Sign in to use this feature.

Years

Between: -

Subjects

remove_circle_outline
remove_circle_outline
remove_circle_outline
remove_circle_outline
remove_circle_outline
remove_circle_outline
remove_circle_outline
remove_circle_outline
remove_circle_outline

Journals

remove_circle_outline
remove_circle_outline
remove_circle_outline
remove_circle_outline
remove_circle_outline
remove_circle_outline
remove_circle_outline
remove_circle_outline
remove_circle_outline
remove_circle_outline
remove_circle_outline
remove_circle_outline
remove_circle_outline
remove_circle_outline

Article Types

Countries / Regions

remove_circle_outline
remove_circle_outline
remove_circle_outline
remove_circle_outline
remove_circle_outline
remove_circle_outline
remove_circle_outline
remove_circle_outline

Search Results (5,068)

Search Parameters:
Keywords = agriculture irrigation

Order results
Result details
Results per page
Select all
Export citation of selected articles as:
18 pages, 3495 KB  
Article
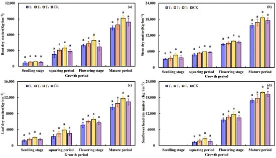
Sustainability-Oriented Analysis of Different Irrigation Quotas on Sunflower Growth and Water Use Efficiency Under Full-Cycle Intelligent Automatic Irrigation in the Arid Northwestern China
by Qiaoling Wang, Pengju Zhang, Hao Wu, Xueting Wu, Yu Pang and Jinkui Wu
Sustainability 2026, 18(3), 1398; https://doi.org/10.3390/su18031398 - 30 Jan 2026
Abstract
Water scarcity in arid/semi-arid regions restricts agricultural sustainability systems and hinders the achievement of regional sustainable development goals, especially in northwest China’s extremely arid areas, where acute water supply–demand conflicts and inefficient traditional practices intensify competition for water between agricultural and ecological sectors. [...] Read more.
Water scarcity in arid/semi-arid regions restricts agricultural sustainability systems and hinders the achievement of regional sustainable development goals, especially in northwest China’s extremely arid areas, where acute water supply–demand conflicts and inefficient traditional practices intensify competition for water between agricultural and ecological sectors. This study aims to verify the effectiveness of an intelligent automatic irrigation system in mitigating water scarcity pressures and enhancing agricultural sustainability in the Shule River Basin of northwestern China, a region where traditional irrigation methods not only yield suboptimal crop outputs but also undermine long-term water resource sustainability. A smart irrigation module, integrating “sensing–decision–execution” processes, was embedded within a digital twin platform to enable precise, resource-efficient water management that aligns with sustainable development principles. Sunflower (Helianthus annuus L.), the most popular cash crop in the area, was used as the test crop, with three soil moisture-based irrigation levels compared against traditional farmer practices. Key indicators including leaf area index (LAI), dry biomass, grain yield, and irrigation water use efficiency (IWUE) were systematically evaluated. The results showed that (1) LAI increased from the seedling to flowering stage, with smart irrigation treatments significantly outperforming farmer practices in both crop growth and water-saving effects, laying a foundation for sustainable yield improvement; (2) total dry biomass at maturity was positively correlated with irrigation amount but smart irrigation optimized the allocation of water resources to avoid waste, balancing productivity and sustainability; (3) grain yield peaked within 70–89% field capacity (fc), with further increases leading to diminishing returns and unnecessary water consumption that impairs sustainable water use; (4) IWUE followed a parabolic trend, reaching its maximum under the same optimal irrigation range, indicating that smart irrigation can maximize water productivity while preserving water resources for ecological and future agricultural needs. The digital twin-driven smart irrigation system enhances both crop yield and water productivity in arid regions, providing a scalable model for precision water management in water-stressed agricultural zones. The results provide a key empirical basis and technical approach for sustainably using irrigation water, optimizing water–energy–food–ecology synergy, and advancing sustainable agriculture in arid regions of Northwest China, which is crucial for achieving regional sustainable development objectives amid worsening water scarcity. Full article
Show Figures

