Design and In-Orbit Validation of a Novel Compact Bidirectional Trapezoidal Reflector for X-Band Spaceborne SAR Absolute Radiometric Calibration
Highlights
- A novel compact bidirectional trapezoidal CR is proposed for spaceborne SAR radiometric calibration to eliminate the need for CR alignment reorientations in the field while minimizing RCS loss as much as possible.
- In-orbit validation demonstrates that the difference in calibration constants between the novel CR (non-aligned radiometric calibration method) and the TTCR (traditional aligned calibration method) meets the radiometric calibration accuracy requirement.
- The novel CR significantly simplifies field operations and reduces labor dependency, making it suitable for the spaceborne SAR commissioning phase and long-term performance monitoring.
- Its bidirectional configuration supports both ascending and descending satellite passes, effectively increasing the frequency of radiometric calibration and enhancing the data acquisition efficiency.
Abstract
1. Introduction
- Minimizing or eliminating the need for CR alignment reorientations in the field
- Supporting both ascending and descending satellite passes
- Featuring a compact physical size and a simplified mechanical structure
2. Design Considerations
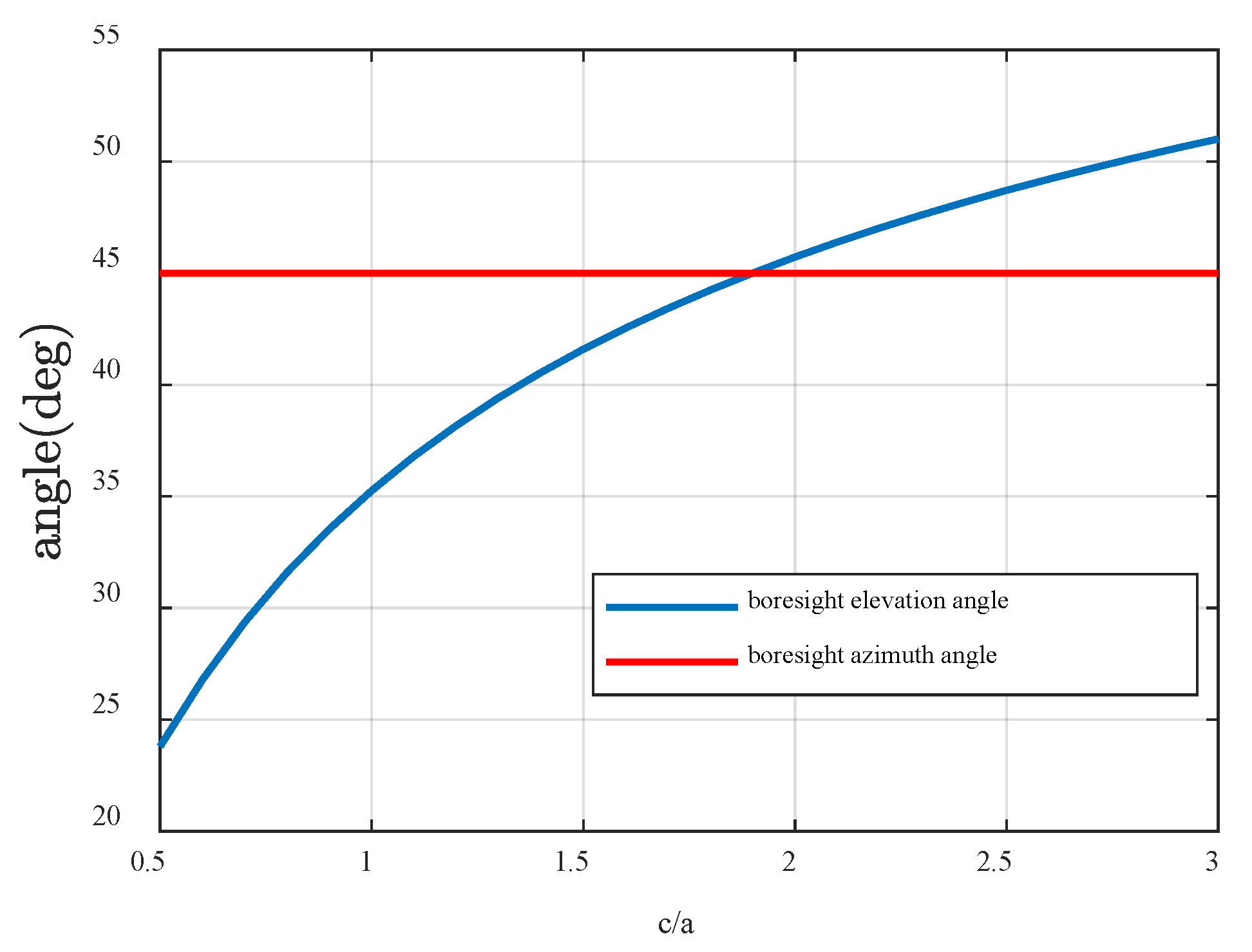
2.1. Scalene Shape Design for Boresight Elevation Optimization
2.2. Bidirectional Configuration for Dual-Orbit Adaptation
2.3. Trapezoidal Trimming Design for Compactness Enhancement
2.4. Overall Structure and Performance Simulation
3. Experimental Setup
3.1. Test Satellite and Experimental Data
3.2. Test Site
3.3. Determination of CR Orientation and Field Initial Alignment
3.3.1. Calculation of CR Azimuth Angle
3.3.2. Field Initial Alignment
- Align the north reference mark on the support plate with the due north direction.
- Adjust the mounting stand of the CR to achieve a 0° horizontal level, then verify its horizontality using a digital level (DELIXI, Wenzhou, China).
- Adjust the CR orientation according to the azimuth angle calculated in Section 3.3.1 and verify with a GNSS orientation instrument (Beijing Beidou Interstellar Technology Co., Ltd., Beijing, China). The instrument is placed horizontally on the base edge AB of the CR (as shown in Figure 8), and its reading is equal to the calculated azimuth angle minus 90°. Record the measured values of the CR azimuth angle.
