under different initial soil mineral nitrogen levels in northwest China based on a model approach. Agric. Water Manag. 2020, 234, 106110. [Google Scholar] [CrossRef]
- Ma, B.; Tian, J.; Shen, H.; Li, W. Dry matter and yield as well as water-N coupling model of watermelon in gravel mulched field and its validation. Trans. Chin. Soc. Agric. Eng. 2016, 32, 129–136. [Google Scholar] [CrossRef]
- Gao, R.; Pan, Z.; Zhang, J.; Chen, X.; Qi, Y.; Zhang, Z.; Xu, X. Optimal cooperative application solutions of irrigation and nitrogen fertilization for high crop yield and friendly environment in the semi-arid region of North China. Agric. Water Manag. 2023, 283, 108326. [Google Scholar] [CrossRef]
- Sun, Y.; Nan, Z.; Yang, W.; Li, L. Projecting China’s future water footprints and water scarcity under socioeconomic and climate change pathways using an integrated simulation approach. Clim. Serv. 2023, 30, 100385. [Google Scholar] [CrossRef]
- Anapalli, S.S.; Fisher, D.K.; Pinnamaneni, S.R.; Reddy, K.N. Quantifying evapotranspiration and crop coefficients for cotton (Gossypium hirsutum L.) using an eddy covariance approach, China. Agric. Water Manag. 2020, 233, 106091. [Google Scholar] [CrossRef]
- Yoo, S.; Choi, J.; Jang, M. Estimation of design water requirement using FAO Penman–Monteith and optimal probability distribution function in South Korea. Agric. Water Manag. 2008, 95, 845–853. [Google Scholar] [CrossRef]
- Liu, W.; Wang, J.; Wang, C.; Ma, G.; Wei, Q.; Lu, H.; Kang, G. Root growth, water and nitrogen use efficiencies in winter wheat under different irrigation and nitrogen regimes in North China Plain. Front. Plant Sci. 2018, 9, 1798. [Google Scholar] [CrossRef]
- Guo, W.; Andersen, N.M.; Qi, X.; Li, P.; Li, Z.; Fan, X.; Zhou, Y. Effects of reclaimed water irrigation and nitrogen fertilization on the chemical properties and microbial community of soil. J. Integr. Agric. 2017, 16, 679–690. [Google Scholar] [CrossRef]
- Lu, D.; Song, H.; Jiang, S.; Chen, X.; Wang, H.; Zhou, J. Managing fertiliser placement locations and source types to improve rice yield and the use efficiency of nitrogen and phosphorus. Field Crop. Res. 2019, 231, 10–17. [Google Scholar] [CrossRef]
- Thompson, R. Editorial note on terms for soil analyses, nutrient content of fertilizers and Nitrogen Use Efficiency. Agric. Water Manag. 2023, 289, 108547. [Google Scholar] [CrossRef]
- Fernández, E. Editorial note on terms for crop evapotranspiration, water use efficiency and water productivity. Agric. Water Manag. 2023, 289, 108548. [Google Scholar] [CrossRef]
- Devkota, M.; Martius, C.; Lamers, J.P.A.; Sayre, K.D.; Devkota, K.P.; Vlek, P.L.G. Tillage and nitrogen fertilization effects on yield and nitrogen use efficiency of irrigated cotton. Soil Tillage Res. 2013, 134, 72–82. [Google Scholar] [CrossRef]
- Zheng, Y.; Han, X.; Li, Y.; Liu, S.; Ji, J.; Tong, Y. Effects of mixed controlled release nitrogen fertilizer with rice straw biochar on rice yield and nitrogen balance in Northeast China. Sci. Rep. 2020, 10, 9452. [Google Scholar] [CrossRef]
