Sign in to use this feature.

Years

Between: -

Subjects

remove_circle_outline
remove_circle_outline
remove_circle_outline
remove_circle_outline
remove_circle_outline
remove_circle_outline
remove_circle_outline
remove_circle_outline
remove_circle_outline

Journals

remove_circle_outline
remove_circle_outline

Article Types

Countries / Regions

remove_circle_outline
remove_circle_outline
remove_circle_outline

Search Results (456)

Search Parameters:
Keywords = aperture shape

Order results
Result details
Results per page
Select all
Export citation of selected articles as:
11 pages, 6247 KB  
Article
Design and Ultra-Precision Fabrication of Freeform Fresnel Lenses for Generating Rectangular Dark Hollow Beams
by Juan Zhang, Qilu Huang, Yingxin Xu, Chaocheng Yang and Tingdi Liao
Micromachines 2026, 17(4), 448; https://doi.org/10.3390/mi17040448 - 3 Apr 2026
Viewed by 183
Abstract
Freeform Fresnel lenses combine the powerful beam-shaping capability of freeform optics with the lightweight and compact characteristics of conventional Fresnel structures, leading to their increasing adoption across diverse applications. This paper proposes and experimentally validates a method for generating rectangular dark hollow beams [...] Read more.
Freeform Fresnel lenses combine the powerful beam-shaping capability of freeform optics with the lightweight and compact characteristics of conventional Fresnel structures, leading to their increasing adoption across diverse applications. This paper proposes and experimentally validates a method for generating rectangular dark hollow beams using a freeform Fresnel lens. The lens is divided into multiple fan-shaped sectors centered on the optical axis, with each sector generating a defocused spot at a distinct spatial location. Based on geometrical optics, a freeform Fresnel lens with a 25 mm aperture is designed to produce a square hollow beam with a side length of 10 mm. A lens with a division angle of 5° was fabricated using ultra-precision diamond turning. The angular form error was measured to be below 0.1°, and the surface roughness was found to be below 10 nm. An optical testing system was established to characterize the generated beam profile. The experimental results successfully demonstrate the formation of the desired rectangular dark hollow beam. The measured results agree well with the simulations, confirming the feasibility and practical potential of the proposed method. Full article
(This article belongs to the Special Issue Photonic and Optoelectronic Devices and Systems, 4th Edition)
Show Figures

Figure 1

18 pages, 4791 KB  
Review
From Particles to Networks: A Review of Shape Memory Polymer-Based Lost Circulation Materials for Effective Fracture Sealing
by Maryam Tabatabaei and Arash Dahi Taleghani
Processes 2026, 14(6), 939; https://doi.org/10.3390/pr14060939 - 16 Mar 2026
Viewed by 283
Abstract
Lost circulation remains a persistent and costly challenge in drilling operations for oil, gas, and geothermal energy systems, particularly when wide fractures and cavernous formations are encountered. Although a wide range of lost circulation materials (LCMs) is commercially available, multiple laboratory studies report [...] Read more.
Lost circulation remains a persistent and costly challenge in drilling operations for oil, gas, and geothermal energy systems, particularly when wide fractures and cavernous formations are encountered. Although a wide range of lost circulation materials (LCMs) is commercially available, multiple laboratory studies report that many conventional products are unable to effectively seal fractures of approximately 5 mm width under controlled conditions. In contrast, recent investigations of shape memory polymer (SMP)-based LCMs have demonstrated successful sealing of fractures up to approximately 12 mm in width. This review examines recent advances in SMP-based LCMs as an emerging class of smart materials capable of overcoming geometric and operational constraints associated with drilling equipment, particularly bottom-hole assembly (BHA) components. Through thermomechanical programming, these materials are transformed into compact temporary shapes suitable for seamless circulation and are subsequently triggered by reservoir temperatures to recover permanent geometries up to an order of magnitude larger. Upon activation, these discrete elements function collectively as a hierarchical, jammed system. The resulting multiscale networks—comprising ladder-shaped elements, interwoven fibers, and granular particles—bridge large apertures, enhance mechanical interlocking, and achieve superior hydraulic isolation. Full article
Show Figures

