Sign in to use this feature.

Years

Between: -

Subjects

remove_circle_outline
remove_circle_outline
remove_circle_outline
remove_circle_outline
remove_circle_outline
remove_circle_outline
remove_circle_outline

Journals

Article Types

Countries / Regions

Search Results (119)

Search Parameters:
Keywords = alveolar-ridge preservation

Order results
Result details
Results per page
Select all
Export citation of selected articles as:
20 pages, 1826 KB  
Article
Tension-Dominant Orthodontic Loading and Buccal Periodontal Phenotype Preservation: An Integrative Mechanobiological Model Supported by FEM and a Proof-of-Concept CBCT
by Anna Ewa Kuc, Jacek Kotuła, Kamil Sybilski, Szymon Saternus, Jerzy Małachowski, Natalia Kuc, Grzegorz Hajduk, Joanna Lis, Beata Kawala, Michał Sarul and Magdalena Sulewska
J. Funct. Biomater. 2026, 17(1), 47; https://doi.org/10.3390/jfb17010047 - 16 Jan 2026
Viewed by 271
Abstract
Background: Adult patients with a thin buccal cortical plate and fragile periodontal phenotype are at high risk of dehiscence, fenestration and recession during transverse orthodontic expansion. Conventional mechanics often create a cervical compression-dominant environment that exceeds the adaptive capacity of the periodontal ligament [...] Read more.
Background: Adult patients with a thin buccal cortical plate and fragile periodontal phenotype are at high risk of dehiscence, fenestration and recession during transverse orthodontic expansion. Conventional mechanics often create a cervical compression-dominant environment that exceeds the adaptive capacity of the periodontal ligament (PDL)–bone complex. Objectives: This study proposes an integrative mechanobiological model in which a skeletal-anchorage-assisted loading protocol (Bone Protection System, BPS) transforms expansion into a tension-dominant regime that favours buccal phenotype preservation. Methods: Patient-specific finite element models were used to compare conventional expansion with a BPS-modified force system. Regional PDL stress patterns and crown/apex displacement vectors were analysed to distinguish tipping-dominant from translation-dominated mechanics. A pilot CBCT proof-of-concept (n = 1 thin-phenotype adult) with voxel-based registration quantified changes in maxillary and mandibular alveolar ridge width and buccal cortical plate thickness before and after BPS-assisted expansion. The mechanical findings were integrated with current evidence on compression- versus tension-driven inflammatory and osteogenic pathways in the PDL and cortical bone. Results: FEM demonstrated that conventional expansion concentrates high cervical compressive stress along the buccal PDL and cortical surface, accompanied by bending-like crown–root divergence. In contrast, the BPS protocol redirected forces to create a buccal tensile-favourable region and a more parallel crown–apex displacement pattern, indicative of translation-dominated movement. In the proof-of-concept (n = 1) CBCT case, BPS-assisted expansion was associated with preservation or increase of buccal ridge dimensions without radiographic signs of cortical breakdown. Conclusions: A tension-dominant orthodontic loading environment generated by a skeletal-anchorage-assisted force system may support buccal cortical preservation and vestibular phenotype reinforcement in thin-phenotype patients. The proposed mechanobiological model links these imaging and FEM findings to known molecular pathways of inflammation, angiogenesis and osteogenesis. It suggests a functional biomaterial-based strategy for widening the biological envelope of safe tooth movement. Full article
(This article belongs to the Special Issue Functional Dental Materials for Orthodontics and Implants)
Show Figures