- Wang, D.; Mo, Y.; Li, G.; Wilkerson, C.J.; Hoogenboom, G. Improving maize production and decreasing nitrogen residue in soil using mulched drip fertigation. Agric. Water Manag. 2021, 251, 106871. [Google Scholar] [CrossRef]
- Zou, H.; Fan, J.; Zhang, F.; Xiang, Y.; Wu, L.; Yan, S. Optimization of drip irrigation and fertilization regimes for high grain yield, crop water productivity and economic benefits of spring maize in Northwest China. Agric. Water Manag. 2020, 230, 105986. [Google Scholar] [CrossRef]
- Wu, Y.; Guo, C.; Sun, Y.; Liu, Y.; Zhang, Q.; Xiang, K. Relationship of population quality and nitrogen fertilizer utilization characteristics of direct seeding rice under water-nitrogen interaction. Chin. J. Appl. Ecol. 2020, 31, 899–908. [Google Scholar] [CrossRef]
- Hammad, H.M.; Farhad, W.; Abbas, F.; Fahad, S.; Saeed, S.; Nasim, W.; Bakhat, H.F. Maize plant nitrogen uptake dynamics at limited irrigation water and nitrogen. Environ. Sci. Pollut. Res. Int. 2017, 24, 2549–2557. [Google Scholar] [CrossRef]
- Bai, Z.; Bai, W.; Xie, C.; Yu, J.; Dai, Y.; Pei, S.; Yin, F. Irrigation depth and nitrogen rate effects on seed cotton yield, fiber quality and water-nitrogen utilization efficiency in southern Xinjiang, China. Agric. Water Manag. 2023, 290, 108583. [Google Scholar] [CrossRef]
- Hou, X.; Fan, J.; Zhang, F.; Hu, W.; Xiang, Y. Optimization of water and nitrogen management to improve seed cotton yield, water productivity and economic benefit of mulched drip-irrigated cotton in southern Xinjiang, China. Field Crop. Res. 2024, 308, 109301. [Google Scholar] [CrossRef]
- Wen, S.; Cui, N.; Wang, Y.; Gong, D.; Xing, L.; Wu, Z.; Zhang, Y.; Zhao, L.; Fan, J.; Wang, Z. Optimizing deficit drip irrigation to improve yield, quality, and water productivity of apple in Loess Plateau of China. Agric. Water Manag. 2024, 296, 108798. [Google Scholar] [CrossRef]
- Jia, Y.; Yang, B.; Han, Y.; Wang, G.; Su, T.; Li, X.; Lei, Y.; Zhi, X.; Xiong, S.; Xin, M.; et al. Enhanced Cotton Yield and Fiber Quality by Optimizing Irrigation Amount and Frequency in Arid Areas of Northwest China. Agronomy 2024, 14, 266. [Google Scholar] [CrossRef]
- Hou, X.; Xiang, Y.; Fan, J.; Zhang, F.; Hu, W.; Yan, F.; Li, Z. Evaluation of cotton N nutrition status based on critical N dilution curve, N uptake and residual under different drip fertigation regimes in Southern Xinjiang of China. Agric. Water Manag. 2021, 256, 107134. [Google Scholar] [CrossRef]
- Li, X.; Liu, H.; He, X.; Gong, P.; Lin, E. Water–Nitrogen Coupling and Multi-Objective Optimization of Cotton under Mulched Drip Irrigation in Arid Northwest China. Agronomy 2019, 9, 894. [Google Scholar] [CrossRef]
- Du, Y.; Niu, W.; Zhang, Q.; Cui, B.; Zhang, Z.; Wang, Z.; Sun, J. A synthetic analysis of the effect of water and nitrogen inputs on wheat yield and water- and nitrogen-use efficiencies in China. Field Crop. Res. 2021, 265, 108105. [Google Scholar] [CrossRef]
- Lu, J.; Xiang, Y.; Fan, J.; Zhang, F.; Hu, T. Sustainable high grain yield, nitrogen use efficiency and water productivity can be achieved in wheat-maize rotation system by changing irrigation and fertilization strategy. Agric. Water Manag. 2021, 258, 107177. [Google Scholar] [CrossRef]