Figure 1

25 pages, 3043 KB  
Article
Research on the Ambiguity Function Characteristics of Uniform Circular Frequency Diverse Array Sonar
by Weiye Liu and Yixin Yang
J. Mar. Sci. Eng. 2026, 14(6), 522; https://doi.org/10.3390/jmse14060522 - 10 Mar 2026
Viewed by 299
Abstract
The existing research on frequency diverse arrays (FDAs) predominantly concentrates on narrowband uniform linear frequency diverse arrays (ULFDAs). The uniform circular array presents advantages, such as a small aperture and omnidirectional scanning. In practical underwater acoustic environments, multi-carrier narrowband signals are commonly utilized. [...] Read more.
The existing research on frequency diverse arrays (FDAs) predominantly concentrates on narrowband uniform linear frequency diverse arrays (ULFDAs). The uniform circular array presents advantages, such as a small aperture and omnidirectional scanning. In practical underwater acoustic environments, multi-carrier narrowband signals are commonly utilized. Nevertheless, current studies lack theoretical analysis and exploration of the performance of narrowband uniform circular frequency diverse arrays (UCFDAs). This paper, utilizing a UCFDA sonar transmit and single-element receive model, introduces narrowband signals employing a multi-carrier design. Through the time-domain convolution of signals output from matched filters, we deduce the general expression of the ambiguity function and its properties for UCFDA sonar within the narrowband framework. Simulations employing rectangular pulses are executed to validate the accuracy of the derived analytical expression of the ambiguity function. Moreover, we conduct a comparative analysis of the ambiguity function shapes for UCFDA sonar with linear frequency offset models, natural logarithmic frequency offset models, and multi-carrier UCFDA sonar. This analysis reveals that the nonlinear characteristics of the natural logarithmic frequency offset model effectively eliminate the periodically appearing ambiguity peaks in the ambiguity function of traditional linear frequency offset UCFDA sonar. Furthermore, the multi-carrier design significantly diminishes the sidelobe level in the zero-Doppler cut and has higher robustness under noise conditions. Full article
(This article belongs to the Section Ocean Engineering)
Show Figures

Figure 1

25 pages, 5609 KB  
Article
Design and In-Orbit Validation of a Novel Compact Bidirectional Trapezoidal Reflector for X-Band Spaceborne SAR Absolute Radiometric Calibration
by Shiyu Sun, Yu Wang, Huijuan Li and Xin Zhang
Remote Sens. 2026, 18(5), 770; https://doi.org/10.3390/rs18050770 - 3 Mar 2026
Viewed by 232
Abstract
Spaceborne synthetic aperture radar (SAR) absolute radiometric calibration relies on point targets with a known radar cross-section (RCS), such as triangular trihedral corner reflectors (TTCRs). Traditionally, radiometric calibration using TTCRs requires precise alignment of the corner reflector (CR) boresight to the radar line-of-sight [...] Read more.
Spaceborne synthetic aperture radar (SAR) absolute radiometric calibration relies on point targets with a known radar cross-section (RCS), such as triangular trihedral corner reflectors (TTCRs). Traditionally, radiometric calibration using TTCRs requires precise alignment of the corner reflector (CR) boresight to the radar line-of-sight (LOS), leading to frequent field operations and high labor dependency. In this study, a novel compact bidirectional trapezoidal CR is proposed to eliminate such alignment reorientations. The novel CR adopts three design considerations: a scalene shape to optimize the boresight elevation angle and enhance the peak RCS; a bidirectional configuration with azimuth fine-tuning to align with the radar LOS for both ascending and descending passes; and trapezoidal plate trimming to reduce the volume and weight without sacrificing RCS performance. An in-orbit validation is conducted in Xi’an, China, using the SuperView Neo 2-03 satellite. The results demonstrate that the imaging quality of the bidirectional trapezoidal CRs is comparable to that of conventional TTCRs, with all the parameters meeting system specifications. The radiometric calibration constant of the bidirectional trapezoidal CR differs from that of the conventional TTCR by no more than 0.27 dB, with a total uncertainty of ~0.33 dB (1σ)—demonstrating that it achieves equivalent radiometric calibration accuracy to TTCRs. The experiment confirms the feasibility and engineering applicability of the bidirectional trapezoidal CR for X-band SAR radiometric calibration. Full article
(This article belongs to the Section Satellite Missions for Earth and Planetary Exploration)
Show Figures