Graphical abstract

15 pages, 2606 KB  
Article
The Evolution of Extended Platelet-Rich Fibrin Membranes for Socket Grafting: Part Two: A Randomized Clinical Trial Comparing These Membranes with Collagen Membranes
by Nathan E. Estrin, Paras Ahmad, Troy B. Tran, Alan Rene Espinoza, Ryan Holmes, Jean-Claude Imber, Nima Farshidfar and Richard J. Miron
Dent. J. 2026, 14(1), 45; https://doi.org/10.3390/dj14010045 - 12 Jan 2026
Viewed by 350
Abstract
Background: Extended platelet-rich fibrin (e-PRF) membranes are a novel 100% autologous biomaterial with a longer resorption time (4–6 months) than traditional solid-PRF membranes (two weeks). In part 1 of this 2-part publication series, four clinical variations for using these novel e-PRF membranes for [...] Read more.
Background: Extended platelet-rich fibrin (e-PRF) membranes are a novel 100% autologous biomaterial with a longer resorption time (4–6 months) than traditional solid-PRF membranes (two weeks). In part 1 of this 2-part publication series, four clinical variations for using these novel e-PRF membranes for socket preservation were introduced. In this randomized clinical trial (RCT), all four iterations of e-PRF membranes were compared to traditional collagen membranes in alveolar ridge preservation for hard and soft tissue dimensional changes and early wound healing outcomes. Methods: A single-center RCT was conducted, including 55 patients requiring the extraction of a single tooth with planned implant placement. All sockets were grafted with a “sticky bone” (bone allograft mixed with PRF) and secured with either a collagen membrane (control) or e-PRF membranes utilizing the four variations present in Part 1 (both formed extra-orally or intra-orally, each with or without an overlying solid PRF membrane). The time of fabrication and application of each e-PRF iteration was recorded. Cone beam computed tomography was utilized to evaluate horizontal and vertical ridge dimensions at baseline and 3 months post-operatively, and soft tissue thickness was also measured at both time intervals utilizing an endodontic reamer. Early wound healing was recorded at 2 weeks, utilizing the Landry, Turnbull, and Howley Index by three blinded clinicians. Results: The results demonstrated that, at 3 months, the e-PRF membranes fabricated utilizing all 4 treatment variations demonstrated equal improvements in horizontal and vertical ridge dimensions and soft tissue thickness when compared to collagen membranes. Additionally, the membrane (p = 0.029) and membrane w/solid (p = 0.021) groups demonstrated statistically significant superior early wound healing compared to the collagen membrane group. Notably, the Bio-Filler groups demonstrated statistically significant reduction in fabrication/application time compared to the membrane groups. Conclusions: Within the limitations of this RCT, all e-PRF iterations performed comparably to collagen membranes in maintaining both hard and soft tissue ridge dimensions when combined with sticky bone, while also significantly improving soft tissue wound healing. Future RCTs with alternative grafting materials, direct wound-margin assessment, and evaluation of patient-reported outcomes are necessary to clarify the advantages of each membrane type. Full article
Show Figures

Figure 1

16 pages, 831 KB  
Article
Clinical and Histological Outcomes of Autologous Dentin Matrix in Post-Extraction Alveolar Healing: A Pilot Randomized Clinical Trial
by Massiel Jáquez, Juan Algar, James Rudolph Collins, Gleny Hernández and Juan Manuel Aragoneses
J. Clin. Med. 2026, 15(2), 606; https://doi.org/10.3390/jcm15020606 - 12 Jan 2026
Viewed by 211
Abstract
Background/Objectives: Autologous dentin matrix (ADM) has been suggested as a biologically plausible biomaterial for alveolar bone regeneration after tooth extraction. However, clinical evidence regarding its biological activity and early healing outcomes is limited. This exploratory, randomized controlled pilot study aimed to descriptively [...] Read more.
Background/Objectives: Autologous dentin matrix (ADM) has been suggested as a biologically plausible biomaterial for alveolar bone regeneration after tooth extraction. However, clinical evidence regarding its biological activity and early healing outcomes is limited. This exploratory, randomized controlled pilot study aimed to descriptively assess early alveolar healing patterns and bone morphogenetic protein 4 (BMP4) expression following tooth extraction using ADM compared with other grafting approaches. Methods: Patients requiring tooth extraction were allocated to one of four groups: ADM, xenograft, ADM combined with platelet-rich fibrin, and a graft-free control group. Histological and immunohistochemical analyses were performed four months after extraction to descriptively assess cellular features of healing and BMP4 expression. The trial was registered at the Brazilian Registry of Clinical Trials (ReBEC; RBR-24mdgrf) and conducted under prior ethics committee approval. Results: BMP4 expression was detected in 67.9% of the analyzed histological fields, predominantly localized in osteocytic, osteoblastic, and medullary areas. Although descriptive differences in BMP4-positive fields were observed among the groups, no statistically significant differences were identified between the groups. Histological evaluation revealed an active cellular environment across all treatment modalities, consistent with early post-extraction healing. No adverse events related to surgical procedures or grafting materials were reported during the study period. Conclusions: Within the limitations of this pilot randomized clinical trial, ADM exhibited consistent biological behavior during early post-extraction alveolar healing. The observed BMP4 expression likely reflects a general physiological healing response rather than a material-specific effect. This finding supports the biological plausibility of dentin-derived grafts as osteoconductive biomaterials. These findings are hypothesis-generating, and larger, adequately powered randomized clinical trials with standardized molecular and histological assessments are required to determine their clinical relevance. Full article
(This article belongs to the Topic Advances in Dental Health, 2nd Edition)
Show Figures