- Abdoul, K.M.H.; Sunusi, A.A.; Si, Z.; Kama, R.; Gao, Y.; Duan, A. Responses of grain yield and water-nitrogen dynamic of drip-irrigated winter wheat (Triticum aestivum L.) to different nitrogen fertigation and water regimes in the North China Plain. Agric. Water Manag. 2023, 288, 108494. [Google Scholar] [CrossRef]
- Wang, H.; Wu, L.; Wang, X.; Zhang, S.; Cheng, M.; Feng, H.; Xiang, Y. Optimization of water and fertilizer management improves yield, water, nitrogen, phosphorus and potassium uptake and use efficiency of cotton under drip fertigation. Agric. Water Manag. 2021, 245, 106662. [Google Scholar] [CrossRef]
- Yang, B.; Yang, G.; Feng, L.; Han, Y.; Lei, Y.; Fan, Z.; Wang, Z.; Li, Y. Effects of deficit irrigation on cotton growth and water use efficiency: A review. J. Appl. Ecol. 2021, 32, 1112–1118. [Google Scholar] [CrossRef]
- Stamatiadis, S.; Tsadilas, C.; Samaras, V.; Schepers, J.S.; Eskridge, K. Nitrogen uptake and N-use efficiency of Mediterranean cotton under varied deficit irrigation and N fertilization. Eur. J. Agron. 2016, 73, 144–151. [Google Scholar] [CrossRef]
- Rakesh, K.; Pareek, N.K.; Rathore, V.S.; Nangia, V. Effect of irrigation and nitrogen application on water productivity and performance of Cotton (Gossypium Sp.). J. Soil Water Conserv. 2019, 18, 2455–7145. [Google Scholar] [CrossRef]
- Li, P.; Dong, H.; Zheng, C.; Sun, M.; Liu, A.; Wang, G.; Zhao, X. Optimizing nitrogen application rate and plant density for improving cotton yield and nitrogen use efficiency in the North China Plain. PLoS ONE 2017, 12, e0185550. [Google Scholar] [CrossRef]
- Wei, K.; Zhang, J.; Wang, Q.; Guo, Y.; Mu, W. Irrigation with ionized brackish water affects cotton yield and water use efficiency. Ind. Crop. Prod. 2022, 175, 114244. [Google Scholar] [CrossRef]
- Wang, X.; Guo, T.; Wang, Y.; Xing, Y.; Wang, Y.; He, X. Exploring the optimization of water and fertilizer management practices for potato production in the sandy loam soils of Northwest China based on PCA. Agric. Water Manag. 2020, 237, 106180. [Google Scholar] [CrossRef]
- Yang, M.; Ma, S.; Mei, F.; Wei, L.; Wang, T.; Guan, X. Adjusting Nitrogen Application in Accordance with Soil Water Availability Enhances Yield and Water Use by Regulating Physiological Traits of Maize under Drip Fertigation. Phyton-Int. J. Exp. Bot. 2021, 90, 417–435. [Google Scholar] [CrossRef]
- Wu, B.; Zuo, W.; Yang, P.; Zhang, W. Optimal water and nitrogen management increases cotton yield through improving leaf number and canopy light environment. Field Crop. Res. 2023, 290, 108745. [Google Scholar] [CrossRef]
- Xu, J.; Wang, X.; Ding, Y.; Mu, Q.; Cai, H.; Ma, C.; Saddique, Q. Effects of irrigation and nitrogen fertilization management on crop yields and long-term dynamic characteristics of water and nitrogen transport at deep soil depths. Soil Tillage Res. 2020, 198, 104536. [Google Scholar] [CrossRef]
- Che, Z.; Wang, J.; Li, J. Modeling strategies to balance salt leaching and nitrogen loss for drip irrigation with saline water in arid regions. Agric. Water Manag. 2022, 274, 107943. [Google Scholar] [CrossRef]