Figure 1

31 pages, 6993 KB  
Article
Research on Ultrasonic Imaging of Defects in Insulating Materials Based on the SAFT
by Yukun Ma, Yi Tian, Tian Tian and Juntang Huang
Appl. Sci. 2026, 16(5), 2400; https://doi.org/10.3390/app16052400 - 28 Feb 2026
Viewed by 282
Abstract
As a critical barrier for power network safety, insulating materials are susceptible to internal microcracks, delamination, and other hidden defects that can trigger dielectric strength degradation and space charge accumulation, ultimately leading to insulation breakdown. Ultrasonic shear wave non-destructive testing enables defect identification [...] Read more.
As a critical barrier for power network safety, insulating materials are susceptible to internal microcracks, delamination, and other hidden defects that can trigger dielectric strength degradation and space charge accumulation, ultimately leading to insulation breakdown. Ultrasonic shear wave non-destructive testing enables defect identification without damaging the material. Therefore, this paper focuses on the identification and imaging of internal defects in insulating components using ultrasonic shear waves. First, a physical model for ultrasonic shear wave NDT is established. Based on the refraction and reflection characteristics of ultrasonic waves in materials with different acoustic impedances, a defect localization formula is derived. Through simulation verification, for the three defects set at different positions in the defect model, the positioning error is less than 0.5 mm. Subsequently, defects such as circular holes, triangular shapes, cracks, and bottom grooves were simulated. Analysis of the echo data revealed a correlation between the distance from the sensor to the defect and the echo amplitude. For groove defect imaging, the differential SAFT algorithm was employed, achieving a width error of 1 mm for imaging a 2 mm wide by 5 mm high groove, clearly presenting the defect morphology. Finally, an imaging software program for defect structure reconstruction was developed based on the simulation model presented in this article. We collected side and back view data through the constructed ultrasonic transverse wave non-destructive testing experimental platform, and visualized defects in insulation materials with grooves using this ultrasonic imaging program. This study achieved defect localization and imaging through simulation of various defect types combined with synthetic aperture focused imaging algorithms, providing a reference for visualization and industrial application of ultrasonic shear wave non-destructive testing technology. Full article
(This article belongs to the Section Electrical, Electronics and Communications Engineering)
Show Figures

Figure 1

14 pages, 3704 KB  
Article
Research on Low Numerical Aperture 808 nm Fiber-Coupled Semiconductor Laser
by Fei Lin, Qi Wu, Wei Luo, Yishui Lin, Zhaoxuan Zheng, Mingkun Yuan, Qizhi Zhang, Maodong Hu, Dongxin Xu, Guojun Liu and Yi Qu
Micromachines 2026, 17(3), 285; https://doi.org/10.3390/mi17030285 - 25 Feb 2026
Viewed by 416
Abstract
This article investigates fiber coupling techniques for low numerical aperture 808 nm semiconductor lasers. A coupling optical system combining fast-axis/slow-axis collimators (FAC/SAC) with a focusing lens was designed, achieving efficient coupling through high-precision optical integration packaging. First, a high-power GaAs-based 808 nm semiconductor [...] Read more.
This article investigates fiber coupling techniques for low numerical aperture 808 nm semiconductor lasers. A coupling optical system combining fast-axis/slow-axis collimators (FAC/SAC) with a focusing lens was designed, achieving efficient coupling through high-precision optical integration packaging. First, a high-power GaAs-based 808 nm semiconductor laser chip was designed and fabricated. Its thermal performance and operational stability were enhanced by optimizing packaging materials and structures. The coupling system employs a fast-axis collimating lens, slow-axis collimating lens, and aspheric focusing lens to shape the beam and focus it into a 200 μm/0.12 NA fiber. Experimental results show that the developed coupling module achieves the threshold current of 1.2 A at 298 K, the continuous output power of 9.59 W, with the slope efficiency of 1.1 W/A, a coupling efficiency of 95%, the maximum output numerical aperture of 0.116, the wavelength temperature drift coefficient of approximately 0.2 nm/°C, and the peak brightness of 0.72 MW/cm2·sr. This study validates the feasibility and superiority of the FAC/SAC combined with focusing lens approach for low-NA fiber coupling. It provides theoretical and practical foundations for fiber coupling in high-brightness, high-power laser systems, offering promising applications in solid-state laser pumping, enhancing system integration, and enabling long-distance, high-brightness transmission. Full article
(This article belongs to the Special Issue Optoelectronic Integration Devices and Their Applications)
Show Figures

