Thermally Stable and Energy Efficient Newly Synthesized Bipolar Emitters for Yellow and Green OLED Devices
Abstract
1. Introduction
2. Results and Discussion
2.1. Photo-Physical Properties
2.2. Electrochemical Properties
2.3. Thermal Properties
2.4. Structure and Characterization of Electroluminescent OLED Devices
2.5. CIE-Chromaticity Diagram and Color Temperature
3. Experimental Part
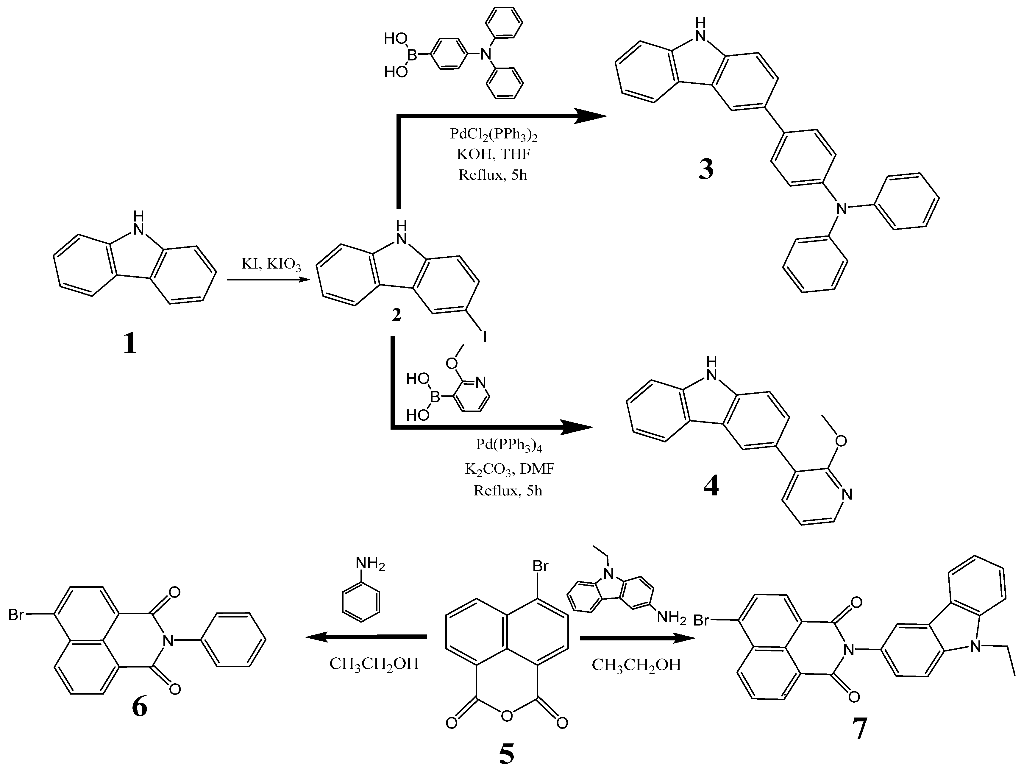
3.1. Synthesis
3.2. Instrumentation
4. Conclusions
Supplementary Materials
Author Contributions
Funding
Institutional Review Board Statement
Informed Consent Statement
Data Availability Statement
Acknowledgments
Conflicts of Interest
References
- Liguori, R.; Nunziata, F.; Aprano, S.; Maglione, M.G. Overcoming challenges in OLED technology for lighting solutions. Electronics 2024, 13, 1299. [Google Scholar] [CrossRef]
- Vijayaraghavan, P.; Liu, C.H.; Vankayala, R.; Chiang, C.S.; Hwang, K.C. Designing multi-branched gold nanoechinus for NIR light-activated dual modal photodynamic and photothermal therapy in the second biological window. Adv. Mater. 2014, 26, 6689–6695. [Google Scholar] [CrossRef]
- Anamika Gupta, N.; Sharma, D.; Maurya, A.; Kumar, A.; Jou, J.H.; Kuila, B.K. Side-Chain Polarity-Dependent Photoluminescence and Deep Blue Electroluminescence in Fluorene-Based Conjugated Polymer Networks. ACS Appl. Polym. Mater. 2025, 7, 5672–5683. [Google Scholar] [CrossRef]
- Sharma, D.; Gull, S.; Ramakrishnan, A.; Lenka, S.; Kumar, A.; Kumar, K.; Lin, P.-K.; Wang, C.-W.; Chen, S.-W.; Grigalevicius, S.; et al. Two-Dimensional Transition Metal Dichalcogenide: Synthesis, Characterization, and Application in Candlelight OLED. Molecules 2024, 30, 27. [Google Scholar] [CrossRef]
- Xiang, H.Y.; Li, Y.Q.; Meng, S.S.; Lee, C.S.; Chen, L.S.; Tang, J.X. Extremely efficient transparent flexible organic light-emitting diodes with nanostructured composite electrodes. Adv. Opt. Mater. 2018, 6, 1800831. [Google Scholar] [CrossRef]
- Gu, G.; Forrest, S.R. Design of flat-panel displays based on organic light-emitting devices. IEEE J. Sel. Top. Quantum Electron. 2002, 4, 83–99. [Google Scholar] [CrossRef]
- Kim, H.S.; Joo, C.W.; Pyo, B.; Lee, J.; Suh, M.C. Improvement of viewing angle dependence of the white organic light-emitting diodes with tandem structure by introduction of nanoporous polymer films. Org. Electron. 2017, 40, 88–96. [Google Scholar] [CrossRef]
- Tan, G.; Chen, S.; Siu, C.-H.; Langlois, A.; Qiu, Y.; Fan, H.; Ho, C.-L.; Harvey, P.D.; Lo, Y.H.; Liu, L.; et al. Platinum (II) cyclometallates featuring broad emission bands and their applications in color-tunable OLEDs and high color-rendering WOLEDs. J. Mater. Chem. C 2016, 4, 6016–6026. [Google Scholar] [CrossRef]
