Sign in to use this feature.

Years

Between: -

Subjects

remove_circle_outline
remove_circle_outline
remove_circle_outline
remove_circle_outline
remove_circle_outline
remove_circle_outline
remove_circle_outline
remove_circle_outline
remove_circle_outline

Journals

Article Types

Countries / Regions

Search Results (93)

Search Parameters:
Keywords = apomixis

Order results
Result details
Results per page
Select all
Export citation of selected articles as:
18 pages, 4194 KB  
Article
A Precise Reproductive Calendar of Sexual and Apomictic Genotypes of Eragrostis curvula
by Juan Pablo Selva, Diego Zappacosta, Cristian Andrés Gallo, Petrus Bisp, Emidio Albertini and Viviana Echenique
Plants 2026, 15(7), 1050; https://doi.org/10.3390/plants15071050 - 29 Mar 2026
Viewed by 610
Abstract
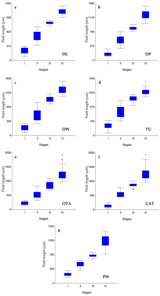
Eragrostis curvula serves as a valuable model for studying diplosporous apomixis due to its unique reproductive mode, wide ploidy range, and extensive genomic resources. A major limitation for reproductive studies in this species is the difficulty of isolating female tissues at precise developmental [...] Read more.
Eragrostis curvula serves as a valuable model for studying diplosporous apomixis due to its unique reproductive mode, wide ploidy range, and extensive genomic resources. A major limitation for reproductive studies in this species is the difficulty of isolating female tissues at precise developmental stages, for example, for transcriptomics studies, since different floral tissues can introduce expression noise from non-target tissues. To overcome this, we performed a detailed cytoembryological and morphometric characterization of male and female development in seven E. curvula genotypes with different ploidy levels (2X–7X) and reproductive modes (sexual, facultative apomictic, and obligate apomictic). Using differential interference contrast microscopy and methyl salicylate clarification, we described key cytological stages of male and female development. These stages were then correlated with external floral parameters, including pistil, ovary, style, and anther length, to generate genotype-specific developmental calendars. Pistil length showed the strongest association with female developmental stage, particularly during the early phases of ovule development, enabling more precise staging. Synchrony between male and female development was also evaluated, revealing no consistent differences among reproductive modes or ploidy levels. This genotype-informed framework provides a practical tool for stage prediction and tissue selection, supporting future reproductive, developmental, and comparative studies in E. curvula and related grasses. Full article
(This article belongs to the Section Plant Genetics, Genomics and Biotechnology)
Show Figures

Figure 1

16 pages, 2498 KB  
Article
Stage-Dependent Persistence of Nucleated Endosperm Cells in Seeds of Limonium Sexual and Apomictic Species with Autonomous Endosperm Formation
by Catarina Gomes-Domingues, Elvira Hörandl and Ana D. Caperta
Genes 2026, 17(3), 337; https://doi.org/10.3390/genes17030337 - 18 Mar 2026
Viewed by 625
Abstract
Limonium Mill. species present a polymorphic sexual system associated with flower polymorphisms like ancillary pollen and stigma, with sexual and/or apomictic reproduction. The aim of this study was to investigate the reproductive traits, test for autonomous apomixis, and assess seed formation in triploid [...] Read more.
Limonium Mill. species present a polymorphic sexual system associated with flower polymorphisms like ancillary pollen and stigma, with sexual and/or apomictic reproduction. The aim of this study was to investigate the reproductive traits, test for autonomous apomixis, and assess seed formation in triploid Limonium algarvense and Limonium daveaui. Pollen-stigma combinations were determined and the number of flowers and seeds counted. Single-seed flow cytometry was performed using seeds in three phenological stages: immature (stage I), early maturing (stage II) and mature seeds (stage III). The findings revealed that all triploid plants were self-sterile and produced seeds in the absence of pollination. Despite L. daveaui having a higher number of flowers than L. algarvense, a significantly higher ratio of seeds/flowers was observed in the latter species. Stage-dependent endosperm developmental patterns were observed, with nucleated cells present in stage II seeds with a light brown or pinkish coat, and an embryo peak and an endosperm peak with the double ploidy level. Stage III seeds, with a dark brown coat, presented only an embryo peak. Additionally, a single hexaploid endosperm peak was detected in stage I seeds, revealing early initiation of the endosperm with nucleated cells prior to embryo development. The single 6C endosperm peak was always associated with shrunken and wrinkled or underdeveloped stage I seeds but was never detected in stage II seeds. Overall, our results support reproduction via asexually formed seeds with pollen-independent endosperm formation and allow the identification of phenological development stages and seed coat morphological markers associated with single-seed flow cytometric screening patterns in apomictic species. Full article
(This article belongs to the Section Cytogenomics)
Show Figures