Figure 1

23 pages, 2095 KB  
Article
Increased Drought Tolerance in Lagenaria siceraria by Indigenous Bacterial Isolates from Coastal Environments in Chile: Searching for the Improvement of Rootstocks for Cucurbit Production
by Rodrigo Pérez, Ariel Salvatierra, Paula Pimentel, Guillermo Toro, Antonieta Ruiz, Ricardo Aroca, Luis Villalobos, Tiare Inostroza, Felipe González, Christian Santander, Cecilia García and Pablo Cornejo
Agriculture 2026, 16(3), 341; https://doi.org/10.3390/agriculture16030341 - 30 Jan 2026
Abstract
Drought is one of the most limiting abiotic stresses for agricultural production, especially in horticultural crops grown in arid and semi-arid areas. In the present study, we evaluated the potential of bacterial isolates obtained from coastal environments in Chile to improve drought tolerance [...] Read more.
Drought is one of the most limiting abiotic stresses for agricultural production, especially in horticultural crops grown in arid and semi-arid areas. In the present study, we evaluated the potential of bacterial isolates obtained from coastal environments in Chile to improve drought tolerance in Lagenaria siceraria, a plant species increasingly used as a rootstock for cucurbit cropping. Rhizosphere bacteria were isolated from Sicyos baderoa, the only native cucurbit species of the Chilean coast, from which four isolates with plant growth-promoting traits, such as indole-3-acetic acid production, phosphorus solubilization, nitrogen fixation, and siderophore production, were selected. These isolates were inoculated on two L. siceraria genotypes, Illapel and Osorno, under both normal irrigation and water deficit conditions. The results showed that Peribacillus frigoritolerans showed a clearer positive effect on biomass and net photosynthesis under water deficit in the Illapel genotype, increasing shoot biomass by up to ~75% and restoring net photosynthetic rates by up to ~260% relative to non-inoculated drought-stressed plants. In contrast, responses associated with Staphylococcus succinus and those observed in the Osorno genotype were mainly expressed as trait- and tissue-specific adjustments, consistent with a more stabilizing response rather than broad growth stimulation. Additionally, malondialdehyde levels were reduced by up to ~25%, while free proline accumulation increased by more than 100% under water deficit. In contrast, total phenolic compounds showed more variable responses, indicating genotype- and strain-specific adjustment of antioxidant metabolism. Overall, the observed responses were heterogeneous and strongly dependent on the specific strain–genotype–trait combination and, therefore, should be interpreted as preliminary evidence supporting the potential value of native rhizobacteria for improving early drought-related traits in cucurbit rootstocks. Among the tested strains, Peribacillus frigoritolerans emerged as the most promising candidate for enhancing early drought tolerance in responsive genotypes such as Illapel, while highlighting the need for follow-up studies under replicated nursery and field conditions, including grafted plants, multiple drought intensities and combined inoculant strategies. Full article
(This article belongs to the Special Issue Abiotic Stress Responses in Horticultural Crops—2nd Edition)
Show Figures

Figure 1

27 pages, 1799 KB  
Article
Drought Effects on Seed Yield Stability and Oil Quality Traits in Different Rapeseed Genotypes: Toward Adaptive Sustainability of Crops in Semi-Arid Regions
by Abdelghani Bouchyoua, Abdelghani Nabloussi, Hanane Driouech, Hakima Bahri, Reda Benyza, Mohamed Kouighat, Ibtissame Guirrou, Charaf Ed-dine Kassimi, Khalil Hammani and Abdelmajid Khabbach
Sustainability 2026, 18(3), 1388; https://doi.org/10.3390/su18031388 - 30 Jan 2026
Abstract
Rapeseed (Brassica napus L.) is a major oilseed crop worldwide, particularly valued for its high yield potential, favorable fatty acid composition, and its bioactive compounds that improve nutritional and industrial quality. However, its productivity and oil quality are increasingly compromised by climate [...] Read more.
Rapeseed (Brassica napus L.) is a major oilseed crop worldwide, particularly valued for its high yield potential, favorable fatty acid composition, and its bioactive compounds that improve nutritional and industrial quality. However, its productivity and oil quality are increasingly compromised by climate change-induced water scarcity, particularly in semi-arid Mediterranean regions. In this study, the performance of 17 genotypes was evaluated under well-watered (irrigated) and rainfed (stressful) conditions across two contrasting locations, Douyet Experimental Station (DYT) and Ecole Nationale d’Agriculture de Meknès (ENAM), during the 2023/2024 growing season. The assessment concerned seed yield, oil traits, and nutraceutical quality. The results obtained show that drought stress significantly reduced seed yield by about 26% (from 2.29 to 1.69 t ha−1) and decreased oil content by about 8.3% (from 41.1% to 37.7%). The highest reductions were observed for sensitive genotypes, particularly ‘IND23’, ‘IND82’, and ‘H2M-5’, while ‘Moufida’, ‘Nap9’, and ‘TP2’ maintained seed and oil yield above the overall average across both water regimes. Drought also impacted the accumulation of secondary metabolites, with mean total phenolic content increasing from 5.41 to 9.98 mg GAE g−1 (+84.5%) and total flavonoid content rising from 25.25 to 34.93 mg QE g−1 (+38.3%) under rainfed conditions, accompanied by marked increases in antioxidant activity (DPPH, ABTS), particularly for ‘Moufida’, ‘Nap9’, ‘TP2’, and ‘Marina’. Oil quality indices remained within Codex Alimentarius standards, with a slight increase in acidity values accompanied by a decrease in peroxide values, thus suggesting improved oxidative stability. Principal component analysis grouped genotypes into distinct clusters, with an elite group (‘Moufida’, ‘Nap9’, and ‘TP2’) characterized by yield stability, accumulation of phenolics, and high antioxidant activity, thus confirming their strong adaptation to the dry conditions of the Mediterranean region. These drought-tolerant lines, with high agronomic performance combined with good nutritional quality, can be recommended as valuable cultivars for sustainable and high-quality rapeseed production in dry Mediterranean regions. Full article
(This article belongs to the Section Air, Climate Change and Sustainability)
Show Figures