Figure 1

24 pages, 6410 KB  
Article
Optical Coherence Tomography, Stereomicroscopic, and Histological Aspects of Bone Regeneration on Rat Calvaria in the Presence of Bovine Xenograft or Titanium-Reinforced Hydroxyapatite
by Andrei Radu, Antonia Samia Khaddour, Mihaela Ionescu, Cristina Maria Munteanu, Eugen Osiac, Oana Gîngu, Cristina Teișanu, Valentin Octavian Mateescu, Cristina Elena Andrei and Sanda Mihaela Popescu
J. Funct. Biomater. 2026, 17(1), 26; https://doi.org/10.3390/jfb17010026 - 1 Jan 2026
Viewed by 560
Abstract
Background: Alveolar ridge preservation (ARP) techniques have evolved with implantology development. In clinical practice, biomaterials for ARP are tested in laboratory animals, and rat calvaria is a standard option. The study aimed to evaluate biomaterial osteointegration in defects created in the rat calvaria, [...] Read more.
Background: Alveolar ridge preservation (ARP) techniques have evolved with implantology development. In clinical practice, biomaterials for ARP are tested in laboratory animals, and rat calvaria is a standard option. The study aimed to evaluate biomaterial osteointegration in defects created in the rat calvaria, comparing an experimental synthetic biomaterial with a bovine xenograft and natural healing. Methods: The study included six groups of animals: two negative control groups with natural healing (2 months (M) and 4 M), two positive control groups with bovine xenograft (2 M and 4 M), and two study groups with nanohydroxyapatite titanium reinforced (2M and 4M). After creating and grafting the defects, healing was expected to take 2 or 4 months, after which bone fragments were harvested, prepared, and then analyzed. OCT, stereomicroscopy, and histology techniques were used for bone fragments analysis, and the obtained images were evaluated using Image J 1.54p software. Results: The results obtained from the three analyses provided information about the healing pattern of bone defects and the degree of new bone formation. Histological analysis of the samples confirmed what the stereomicroscopy and OCT images showed: that the bovine xenograft elicited a better tissue response than the synthetic biomaterial, being incorporated into the bone tissue more than the synthetic biomaterial. Conclusions: Both the bovine xenograft and the synthetic nanocomposite based on hydroxyapatite reinforced with titanium particles favored bone healing, but their integration into the bone was limited for the analyzed period. Full article
(This article belongs to the Special Issue Biomaterials in Bone Reconstruction)
Show Figures

Figure 1

13 pages, 8270 KB  
Article
Short-Term Bone Healing in Anterior Maxillary Sockets Using L-PRF With or Without Synthetic HA/β-TCP: A Randomized Clinical Trial
by Pricila da Silva Gusmão, Cássia Pereira da Silva, Víctor Ravelo, Akinori Cardozo Nagato, Sergio Olate and Henrique Duque
J. Funct. Biomater. 2026, 17(1), 6; https://doi.org/10.3390/jfb17010006 - 22 Dec 2025
Viewed by 497
Abstract
Tooth extraction induces changes in both hard and soft tissues, which may compromise implant placement. Leukocyte- and platelet-rich fibrin (L-PRF) is used to promote tissue healing, either alone or in combination with other grafting materials. Objective: This study aimed to compare post-extraction socket [...] Read more.
Tooth extraction induces changes in both hard and soft tissues, which may compromise implant placement. Leukocyte- and platelet-rich fibrin (L-PRF) is used to promote tissue healing, either alone or in combination with other grafting materials. Objective: This study aimed to compare post-extraction socket healing using L-PRF alone or combined with a biphasic calcium phosphate graft (HA/β-TCP) after eight weeks. Materials and Methods: 15 patients, both sexes, mean age 56.7 ± 8.2 years, requiring alveolar ridge preservation after single-rooted tooth extraction for subsequent implant placement, were included. Sockets were randomly assigned to four groups: control with blood clot only (CTR), autogenous bone graft (AB), L-PRF membrane (LPRF), and L-PRF combined with HA/β-TCP (LPRFHA). The protocol consisted of tooth extraction and immediate graft placement, followed by bone biopsy at 8 weeks for histomorphometric analysis and implant installation. New Bone Formation (NBF) was quantified from ten photomicrographs per sample using ImageJ software (version 1.54, 5 February 2025). One-way ANOVA with Bonferroni post hoc tests was applied, with statistical significance set at p ≤ 0.05. Results: A significant difference in NBF (%) was observed between the control and LPRFHA groups (p = 0.014), with greater bone formation in the control group (62.4 ± 18.6%) compared with LPRFHA (55.8 ± 17.2%; p = 0.012). No significant differences were found among AB, LPRF, and LPRFHA groups. LPRF and AB showed comparable bone formation (60.2 ± 17.5% and 60.1 ± 20.0%, respectively). Conclusions: L-PRF, either alone or combined with HA/β-TCP, can be used for alveolar ridge preservation in maxillary sockets. L-PRF, alone or with synthetic HA/β-TCP graft, effectively preserves the anterior maxillary ridge for early loading at eight weeks. All treatments achieved bone formation for implant placement, with the blood clot alone showing superior results. Full article
Show Figures