Figure 1

20 pages, 3051 KB  
Article
Floral Traits, Pollination and Reproductive Differentiation in Gynodioecious Minuartia nifensis (Caryophyllaceae)
by Volkan Eroğlu and Serdar Gökhan Şenol
Plants 2026, 15(6), 913; https://doi.org/10.3390/plants15060913 - 16 Mar 2026
Viewed by 458
Abstract
The endemic Minuartia nifensis, the only known gynodioecious species of its genus, offers a suitable model for understanding the relationships between floral characteristics, pollination, and mating systems in species with narrow distributions and single populations. We analyzed population structure, floral morphology, pollen [...] Read more.
The endemic Minuartia nifensis, the only known gynodioecious species of its genus, offers a suitable model for understanding the relationships between floral characteristics, pollination, and mating systems in species with narrow distributions and single populations. We analyzed population structure, floral morphology, pollen viability, stigma receptivity, mating system components, and pollinator assemblages using field observations, morphometric measurements, controlled pollination experiments (autogamy, allogamy, apomixis and open pollination), and standardized pollinator surveys. The population exhibited an approximately balanced hermaphrodite–female ratio (0.97:1) and clear sexual dimorphism, with hermaphrodite flowers significantly larger than female flowers. Despite this dimorphism, pollinator visitation was similar between morphs, with 52.54% of visits to hermaphrodite flowers and 47.46% to female flowers. A total of 1734 visits by seven visitor species were recorded, of which approximately 95% of potentially effective pollen transfer was attributable to three bee taxa. Pollen viability, stigma receptivity, and visitation frequency peaked between 12:00 and 14:00, accounting for 58% of total insect visits. Controlled pollination experiments showed highest reproductive success under cross-pollination and limited success under self-pollination, indicating a mixed but predominantly outcrossing mating system. Together, these results suggest that gynodioecy in M. nifensis may be supported by floral differentiation, temporal reproductive traits, and pollinator-mediated pollen transfer. Full article
Show Figures

Figure 1

10 pages, 2305 KB  
Article
Early Shedding of Sepals Promotes Cross-Pollination of Actaea erythrocarpa (Ranunculaceae)
by Jiudong Zhang, Weijun Xu, Deng Yang, Xiaoxiao Liu, Xiaohui Zhang, Rui Guo, Jing Xu, Ziwei Li, Jie Sui, Lin Wang and Tianpeng Gao
Biology 2026, 15(6), 468; https://doi.org/10.3390/biology15060468 - 14 Mar 2026
Viewed by 347
Abstract
The diversity of floral traits in angiosperms has evolved over time as an adaptive response to reproductive demands. Investigating floral characteristics and pollination systems helps elucidate the evolutionary drivers behind morphological variation in flowers. In this study, we examined A. erythrocarpa to systematically [...] Read more.
The diversity of floral traits in angiosperms has evolved over time as an adaptive response to reproductive demands. Investigating floral characteristics and pollination systems helps elucidate the evolutionary drivers behind morphological variation in flowers. In this study, we examined A. erythrocarpa to systematically document its floral morphology, stigma receptivity, pollen–ovule ratio, breeding system, and pollinator behavior. Results showed that the sepals abscised completely at the early flowering stage, while stigmas became receptive even during the bud phase. The pollen–ovule ratio was 1773.58 ± 689.75, indicating a facultatively xenogamous breeding system. Bagging experiments further confirmed that the species is self-compatible but does not exhibit apomixis or wind pollination. Field observations identified Agromyzidae sp. and E. balteatus as the primary pollinators, which visited flowers at high frequency after sepal abscission but before anther dehiscence. Compared with its congener A. asiatica, which exhibits delayed sepal abscission and relies mainly on selfing, A. erythrocarpa demonstrates distinct floral morphological adaptations linked to its specialized pollination strategy. These two species thus represent divergent reproductive adaptation patterns within the genus. Therefore, the visiting behavior of fly insects and the early shedding of sepals promotes cross-pollination of A. erythrocarpa. Full article
(This article belongs to the Section Plant Science)
Show Figures