- Zhou, W.; Lv, H.; Chen, F.; Wang, Q.; Li, J.; Chen, Q.; Liang, B. Optimizing nitrogen management reduces mineral nitrogen leaching loss mainly by decreasing water leakage in vegetable fields under plastic-shed greenhouse. Environ. Pollut. 2022, 308, 119616. [Google Scholar] [CrossRef]
- Brian, J.B.; Carl, J.R.; David, J.M. Impact of variable rate nitrogen and reduced irrigation management on nitrate leaching for potato. J. Environ. Qual. 2020, 49, 281–291. [Google Scholar] [CrossRef]
- Wang, Q.; Li, F.; Zhao, L.; Zhang, E.; Shi, S.; Zhao, W.; Song, W.; Vance, M.M. Effects of irrigation and nitrogen application rates on nitrate nitrogen distribution and fertilizer nitrogen loss, wheat yield and nitrogen uptake on a recently reclaimed sandy farmland. Plant Soil 2010, 337, 325–339. [Google Scholar] [CrossRef]
- Kamran, M.; Yan, Z.; Chang, S.; Chen, X.; Ahmad, I.; Jia, Q.; Hou, F. Enhancing resource use efficiency of alfalfa with appropriate irrigation and fertilization strategy mitigate greenhouse gases emissions in the arid region of Northwest China. Field Crop. Res. 2022, 289, 108715. [Google Scholar] [CrossRef]
- Li, W.; Ma, L.; Shi, F.; Wang, S.; Zhao, J.; Zheng, W.; Zhai, B. Regulation of soil water and nitrate by optimizing nitrogen fertilization and the addition of manure based on precipitation: An 8-year field record. Agric. Ecosyst. Environ. 2023, 354, 108586. [Google Scholar] [CrossRef]
- Hu, Z.; Liu, C.; Zhuang, W.; Liu, T.; Li, Z. Optimization of multi-objective crop pattern based on water and fertilizer resources allocation. Appl. Mech. Mater. 2014, 522–524, 1034–1038. [Google Scholar] [CrossRef]
- Mwinuka, R.P.; Mbilinyi, P.B.; Mbungu, B.W.; Mourice, K.S.; Mahoo, F.H.; Schmitter, P. Optimizing water and nitrogen application for neglected horticultural species in tropical sub-humid climate areas: A case of African eggplant (Solanum aethiopicum L.). Sci. Hortic. 2021, 276, 109756. [Google Scholar] [CrossRef]
- Xiao, C.; Zou, H.; Fan, J.; Zhang, F.; Li, Y.; Sun, S.; Pulatov, A. Optimizing irrigation amount and fertilization rate of drip-fertigated spring maize in northwest China based on multi-level fuzzy comprehensive evaluation model. Agric. Water Manag. 2021, 257, 107157. [Google Scholar] [CrossRef]
- Hou, X.; Fan, J.; Hu, W.; Zhang, F.; Yan, F.; Xiao, C.; Cheng, H. Optimal irrigation amount and nitrogen rate improved seed cotton yield while maintaining fiber quality of drip-fertigated cotton in northwest China. Ind. Crop. Prod. 2021, 170, 113710. [Google Scholar] [CrossRef]
- Wang, H.; Wu, L.; Cheng, M.; Fan, J.; Zhang, F.; Zou, Y.; Chau, W.; Gao, Z.; Wang, X. Coupling effects of water and fertilizer on yield, water and fertilizer use efficiency of drip-fertigated cotton in northern Xinjiang, China. Field Crop. Res. 2018, 219, 169–179. [Google Scholar] [CrossRef]






| Soil Depth (cm) | BD (g cm−3) | θFC (%) | OM (g kg−1) | NO3−-N (mg kg−1) | NH4+-N (mg kg−1) | AP (mg kg−1) | AK (mg kg−1) |
|---|---|---|---|---|---|---|---|
| 0–20 | 1.33 | 25.19 | 15.8 | 27.16 | 1.28 | 22.73 | 289.24 |