Figure 1

15 pages, 25878 KB  
Article
The Evolution of Extended Platelet-Rich Fibrin Membranes for Socket Grafting: Part One: Technical Development of Protocols
by Nathan E. Estrin, Alan Rene Espinoza, Paras Ahmad, Jean-Claude Imber, Nima Farshidfar and Richard J. Miron
Dent. J. 2025, 13(12), 604; https://doi.org/10.3390/dj13120604 - 16 Dec 2025
Cited by 1 | Viewed by 692
Abstract
Background: Platelet-rich fibrin (PRF) is an autologous biomaterial utilized as an adjunct in dental implant surgeries owing to its significant biocompatibility, supra-physiological concentration of growth factors, and ability to speed either soft or hard tissue regeneration. Methods: Today, PRF is available in both [...] Read more.
Background: Platelet-rich fibrin (PRF) is an autologous biomaterial utilized as an adjunct in dental implant surgeries owing to its significant biocompatibility, supra-physiological concentration of growth factors, and ability to speed either soft or hard tissue regeneration. Methods: Today, PRF is available in both solid and liquid forms with an average resorption period of roughly 2 weeks. While various research endeavors have attempted to utilize Solid-PRF as a barrier membrane in guided bone regeneration (GBR) and various other applications, its two-week resorption period has limited its use as a solo “barrier” membrane owing to its faster-than-ideal resorption properties. Results: Recent studies have demonstrated that by heating and denaturing Liquid-PRF/albumin, the resorption properties of the heated albumin gel could be extended from 2 weeks to 4–6 months by utilizing the Bio-Heat technology. This emerging technology was given the working name ‘extended-PRF’ or e-PRF, with many clinical indications being proposed for further study. Numerous clinicians have now utilized extended-PRF (e-PRF) membranes as a substitute for collagen barrier membranes in various clinical applications, such as guided tissue/bone regeneration, recession coverage, and lateral window sinus lifts. Conclusions: This two-part case series paper aims to first illustrate the evolution of techniques developed taking advantage of this new technology in clinical practice for alveolar ridge preservation. This includes four different methods of fabrication of e-PRF along with its application in clinical practice. This article discusses the clinical outcomes, including the advantages/disadvantages of utilizing each of the four separate techniques to prepare and utilize e-PRF membranes for ridge preservation. Full article
(This article belongs to the Special Issue Regenerative Dentistry: Innovations and Clinical Applications)
Show Figures

Figure 1

14 pages, 3484 KB  
Article
Clinical and Histological Assessment of Knife-Edge Thread Implant Stability After Ridge Preservation Using Hydroxyapatite and Sugar Cross-Linked Collagen: Preliminary Report
by Lidija Veljkovic, Miljana Nedeljkovic, Gvozden Rosic, Dragica Selakovic, Nemanja Jovicic, Momir Stevanovic, Jovana Milanovic, Aleksandra Arnaut, Milica Vasiljevic and Pavle Milanovic
Dent. J. 2025, 13(12), 585; https://doi.org/10.3390/dj13120585 - 8 Dec 2025
Viewed by 506
Abstract
Background: Primary stability of dental implants depends on bone quality, bone quantity, and implant design. In cases of large defects, such as periapical lesions, the selection of an appropriate alveolar ridge preservation (ARP) material is crucial for bone regeneration and preparation for [...] Read more.
Background: Primary stability of dental implants depends on bone quality, bone quantity, and implant design. In cases of large defects, such as periapical lesions, the selection of an appropriate alveolar ridge preservation (ARP) material is crucial for bone regeneration and preparation for implant placement. Objective: The aim of this study was to evaluate clinical and histological outcomes of a novel ARP material hydroxyapatite and sugar cross-linked collagen (HSCC) combined with a knife-edge thread implant (KTI) design. Methods: Thirty patients were divided into two groups: a control group treated with KTI after spontaneous alveolar ridge healing, and an experimental group that underwent ARP using HSCC, and six months later, KTIs were placed in newly formed bone. Clinical parameters including insertion torque value (ITV), resonance frequency analysis (RFA), implant stability quotient (ISQ), and horizontal bone dimension were evaluated. Histological analysis was also performed. Results: No significant differences were observed between groups in ITV, ISQ, or horizontal bone dimension (p > 0.05). However, histological analysis demonstrated a significantly higher number of active osteoblasts in the ARP group compared to the control (p < 0.001), whereas collagen deposition was significantly greater in the control group (p < 0.001). Conclusions: ARP using HSCC, combined with KTI, provides favorable conditions for primary stability and successful graft integration, supporting reliable implant placement in sites with bone defects. Full article
(This article belongs to the Special Issue Bone Augmentation in Dentistry)
Show Figures