Figure 1

31 pages, 4861 KB  
Article
Fractional-Order African Vulture Optimization-Based Beamforming for Planar Antenna Array
by Fares S. Almehmadi and Bakht Muhammad Khan
Fractal Fract. 2026, 10(2), 131; https://doi.org/10.3390/fractalfract10020131 - 22 Feb 2026
Viewed by 300
Abstract
Beamforming plays a central role in enhancing the performance of communication systems; however, suppressing sidelobes in planar antenna arrays (PAAs) while maintaining a compact aperture remains a challenging nonlinear optimization problem. This article presents a two-dimensional (2D) beamforming synthesis framework for PAAs based [...] Read more.
Beamforming plays a central role in enhancing the performance of communication systems; however, suppressing sidelobes in planar antenna arrays (PAAs) while maintaining a compact aperture remains a challenging nonlinear optimization problem. This article presents a two-dimensional (2D) beamforming synthesis framework for PAAs based on the Fractional-Order African Vulture Optimization Algorithm (FO-AVOA), with the objective of minimizing the peak sidelobe level (PSLL) through the joint optimization of amplitude excitations and element placements. The proposed method is benchmarked against established metaheuristic optimizers, including Particle Swarm Optimization (PSO), the Gravitational Search Algorithm (GSA), hybrid PSO–GSA (PSOGSA), the Runge–Kutta Optimizer (RUN), the Slime Mould Algorithm (SMA), Harris Hawks Optimization (HHO), and the baseline African Vulture Optimization Algorithm (AVOA). Simulation results demonstrate that the FO-AVOA, coupled with the proposed 2D formulation, yields superior sidelobe suppression relative to the competing approaches, achieving a lower PSLL with fewer radiating elements, thereby reducing array complexity and overall implementation cost. The obtained results validate the suitability of the FO-AVOA for solving PAA in the context of BFA beamforming and suggest the potential utility of the FO-AVOA for pattern synthesis for other array shapes in various communication systems. Full article
(This article belongs to the Special Issue Advances in Fractional Order Signal Processing: Theory and Methods)
Show Figures

Figure 1

20 pages, 1371 KB  
Article
Heat Transfer and Thermal Efficiency Enhancement of Parabolic Trough Collectors Using Al2O3–Therminol VP-1 Nanofluids
by Vijay Kumar Pandey, Om Prakash, Asim Ahmad, Sujit Kumar, Salem Algarni, Talal Alqahtani, Kashif Irshad and S M Mozammil Hasnain
Energies 2026, 19(4), 1051; https://doi.org/10.3390/en19041051 - 18 Feb 2026
Viewed by 574
Abstract
A parabolic trough collector (PTC) is a linear concentrating system consisting of a parabolic-shaped reflector with a receiver tube positioned along the focal axis. In this study, the performance of a parabolic trough solar collector is evaluated, with aperture area, collector length, breadth, [...] Read more.
A parabolic trough collector (PTC) is a linear concentrating system consisting of a parabolic-shaped reflector with a receiver tube positioned along the focal axis. In this study, the performance of a parabolic trough solar collector is evaluated, with aperture area, collector length, breadth, Rim angle, and inner and outer absorber diameters of 5.54 m2, 3.65 m, 1.52 m, 70°, 0.048 m, and 0.05 m, respectively. The experiment was conducted at Ranchi, India (23.35° N and 85.30° E). During this day, marked by a cloudless sky, the ambient temperature ranged from 27 °C to 39 °C. The global solar radiation ranged from (630 W/m2 to 975 W/m2), and the wind speed varied between (0.8 m/s and 1 m/s). Aluminium oxide (Al2O3) and Therminol VP-1-based nanofluid were employed as the working fluid. The different volume fractions of nanoparticles were taken, and the evacuated tube PTC performance was analysed. When Al2O3–Therminol VP-1 of varying concentration (0–4%) and mass flow rate of 0.041 kg/sec is used, it has been observed that the receiver’s heat transfer performance improved with an increment in nanoparticle volume fraction. Temperature-dependent properties were applied to the thermal efficiency, exhibiting a notable increase of approximately 7.2% when the volume fraction ascends from 0 to 4%. At elevated Reynolds numbers, the efficiency decreases compared to lower volume fractions. These results contribute to understanding the effect of nanoparticle concentration on PTC performance. Full article
(This article belongs to the Special Issue Heat Transfer Enhancement in Sustainable Energy Systems)
Show Figures