Figure 1

21 pages, 3874 KB  
Article
Hybrid Agricultural Compensation Mechanism for Protection of Ecological Flow in Rivers in Water-Scarce Areas of Northwest China
by Bo Cheng, Qingzhi Duan, Huaien Li, Wenjuan Cheng, Qing Li and Yunfu Shi
Water 2026, 18(3), 336; https://doi.org/10.3390/w18030336 - 29 Jan 2026
Abstract
Although blood transfusion eco-compensation—a metaphorical term in the Chinese eco-compensation literature referring to short-term direct compensation—can balance stakeholder interests in securing ecological flows (e-flows) in water-scarce rivers, it often fails to enhance the productivity of disadvantaged stakeholders or expand long-term development opportunities. To [...] Read more.
Although blood transfusion eco-compensation—a metaphorical term in the Chinese eco-compensation literature referring to short-term direct compensation—can balance stakeholder interests in securing ecological flows (e-flows) in water-scarce rivers, it often fails to enhance the productivity of disadvantaged stakeholders or expand long-term development opportunities. To overcome this limitation, this study introduces hematopoiesis eco-compensation, a metaphorical term for capacity-building, longer-term development-oriented compensation that improves irrigation water-use efficiency and agricultural productivity through water-saving infrastructure upgrades, enhanced irrigation technologies, and technical training. Based on this distinction, we developed a hybrid eco-compensation mechanism integrating the two approaches using a cost–expenditure method and applied it to the mainstream section of the Weihe River and the Baojixia Yuanshang Irrigation District in Northwest China under typical hydrological conditions. The main findings are as follows: (1) Compensation standards for both approaches increase with higher ecological flow targets, with average values of 2762 CNY ha−1 and 1386 CNY ha−1, respectively. (2) The two approaches differ in terms of participants, standards, and implementation methods, yet they are complementary and indispensable under current conditions. (3) Hematopoiesis eco-compensation generates positive ecological and economic effects, increasing the annual value of riverine ecosystem services by approximately 126 million CNY and the annual economic benefits of the irrigation district by approximately 467 million CNY. This study provides a theoretical foundation and practical guidance for establishing long-term compensation mechanisms to maintain ecological flows in water-scarce regions. Full article
(This article belongs to the Section Water, Agriculture and Aquaculture)
Show Figures