- Beresneviciute, R.; Kumar, A.; Blazevicius, D.; Lenka, S.; Hsieh, S.-T.; Tsai, M.-F.; Krucaite, G.; Tavgeniene, D.; Jou, J.-H.; Grigalevicius, S. Carbazolyl Electron Donor and Pyridinyl Electron Acceptor Containing Derivatives as Potential Host Materials for Green Organic Light-Emitting Diodes. Molecules 2025, 30, 1911. [Google Scholar] [CrossRef]
- Kanno, H.; Hamada, Y.; Takahashi, H. Development of OLED with high stability and luminance efficiency by co-doping methods for full color displays. IEEE J. Sel. Top. Quantum Electron. 2004, 10, 30–36. [Google Scholar] [CrossRef]
- Arias, A.C.; MacKenzie, J.D.; McCulloch, I.; Rivnay, J.; Salleo, A. Materials and applications for large area electronics: Solution-based approaches. Chem. Rev. 2010, 110, 3–24. [Google Scholar] [CrossRef]
- Swartwout, R.; Hoerantner, M.T.; Bulović, V. Scalable deposition methods for large-area production of perovskite thin films. Energy Environ. Mater. 2019, 2, 119–145. [Google Scholar] [CrossRef]
- Ho, S.; Liu, S.; Chen, Y.; So, F. Review of recent progress in multilayer solution-processed organic light-emitting diodes. J. Photonics Energy 2015, 5, 057611. [Google Scholar] [CrossRef]
- Lee, S.; Kim, H.; Kim, Y. Progress in organic semiconducting materials with high thermal stability for organic light-emitting devices. InfoMat 2021, 3, 61–81. [Google Scholar] [CrossRef]
- Svoboda, R.; Krbal, M. New insight into the thermal stability of the amorphous tetraphenyl-diamine (TPD)—A combined calorimetry/in-situ Raman microscopy study. Mater. Chem. Phys. 2024, 327, 129903. [Google Scholar] [CrossRef]
- Guo, X.; Tang, Z.; Yu, W.; Wang, Y.; Zhao, Z.; Gu, J.; Liu, Z.; Qu, B.; Xiao, L.; Chen, Z. A high thermal stability terpyridine derivative as the electron transporter for long-lived green phosphorescent OLED. Org. Electron. 2021, 89, 106048. [Google Scholar] [CrossRef]
- Chesterman, F.; Piepers, B.; Kimpe, T.; De Visschere, P.; Neyts, K. Influence of temperature on the steady state and transient luminance of an OLED display. J. Disp. Technol. 2016, 12, 1268–1277. [Google Scholar] [CrossRef]
- Hua, L.; Liu, Y.; Liu, B.; Zhao, Z.; Zhang, L.; Yan, S.; Ren, Z. Constructing high-efficiency orange-red thermally activated delayed fluorescence emitters by three-dimension molecular engineering. Nat. Commun. 2022, 13, 7828. [Google Scholar] [CrossRef]
- Rayappa Naveen, K.; Prabhu, C.P.K.; Braveenth, R.; Hyuk Kwon, J. Molecular design strategy for orange red thermally activated delayed fluorescence emitters in organic light-emitting diodes (OLEDs). Chem.–Eur. J. 2022, 28, e202103532. [Google Scholar] [CrossRef] [PubMed]