| 20–40 | 1.36 | 23.56 | 12.5 | 20.38 | 1.63 | 20.81 | 195.25 |
| 40–60 | 1.40 | 22.12 | 5.43 | 14.70 | 2.05 | 9.01 | 119.58 |
| 60–80 | 1.53 | 20.22 | 3.16 | 5.85 | 3.03 | 6.43 | 83.07 |
| 80–100 | 1.60 | 17.56 | 3.51 | 6.04 | 3.56 | 6.23 | 70.59 |
| 2020 | 2021 | ||||||
|---|---|---|---|---|---|---|---|
| Date | Irrigation Amount (mm) | Date | Irrigation Amount (mm) | ||||
| 100% ETC | 80% ETC | 60% ETC | 100% ETC | 80% ETC | 60% ETC | ||
| 6/11 | 63.00 | 50.40 | 37.80 | 6/10 | 75.00 | 60.00 | 45.00 |
| 6/19 | 37.50 | 30.00 | 22.50 | 6/20 | 42.39 | 33.91 | 25.44 |
| 7/1 | 44.64 | 35.71 | 26.78 | 7/1 | 37.23 | 29.78 | 22.34 |
| 7/10 | 59.62 | 47.70 | 35.77 | 7/9 | 53.80 | 43.04 | 32.28 |
| 7/17 | 67.65 | 54.12 | 40.59 | 7/16 | 48.78 | 39.02 | 29.27 |
| 7/24 | 54.20 | 43.36 | 32.52 | 7/23 | 52.82 | 42.25 | 31.69 |
| 8/2 | 43.25 | 34.60 | 25.95 | 8/3 | 72.88 | 58.30 | 43.73 |
| 8/10 | 30.17 | 24.13 | 18.10 | 8/13 | 33.26 | 26.61 | 19.96 |
| 8/19 | 31.96 | 25.57 | 19.18 | 8/23 | 22.87 | 18.30 | 13.72 |
| Total | 432.00 | 345.60 | 259.20 | Total | 439.03 | 351.22 | 263.42 |
| Studied Factor | Stem | Leaf | Boll | Total |
|---|---|---|---|---|
| Irrigation amounts (I) | ||||
| 60% ETc | 2448 b | 2527 b | 6507 c | 11,481 b |
| 80% ETc | 2742 a | 2792 a | 7349 a | 12,931 a |
| 100% ETc | 2757 a | 2803 a | 7716 b | 12,908 a |
| N application rates (N) | ||||
| N0 | 2187 d | 2267 e | 4457 d | 8911 e |
| N150 | 2483 c | 2462 d | 5556 c | 10,502 d |
| N225 | 2778 b | 2822 c | 7663 b | 12,732 c |
| N300 | 2795 b | 2943 b | 9185 a | 14,922 b |
| N375 | 3000 a | 3045 a | 9090 a | 15,135 a |
| Interaction (I × N) | ||||
| 60% ETc N0 | 1783 f | 1533 f | 4162 j | 7478 k |
| 60% ETc N150 | 2502 e | 2419 e | 5242 hi | 10,163 hi |
| 60% ETc N225 | 2459 e | 2703 d | 6505 f | 11,667 f |
| 60% ETc N300 | 2690 d | 2996 b | 8036 e | 13,722 d |
| 60% ETc N375 | 2805 cd | 2986 b | 8585 d | 14,376 c |
| 80% ETc N0 | 2412 e | 2459 e | 5077 i | 9948 i |
| 80% ETc N150 | 2500 e | 2498 e | 5910 g | 10,908 g |
| 80% ETc N225 | 2998 b | 2919 bc | 7940 e | 12,264 e |
| 80% ETc N300 | 2906 bc | 2938 bc | 9954 a | 15,798 a |
| 80% ETc N375 | 2894 bc | 3148 a | 9697 ab | 15,739 a |
| 100% ETc N0 | 2366 e | 2809 cd | 4131 j | 9307 j |
| 100% ETc N150 | 2451 e | 2468 e | 5516 h | 10,435 g |
| 100% ETc N225 | 2877 bc | 2844 c | 8543 d | 14,264 c |
| 100% ETc N300 | 2787 cd | 2894 bc | 9565 b | 15,246 b |
| 100% ETc N375 | 3302 a | 3000 b | 8988 c | 15,290 b |
| I | *** | *** | *** | *** |
| N | *** | *** | *** | *** |
| I × N | *** | *** | *** | *** |
| Studied Factor | Stem | Leaf | Boll | Total |
|---|---|---|---|---|
| Irrigation amounts (I) | ||||
| 60% ETc | 30.98 c | 58.13 b | 150.07 c | 239.18 b |
| 80% ETc | 32.71 b | 65.28 a | 185.15 a | 283.13 a |
| 100% ETc | 34.33 a | 64.90 a | 181.97 b | 281.20 a |
| N application rates (N) | ||||
| N0 | 26.50 d | 43.86 e | 96.74 d | 167.10 d |
| N150 | 31.25 c | 55.57 d | 132.74 c | 219.56 c |
| N225 | 33.80 b | 63.84 c | 180.44 b | 278.08 b |
| N300 | 34.64 b | 73.94 b | 228.81 a | 337.39 a |
| N375 | 37.18 a | 76.63 a | 223.25 a | 337.06 a |