Figure 1

15 pages, 1319 KB  
Article
A Machine Learning-Validated Comparison of LAI Estimation Methods for Urban–Agricultural Vegetation Using Multi-Temporal Sentinel-2 Imagery in Tashkent, Uzbekistan
by Bunyod Mamadaliev, Nikola Kranjčić, Sarvar Khamidjonov and Nozimjon Teshaev
Land 2026, 15(2), 232; https://doi.org/10.3390/land15020232 - 29 Jan 2026
Abstract
Accurate estimation of Leaf Area Index (LAI) is essential for monitoring vegetation structure and ecosystem services in urban and peri-urban environments, particularly in small, heterogeneous patches typical of semi-arid cities. This study presents a comparative assessment of four empirical LAI estimation methods—NDVI-based, NDVI-advanced, [...] Read more.
Accurate estimation of Leaf Area Index (LAI) is essential for monitoring vegetation structure and ecosystem services in urban and peri-urban environments, particularly in small, heterogeneous patches typical of semi-arid cities. This study presents a comparative assessment of four empirical LAI estimation methods—NDVI-based, NDVI-advanced, SAVI-based, and EVI-based methods—applied to atmospherically corrected Sentinel-2 Level-2A imagery (10 m spatial resolution) over a 0.045 km2 urban–agricultural polygon in the Tashkent region, Uzbekistan. Multi-temporal observations acquired during the 2023 growing season (June–August) were used to examine intra-seasonal vegetation dynamics. In the absence of field-measured LAI, a Random Forest regression model was implemented as an inter-method consistency analysis to assess agreement among index-derived LAI estimates rather than to perform external validation. Statistical comparisons revealed highly systematic and practically significant differences between methods, with the EVI-based approach producing the highest and most dynamically responsive LAI values (mean LAI = 1.453) and demonstrating greater robustness to soil background and atmospheric effects. Mean LAI increased by 66.7% from June to August, reflecting irrigation-driven crop phenology in the semi-arid study area. While the results indicate that EVI provides the most reliable relative LAI estimates for small urban–agricultural patches, the absence of ground-truth data and the influence of mixed pixels at 10 m resolution remain key limitations. This study offers a transferable methodological framework for comparative LAI assessment in data-scarce urban environments and provides a basis for future integration with field measurements, higher-resolution imagery, and LiDAR-based 3D vegetation models. Full article
Show Figures

Figure 1

20 pages, 10690 KB  
Article
Remote Sensing-Based Attribution of Crop Water Requirements Dynamics in the Tailan River Irrigation District, 2000–2024
by Fan Gao, Ying Li, Bing He, Fei Gao, Qiu Zhao, Hairui Li and Fanghong Han
Agriculture 2026, 16(3), 332; https://doi.org/10.3390/agriculture16030332 - 29 Jan 2026
Abstract
Assessment of crop water requirements (ETc) and their meteorological driving mechanisms are critical for irrigation management in arid inland river basins. Taking the Tailan River Irrigation District (Xinjiang, China) as a case study, temporal changes in cropping structure, crop-specific ETc, and irrigation-district–scale agricultural [...] Read more.
Assessment of crop water requirements (ETc) and their meteorological driving mechanisms are critical for irrigation management in arid inland river basins. Taking the Tailan River Irrigation District (Xinjiang, China) as a case study, temporal changes in cropping structure, crop-specific ETc, and irrigation-district–scale agricultural water demand, as well as the meteorological controls on ETc, were quantified for the period 2000–2024 using Google Earth Engine-based crop mapping, the CROPWAT model, and path analysis. The results demonstrated that the 2024 random forest classification model achieved high accuracy (overall accuracy = 0.902; Kappa = 0.876), and validation against statistical yearbook data confirmed the reliability of crop-area estimation. Cotton dominated the cropping structure (228.6–426.0 km2), while the orchard area expanded markedly from 206.5 km2 in 2000 to 393.2 km2 in 2024; wheat exhibited strong interannual variability, and maize occupied a relatively small area. Crop-specific ETc differed markedly among crop types, following the order orchard > cotton > maize > wheat, with orchards maintaining the highest water requirement across all growth stages. Total agricultural water demand, estimated by integrating crop-specific ETc with remotely sensed planting areas, increased from approximately 260 million m3 to over 500 million m3 after 2010, mainly due to orchard expansion and cotton cultivation. Path analysis indicated that interannual ETc variability exhibited a stronger statistical association with wind speed than with other meteorological variables. These results provide a quantitative basis for cropping-structure optimization and water-saving irrigation management under changing climatic conditions. Full article
(This article belongs to the Section Artificial Intelligence and Digital Agriculture)
Show Figures