- Kagatikar, S.; Sunil, D. A systematic review on 1, 8-naphthalimide derivatives as emissive materials in organic light-emitting diodes. J. Mater. Sci. 2022, 57, 105–139. [Google Scholar] [CrossRef]
- Lenka, S.; Tavgeniene, D.; Wang, H.-M.; Kumar, A.; Lin, Z.-T.; Jaykumar, J.; Blazevicius, D.; Krucaite, G.; Grigalevicius, S.; Jou, J.-H. Branched carbazole-based derivative is a very efficient host material for third-generation OLED devices. Synth. Met. 2025, 315, 117971. [Google Scholar] [CrossRef]
- Hasan, M.; Saggar, S.; Shukla, A.; Bencheikh, F.; Sobus, J.; McGregor, S.K.M.; Adachi, C.; Lo, S.-C.; Namdas, E.B. Probing polaron-induced exciton quenching in TADF-based organic light-emitting diodes. Nat. Commun. 2022, 13, 254. [Google Scholar] [CrossRef] [PubMed]
- Uoyama, H.; Goushi, K.; Shizu, K.; Nomura, H.; Adachi, C. Highly efficient organic light-emitting diodes from delayed fluorescence. Nature 2012, 492, 234–238. [Google Scholar] [CrossRef]
- Mughal, E.U.; Naeem, N.; Kainat, S.F.; Almohyawi, A.M.; Qurban, J.; Sadiq, A.; Abd-El-Aziz, A.; Ma, N.; Abd-El-Aziz, A.S.; Timoumi, A.; et al. Advances in the Design of Thermally Activated Delayed Fluorescence Materials for High-Efficiency OLEDs. J. Photochem. Photobiol. C Photochem. Rev. 2025, 64, 100700. [Google Scholar] [CrossRef]
- Liu, Y.; Li, C.; Ren, Z.; Yan, S.; Bryce, M.R. All-organic thermally activated delayed fluorescence materials for organic light-emitting diodes. Nat. Rev. Mater. 2018, 3, 18020. [Google Scholar] [CrossRef]
- Tucker, S.H. LXXIV.—Iodination in the carbazole series. J. Chem. Soc. (Resumed) 1926, 129, 546–553. [Google Scholar] [CrossRef]
- Lennox, A.J.; Lloyd-Jones, G.C. The Slow-Release Strategy in Suzuki-Miyaura Coupling. Isr. J. Chem. 2010, 50, 664–674. [Google Scholar] [CrossRef]
- Dai, Q.; Liu, W.; Zeng, L.; Lee, C.S.; Wu, J.; Wang, P. Aggregation-induced emission enhancement materials with large red shifts and their self-assembled crystal microstructures. CrystEngComm 2011, 13, 4617–4624. [Google Scholar] [CrossRef]
- Ma, S.; Du, S.; Pan, G.; Dai, S.; Xu, B.; Tian, W. Organic molecular aggregates: From aggregation structure to emission property. Aggregate 2021, 2, e96. [Google Scholar] [CrossRef]
- Cravcenco, A.; Yu, Y.; Edhborg, F.; Goebel, J.F.; Takacs, Z.; Yang, Y.; Albinsson, B.; Börjesson, K. Exciton delocalization counteracts the energy gap: A new pathway toward NIR-emissive dyes. J. Am. Chem. Soc. 2021, 143, 19232–19239. [Google Scholar] [CrossRef]
- Samanta, P.K.; Saha, A.; Kamilya, T. Chemical synthesis and optical properties of ZnO nanoparticles. Журнал нанo-та електрoннoї фізики 2014, 6, 04015-1. [Google Scholar]
- Zhao, L.Y.; Liu, Y.N.; Wang, S.F.; Tao, Y.T.; Wang, F.F.; Zhang, X.W.; Huang, W. Novel hyperbranched polymers as host materials for green thermally activated delayed fluorescence OLEDs. Chin. J. Polym. Sci. 2017, 35, 490–502. [Google Scholar] [CrossRef]