Figure 1

22 pages, 6553 KB  
Article
Integrated Wavefront Detection for Large-Aperture Segmented Planar Mirrors: Concept & Principle
by Rui Sun, Qichang An and Xiaoxia Wu
Photonics 2026, 13(2), 189; https://doi.org/10.3390/photonics13020189 - 14 Feb 2026
Viewed by 417
Abstract
Planar mirrors play a crucial role in autocollimation testing and optical beam relay systems of telescopes and other fields. However, for the next-generation large-aperture telescopes, typical monolithic planar mirrors fall short in meeting anticipated performance requirements, owing to their high costs and fabrication [...] Read more.
Planar mirrors play a crucial role in autocollimation testing and optical beam relay systems of telescopes and other fields. However, for the next-generation large-aperture telescopes, typical monolithic planar mirrors fall short in meeting anticipated performance requirements, owing to their high costs and fabrication limitations. Here, a new integrated multimodal testing method for 3–4 m-class segmented planar mirrors is proposed. The presented system utilizes an innovative keystone architecture with a central mirror and keystone-shaped segments, which is superior to the traditional hexagonal architecture. To facilitate rapid coarse alignment, a machine vision system based on edge detection is investigated. Furthermore, the dispersed fringe technique is used for robust co-phasing. By using a segmented planar mirror designed with sub-aperture stitching strategy and combining local apertures, the system cost was reduced and high-precision measurement was achieved. Eventually, the alignment, co-focus and co-phasing measurements based on the proposed concept were completed, and the transfer characteristics were determined by analyzing the Optical Transfer Function (OTF). Test data shows co-phasing accuracy of better than 30 nm RMS (root-mean-square) and alignment accuracy less than 10 arcseconds. In addition, the system uses small-aperture mirrors in autocollimation testing to facilitate flexible alignment and testing of individual segments. The test optical path is configured to match the effective focal length of the system under test, and the optical lever effect of reflectors enhances the alignment sensitivity. The method combines autocollimation and wavefront sensing which allows the approach to provide high-precision control of co-focus, co-phasing, and surface errors correction. Full article
(This article belongs to the Special Issue Advances in Optical Fiber Sensing Technology)
Show Figures

Figure 1

36 pages, 6057 KB  
Article
SADW-Det: A Lightweight SAR Ship Detection Algorithm with Direction-Weighted Attention and Factorized-Parallel Structure Design
by Mengshan Gui, Hairui Zhu, Weixing Sheng and Renli Zhang
Remote Sens. 2026, 18(4), 582; https://doi.org/10.3390/rs18040582 - 13 Feb 2026
Viewed by 438
Abstract
Synthetic Aperture Radar (SAR) is a powerful observation system capable of delivering high-resolution imagery under variable sea conditions to support target detection and tracking, such as for ships. However, conventional optical target detection models are typically engineered for complex optical imagery, leading to [...] Read more.
Synthetic Aperture Radar (SAR) is a powerful observation system capable of delivering high-resolution imagery under variable sea conditions to support target detection and tracking, such as for ships. However, conventional optical target detection models are typically engineered for complex optical imagery, leading to limitations in accuracy and high computational resource consumption when directly applied to SAR imagery. To address this, this paper proposes a lightweight shape-aware and direction-weighted algorithm for SAR ship detection, SADW-Det. First, a lightweight streamlined backbone network, LSFP-NET, is redesigned based on the YOLOX architecture. This achieves reduced parameter counts and computational burden by incorporating depthwise separable convolutions and factorized convolutions. Concurrently, a parallel fusion module is designed, leveraging multiple small-kernel depthwise separable convolutions to extract features in parallel. This approach maintains accuracy while achieving lightweight processing. Furthermore, addressing the differences between SAR imagery and other imaging modalities, a direction-weighted attention was devised. This enhances model performance with minimal computational overhead by incorporating positional information while preserving channel data. Experimental results demonstrate superior detection accuracy compared to existing methods on three representative SAR datasets, SSDD, HRSID and DSSDD, while achieving reduced parameter counts and computational complexity, indicating strong application potential and laying the foundation for cross-modal applications. Full article
(This article belongs to the Special Issue Radar and Photo-Electronic Multi-Modal Intelligent Fusion)
Show Figures