Figure 1

24 pages, 10859 KB  
Article
Hieracium petrocastellanum, sp. nov., and Other New Records in the Genus Hieracium (Asteraceae) from the Pollino National Park (Southern Italy)
by Emilio Di Gristina, Enrico Bajona, Günter Gottschlich, Raimondo Pardi, Gianniantonio Domina and Giuseppe Venturella
Appl. Sci. 2026, 16(5), 2398; https://doi.org/10.3390/app16052398 - 28 Feb 2026
Viewed by 289
Abstract
Hieracium L. s. str. is a taxonomically critical genus of perennial herbaceous plants widely distributed across temperate regions of Europe, Asia, and North America. In Italy, its diversity is mainly concentrated in the Alps and northern Apennines, whereas southern Italy hosts only a [...] Read more.
Hieracium L. s. str. is a taxonomically critical genus of perennial herbaceous plants widely distributed across temperate regions of Europe, Asia, and North America. In Italy, its diversity is mainly concentrated in the Alps and northern Apennines, whereas southern Italy hosts only a limited number of relict taxa. Recent floristic surveys conducted in the Pollino National Park (southern Italy) revealed the presence of five Hieracium taxa, which were subsequently subjected to critical taxonomic evaluation. Detailed morphological analyses, supported by original herbarium comparisons and multivariate morphometric analyses, resulted in the description of a new species, here named H. petrocastellanum, the confirmation of H. pallescens subsp. tephrochlorum in the Italian flora after nearly 130 years from its discovery, and the first record for the Pollino area of H. symphytifolium, previously considered endemic to the Madonie Mountains (north-central Sicily), as well as H. pellitum subsp. pellitum and H. caesioides subsp. caesioides. The new species, Hieracium petrocastellanum, differs in having basal leaves with cuneate bases, only 0–1 cauline leaves, and bracts with sparse simple hairs and moderately dense glandular hairs. Ecological information and data on taxonomic relationships are also provided. The conservation status is assessed for H. petrocastellanum, H. pallescens subsp. tephrochlorum, and H. symphytifolium. An analytical key is presented to distinguish the new species from its closest relatives. These results confirm the Pollino National Park as a biodiversity hotspot and improve current knowledge of Hieracium. Full article
(This article belongs to the Special Issue Advances in Diversity of Plant Species, Communities, and Ecology)
Show Figures

Figure 1

18 pages, 2752 KB  
Review
Research Advances in Multiple Embryos and Apomixis in Rice (Oryza sativa L.)
by Junhao Dan, Wuhua Long, Mudan Qiu, Longhui Zhang, Chaoxin Wu, Xue Jiang, Shengyan Fang, Susong Zhu and Huafeng Deng
Int. J. Mol. Sci. 2025, 26(15), 7257; https://doi.org/10.3390/ijms26157257 - 27 Jul 2025
Viewed by 2615
Abstract
A typical seed of rice (Oryza sativa L.) gives rise to a single seedling. In contrast, seeds from multiple embryos may develop into two or more seedlings, one of which is generated via sexual reproduction, while the others are likely to originate [...] Read more.
A typical seed of rice (Oryza sativa L.) gives rise to a single seedling. In contrast, seeds from multiple embryos may develop into two or more seedlings, one of which is generated via sexual reproduction, while the others are likely to originate through apomictic pathways. Therefore, the occurrence of multiple embryos is often considered a hallmark of apomixis in rice. Apomixis refers to an asexual reproductive strategy wherein unreduced gametes form through modified meiosis (apomeiosis) without fertilization, thereby generating clonal offspring generally genetically identical to the maternal plant. This process is of great relevance in fixing heterosis in hybrid rice breeding. This review discusses the origin, frequency, genetic regulation, and candidate genes related to multiple embryos in rice and provides a systematic summary of the latest research advances in rice apomixis. The insights presented in this study provide a theoretical foundation for the application of apomixis in rice breeding. Full article
(This article belongs to the Section Molecular Plant Sciences)
Show Figures