Figure 1

53 pages, 49911 KB  
Article
Understanding the Formation of a Mediterranean Landscape: Medieval Rural Land and Settlements in Catalonia
by Jordi Bolòs
Land 2026, 15(2), 225; https://doi.org/10.3390/land15020225 - 29 Jan 2026
Abstract
In recent years, numerous studies have been carried out on the landscape of the 5th-15th centuries in Catalonia. When studying settlement, we will assess research on the morphogenesis of villages and highlight differences across regions. We will also see the characteristics of the [...] Read more.
In recent years, numerous studies have been carried out on the landscape of the 5th-15th centuries in Catalonia. When studying settlement, we will assess research on the morphogenesis of villages and highlight differences across regions. We will also see the characteristics of the hamlets of the Early Middle Ages and those of the Pyrenean lands. Farmsteads, which were made up of a house and some land that depended on it, were a fundamental element of the landscape of many regions of Catalonia. To understand the characteristics of the agricultural areas, we will be interested in the concentric shapes and coaxial strips. Furthermore, to understand the landscape of the regions of Lleida and Tortosa, we must understand the transformations that occurred in the Islamic era and the diffusion of ditches and irrigated spaces. Likewise, we will examine the relationship we discover between the coombs and the first medieval settlements and necropolises. It is also important to determine when and why the terraces were built. This study will address the evolution of the landscape throughout Catalonia, with special emphasis on the most recent contributions relating to the regions of Barcelona and Lleida. This research has been based primarily on the study of written documents and the analysis of what is preserved on the ground, which we can learn about above all through aerial photographs. Full article
(This article belongs to the Special Issue Archaeological Landscape and Settlement (Third Edition))
Show Figures

Figure 1

4 pages, 175 KB  
Editorial
Agricultural Practices to Improve Irrigation Sustainability, 2nd Edition
by Patrícia Palma and Alexandra Tomaz
Water 2026, 18(3), 333; https://doi.org/10.3390/w18030333 - 29 Jan 2026
Abstract
Agriculture accounts for approximately 70% of global water usage [...] Full article
33 pages, 3499 KB  
Article
Agro-Exports and Economic Growth: A Case Study of Lambayeque, Peru (2010–2023)
by Rogger Orlando Morán-Santamaría, Yefferson Llonto-Caicedo, Lindon Vela-Meléndez, Rudy Gonzalo Adolfo Chura-Lucar, Hilda Paola Arias-Gonzales, Marlon Joel Neyra-Panta, Leonardo Castilla-Jibaja, Jose Alberto Chombo-Jaco, Jorge Eduardo Silva-Guevara, Alexandra de Nazareth Llanos-Vásquez, Francisco Eduardo Cúneo-Fernández, Debora Margarita de Jesus Paredes-Olano, Aldo Michel Pisco-Cueva, Ofrmar Dionell Jiménez-Garay and Antony Cristhian Gonzales-Alvarado
Sustainability 2026, 18(3), 1326; https://doi.org/10.3390/su18031326 - 28 Jan 2026
Abstract
The present study examined the impact of agricultural exports on economic growth in Lambayeque, Peru, during the period 2010–2023. An ordinary least squares (OLS) econometric model was employed to analyze the relationship between gross value added (GVA) and key macroeconomic variables, including agricultural [...] Read more.
The present study examined the impact of agricultural exports on economic growth in Lambayeque, Peru, during the period 2010–2023. An ordinary least squares (OLS) econometric model was employed to analyze the relationship between gross value added (GVA) and key macroeconomic variables, including agricultural exports, private investment, real wages, terms of trade, and the real multilateral exchange rate. The findings indicate that the model possesses considerable explanatory power (R2 = 0.973) and that agricultural exports exert a positive and significant influence on regional GVA. In addition, private investment and real wages demonstrate positive elasticities, while terms of trade exhibit a negative relationship with regional economic growth. This highlights Lambayeque’s vulnerability to external price shocks. The study thus underscores the pivotal role of the Olmos Project, which has been instrumental in transforming arid land into fruitful agricultural zones through the implementation of an irrigation system encompassing over 22,000 hectares. This initiative has not only augmented agricultural exports, accounting for an impressive 90% of Lambayeque’s supply, but also contributed significantly to regional economic development by supporting employment generation and poverty reduction. Nevertheless, the presence of negative terms of trade indicates that the regional economy exhibits structural vulnerability in the face of external shocks. Notwithstanding the intrinsic limitations of regional, trade, and macroeconomic statistics, an understanding of the correlation between agro-exports and economic growth in a paradigmatic region of northern Peru provides substantial evidence for formulating policies to enhance the competitiveness and sustainability of the agro-export model. Full article
Show Figures