Graphical abstract

20 pages, 1279 KB  
Systematic Review
Synthetic Biomaterials for Alveolar Bone Regeneration: A Systematic Review of Clinical Evidence
by Beatrice Bozza, Paolo Pesce, Domenico Baldi, Francesco Bagnasco, Marco Migliorati and Nicola De Angelis
Materials 2025, 18(23), 5328; https://doi.org/10.3390/ma18235328 - 26 Nov 2025
Viewed by 996
Abstract
Background: Alveolar bone resorption remains a major challenge in implant and prosthetic rehabilitation. While autologous bone grafts are still considered the gold standard, their biological and surgical limitations have promoted the use of synthetic biomaterials such as biphasic calcium phosphate (BCP), β-tricalcium phosphate [...] Read more.
Background: Alveolar bone resorption remains a major challenge in implant and prosthetic rehabilitation. While autologous bone grafts are still considered the gold standard, their biological and surgical limitations have promoted the use of synthetic biomaterials such as biphasic calcium phosphate (BCP), β-tricalcium phosphate (β-TCP), nanocrystalline hydroxyapatite, and bioactive glass. Methods: This systematic review, conducted in accordance with PRISMA guidelines, was based on a comprehensive search performed in March 2025 across PubMed, MEDLINE, Embase, and Google Scholar. A total of 11 clinical studies—including both randomized and non-randomized comparative trials—were identified. Due to the marked heterogeneity of study designs and outcome measures, meta-analysis was not feasible. Reported outcomes focused on bone volume preservation, residual biomaterial, implant stability, histological integration, and postoperative complications. Results: Overall, synthetic biomaterials achieved satisfactory bone regeneration and implant stability, with mean bone preservation ranging between 85% and 95%, often comparable to xenografts and other grafting materials. Among the materials analyzed, β-TCP and BCP generally demonstrated superior resorption control and dimensional stability, while bioactive glass showed favorable integration and remodeling rates. The addition of bioactive agents such as rhBMP-2, rhPDGF-BB, or platelet-rich plasma further enhanced new bone formation. Conclusions: Within the limits of current evidence, synthetic biomaterials show clinical performance comparable to xenografts, particularly in socket preservation and ridge augmentation procedures. Their predictable handling, absence of donor-site morbidity, and potential for bioactive enhancement make them valuable tools for routine clinical use. Larger, standardized trials with long-term follow-up are needed to validate these findings and refine material selection in alveolar bone regeneration. Full article
(This article belongs to the Special Issue Biomaterials in Periodontology and Implant Dentistry)
Show Figures

Figure 1

24 pages, 2269 KB  
Systematic Review
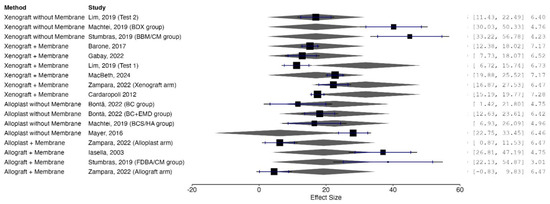
Histological Outcomes of Alveolar Ridge Preservation Versus Spontaneous Healing Following Tooth Extraction: A Systematic Review and Meta-Analysis
by Ioanna Benekou, Ioannis Fragkioudakis, Georgios S. Chatzopoulos and Ioannis Vouros
Dent. J. 2025, 13(12), 556; https://doi.org/10.3390/dj13120556 - 25 Nov 2025
Viewed by 1381
Abstract
Objectives: This systematic review and meta-analysis aimed to evaluate histological outcomes of alveolar ridge preservation (ARP) compared to spontaneous healing after tooth extraction, focusing on the percentage of new bone formation and residual graft material. Materials and Methods: Randomized controlled trials (RCTs) [...] Read more.
Objectives: This systematic review and meta-analysis aimed to evaluate histological outcomes of alveolar ridge preservation (ARP) compared to spontaneous healing after tooth extraction, focusing on the percentage of new bone formation and residual graft material. Materials and Methods: Randomized controlled trials (RCTs) assessing histomorphometric outcomes in humans were included. Eligible studies compared ARP using various graft materials to unassisted socket healing. Primary outcome was new bone formation (%); secondary outcome was residual graft material (%). Random-effects meta-analyses and subgroup analyses were conducted based on graft material type, membrane application, and healing duration. Risk of bias and certainty of evidence were assessed using the Cochrane RoB 2.0 tool and GRADE, respectively. Results: Twenty-two RCTs (816 patients) met inclusion criteria. Overall, ARP did not result in significantly greater new bone formation compared to spontaneous healing (mean difference −5.86%, 95% CI: −13.84% to 2.11%, p = 0.15; I2 = 98%), revealing a paradoxical trend: while ARP maintains ridge volume, histologically it may yield slightly lower proportions of vital bone compared to unassisted healing. However, autologous biomaterials (e.g., PRF/CGF) and xenografts with collagen membranes showed significantly new bone formation (mean differences +16.28% and −22.47%; p< 0.001 and p = 0.003, respectively). Residual graft content was highest in relation to xenografts and allografts, particularly without membranes. Long-term studies demonstrated a statistically significant benefit for ARP following excluding high-risk trials. Conclusions: Histological advantage of ARP is biomaterial-dependent. Autologous platelet concentrates and xenografts with membranes yielded the most consistent bone regeneration outcomes. Clinical Relevance: Although ARP preserves socket volume, its histological superiority over natural healing is not universal. Therefore, the selection of biomaterials and determination of and appropriate healing period are critical parameters. Full article
Show Figures