Figure 1

17 pages, 6842 KB  
Article
Identification of the Embryogenesis Gene BBM in Alfalfa (Medicago sativa) and Analysis of Its Expression Pattern
by Yuzhu Li, Jiangdi Yu, Jiamin Miao, Weinan Yue and Tongyu Xu
Agronomy 2025, 15(8), 1768; https://doi.org/10.3390/agronomy15081768 - 23 Jul 2025
Viewed by 1282
Abstract
Apomixis-mediated fixation of heterosis could transform hybrid breeding in alfalfa (Medicago sativa), a globally important forage crop. The parthenogenesis-inducing morphogenetic regulator BABY BOOM (BBM) represents a promising candidate for enabling this advancement. Here, we identified BBM homologs from three alfalfa genomes, [...] Read more.
Apomixis-mediated fixation of heterosis could transform hybrid breeding in alfalfa (Medicago sativa), a globally important forage crop. The parthenogenesis-inducing morphogenetic regulator BABY BOOM (BBM) represents a promising candidate for enabling this advancement. Here, we identified BBM homologs from three alfalfa genomes, characterized their promoter regions, and cloned a 2082 bp MsBBM gene encoding a 694-amino acid nuclear-localized protein. Three alfalfa BBM gene promoters primarily contained light- and hormone-responsive elements. Phylogenetic and conserved domain analyses of the MsBBM protein revealed a high sequence similarity with M. truncatula BBM. Expression profiling demonstrated tissue-specific accumulation of MsBBM transcripts, with the highest expression in the roots and developing pods. Hormonal treatments differentially regulated MsBBM. Expression was upregulated by GA3 (except at 4 h) and SA, downregulated by NAA, MeJA (both except at 8 h), and ABA (except at 4 h), while ETH treatment induced a transient expression peak at 2 h. As an AP2/ERF family transcription factor showing preferential expression in young embryos, MsBBM likely participates in reproductive development and may facilitate apomixis. These findings establish a molecular framework for exploiting MsBBM to enhance alfalfa breeding efficiency through heterosis fixation. Full article
(This article belongs to the Section Grassland and Pasture Science)
Show Figures

Figure 1

15 pages, 1612 KB  
Brief Report
A Simple High-Throughput Procedure for Microscale Extraction of Bioactive Compounds from the Flowers of Saint John’s Wort (Hypericum perforatum L.)
by Mila Rusanova, Krasimir Rusanov, Marina Alekova, Liliya Georgieva, Pavlina Georgieva, Tzvetelina Zagorcheva and Ivan Atanassov
Appl. Sci. 2025, 15(13), 7334; https://doi.org/10.3390/app15137334 - 30 Jun 2025
Cited by 1 | Viewed by 1098
Abstract
We report the development of a procedure for ultrasound-assisted microscale extraction of metabolites from the flowers of Saint John’s wort (Hypericum perforatum L.), designed for comparative metabolite analysis of plants from genetic resource collections and natural and segregating populations. The procedure involves [...] Read more.
We report the development of a procedure for ultrasound-assisted microscale extraction of metabolites from the flowers of Saint John’s wort (Hypericum perforatum L.), designed for comparative metabolite analysis of plants from genetic resource collections and natural and segregating populations. The procedure involves high-throughput methanol extraction of metabolites from ground-frozen flowers at a selected stage of flower development, which is carried out in a standard 2 mL Eppendorf tube. A total of 18 compounds, including chlorogenic acid, catechins, glycosylated flavonoids, hypericins, and hyperforin, were identified based on LC/DAD/QTOF analysis, of which 16 could be detected in the UV-Vis spectrum. Two alternative versions of the procedure were evaluated: the “single-flower” procedure, including repeated collection and analysis of single flowers from the tested plant, and the “bulk-flower” procedure, employing the collection of a bulk flower sample from the tested plant and analysis of a portion of the ground sample. The results showed excellent technical reproducibility of the “single-flower” procedure when used with the suggested combination of the peak areas for the proto- and stable forms of pseudohypericin and hypericin. Application of the developed “single-flower” procedure for comparison of the plants derived from seed progeny of the apomictic line Hp93 revealed significantly lower metabolite variation among the apomictic progeny plants compared to the variation observed among plants belonging to different genotypes. Full article
(This article belongs to the Special Issue Biosynthesis and Applications of Natural Products)
Show Figures