| Interaction (I × N) | ||||
| 60% ETc N0 | 22.27 g | 33.29 j | 91.89 k | 147.45 k |
| 60% ETc N150 | 31.79 cde | 48.30 i | 118.65 i | 198.75 i |
| 60% ETc N225 | 32.44 cd | 61.49 f | 146.34 g | 240.28 g |
| 60% ETc N300 | 32.78 c | 71.75 d | 187.57 f | 292.10 f |
| 60% ETc N375 | 35.62 b | 75.81 bc | 205.90 d | 317.32 d |
| 80% ETc N0 | 28.56 f | 46.68 i | 99.38 j | 174.61 j |
| 80% ETc N150 | 31.16 de | 56.58 g | 143.00 g | 230.74 h |
| 80% ETc N225 | 33.35 c | 64.97 e | 194.39 e | 292.70 f |
| 80% ETc N300 | 34.98 b | 78.64 ab | 252.19 a | 365.82 a |
| 80% ETc N375 | 35.50 b | 79.50 a | 236.78 b | 351.78 b |
| 100% ETc N0 | 28.68 f | 51.62 h | 98.95 j | 179.24 j |
| 100% ETc N150 | 30.79 e | 61.82 ef | 136.58 h | 229.19 h |
| 100% ETc N225 | 35.61 b | 65.05 e | 200.58 d | 301.25 e |
| 100% ETc N300 | 36.15 b | 71.43 d | 246.68 a | 354.26 b |
| 100% ETc N375 | 40.43 a | 74.58 cd | 227.07 c | 342.07 c |
| I | *** | *** | *** | *** |
| N | *** | *** | *** | *** |
| I × N | *** | *** | *** | *** |
| Studied Factor | Boll Number per Plant | Boll Weight (g) | Seed Cotton Yield (kg ha−1) |
|---|---|---|---|
| Irrigation amounts (I) | |||
| 60% ETc | 4.70 c | 4.59 b | 4863 c |
| 80% ETc | 5.49 a | 4.95 a | 6167 a |
| 100% ETc | 5.16 b | 4.98 a | 5794 b |
| N application rates (N) | |||
| N0 | 4.33 d | 4.56 d | 4398 e |
| N150 | 4.82 c | 4.72 c | 5111 d |
| N225 | 5.33 b | 4.86 b | 5811 c |
| N300 | 5.67 a | 5.14 a | 6129 b |
| N375 | 5.44 b | 4.93 b | 6591 a |
| Interaction (I × N) | |||
| 60% ETc N0 | 3.94 g | 4.27 k | 3685 i |
| 60% ETc N150 | 4.05 g | 4.51 j | 4062 h |
| 60% ETc N225 | 4.81 e | 4.61 ij | 4921 g |
| 60% ETc N300 | 5.31 c | 4.73 ghi | 5777 def |
| 60% ETc N375 | 5.37 c | 4.85 efg | 5873 def |
| 80% ETc N0 | 4.48 f | 4.64 hij | 4639 g |
| 80% ETc N150 | 5.34 c | 4.78 fg | 5709 ef |
| 80% ETc N225 | 5.87 b | 4.88 def | 6395 bc |
| 80% ETc N300 | 6.25 a | 5.45 a | 7612 a |
| 80% ETc N375 | 5.54 c | 5.01 cd | 6479 b |
| 100% ETc N0 | 4.56 f | 4.77 fgh | 4870 g |
| 100% ETc N150 | 5.06 d | 4.88 def | 5563 f |
| 100% ETc N225 | 5.30 c | 5.11 bc | 6118 bcd |
| 100% ETc N300 | 5.46 c | 5.23 b | 6385 bc |
| 100% ETc N375 | 5.40 c | 4.93 de | 6035 cde |
| I | *** | *** | *** |
| N | *** | *** | *** |
| I × N | *** | *** | *** |
| Year | Studied Factor | N Input | N Output | ANS | ||||
|---|---|---|---|---|---|---|---|---|
| FN | ISNmin | ANM | Nup | RSNmin | ANL | |||
| 2020 | Irrigation amounts (I) | |||||||
| 60% ETc | 210 | 215 | 61 | 242 b | 186 a | 58 a | 244 a | |
| 80% ETc | 210 | 215 | 58 | 280 a | 162 b | 41 b | 203 b | |
| 100% ETc | 210 | 215 | 60 | 276 a | 149 c | 60 a | 209 b | |
| N application rates (N) | ||||||||
| N0 | 0 | 215 | 60 | 166 d | 109 e | 0 c | 109 e | |
| N150 | 150 | 215 | 60 | 214 c | 158 d | 52 b | 210 d | |
| N225 | 225 | 215 | 60 | 276 b | 172 c | 52 b | 224 c | |
| N300 | 300 | 215 | 60 | 337 a | 184 b | 53 b | 238 b | |
| N375 | 375 | 215 | 60 | 337 a | 205 a | 107 a | 313 a | |
| Interaction (I × N) | ||||||||
| 60% ETc N0 | 0 | 215 | 61 | 152 j | 124 h | 0 f | 124 h | |