Graphical abstract

14 pages, 4315 KB  
Article
The Use of Flowable Decellularized Human Placental Connective Tissue Matrix in Alveolar Ridge Preservation: A Split-Mouth Pilot Study
by Bachar Husseini, Ronald Younes, Nabil Ghosn, Robert Miller, Georges Khoury, Robert Hariri and Michel Dard
Dent. J. 2025, 13(11), 545; https://doi.org/10.3390/dj13110545 - 20 Nov 2025
Viewed by 638
Abstract
Background/Objectives: Tooth extraction is known to cause both bone loss and soft tissue collapse, changes that can complicate implant placement. While alveolar ridge preservation techniques have been proposed to limit these alterations, they often fail to maintain both hard and soft tissue dimensions [...] Read more.
Background/Objectives: Tooth extraction is known to cause both bone loss and soft tissue collapse, changes that can complicate implant placement. While alveolar ridge preservation techniques have been proposed to limit these alterations, they often fail to maintain both hard and soft tissue dimensions at the same time. Placental-derived extracellular matrices offer a biologically active adjuvant, providing structural proteins that may support healing. The purpose of this study was to assess whether a flowable decellularized Human Placental Connective Tissue Matrix (HPCTM), combined with an allogeneic bone substitute, could improve ridge preservation by addressing changes in soft tissue as the primary outcome and underlying bone volume as the secondary outcome. Methods: In a split-mouth, randomized pilot trial, hopeless teeth in opposite quadrants were atraumatically extracted. Test sockets were grafted with allograft mixed with HPCTM, while control sockets received allograft alone. Healing was followed clinically and digitally using intra-oral scans; standardized photographs at 10, 21, and 30 days post-operatively; and cone-beam computed tomography at 4 months post-operatively. Results: Ten patients completed the study (10 test sites and 10 control sites). Sites treated with HPCTM showed faster and more stable healing. Gingival shrinkage was consistently reduced at test sites, with Hodges–Lehmann median differences of 0.50 mm at Day 10 (95% CI: 0.29–0.62; p = 0.0039), 0.54 mm at Day 21 (95% CI: 0.42–0.65; p = 0.002), and 0.54 mm at Day 30 (95% CI: 0.39–0.68; p = 0.002). Radiographically, test sites lost significantly less bone volume (28.24 ± 2.43%) compared with controls (38.85 ± 1.29%; p = 0.019). Conclusions: Within the limits of this study, HPCTM appears to support better preservation of both gingival architecture and alveolar bone after extraction. Full article
(This article belongs to the Section Dental Implantology)
Show Figures

Figure 1

25 pages, 4862 KB  
Review
Comparative Efficacy of Platelet-Rich Fibrin, Freeze-Dried Bone Allograft, or Spontaneous Healing for Alveolar Ridge Preservation: Systematic Review and Meta-Analysis
by Abeer S. Al-Zawawi, Amani M. Basudan, Rand Osama Alkhani, Lamis Khalid Alraddadi, Shikha Fahad Bin-Muhayya, Layan Abdullah Alzuwayyid, Deemah Alsaeed, Eithar Ibrahim Alrosaa, Lana Mohammed Alrasheed, Muneerah Abduaziz Alfahad, Ghadeer Mohammed Almutairi, Jana Alawad, Wasan Saeed Koaban, Munirah Naeem Alsubaie and Sundar Ramalingam
Bioengineering 2025, 12(11), 1253; https://doi.org/10.3390/bioengineering12111253 - 16 Nov 2025
Viewed by 1654
Abstract
Alveolar ridge preservation (ARP) is crucial for maintaining bone and soft-tissue integrity after tooth extraction, thereby facilitating future implant placement. Among various biomaterials, platelet-rich fibrin (PRF) and freeze-dried bone allograft (FDBA) are commonly used; however, their comparative effectiveness remains unclear. This systematic review [...] Read more.
Alveolar ridge preservation (ARP) is crucial for maintaining bone and soft-tissue integrity after tooth extraction, thereby facilitating future implant placement. Among various biomaterials, platelet-rich fibrin (PRF) and freeze-dried bone allograft (FDBA) are commonly used; however, their comparative effectiveness remains unclear. This systematic review and meta-analysis aimed to evaluate and compare the outcomes of PRF, FDBA, and spontaneous healing with blood clot in ARP, incorporating recent randomized controlled trials and comparative studies published up to June 2025. Electronic searches were conducted across multiple databases following the PRISMA 2020 guidelines, and the risk of bias was assessed using RoB-2 and ROBINS-I tools. Primary outcomes included changes in alveolar ridge height and width, while secondary outcomes encompassed histological, radiographic, implant-related, and patient-centered measures. Twenty studies were included for qualitative synthesis and sixteen for quantitative analysis. Meta-analyses showed no significant difference between PRF and FDBA in ridge height (SMD = −0.24; 95% CI: −0.56 to 0.08; p = 0.145) or width preservation (SMD = −0.16; 95% CI: −0.73 to 0.42; p = 0.597). PRF significantly reduced ridge height loss compared to spontaneous healing (SMD = −0.79; 95% CI: −1.33 to −0.25; p = 0.004) and enhanced histologic new bone formation (SMD = 1.43; 95% CI: 0.39 to 2.47; p = 0.007), while FDBA showed a non-significant trend toward benefit (SMD = −0.37; 95% CI: −0.86 to 0.11; p = 0.129). Moderate risk-of-bias and heterogeneity were observed among included studies. In conclusion, PRF and FDBA are both effective for alveolar ridge preservation, outperforming spontaneous healing. PRF offers biologically driven benefits in bone quality and soft-tissue healing, whereas FDBA provides greater structural stability. These findings suggest a promising clinical potential for PRF in improving bone quality at the implant site. Moreover, considering cost, preparation complexity, and site-specific needs, PRF may serve as a cost-effective, clinically favorable option for ARP. Future multi-center randomized trials with standardized PRF protocols and long-term follow-up are recommended. Full article
(This article belongs to the Special Issue Periodontics and Implant Dentistry)
Show Figures