Figure 1

15 pages, 955 KB  
Article
Genetic Diversity in Sporophytic Apomictic Neotropical Savanna Trees: Insights from Eriotheca and Handroanthus Agamic Complexes
by Rafaela Cabral Marinho, Mariana Gonçalves Mendes, Clesnan Mendes-Rodrigues, Ana Maria Bonetti, Eduardo Leite Borba, Paulo Eugênio Oliveira and Diana Salles Sampaio
Diversity 2025, 17(4), 254; https://doi.org/10.3390/d17040254 - 31 Mar 2025
Cited by 1 | Viewed by 650
Abstract
Apomictic populations, which produce seeds with embryos without proper sexual syngamy, often show low genetic diversity, but eventually, such diversity has been reported to be surprisingly high. We studied here the genetic diversity in agamic complexes of Eriotheca crenulata (comb. n. E. gracilipes [...] Read more.
Apomictic populations, which produce seeds with embryos without proper sexual syngamy, often show low genetic diversity, but eventually, such diversity has been reported to be surprisingly high. We studied here the genetic diversity in agamic complexes of Eriotheca crenulata (comb. n. E. gracilipes), E. pubescens (Malvaceae-Bombacoideae), and Handroanthus ochraceus (Bignoniaceae), tropical tree species from the savannas in Central Brazil. We evaluated the genetic diversity and structure of self-fertile polyploid sporophytic apomicts versus self-sterile diploid or tetraploid sexual populations by using dominant ISSR markers. Genetic diversity was either similar or even higher in apomictic populations of E. crenulata and E. pubescens, but the opposite was observed in some populations of H. ochraceus. Only two individuals of E. pubescens showed identical ISSR profiles, so strict clonality in adult individuals was very rare among the studied trees. The genetic variability was notably higher within populations than among populations of H. ochraceus and very similar among and within populations of Eriotheca species. Ordination, clustering, and Bayesian analyses showed a clear distinction between populations of Eriotheca species with different breeding systems. But for H. ochraceus, a sexual population was actually grouped with the apomictics. As in other studies, eventual sexual and recombination events seem to increase genetic diversity in apomictic populations. This may explain the similar genetic diversity among apomictic and sexual populations in the studied agamic complexes and the virtual absence of strict clonal individuals. The results have evolutionary and ecological consequences for the threatened Neotropical savanna trees. Full article
(This article belongs to the Section Plant Diversity)
Show Figures