3.4. Determination of Nominal RCS for Bidirectional Trapezoidal CRs
3.4.1. Calculation of Radar LOS Angles
3.4.2. Calculation of Nominal RCS of CRs
- Establish a computer-aided design (CAD) model of the CR in the FEKO software. The orientation of the model must be consistent with the data recorded in Section 3.3.2.
- Set the angle of the far-field incident electromagnetic wave according to the radar LOS incident direction calculated in Section 3.4.1.
- Configure key parameters such as the frequency and polarization mode in accordance with the satellite imaging conditions.
- Select the Method of Moments (MOM) as the simulation solver and then execute the simulation to output the nominal RCS of the bidirectional trapezoidal CR under the current observation geometry.
3.5. Data Processing Methodology
- Read the SLC imagery (originally provided as sigma-nought) that has been corrected for the range spread loss and antenna pattern and determine the position of each CR.
- Taking the CR position as the center, extract the data of a 64 × 64 pixel rectangular window. Within this window, the cross-shaped region formed by rows 31:34 and columns 31:34 is defined as the energy integration region, and the four 20 × 20 pixel square regions at the four corners are defined as the background clutter regions [10].
- Perform 32-fold interpolation on the 64 × 64 pixel rectangular window image using the FFT interpolation method to obtain upsampled image data.
- Calculate the point target energy of each CR using the integral method [12]:where is the summed energy of the energy integration region, is the summed energy of the background clutter region, is the number of pixels in the energy integration region, and is the number of pixels in the background clutter region.
- Extract the impulse response function (IRF) of each CR and calculate its impulse response width (IRW), peak sidelobe ratio (PSLR), and integrated sidelobe ratio (ISLR) [10].
- Calculate the SCR of each CR:
- Eliminate CRs for which the IRW, PSLR, and ISLR fail to meet the system specifications (see Table 1) and the SCR is less than 30 dB.
- Calculate the calibration constant of each CR:where is the nominal RCS of the CR.