| 60% ETc N150 | 150 | 215 | 61 | 196 h | 184 d | 46 d | 230 f | |
| 60% ETc N225 | 225 | 215 | 61 | 245 f | 187 cd | 69 c | 256 e | |
| 60% ETc N300 | 300 | 215 | 61 | 297 e | 206 b | 74 c | 279 d | |
| 60% ETc N375 | 375 | 215 | 61 | 321 d | 229 a | 101 b | 330 a | |
| 80% ETc N0 | 0 | 215 | 58 | 170 i | 103 i | 0 f | 103 i | |
| 80% ETc N150 | 150 | 215 | 58 | 224 g | 149 f | 50 d | 199 g | |
| 80% ETc N225 | 225 | 215 | 58 | 288 e | 182 d | 28 e | 211 g | |
| 80% ETc N300 | 300 | 215 | 58 | 365 a | 181 d | 27 e | 208 g | |
| 80% ETc N375 | 375 | 215 | 58 | 353 b | 194 c | 101 b | 296 c | |
| 100% ETc N0 | 0 | 215 | 60 | 176 i | 99 i | 0 f | 99 i | |
| 100% ETc N150 | 150 | 215 | 60 | 223 g | 140 g | 61 cd | 202 g | |
| 100% ETc N225 | 225 | 215 | 60 | 296 e | 146 fg | 58 cd | 204 g | |
| 100% ETc N300 | 300 | 215 | 60 | 349 bc | 166 e | 59 cd | 225 f | |
| 100% ETc N375 | 375 | 215 | 60 | 337 c | 192 c | 120 a | 313 b | |
| I | —— | —— | —— | *** | *** | *** | *** | |
| N | —— | —— | —— | *** | *** | *** | *** | |
| I × N | —— | —— | —— | *** | *** | *** | *** | |
| 2021 | Irrigation amounts (I) | |||||||
| 60% ETc | 210 | 186 a | 135 | 236 B | 205 A | 91 A | 295 A | |
| 80% ETc | 210 | 162 b | 171 | 286 A | 178 B | 78 B | 257 B | |
| 100% ETc | 210 | 149 c | 170 | 286 A | 149 C | 93 A | 242 C | |
| N application rates (N) | ||||||||
| N0 | 0 | 109 e | 159 | 168 d | 99 e | 0 d | 99 e | |
| N150 | 150 | 158 d | 159 | 225 c | 148 d | 85 c | 242 d | |
| N225 | 225 | 172 c | 159 | 280 b | 182 c | 94 b | 275 c | |
| N300 | 300 | 184 b | 159 | 337 a | 220 b | 94 b | 305 b | |
| N375 | 375 | 205 a | 159 | 337 a | 237 a | 164 a | 402 a | |
| Interaction (I × N) | ||||||||
| 60% ETc N0 | 0 | 124 d | 135 | 143 k | 117 i | 0 g | 117 i | |
| 60% ETc N150 | 150 | 184 c | 135 | 201 i | 173 g | 95 de | 269 f | |
| 60% ETc N225 | 225 | 187 c | 135 | 236 h | 212 d | 100 d | 312 d | |
| 60% ETc N300 | 300 | 206 b | 135 | 287 fg | 243 b | 111 c | 354 c | |
| 60% ETc N375 | 375 | 229 a | 135 | 314 d | 278 a | 148 b | 426 a | |
| 80% ETc N0 | 0 | 103 d | 171 | 179 j | 95 j | 0 g | 95 j | |
| 80% ETc N150 | 150 | 150 c | 171 | 237 h | 135 h | 98 de | 234 gh | |
| 80% ETc N225 | 225 | 182 b | 171 | 298 f | 185 f | 95 de | 280 e | |
| 80% ETc N300 | 300 | 181 b | 171 | 366 a | 236 c | 49 f | 285 e | |
| 80% ETc N375 | 375 | 194 a | 171 | 351 c | 240 bc | 149 b | 389 b | |
| 100% ETc N0 | 0 | 99 d | 170 | 183 j | 86 k | 0 g | 86 j | |
| 100% ETc N150 | 150 | 140 c | 170 | 236 h | 136 h | 89 de | 225 h | |
| 100% ETc N225 | 225 | 146 c | 170 | 307 e | 148 g | 87 de | 234 g | |
| 100% ETc N300 | 300 | 166 b | 170 | 359 b | 183 f | 93 e | 277 ef | |
| 100% ETc N375 | 375 | 192 a | 170 | 347 c | 194 e | 196 a | 390 b | |
| I | —— | *** | —— | *** | *** | *** | *** | |
| N | —— | *** | —— | *** | *** | *** | *** | |
| I × N | —— | *** | —— | *** | *** | *** | *** | |
| η | Regression Equation | R2 | Irrigation Amount (mm) | N Rate (kg ha−1) | ηmax | ηmin |
|---|---|---|---|---|---|---|
| Y/η1 | y = −936.8381 + 22.8144I + 12.9346N − 0.0130IN − 0.0227I2 − 0.0081N2 | 0.861 | 395.14 | 375 | 6318.87 | — |