Figure 1

15 pages, 477 KB  
Article
Coupling Effects and Analysis in Extremely Large-Scale Planar Array Antennas
by Zhiwei Yuan, Zhuxian Lian, Yinjie Su, Yajun Wang, Chuanjin Zu, Bibo Zhang and Lin Ling
Sensors 2026, 26(4), 1109; https://doi.org/10.3390/s26041109 - 9 Feb 2026
Viewed by 385
Abstract
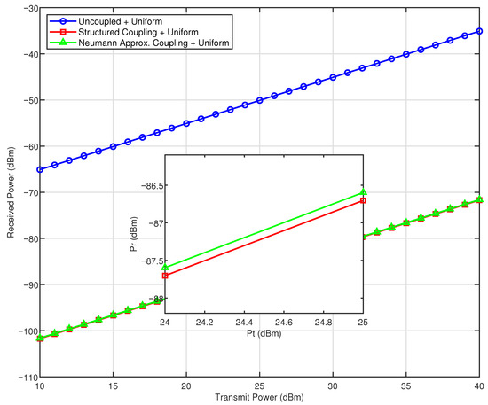
This paper develops a physically consistent precoding framework for extremely large antenna arrays (ELAAs), incorporating structural mutual coupling through a two-dimensional impedance network. To maintain scalability, we introduce a Neumann series approximation for the inverse coupling operator. Our analysis reveals that coupling-aware received [...] Read more.
This paper develops a physically consistent precoding framework for extremely large antenna arrays (ELAAs), incorporating structural mutual coupling through a two-dimensional impedance network. To maintain scalability, we introduce a Neumann series approximation for the inverse coupling operator. Our analysis reveals that coupling-aware received power maximization reduces to a Hermitian rank-one quadratic form, whose optimum aligns with the dominant eigendirection of the effective coupling-shaped channel. This result indicates that both eigen-decomposition-based optimization and coupling-aware maximum ratio transmission (MRT) enhance power efficiency under mutual coupling, with the eigenmode design achieving superior performance. In addition, we further extend the analysis from the free-space path to the multipath scenario, demonstrating the robustness and adaptability of the proposed method under practical propagation conditions. Simulations confirm that structural coupling severely degrades conventional MRT, whereas the proposed eigenmode method with Neumann approximated coupling attains the highest received power among all considered schemes. The framework is interpretable, numerically stable, and readily implementable, offering practical guidance for energy-efficient near-field beamforming on ultra-large apertures. Full article
(This article belongs to the Section Electronic Sensors)
Show Figures