- Gautam, P.; Shahnawaz; Siddiqui, I.; Blazevicius, D.; Krucaite, G.; Tavgeniene, D.; Jou, J.H.; Grigalevicius, S. Bifunctional Bicarbazole-Benzophenone-Based Twisted Donor–Acceptor–Donor Derivatives for Deep-Blue and Green OLEDs. Nanomaterials 2023, 13, 1408. [Google Scholar] [CrossRef] [PubMed]
- Baneto, M.; Enesca, A.; Mihoreanu, C.; Lare, Y.; Jondo, K.; Napo, K.; Duta, A. Effects of the growth temperature on the properties of spray deposited CuInS2 thin films for photovoltaic applications. Ceram. Int. 2015, 41, 4742–4749. [Google Scholar] [CrossRef]
- Vasconcelos, H.C.; Meirelles, M.; Özmenteş, R.; Korkut, A. Vacuum Ultraviolet Spectroscopic Analysis of Structural Phases in TiO2 Sol–Gel Thin Films. Coatings 2024, 15, 19. [Google Scholar] [CrossRef]












| Host | Dopant Emitters | Driving Voltage (V) | Power Efficacy (PE) (lm/W) | Current Efficacy (CE) (cd/A) | EQE (%) | CIE (x, y) | Maximum Luminance (cd/m2) | |
|---|---|---|---|---|---|---|---|---|
| Materials (RB) | Conc. (wt. %) | |||||||
| @ Max [PE, CE and EQE (%)]/100 cd/m2/1000 cd/m2 | at 100 and 1000 cd/m2 | |||||||
| 0 | 7.90 | 0.40/ 0.40 | 1.14/ 1.10 | 2.46/ 0.90 | (0.25, 0.27)/- | 878 | ||
| CBP | RB14 | 5 | 5.80 | 2.93/ 1.50/ 0.90 | 5.89/ 3.60/ 2.90 | 4.18/ 1.30/ 1.10 | (0.46, 0.50)/ (0.44, 0.50) | 3722 |
| 10 | 4.60 | 2.40/ 1.70/ 0.90 | 5.09/ 3.20/ 2.50 | 7.93/ 1.30/ 1.30 | (0.49, 0.50)/ (0.47, 0.50) | 3799 | ||
| 15 | 4 | 2.90/ 2.90/ 1.10 | 7.39/ 4.70/ 2.60 | 4.42/ 1.80/ 1.10 | (0.50, 0.49)/ (0.48, 0.50) | 3746 | ||
| 20 | 3.60 | 2.17/ 1.70/ 0.70 | 2.77/ 2.50/ 1.60 | 1.60/ 1.10/ 1.10 | (0.51, 0.48)/ (0.49, 0.49) | 3999 | ||
| Host | Dopant Emitters | Driving Voltage (V) | Power Efficacy (PE) (lm/W) | Current Efficacy (CE) (cd/A) | EQE (%) | CIE (x, y) | Maximum Luminance (cd/m2) | |
|---|---|---|---|---|---|---|---|---|
| Materials (RB) | Conc. (wt. %) | |||||||
| @ Max [PE, CE and EQE (%)]/100 cd/m2/1000 cd/m2 | at 100 and 1000 cd/m2 | |||||||
| 0 | 7.90 | 0.40/ 0.40 | 1.14/ 1.10 | 2.46/ 0.90 | (0.25, 0.27)/- | 878 | ||
| CBP | RB18 | 5 | 5.70 | 1.29/ 1.20/ 0.70 | 3.39/ 3.20/ 2.20 | 1.65/ 1.20/ 0.80 | (0.47, 0.49)/ (0.43, 0.48) | 2244 |
| 10 | 4.90 | 2.60/ 1.70/ 0.70 | 4.24/ 3.50/ 2 | 2.33/ 1.40/ 0.70 | (0.49, 0.49)/ (0.46, 0.49) | 2338 | ||
| 15 | 4.30 | 2.91/ 1.70/ 0.40 | 4.17/ 3.20/ 1.30 | 3.40/ 1.30/ 0.60 | (0.50, 0.48)/ (0.48, 0.48) | 2931 | ||
| 20 | 3.60 | 1.38/ 1.20/ 0.50 | 1.81/ 1.80/ 1.20 | 1.22/ 0.70/ 0.50 | (0.51, 0.48)/ (0.49, 0.49) | 1950 | ||
| Host | Dopant Emitters | Driving Voltage (V) | Power Efficacy (PE) (lm/W) | Current Efficacy (CE) (cd/A) | EQE (%) | CIE (x, y) | Maximum Luminance (cd/m2) | |