Graphical abstract

12 pages, 1119 KB  
Article
Bone-Preserving Osteotomy Strategies for Narrow Ridges: Comparative In Vitro Analysis of Densifying, Low-Speed Shaping, and Conventional Protocols
by Fatma Gülfeşan Çanakçi, Merve Çakır, Gül Merve Yalçın-Ülker and Gonca Duygu
Appl. Sci. 2025, 15(21), 11669; https://doi.org/10.3390/app152111669 - 31 Oct 2025
Viewed by 373
Abstract
Adequate ridge width and thermal control are critical for predictable implant site preparation. This in vitro study compared conventional osteotomy (CO), osseodensification (OD), and OsseoShaper (OS) protocols in standardized polyurethane foam blocks simulating narrow D2 ridges. A total of 18 osteotomies (n = [...] Read more.
Adequate ridge width and thermal control are critical for predictable implant site preparation. This in vitro study compared conventional osteotomy (CO), osseodensification (OD), and OsseoShaper (OS) protocols in standardized polyurethane foam blocks simulating narrow D2 ridges. A total of 18 osteotomies (n = 6 per group) were prepared under protocol-specific irrigation. Ridge width was measured at 3, 6, and 9 mm apical to the crest before and after osteotomy using a digital caliper, and expansion (ΔW) was calculated. Intraoperative thermal changes (ΔT) were recorded in real time with an infrared thermal camera. OD achieved consistent expansion at all depths (p < 0.05), while OS produced significant widening at the 3 and 6 mm levels; CO yielded only a minor but significant gain at the 3 mm level. At the intergroup level, OS showed significantly greater crestal expansion than CO at 3 mm (p = 0.006). All protocols generated comparable thermal changes (mean ΔT 7.4–8.2 °C), remaining well below the critical 47 °C threshold. Within the limitations of this in vitro model, OD and OS enhanced ridge expansion compared with CO, particularly at the crestal level, where expansion is most critical. All protocols maintained thermally safe profiles, supporting their clinical applicability. Full article
(This article belongs to the Special Issue State-of-the-Art Operative Dentistry)
Show Figures

Figure 1

14 pages, 3772 KB  
Article
Phase-Pure Hydroxyapatite/β-Tricalcium Phosphate Scaffolds from Ultra-Pure Precursors: Composition Governs Porosity, Strength, and SBF Kinetics
by Panuwat Monviset, Kasama Srirussamee, Anak Khantachawana and Parichart Naruphontjirakul
J. Funct. Biomater. 2025, 16(11), 407; https://doi.org/10.3390/jfb16110407 - 31 Oct 2025
Viewed by 1144
Abstract
Biphasic calcium phosphate (BCP)scaffolds comprising hydroxyapatite (HA) and β-tricalcium phosphate (β-TCP) were produced from ultra-pure precursors and processed under an α-TCP–avoiding schedule (1100 °C, 2 h). Quantitative X-ray diffraction (Rietveld/Profex) detected no α-TCP above the ~1 wt% limit of detection and quantified post-sintering [...] Read more.
Biphasic calcium phosphate (BCP)scaffolds comprising hydroxyapatite (HA) and β-tricalcium phosphate (β-TCP) were produced from ultra-pure precursors and processed under an α-TCP–avoiding schedule (1100 °C, 2 h). Quantitative X-ray diffraction (Rietveld/Profex) detected no α-TCP above the ~1 wt% limit of detection and quantified post-sintering phase fractions (wt% HA/β-TCP): 99.26/0.74, 68.51/31.49, and 27.57/72.43. Across compositions, SEM/ImageJ yielded similar mean macropore sizes (≈71–80 µm), while open porosity increased with the HA fraction (27.5 ± 1.8%, 39.1 ± 2.0%, 57.1 ± 2.4%). Compressive strength decreased accordingly (1.07 ± 0.25, 0.24 ± 0.01, 0.05 ± 0.02 MPa), consistent with non-load-bearing use. In ISO-compliant simulated body fluid (28 d), medium pH remained stable (7.33–7.43); mass loss and early Ca2+ depletion increased with β-TCP content, consistent with more extensive surface apatite formation in β-TCP-rich scaffolds. Collectively, these data are consistent with a composition-dependent sequence—β-TCP content → densification/porosity → strength → degradation/apatite kinetics—within the tested conditions and inform parameter-based tuning of BCP scaffolds for non-load-bearing indications (e.g., alveolar ridge preservation, craniofacial void filling). Full article
(This article belongs to the Special Issue Biomaterials for Bone Implant and Regeneration)
Show Figures