4. Experimental Results
4.1. Image Quality Assessment
4.2. SCR Assessment
4.3. Calibration Constant Computation
- (1)
- SAR radiometric noise
- (2)
- Speckle
- (3)
- Background clutter
- (4)
- Target variability
- (5)
- Pointing
4.4. RCS Analysis
- (1)
- Manufacturing tolerances
- (2)
- Pointing error
- (3)
- Energy extraction error
- (4)
- Calibration constant error
5. Discussion
6. Conclusions
Author Contributions
Funding
Data Availability Statement
Conflicts of Interest
References
- Shimada, M. Imaging from Spaceborne and Airborne SARs, Calibration, and Applications. J. Remote Sens. Soc. Jpn. 2019, 39, 323. [Google Scholar] [CrossRef]
- Ulaby, F.T.; Long, D.G.; Blackwell, W.; Elachi, C.; Zebker, H. Microwave Radar and Radiometric Remote Sensing; The University of Michigan Press: Ann Arbor, MI, USA, 2015. [Google Scholar]
- Freeman, A. SAR calibration: An overview. IEEE Trans. Geosci. Remote Sens. 1992, 30, 1107–1121. [Google Scholar] [CrossRef]
- Zhou, Y.S.; Ying, Q.; Yin, Q.; Wang, A.C.; Zhang, F. SAR Absolute Radiometric Calibration Utilizing Offshore Wind Farms With Mask-Based Response Energy Extraction Approach. IEEE J. Sel. Top. Appl. Earth Obs. Remote Sens. 2025, 18, 16816–16830. [Google Scholar] [CrossRef]
- Zhou, Y.S.; Yang, B.P.; Yin, Q.; Ma, F.; Zhang, F. Improved SAR Radiometric Cross-Calibration Method Based on Scene-Driven Incidence Angle Difference Correction and Weighted Regression. IEEE Trans. Geosci. Remote Sens. 2024, 62, 5224216. [Google Scholar] [CrossRef]
- Döring, B.J. Traceable Radiometric Calibration of Synthetic Aperture Radars. Ph.D. Thesis, Karlsruhe Institute of Technology, Karlsruhe, Germany, 2016. [Google Scholar]
- Yadav, V.P.; Prasad, R.; Bala, R.; Vishwakarma, A.K. Estimation of soil moisture through water cloud model using sentinel-1A SAR data. In Proceedings of the IGARSS 2019—2019 IEEE International Geoscience and Remote Sensing Symposium, Yokohama, Japan, 28 July–2 August 2019; IEEE: New York, NY, USA, 2019; pp. 6961–6964. [Google Scholar] [CrossRef]
- Zhang, X.F.; Zhang, H.; Wang, C. Water-change detection with Chinese Gaofen-3 simulated compact polarimetric SAR images. In Proceedings of the 2017 SAR in Big Data Era: Models, Methods and Applications (BIGSARDATA), Beijing, China, 16–18 January 2017; IEEE: New York, NY, USA, 2017; pp. 1–4. [Google Scholar] [CrossRef]
- Ulander, I.M.H. Accuracy of using point targets for SAR calibration. IEEE Trans. Aerosp. Electron. Syst. 1991, 27, 139–148. [Google Scholar] [CrossRef]
- Huang, Q.; Zhang, F.; Li, L.; Liu, X.; Jiao, Y.; Yuan, X.; Li, H. Quick Quality Assessment and Radiometric Calibration of C-SAR/01 Satellite Using Flexible Automatic Corner Reflector. Remote Sens. 2023, 15, 104. [Google Scholar] [CrossRef]
- Algafsh, A.; Inggs, M.; Mishra, A.K. The effect of perforating the corner reflector on maximum radar cross section. In Proceedings of the 2016 16th Mediterranean Microwave Symposium (MMS), Abu Dhabi, United Arab Emirates, 28–30 November 2016; IEEE: New York, NY, USA, 2016; pp. 1–4. [Google Scholar] [CrossRef]