| NUE/η2 | y = −121.6257 + 0.4592I + 0.6638N − 8.88 × 10−5IN − 5.78 × 10−4I2 − 1.11 × 10−3N2 | 0.910 | 375.42 | 284 | 58.83 | — |
| WPI/η3 | y = −0.6159 + 0.0095I + 0.0038N − 6.34 × 10−6IN − 1.46 × 10−5I2 − 1.24 × 10−6N2 | 0.952 | 259.20 | 375 | 1.50 | — |
| RSNmin/η4 | y = 184.4508 − 0.2996I + 0.5003N − 4.40 × 10−4IN − 1.86 × 10−4I2 − 8.26 × 10−5N2 | 0.952 | 439.03 | 0 | — | 88.77 |
| ANL/η5 | y = 230.9552 − 1.3008I + 0.2168N − 2.16 × 10−4IN + 1.81 × 10−3I2 − 2.72 × 10−5N2 | 0.815 | 320.30 | 0 | — | 0 |
| ANS/η6 | y = 415.4061 − 1.6004I + 0.7172N − 2.24 × 10−4IN + 1.99 × 10−3I2 − 5.54 × 10−5N2 | 0.922 | 402.11 | 0 | — | 93.64 |
| Optimized Parameter (η) | 80% η | 90% η | |||
|---|---|---|---|---|---|
| Irrigation Amount (mm) | N Rate (kg ha−1) | Irrigation Amount (mm) | N Rate (kg ha−1) | ||
| ηmax | Yield/η1 | 321.57–384.67 | 247.51–360.85 | 334.87–371.43 | 268.40–335.80 |
| NUE/η2 | 335.89–398.11 | 252.20–340.13 | 346.44–385.61 | 267.58–340.53 | |
| WPI/η3 | 259.20–366.37 | 254.37–375.00 | 259.20–276.73 332.24–355.22 | 277.98–375.00 284.66–318.48 | |
| ηmin | RSNmin/η4 | 259.20–439.03 | 3.29–141.70 | 341.45–439.03 | 0.00–59.34 |
| ANL/η5 | 259.20–439.03 311.92–348.30 | 97.36–73.57 113.70–327.48 | 259.20–439.03 317.66–342.37 | 9.12–48.45 160.69–306.19 | |
| ANS/η6 | 259.20–439.03 | 42.40–68.05 | 312.77–439.03 261.41–277.51 | 0.00–32.39 0.00–2.27 | |
Disclaimer/Publisher’s Note: The statements, opinions and data contained in all publications are solely those of the individual author(s) and contributor(s) and not of MDPI and/or the editor(s). MDPI and/or the editor(s) disclaim responsibility for any injury to people or property resulting from any ideas, methods, instructions or products referred to in the content. |
© 2024 by the authors. Licensee MDPI, Basel, Switzerland. This article is an open access article distributed under the terms and conditions of the Creative Commons Attribution (CC BY) license (https://creativecommons.org/licenses/by/4.0/).
Share and Cite
Liao, H.; Liu, K.; Hao, H.; Yong, Y.; Zhang, W.; Hou, Z. Effects of Irrigation Amount and Nitrogen Rate on Cotton Yield, Nitrogen Use Efficiency, and Soil Nitrogen Balance under Drip Irrigation. Agronomy 2024, 14, 1671. https://doi.org/10.3390/agronomy14081671
Liao H, Liu K, Hao H, Yong Y, Zhang W, Hou Z. Effects of Irrigation Amount and Nitrogen Rate on Cotton Yield, Nitrogen Use Efficiency, and Soil Nitrogen Balance under Drip Irrigation. Agronomy. 2024; 14(8):1671. https://doi.org/10.3390/agronomy14081671
Chicago/Turabian StyleLiao, Huan, Kai Liu, Haibo Hao, Yanrong Yong, Weibao Zhang, and Zhenan Hou. 2024. "Effects of Irrigation Amount and Nitrogen Rate on Cotton Yield, Nitrogen Use Efficiency, and Soil Nitrogen Balance under Drip Irrigation" Agronomy 14, no. 8: 1671. https://doi.org/10.3390/agronomy14081671
APA StyleLiao, H., Liu, K., Hao, H., Yong, Y., Zhang, W., & Hou, Z. (2024). Effects of Irrigation Amount and Nitrogen Rate on Cotton Yield, Nitrogen Use Efficiency, and Soil Nitrogen Balance under Drip Irrigation. Agronomy, 14(8), 1671. https://doi.org/10.3390/agronomy14081671