Figure 1

26 pages, 4979 KB  
Article
The Role of Reproductive Modes in Shaping Genetic Diversity in Polyploids: A Comparative Study of Selfing, Outcrossing, and Apomictic Paspalum Species
by A. Verena Reutemann, Mara Schedler, Diego H. Hojsgaard, Elsa A. Brugnoli, Alex L. Zilli, Carlos A. Acuña, Ana I. Honfi and Eric J. Martínez
Plants 2025, 14(3), 476; https://doi.org/10.3390/plants14030476 - 6 Feb 2025
Cited by 2 | Viewed by 2144
Abstract
Exploring the genetic diversity and reproductive strategies of Paspalum species is essential for advancing forage grass improvement. We compared morpho-phenological, molecular, and genotypic variation in five tetraploid Paspalum species with contrasting mating systems and reproductive modes. Contrary to previous findings, selfing (Paspalum [...] Read more.
Exploring the genetic diversity and reproductive strategies of Paspalum species is essential for advancing forage grass improvement. We compared morpho-phenological, molecular, and genotypic variation in five tetraploid Paspalum species with contrasting mating systems and reproductive modes. Contrary to previous findings, selfing (Paspalum regnellii and P. urvillei) and outcrossing (P. durifolium and P. ionanthum) species exhibited similar phenotypic diversity patterns, with low intrapopulation variability and no morphological differentiation among populations. The apomictic species (P. intermedium) exhibited low intrapopulation phenotypic variation but high population differentiation, indicative of genetic drift and local adaptation. Outcrossing species showed greater intrapopulation genotypic variation than selfing species, which displayed a high population structure due to restricted pollen migration. The apomictic species exhibited the lowest intrapopulation molecular diversity, forming uniclonal populations with high interpopulation differentiation, highlighting the fixation of distinct gene pools via apomixis. This is the first report about genetic diversity in populations of sexual allopolyploid species of Paspalum. Population structure in these allotetraploid Paspalum species is primarily shaped by how reproductive modes, mating systems, and geographic distribution influence gene flow via pollen and seeds. Our findings contribute significantly to the conservation and genetic improvement of forage grasses, particularly for developing cultivars with enhanced adaptability and productivity. Full article
(This article belongs to the Special Issue Genetic Resources and Improvement of Forage Plants)
Show Figures

Figure 1

25 pages, 2386 KB  
Article
Phytochemical Characterisation of Sorbus Species: Unveiling Flavonoid Profiles Related to Ploidy and Hybrid Origin
by Emina Korić, Violeta Milutinović, Alma Hajrudinović-Bogunić, Faruk Bogunić, Tatjana Kundaković-Vasović, Irma Gušić, Jelena Radović Selgrad, Kemal Durić and Haris Nikšić
Plants 2025, 14(1), 119; https://doi.org/10.3390/plants14010119 - 3 Jan 2025
Cited by 4 | Viewed by 2499
Abstract
The genetic, morphological and taxonomic diversity of the genus Sorbus is due to homoploid and polyploid hybridisation, autopolyploidy and apomixis, which also influence the production and diversity of secondary metabolites, especially flavonoids. The aim of this study was to investigate the relationships and [...] Read more.
The genetic, morphological and taxonomic diversity of the genus Sorbus is due to homoploid and polyploid hybridisation, autopolyploidy and apomixis, which also influence the production and diversity of secondary metabolites, especially flavonoids. The aim of this study was to investigate the relationships and variations of flavonoids in terms of hybrid origin and ploidy level between the parental species and their hybrid derivatives. The sampling design included leaf material of the following Sorbus accessions from ten natural localities: parental taxa (di-, tri- and tetraploids of S. aria; diploid S. torminalis and S. aucuparia) and their di-, tri- and tetraploid hybrid derivatives from crosses of S. aria × S. torminalis (subg. Tormaria) as well as the tetraploid S. austriaca and S. bosniaca, which originate from crosses of S. aria × S. aucuparia (subg. Soraria). We analysed the flavonoid profiles from the leaf fractions by LC-MS. A total of 23 flavonoids were identified, including apigenin and luteolin derivatives, which distinguish the hybrid groups from each other. This profiling highlights the distinctiveness of the Tormaria and Soraria accessions and emphasises the potential of the subg. Tormaria for further research on bioactive compounds in biological studies. Full article
(This article belongs to the Special Issue Phytochemistry and Pharmacological Properties of Medicinal Plants)
Show Figures