- Garthwaite, M.; Nancarrow, S.; Hislop, A.; Thankapan, M.; Dawson, J.; Lawrie, S. The Design of Radar Corner Reflectors for the Australian Geophysical Observing System: A single design suitable for InSAR deformation monitoring and SAR calibration at multiple microwave frequency bands. Comput. Aided Chem. Eng. 2015, 18, 469–474. [Google Scholar] [CrossRef]
- Doerry, A.W. Reflectors for SAR Performance Testing; Sandia National Laboratories: Albuquerque, NM, USA, 2008. [Google Scholar] [CrossRef]
- Garthwaite, M.C. Correction: Garthwaite, M.C. on the Design of Radar Corner Reflectors for Deformation Monitoring in Multi-Frequency InSAR. Remote Sens. 2018, 10, 86. [Google Scholar] [CrossRef]
- Montuori, A.; Grimani, V. COSMO-SKYMED Mission CAL-VAL Status. In Proceedings of the CEOS SAR Workshop, Virtually, 2–4 November 2021; CEOS WGCV-SAR Subgroup: Vancouver, BC, Canada, 2021. [Google Scholar]
- Chapman, B.; Castracane, P.; Garthwaite, M.; Geudtner, D.; Klenk, P.; Pinheiro, M.; Reimann, J.; Sharma, S.; Thibeault, M.; Valentino, A. The CEOS SAR Calibration Network—SARCalNet. In Proceedings of the 15th European Conference on Synthetic Aperture Radar (EUSAR 2024), Munich, Germany, 23–26 April 2024; VDE: Berlin, Germany, 2024; pp. 587–590. [Google Scholar]
- The SARCalNet Initiative. Available online: https://www.sarcalnet.org/the-sarcalnet-initiative/ (accessed on 10 December 2025).
- Freeman, A. Radiometric Calibration of SAR Image Data; Jet Propulsion Laboratory: Pasadena, CA, USA, 2010. [Google Scholar]
- Grimani, V.; Salemme, P. Inter-satellites radiometric calibration status of COSMO-SkyMed constellation. In Proceedings of the CEOS SAR Workshop, Noordwijk, The Netherlands, 27–29 October 2015; CEOS WGCV-SAR Subgroup: Vancouver, BC, Canada, 2015. [Google Scholar]
- Zheng, Q.; Wang, Y.; Hong, J.; Wang, A.C. Feasibility, Design, and Deployment Requirements of TCR for Bistatic SAR Radiometric Calibration. Remote Sens. 2018, 10, 1610. [Google Scholar] [CrossRef]
- Gisinger, C.; Willberg, M.; Balss, U.; Kluegel, T.; Maehler, S.; Pail, R.; Eineder, M. Differential geodetic stereo SAR with TerraSAR-X by exploiting small multi-directional radar reflectors. J. Geod. 2017, 91, 53–67. [Google Scholar] [CrossRef]
- Bányai, L.; Nagy, L.; Hooper, A.; Bozsó, I.; Szűcs, E. Investigation of Integrated Twin Corner Reflectors Designed for 3-D InSAR Applications. IEEE Geosci. Remote Sens. Lett. 2020, 17, 1013–1016. [Google Scholar] [CrossRef]
- Parisi, A.; Nitti, D.O.; Nutricato, R.; Preziosa, G.; Loconsole, A.M.; Prudenzano, F.; Guaragnella, C. Investigating radar cross sections of passive radar reflectors for C-band and X-band SAR satellite missions. Microw. Remote Sens. Data Process. Appl. II 2023, 5, 264337621. [Google Scholar] [CrossRef]
- Saeed, A.; Hellwich, O. Design, deployment, and localization of bidirectional corner reflectors for TerraSAR-X. In Proceedings of the 2017 IEEE Microwaves, Radar and Remote Sensing Symposium (MRRS), Kiev, Ukraine, 29–31 August 2017; IEEE: New York, NY, USA, 2017; pp. 267–270. [Google Scholar] [CrossRef]