|---|---|---|---|---|---|---|---|---|
| Materials (RB) | Conc. (wt.%) | |||||||
| @ Max [PE, CE and EQE (%)]/100 cd/m2/1000 cd/m2 | at 100 and 1000 cd/m2 | |||||||
| 0 | 7.90 | 0.40/ 0.40 | 1.14/ 1.10 | 2.46/ 0.90 | (0.25, 0.27)/- | 878 | ||
| CBP | RB22 | 5 | 8.10 | 1.31/ 1.30/ 1.10 | 3.90/ 3.80/ 3.50 | 4.02/ 2.30/ 1.80 | (0.22, 0.40)/ (0.21, 0.39) | 3986 |
| 10 | 6.30 | 2.30/ 1.70/ 0.90 | 4.66/ 3.90/ 2.80 | 1.84/ 1.40/ 1 | (0.26, 0.50)/ (0.25, 0.48) | 4165 | ||
| 15 | 5.10 | 2.98/ 2.20/ 1.30 | 5.20/ 4.30/ 3.40 | 2.05/ 1.40/ 1.20 | (0.29, 0.54)/ (0.27, 0.51) | 4100 | ||
| 20 | 4.50 | 2.13/ 2/ 1.10 | 3.40/ 3.40/ 2.60 | 1.40/ 1.20/ 0.90 | (0.30, 0.55)/ (0.29, 0.53) | 4375 | ||
Disclaimer/Publisher’s Note: The statements, opinions and data contained in all publications are solely those of the individual author(s) and contributor(s) and not of MDPI and/or the editor(s). MDPI and/or the editor(s) disclaim responsibility for any injury to people or property resulting from any ideas, methods, instructions or products referred to in the content. |
© 2026 by the authors. Licensee MDPI, Basel, Switzerland. This article is an open access article distributed under the terms and conditions of the Creative Commons Attribution (CC BY) license.
Share and Cite
Kumar, A.; Lenka, S.; Patidar, K.; Tung, C.-A.; Luo, M.Y.; Beresneviciute, R.; Krucaite, G.; Tavgeniene, D.; Blazevicius, D.; Blazeviciute, B.; et al. Thermally Stable and Energy Efficient Newly Synthesized Bipolar Emitters for Yellow and Green OLED Devices. Molecules 2026, 31, 158. https://doi.org/10.3390/molecules31010158
Kumar A, Lenka S, Patidar K, Tung C-A, Luo MY, Beresneviciute R, Krucaite G, Tavgeniene D, Blazevicius D, Blazeviciute B, et al. Thermally Stable and Energy Efficient Newly Synthesized Bipolar Emitters for Yellow and Green OLED Devices. Molecules. 2026; 31(1):158. https://doi.org/10.3390/molecules31010158
Chicago/Turabian StyleKumar, Anil, Sushanta Lenka, Kapil Patidar, Chih-An Tung, Ming Yu Luo, Raminta Beresneviciute, Gintare Krucaite, Daiva Tavgeniene, Dovydas Blazevicius, Bernadeta Blazeviciute, and et al. 2026. "Thermally Stable and Energy Efficient Newly Synthesized Bipolar Emitters for Yellow and Green OLED Devices" Molecules 31, no. 1: 158. https://doi.org/10.3390/molecules31010158
APA StyleKumar, A., Lenka, S., Patidar, K., Tung, C.-A., Luo, M. Y., Beresneviciute, R., Krucaite, G., Tavgeniene, D., Blazevicius, D., Blazeviciute, B., Jou, J.-H., & Grigalevicius, S. (2026). Thermally Stable and Energy Efficient Newly Synthesized Bipolar Emitters for Yellow and Green OLED Devices. Molecules, 31(1), 158. https://doi.org/10.3390/molecules31010158