Figure 1

18 pages, 20472 KB  
Article
Genome-Wide Identification and Evolutionary Analysis of Functional BBM-like Genes in Plant Species
by Zhengyuan Hong, Linghong Zhu, Chaolei Liu, Kejian Wang, Yuchun Rao and Hongwei Lu
Genes 2024, 15(12), 1614; https://doi.org/10.3390/genes15121614 - 17 Dec 2024
Cited by 2 | Viewed by 2201
Abstract
Background/Objectives: BABY BOOM (BBM), a transcription factor from the APETALA2 (AP2) protein family, plays a critical role in somatic embryo induction and apomixis. BBM has now been widely applied to induce apomixis or enhance plant transformation and regeneration efficiency through overexpression or [...] Read more.
Background/Objectives: BABY BOOM (BBM), a transcription factor from the APETALA2 (AP2) protein family, plays a critical role in somatic embryo induction and apomixis. BBM has now been widely applied to induce apomixis or enhance plant transformation and regeneration efficiency through overexpression or ectopic expression. However, the structural and functional evolutionary history of BBM genes in plants is still not well understood. Methods: The protein sequences of 10 selected plant species were used to locate the branch of BBM-Like by key domain identification and phylogenetic tree construction. The identified BBML genes were used for further conserved motif identification, gene structural analysis, miRNA binding site prediction, cis-acting element prediction, collinear analysis, protein–protein interaction network construction, three-dimensional structure modeling, molecular docking, and expression pattern analysis. Results: A total of 24 BBML proteins were identified from 10 representative plant species. Phylogenetic relationship analysis displayed that BBML proteins from eudicots and monocots were divided into two clusters, with monocots exhibiting a higher number of BBMLs. Gene duplication events indicated that whole genome/segmental duplication were the primary drivers of BBML genes’ evolution in the tested species, with purifying selection playing a key role during evolution processes. Comparative analysis of motif, domains, and gene structures revealed that most BBMLs were highly evolutionarily conserved. The expression patterns of BBML genes revealed significant tissue specificity, particularly in the root and embryo. We also constructed protein–protein interaction networks and molecular docking models to identify functional pathways and key amino acid residues of BBML proteins. The functions of BBMLs may differ between monocots and eudicots, as suggested by the functional enrichment of interacting proteins. Conclusions: Our research delved into the molecular mechanism, evolutionary relationships, functional differentiation, and expression patterns of BBML genes across plants, laying the groundwork for further investigations into the molecular properties and biological roles of BBMLs. Full article
(This article belongs to the Special Issue Genetics and Genomics of Rice)
Show Figures

Figure 1

28 pages, 2423 KB  
Review
Recent Progress on Plant Apomixis for Genetic Improvement
by Lihua Xue, Yingying Zhang, Fang Wei, Gongyao Shi, Baoming Tian, Yuxiang Yuan, Wenjing Jiang, Meiqi Zhao, Lijiao Hu, Zhengqing Xie and Huihui Gu
Int. J. Mol. Sci. 2024, 25(21), 11378; https://doi.org/10.3390/ijms252111378 - 23 Oct 2024
Cited by 8 | Viewed by 7049
Abstract
Apomixis is a reproductive process that produces clonal seeds while bypassing meiosis (or apomeiosis) without undergoing fertilization (or pseudo-fertilization). The progenies are genetically cloned from their parents, retaining the parental genotype, and have great potential for the preservation of genes of interest and [...] Read more.
Apomixis is a reproductive process that produces clonal seeds while bypassing meiosis (or apomeiosis) without undergoing fertilization (or pseudo-fertilization). The progenies are genetically cloned from their parents, retaining the parental genotype, and have great potential for the preservation of genes of interest and the fixing of heterosis. The hallmark components of apomixis include the formation of female gametes without meiosis, the development of fertilization-independent embryos, and the formation of functional endosperm. Understanding and utilizing the molecular mechanism of apomixis has far-reaching implications for plant genetic breeding and agricultural development. Therefore, this study focuses on the classification, influencing factors, genetic regulation, and molecular mechanism of apomixis, as well as progress in the research and application of apomixis-related genes in plant breeding. This work will elucidate the molecular mechanisms of apomixis and its application for plant genetic improvement. Full article
(This article belongs to the Special Issue The Biochemistry, Molecular and Cell Biology Beyond Flowers)
Show Figures