- Fuhrmann, T.; Garthwaite, M.; Brennand, S.; Brown, N. Combination of GNSS and InSAR for Future Australian Datums. In Proceedings of the International Global Navigation Satellite Systems Association (IGNSS) Symposium 2018, Sydney, Autralia, 7–9 February 2018. [Google Scholar]
- Chen, J.B.; Liu, Y.C.; Li, Y.D.; Tao, M.; Sun, C. Pioneering Demonstration of Large-Baseline Bistatic SAR in China: First Experiment with SuperView Neo-2 Satellites. Sci. China Inf. Sci. 2025, 68, 217301. [Google Scholar] [CrossRef]
- Moreira, A.; Krieger, G.; Villano, M.; Younis, M.; Prats-Iraola, P.; Zink, M. Spaceborne Synthetic Aperture Radar: Future Technologies and Mission Concepts. Proc. IEEE 2025, 1–37. [Google Scholar] [CrossRef]
- Zhou, Z.; Yan, H.; Yin, H.C. High Frequency RCS Representation of Trihedral Corner Reflectors with Scalene Triangle Aperture. In Proceedings of the 2015 IEEE 12th International Conference on Ubiquitous Intelligence and Computing, 12th International Conference on Autonomic Trusted Computing, 15th International Conference on Scalable Computing and Communications and Its Associated Workshops (UIC-ATC-ScalCom), Beijing, China, 10–12 August 2015; IEEE: New York, NY, USA, 2015; pp. 1621–1625. [Google Scholar] [CrossRef]
- Ye, X.; Kaufmann, H.; Guo, X.F. Differential SAR interferometry using corner reflectors. In Proceedings of the IEEE International Geoscience and Remote Sensing Symposium (IGARSS) 2002, Toronto, ON, Canada, 24–28 June 2002; IEEE: New York, NY, USA, 2002; Volume 2, pp. 1243–1246. [Google Scholar] [CrossRef]
- Blacksmith, P.; Hiatt, R.E.; Mack, R.B. Introduction to radar cross-section measurements. Proc. IEEE 1965, 53, 901–920. [Google Scholar] [CrossRef]
- Cumming, I.G.; Wong, F.H. Digital Processing of Synthetic Aperture Radar Data: Algorithms and Implementation; Artech House: Norwood, MA, USA, 2005. [Google Scholar]
- Holt, J.W.; Freeman, A. Calibration of Bonanza Creek, Alaska, SAR Imagery Using Along-Track Calibration Targets. In Proceedings of the International Geoscience and Remote Sensing Symposium (IGARSS ‘90), College Park, MD, USA, 20–24 May 1990. [Google Scholar]
- Craeye, C.; Sobieski, P.; Robin, E.; Guissard, A. Angular Errors in Trihedrals Used for Radar Calibrations. Int. J. Remote Sens. 1997, 18, 2683–2689. [Google Scholar] [CrossRef]
- Wang, B.; Peng, H.; Li, K. Precision Analysis of an Analytical Method in Space Debris Orbit Prediction. In Proceedings of the 2016 International Conference on Computer Engineering, Information Science & Application Technology (ICCIA 2016), Guilin, China, 24–25 September 2016. [Google Scholar]

















| CR | Dimension (m) | Packaging Volume (m3) 1 | Weight (kg) 2 |
|---|---|---|---|
| Trapezoidal CR | OA = OB = OC″ = 1, C″D = 0.33 | 1 | 19.76 |
| Scalene trihedral CR (before truncation) | OA = OB = 1, OC′ = 1.5 | 1.5 | 21.60 |