Figure 1

13 pages, 405 KB  
Systematic Review
Comparative Analysis of the Use of Osteoplastic Materials in Socket Augmentation: A Systematic Review
by Diana Sologova, Aida Kazaryan, Ilana Gor, Susanna Sologova, Elena Smolyarchuk, Ekaterina Grigorevskikh, George Anikin, Aida Mirzoeva, Khadi Albakova, Ekaterina Glazunova, Marina Skachkova, Pavel Petruk, Evgeny Presnyakov, Nasirzade Saba and Ekaterina Diachkova
Biomimetics 2025, 10(11), 722; https://doi.org/10.3390/biomimetics10110722 - 29 Oct 2025
Viewed by 906
Abstract
Background: Tooth extraction is often accompanied by bone tissue loss. This systematic review aims to compare osteoplastic materials for socket preservation. Methods: This systematic review was carried out with the PRISMA statement. To identify relevant studies, a thorough literature search was executed in [...] Read more.
Background: Tooth extraction is often accompanied by bone tissue loss. This systematic review aims to compare osteoplastic materials for socket preservation. Methods: This systematic review was carried out with the PRISMA statement. To identify relevant studies, a thorough literature search was executed in several databases, such as Medline, PubMed, Scopus, and the Cochrane Central Register of Controlled Trials. The inclusion criteria were restricted to randomized controlled trials, and their methodological quality was evaluated with the Cochrane Risk of Bias tool (ROB 2). Results: Based on the predefined inclusion and exclusion criteria, nine randomized clinical trials published before 2024 were selected for analysis, all of them investigating the application of osteoplastic materials. Six studies performed xenogenic bone augmentation; one of them compared alloplastic and xenogenic materials; two studies described synthetic osteoplastic materials; and one described autogenic bone material. Conclusion: Socket augmentation with osteoplastic materials demonstrates effectiveness in preserving alveolar ridge dimensions and creating favorable conditions for further implant placement, though differences in clinical performance highlight the need for careful material selection. Full article
(This article belongs to the Special Issue Advances in Biomaterials, Biocomposites and Biopolymers 2025)
Show Figures

Figure 1

14 pages, 293 KB  
Review
Tooth Allografts as Natural Biocomposite Bone Grafts: Can They Revolutionize Regenerative Dentistry?
by Ishita Singhal, Gianluca Martino Tartaglia, Sourav Panda, Seyda Herguner Siso, Angelo Michele Inchingolo, Massimo Del Fabbro and Funda Goker
J. Compos. Sci. 2025, 9(10), 550; https://doi.org/10.3390/jcs9100550 - 7 Oct 2025
Viewed by 2152
Abstract
For decades, regeneration of alveolar bone defects has depended on traditional grafting options, such as autogenous/allogenic grafts or allografts. Recently, extracted teeth was introduced as an alternative graft source. Tooth autografts are being used and have gained significant attention due to their biocompatibility, [...] Read more.
For decades, regeneration of alveolar bone defects has depended on traditional grafting options, such as autogenous/allogenic grafts or allografts. Recently, extracted teeth was introduced as an alternative graft source. Tooth autografts are being used and have gained significant attention due to their biocompatibility, osteoconductivity, osteoinductivity, and osteogenic properties. Furthermore, tooth allografts have potential to act as natural biocomposites for oral regeneration procedures and might be advantageous options in near future. Recent advances in tooth banking, including cryopreservation, can serve to maintain bioactivity and to improve the safety, viability, and regenerative potential of teeth. They might be revolutionary in oral surgery, offering a more sustainable solution to the growing demand for bone regeneration procedures. Nevertheless, challenges such as immunogenic responses, ethical issues, and regulatory constraints persist. Ongoing research and technological innovation continue to address these problems. To date, the success rates of tooth autografts are promising, and they are regarded as a reliable option in clinical practice, with predictable outcomes in alveolar ridge preservation, sinus augmentation, periodontal regeneration, guided bone regeneration (GBR), and endodontic surgery by providing natural scaffolds for cell integration and bone remodeling. However, the scientific literature on tooth allografts is lacking. Therefore, this review aimed to comprehensively evaluate the scientific literature for comparing the properties of tooth grafts with other grafting options, in terms of processing techniques, and various clinical applications, positioning them as versatile biocomposites for the future, bridging material science and regenerative dentistry. Furthermore, possible applications of allogenic tooth grafts and overcoming current limitations are also discussed. Full article
Back to TopTop