Figure 1

9 pages, 20032 KB  
Article
Wide-Aperture Diffraction-Based Beam-Shaping Structures for Enhanced Directivity in Next-Generation High-Frequency Communication Systems
by Vladislovas Čižas, Simonas Driukas, Andrius Masaitis, Kotryna Nacienė, Kasparas Stanaitis, Egidijus Šideika and Linas Minkevičius
Instruments 2026, 10(1), 10; https://doi.org/10.3390/instruments10010010 - 4 Feb 2026
Viewed by 545
Abstract
Sub-terahertz (sub-THz) frequencies are in the spotlight in the ongoing development of sixth-generation (6G) wireless communication systems, offering ultra-high data rates and low latency for rapidly emerging applications. However, employment of sub-THz frequencies introduces strict propagation challenges, including free-space path loss and atmospheric [...] Read more.
Sub-terahertz (sub-THz) frequencies are in the spotlight in the ongoing development of sixth-generation (6G) wireless communication systems, offering ultra-high data rates and low latency for rapidly emerging applications. However, employment of sub-THz frequencies introduces strict propagation challenges, including free-space path loss and atmospheric absorption, which limit coverage and reliability. To address these issues, highly directional links are required. The conventional beam-shaping solutions such as refractive lenses and parabolic mirrors are bulky, heavy, and costly, making them less attractive for compact systems. Diffractive optical elements (DOEs) offer a promising alternative by enabling precise wavefront control through phase modulation, resulting in thin, lightweight components with high focusing efficiency. Employing the fused deposition modelling (FDM) using high-impact polystyrene (HIPS) allows cost-effective fabrication of DOEs with minimal material waste and high diffraction efficiency. This work investigates the beam-shaping performance of the FDM-printed structures comparing DOEs and spherical refraction-based structures, wherein both are aiming for application in sub-THz communication systems. DOEs exhibit clear advantages over classically employed solutions. Full article
(This article belongs to the Section Optical and Photonic Instruments)
Show Figures

Figure 1

29 pages, 6425 KB  
Article
Investigation on the Improvement of Geogrid Performance Based on Topology Optimization of Aperture Shape
by Linman Cao, Yumin Chen, Saeed Sarajpoor, Xiaofei Yao, Xiuwei Zhao, Yanan Meng and Runze Chen
Buildings 2026, 16(3), 625; https://doi.org/10.3390/buildings16030625 - 2 Feb 2026
Viewed by 385
Abstract
Geogrids significantly enhance the soil matrix stability and foundation bearing capacity. Despite the development of numerous geogrid configurations, their geometric design has not yet been systematically optimized. The design of geogrid aperture geometry aims to maximize geogrid performance while maintaining material efficiency. Nevertheless, [...] Read more.
Geogrids significantly enhance the soil matrix stability and foundation bearing capacity. Despite the development of numerous geogrid configurations, their geometric design has not yet been systematically optimized. The design of geogrid aperture geometry aims to maximize geogrid performance while maintaining material efficiency. Nevertheless, topology optimized geogrid designs remain underexplored, particularly regarding the influence of aperture shape on interface shear behavior. To address this gap, this study developed SIMP-based variable density topology optimization models for three types of tensile geogrid structures: uniaxial, biaxial, and triaxial geogrid. The effects of key model parameters on the optimization results are examined, resulting in new geogrid geometries optimized primarily to minimize compliance, achieving weight reductions of 7%, 10%, and 12%, respectively. Subsequently, FLAC3D was used for tensile performance analysis, while coupled PFC3D–FLAC3D was employed for interfacial friction performance analysis. In FLAC3D, numerical simulations demonstrated that the topologically optimized geogrid outperformed conventional ones in both tensile resistance and strain distribution. Consequently, conventional biaxial and triaxial geogrids, along with their topologically optimized versions, were chosen for further analysis. Pull-out interface simulations of these geogrids were conducted using the coupled discrete element–finite difference method (PFC3D–FLAC3D) to investigate the influence of geogrid aperture shape and aperture ratio on the soil–geogrid interface. The results indicate that the reinforcement efficiency of the topologically optimized biaxial and triaxial geogrids was 10% and 8% higher, respectively, than that of the conventional geogrids. Taking the biaxial geogrid as an example, a comprehensive comparison of performance parameters between the conventional and topology-optimized versions revealed that the optimized design achieved a 10% reduction in weight. Simultaneously, it reduced stress concentration at critical locations by approximately 60% and increased the interface pull-out resistance by 20%. These findings demonstrate that the new topologically optimized geogrid exhibits significant potential for further promotion and application in practical engineering. Full article
Show Figures