| Conventional TTCR (equivalent RCS) | OA = OB = OC = 1.14 | 1.48 | 21.06 |
| Parameters | Value |
|---|---|
| Orbital inclination | 97.5° |
| Orbital height | 505 km |
| Frequency band | X-band |
| Center frequency | 9.6 GHz |
| Peak sidelobe ratio (PSLR) | −20 dB |
| Integrated sidelobe ratio (ISLR) | −13 dB |
| Noise equivalent sigma zero (NESZ) | Better than −21 dB |
| Resolution/swath width | Spotlight mode: Better than 1 m/10 km × 10 km Stripmap mode (SM): 2 m/25 km Scan mode: 15 m/100 km |
| Data | Orbit Direction | Look Direction | Imaging Mode | Incidence Angle | Polarization | Range Sample Interval | Azimuth Sample Interval |
|---|---|---|---|---|---|---|---|
| 10 January 2025 | Descending | Right | SM | 33.92~36.23° | HH | 1.99 × 10−4 s | 5.00 × 10−9 s |
| 27 January 2025 | Ascending | Right | SM | 39.03~41.10° | HH | 2.11 × 10−4 s | 5.00 × 10−9 s |
| Time | CR | CR Descending and Ascending Azimuth | Radar LOS Incident and Azimuth Angle | Nominal RCS (dBsm) |
|---|---|---|---|---|
| 10 January 2025 | CR-1 | 97.26°; 263.23° | 34.86°; 277.26° | 36.35 |
| CR-2 | 97.26°; 263.22° | 34.93°; 277.26° | 36.35 | |
| 27 January 2025 | CR-1 | 97.26°; 263.23° | 40.71°; 83.23° | 37.83 |
| CR-2 | 97.26°; 263.22° | 40.67°; 83.23° | 37.80 |
| CR | 10 January 2025 | 27 January 2025 | ||||||||||
|---|---|---|---|---|---|---|---|---|---|---|---|---|
| Resolution (m) | PSLR (dB) | ISLR (dB) | Resolution (m) | PSLR (dB) | ISLR (dB) | |||||||
| Range | Azimuth | Range | Azimuth | Range | Azimuth | Range | Azimuth | Range | Azimuth | Range | Azimuth | |
| CR-1 | 1.64 | 1.76 | −22.51 | −24.07 | −18.06 | −18.91 | 1.40 | 1.78 | −21.14 | −23.14 | −17.35 | −18.75 |
| CR-2 | 1.64 | 1.76 | −22.81 | −23.74 | −18.49 | −18.59 | 1.40 | 1.78 | −20.89 | −22.51 | −17.08 | −18.70 |
| CR-3 | 1.64 | 1.76 | −21.83 | −23.24 | −18.33 | −18.66 | 1.41 | 1.78 | −20.95 | −23.39 | −16.71 | −18.78 |
| CR-4 | 1.63 | 1.81 | −22.93 | −24.18 | −18.65 | −18.96 | 1.37 | 1.78 | −21.15 | −22.89 | −16.95 | −18.24 |
| CR-5 | 1.63 | 1.81 | −22.72 | −24.16 | −18.32 | −18.91 | 1.41 | 1.78 | −20.25 | −23.57 | −16.74 | −18.60 |
| CR-6 | 1.63 | 1.81 | −23.11 | −24.20 | −18.40 | −19.12 | 1.41 | 1.78 | −21.16 | −23.59 | −16.74 | −18.49 |
| CR-7 | 1.62 | 1.76 | −22.62 | −24.03 | −18.45 | −19.08 | 1.42 | 1.78 | −20.07 | −24.25 | −16.87 | −18.50 |
| CR-8 | 1.61 | 1.76 | −22.87 | −23.86 | −18.18 | −18.80 | 1.42 | 1.78 | −21.84 | −22.95 | −17.06 | −18.61 |
| Data | CR-1 | CR-2 | CR-3 | CR-4 | CR-5 | CR-6 | CR-7 | CR-8 |
|---|---|---|---|---|---|---|---|---|
| 10 January 2025 | 46.05 | 43.91 | 45.68 | 45.74 | 47.18 | 47.13 | 47.02 | 45.00 |
| 27 January 2025 | 46.12 | 46.41 | 46.06 | 43.71 | 44.08 | 44.36 | 44.95 | 43.55 |
| CR | 10 January 2025 | 27 January 2025 | ||||
|---|---|---|---|---|---|---|
| RCS (dBsm) | Energy (dB) | Calibration Constant (dB) | RCS (dBsm) | Energy (dB) | Calibration Constant (dB) | |
| CR-1 | 36.35 | 20.03 | −16.33 | 37.83 | 23.34 | −14.49 |