Figure 1

28 pages, 5610 KB  
Article
Reproductive Performance of the Alpine Plant Species Ranunculus kuepferi in a Climatic Elevation Gradient: Apomictic Tetraploids Do Not Show a General Fitness Advantage over Sexual Diploids
by Ursula Ladinig, Elvira Hörandl, Simone Klatt and Johanna Wagner
Life 2024, 14(9), 1202; https://doi.org/10.3390/life14091202 - 22 Sep 2024
Cited by 1 | Viewed by 1891
Abstract
Previous studies on the mountain plant Ranunculus kuepferi concluded that apomictic self-compatible tetraploids have experienced a niche shift toward a colder climate during the Holocene, which suggests a fitness advantage over the sexual, self-sterile diploid parents under cold and stressful high-mountain conditions. However, [...] Read more.
Previous studies on the mountain plant Ranunculus kuepferi concluded that apomictic self-compatible tetraploids have experienced a niche shift toward a colder climate during the Holocene, which suggests a fitness advantage over the sexual, self-sterile diploid parents under cold and stressful high-mountain conditions. However, there is still a lack of information on whether reproductive development would be advantageous for tetraploids. Here, we report on microsporogenesis, megagametogenesis, the dynamics of flower and seed development, and the consequences for reproductive success in a common garden experiment along a 1000 m climatic elevation gradient and in natural populations. Flower buds were initiated in the year preceding anthesis and passed winter in a pre-meiotic stage. Flower morphology differed in the known cytotype-specific way in that tetraploid flowers produced about twice as many carpels and fewer petals, stamens, and pollen grains than diploid flowers. Tetraploids developed precociously aposporous embryo sacs and showed a high rate of developmental disturbances. Sexual seed formation prevailed in diploids and pseudogamous apomixis in tetraploids. Along the elevation gradient, stigma pollen load, pollen performance, and seed output decreased. Combinations of reproductive traits, namely, bypass of meiosis irregularities and uniparental reproduction, might have promoted the vast expansion of apomictic R. kuepferi lines across the European Alps. Full article
(This article belongs to the Special Issue Plant Functional Genomics and Breeding)
Show Figures

Figure 1

18 pages, 5617 KB  
Article
Influence of Functional Traits of Dominant Species of Different Life Forms and Plant Communities on Ecological Stoichiometric Traits in Karst Landscapes
by Yang Wang, Limin Zhang, Ling Feng, Zuhong Fan, Ying Deng and Tu Feng
Plants 2024, 13(17), 2407; https://doi.org/10.3390/plants13172407 - 28 Aug 2024
Cited by 4 | Viewed by 2661
Abstract
Assessing the functional traits and ecological stoichiometric characteristics of dominant species across different life forms within plant communities in karst environments and investigating the inherent connection between them can provide insights into how species adjust their functional attributes in response to habitat heterogeneity. [...] Read more.
Assessing the functional traits and ecological stoichiometric characteristics of dominant species across different life forms within plant communities in karst environments and investigating the inherent connection between them can provide insights into how species adjust their functional attributes in response to habitat heterogeneity. This approach offers a more comprehensive understanding of ecosystem processes and functions in contrast to examination of the taxonomic diversity of species. This study examines the relationship between the functional characteristics of dominant species in plant communities of various life forms in karst environments, focusing on deciduous leaf–soil ecological stoichiometry. The investigation relies on community science surveys, as well as the determination and calculation of plant functional traits and ecological stoichiometries, in plant communities of various life forms in Guizhou (a province of China). The findings of our study revealed considerable variability in the functional trait characteristics of dominant species across different plant-community life forms. Specifically, strong positive correlations were observed among plant height (PLH), leaf area (LA), leaf dry matter content (LDMC), and specific leaf area (SLA) in the dominant species. Additionally, our results indicated no significant differences in leaf ecological stoichiometry among different life forms. However, we did observe significant differences and strong positive correlations between soil N:P, withered material C:N, and apomictic C:P. Furthermore, our study found that plant height (PLH), leaf area (LA), and specific leaf area (SLA) were particularly sensitive to the ecological stoichiometry of soil and apomixis. The results of our study suggest that the functional traits of diverse plant-community life forms in karst regions are capable of adapting to environmental changes through various expressions and survival strategies. The development of various plant-community life forms in karst areas is particularly vulnerable to phosphorus limitation, and the potential for litter decomposition and soil nutrient mineralization is comparatively weaker. The functional traits of various plant-community life forms in karst regions exhibit greater sensitivity to both the soil’s C:N ratio and the C:N ratio of apomictic material. Habitat variations may influence the ecological stoichiometric characteristics of the plant leaf–apomictic soil continuum. Full article
(This article belongs to the Special Issue Maintenance and Function of Biodiversity in Forests)
Show Figures

Figure 1

Back to TopTop