Figure 1

21 pages, 4544 KB  
Article
Small Ship Detection Based on a Learning Model That Incorporates Spatial Attention Mechanism as a Loss Function in SU-ESRGAN
by Kohei Arai, Yu Morita and Hiroshi Okumura
Remote Sens. 2026, 18(3), 417; https://doi.org/10.3390/rs18030417 - 27 Jan 2026
Viewed by 1556
Abstract
Ship monitoring using Synthetic Aperture Radar (SAR) data faces significant challenges in detecting small vessels due to low spatial resolution and speckle noise. While ESRGAN (Enhanced Super-Resolution Generative Adversarial Network) has shown promise for image super-resolution, it struggles with SAR imagery characteristics. This [...] Read more.
Ship monitoring using Synthetic Aperture Radar (SAR) data faces significant challenges in detecting small vessels due to low spatial resolution and speckle noise. While ESRGAN (Enhanced Super-Resolution Generative Adversarial Network) has shown promise for image super-resolution, it struggles with SAR imagery characteristics. This study proposes SA/SU-ESRGAN, which extends the SU-ESRGAN framework by incorporating a spatial attention mechanism loss function. SU-ESRGAN introduced semantic structural loss to accurately preserve ship shapes and contours; our enhancement adds spatial attention to focus reconstruction efforts on ship regions while suppressing background noise. Experimental results demonstrate that SA/SU-ESRGAN successfully detects small vessels that remain undetectable by SU-ESRGAN, achieving improved detection capabilities with a PSNR of approximately 26 dB (SSIM is around 0.5) and enhanced visual clarity in ship boundaries. The spatial attention mechanism effectively reduces noise influence, producing clearer super-resolution results suitable for maritime surveillance applications. Based on the HRSID dataset, a representative dataset for evaluating ship detection performance using SAR data, we evaluated ship detection performance using images in which the spatial resolution of the SAR data was artificially degraded using a smoothing filter. We found that with a 4 × 4 filter, all eight ships were detected without any problems, but with an 8 × 8 filter, only three of the eight ships were detected. When super-resolution was applied to this, six ships were detected. Full article
(This article belongs to the Special Issue Applications of SAR for Environment Observation Analysis)
Show Figures

Figure 1

27 pages, 13095 KB  
Article
Process Optimization for Ultra-Precision Machining of HUD Freeform Surface Mold Cores Based on Slow Tool Servo
by Tianji Xing, Naiming Qi, Huanming Gao, Longkun Xu, Xuesen Zhao and Tao Sun
Micromachines 2026, 17(2), 164; https://doi.org/10.3390/mi17020164 - 27 Jan 2026
Viewed by 597
Abstract
With the rapid development of Head-Up Display (HUD) technology for vehicles, optical freeform mirrors, as its core optical components, are crucial for achieving system compactness and high imaging quality. However, their complex surface shapes and large-aperture characteristics pose significant challenges to ultra-precision manufacturing. [...] Read more.
With the rapid development of Head-Up Display (HUD) technology for vehicles, optical freeform mirrors, as its core optical components, are crucial for achieving system compactness and high imaging quality. However, their complex surface shapes and large-aperture characteristics pose significant challenges to ultra-precision manufacturing. This study presents a systematic optimization framework for the ultra-precision machining of HUD optical freeform mold cores, integrating surface design, tool path planning, vibration analysis, and process parameter optimization. Firstly, based on the XY polynomial freeform surface model, an off-axis three-mirror HUD system was designed, and the surface parameters and machining dimensions of the mold core were determined. For the Single-Point Diamond Turning (SPDT) Slow Tool Servo (STS) process, a hybrid trajectory planning method combining equidistant projection and cubic spline interpolation was proposed to ensure the smoothness and accuracy of the tool path. Through theoretical analysis and experimental verification, the selection criteria for tool parameters such as tool nose radius and effective cutting angle were clarified, and the mechanistic impact of Z-axis vibration on surface roughness and waviness was quantitatively revealed. Finally, through ultra-precision turning experiments and on-machine measurement, a high-precision freeform surface mold core was successfully fabricated. This validates the effectiveness and feasibility of the proposed process solution and provides technical support for the high-quality manufacturing of HUD optical elements. Full article
(This article belongs to the Special Issue Diamond Micro-Machining and Its Applications)
Show Figures

Figure 1

Back to TopTop