| CR-2 | 36.35 | 20.39 | −15.96 | 37.80 | 23.30 | −14.50 |
| Mean Calibration Constant | −16.15 | −14.50 | ||||
| CR-3 | 36.32 | 19.81 | −16.51 | 36.32 | 21.80 | −14.52 |
| CR-4 | 36.32 | 19.89 | −16.44 | 36.32 | 21.76 | −14.56 |
| CR-5 | 36.32 | 19.90 | −16.42 | 36.32 | 21.66 | −14.66 |
| CR-6 | 36.32 | 19.81 | −16.51 | 36.32 | 21.71 | −14.62 |
| CR-7 | 36.32 | 20.01 | −16.31 | 36.32 | 21.65 | −14.67 |
| CR-8 | 36.32 | 20.01 | −16.32 | 36.32 | 21.70 | −14.62 |
| Mean Calibration Constant | −16.42 | −14.61 | ||||
| Error Source | Radiometric Noise | Speckle | Clutter | Target Variability | Pointing | Total Uncertainty |
|---|---|---|---|---|---|---|
| Category | Random | Random | Systematic | Systematic | Systematic | - |
| Trapezoidal CR | Negligible | 0.21 dB | 0.16 dB | 0.20 dB | 0.03 dB | 0.33 dB |
| TTCR | Negligible | 0.21 dB | 0.16 dB | 0.13 dB | Negligible | 0.29 dB |
| Data | Orbit Direction | Look Direction | Imaging Mode | Incidence Angle | Polarization |
|---|---|---|---|---|---|
| 06 January 2025 | Ascending | Right | Stripmap | 26.8° | HH |
| 10 January 2025 | Descending | Right | Stripmap | 32.7° | HH |
| 11 January 2025 | Ascending | Right | Stripmap | 37.6° | HH |
| 22 January 2025 | Ascending | Right | Stripmap | 26.8° | HH |
| 26 January 2025 | Descending | Right | Stripmap | 32.9° | HH |
| 27 January 2025 | Ascending | Right | Stripmap | 37.7° | HH |
Disclaimer/Publisher’s Note: The statements, opinions and data contained in all publications are solely those of the individual author(s) and contributor(s) and not of MDPI and/or the editor(s). MDPI and/or the editor(s) disclaim responsibility for any injury to people or property resulting from any ideas, methods, instructions or products referred to in the content. |
© 2026 by the authors. Licensee MDPI, Basel, Switzerland. This article is an open access article distributed under the terms and conditions of the Creative Commons Attribution (CC BY) license.
Share and Cite
Sun, S.; Wang, Y.; Li, H.; Zhang, X. Design and In-Orbit Validation of a Novel Compact Bidirectional Trapezoidal Reflector for X-Band Spaceborne SAR Absolute Radiometric Calibration. Remote Sens. 2026, 18, 770. https://doi.org/10.3390/rs18050770
Sun S, Wang Y, Li H, Zhang X. Design and In-Orbit Validation of a Novel Compact Bidirectional Trapezoidal Reflector for X-Band Spaceborne SAR Absolute Radiometric Calibration. Remote Sensing. 2026; 18(5):770. https://doi.org/10.3390/rs18050770
Chicago/Turabian StyleSun, Shiyu, Yu Wang, Huijuan Li, and Xin Zhang. 2026. "Design and In-Orbit Validation of a Novel Compact Bidirectional Trapezoidal Reflector for X-Band Spaceborne SAR Absolute Radiometric Calibration" Remote Sensing 18, no. 5: 770. https://doi.org/10.3390/rs18050770
APA StyleSun, S., Wang, Y., Li, H., & Zhang, X. (2026). Design and In-Orbit Validation of a Novel Compact Bidirectional Trapezoidal Reflector for X-Band Spaceborne SAR Absolute Radiometric Calibration. Remote Sensing, 18(5), 770. https://doi.org/10.3390/rs18050770