Figure 1

21 pages, 816 KB  
Article
How Media Trust Mediates the Adoption of Fish Screens by Irrigators in Australia: The Intermediate Effect of Resource Efficacy
by Tahmid Nayeem, Nicholas Pawsey, Fahad Asmi and Lee Baumgartner
Sustainability 2026, 18(3), 1297; https://doi.org/10.3390/su18031297 - 28 Jan 2026
Viewed by 46
Abstract
Fish screens are a sustainable agricultural innovation that offers economic and environmental benefits by protecting aquatic life and enhancing the efficiency of irrigation. In freshwater irrigation ecosystems, fish screens help protect aquatic organisms by reducing fish entrainment, facilitating ecological connectivity, and lowering mortality [...] Read more.
Fish screens are a sustainable agricultural innovation that offers economic and environmental benefits by protecting aquatic life and enhancing the efficiency of irrigation. In freshwater irrigation ecosystems, fish screens help protect aquatic organisms by reducing fish entrainment, facilitating ecological connectivity, and lowering mortality at early life stages. Therefore, they contribute significantly to aquatic biodiversity conservation. However, the role of trust in media in influencing Australian irrigators’ intentions to use fish screens remains underexplored. The study, guided by the Elaboration Likelihood Model (ELM) and incorporating the Theory of Consumption Values, examines trust in media as a persuasive factor impacting the functional, environmental, and Interpersonal Trust Cue of fish screens. The irrigators’ willingness to test, adopt, or implement fish screens can also predict the irrigators’ readiness to act for biodiversity-relevant outcomes. Data were collected between December 2021 and May 2023 from 192 Australian irrigators (sampling frame = 3736; response rate = 5.1%). The PLS-SEM results reveal that trust in media significantly predicts adoption intention (β = 0.134, 95% CI [0.021, 0.246]) and resource (time) efficacy (β = 0.170, 95% CI [0.054, 0.289]), with resource efficacy partially mediating this relationship. The study offers a theoretical contribution by integrating the ELM, the Theory of Consumption Value, and resource efficacy to explain how trust in media influences adoption through different persuasive routes. The model explains 22.5% of the variance in adoption intention. The findings indicate that resource efficacy is a critical enabling factor in translating conservation-oriented communication into an effective measure to protect freshwater biodiversity. Full article
(This article belongs to the Special Issue Biodiversity and Sustainability in Aquatic Environments)
Show Figures

Figure 1

7 pages, 18817 KB  
Proceeding Paper
Evaluation of the Postharvest Performance of Kiwifruit Under the Application of a Glycine-Betaine-Based Biostimulant During the Growing Season
by Vasileios Papantzikos
Biol. Life Sci. Forum 2026, 57(1), 1; https://doi.org/10.3390/blsf2026057001 - 28 Jan 2026
Viewed by 28
Abstract
The demand for high-quality agricultural products is increasing; however, this requirement is becoming increasingly challenging due to the effects of climate change, which can cause abiotic stress. In this research, we studied the performance of kiwifruit (Actinidia deliciosa var. ‘Hayward’) 60 days [...] Read more.
The demand for high-quality agricultural products is increasing; however, this requirement is becoming increasingly challenging due to the effects of climate change, which can cause abiotic stress. In this research, we studied the performance of kiwifruit (Actinidia deliciosa var. ‘Hayward’) 60 days after storage for two different cultivation periods, in which a glycine betaine biostimulant (GB) was applied to the kiwi trees via irrigation under field conditions. Postharvest analysis was performed by measuring the fresh and dry weight of the kiwifruit, the soluble solids content, and titratable acidity. To assess the antioxidant traits of the kiwifruit, DPPH and ascorbic acid contents were recorded. Data analysis revealed that the GB treatment proved beneficial for kiwifruit during storage, enhancing their antioxidant capacity as indicated by their higher ascorbic acid content (vitamin C) compared to the control. This qualitative difference may benefit the commercial requirements of kiwifruit cultivation under the abiotic conditions of climate change, which prompts us to further investigate the application of amino acid biostimulants. This research complements the existing literature on the implementation of biostimulants, as reports regarding their application in kiwifruit cultivation are limited, and provides an optional solution for meeting the commercial needs of kiwifruit cultivation and improving the adaptability of kiwifruit cultivation under abiotic stress conditions. Full article
Show Figures

Figure 1

17 pages, 2077 KB  
Article
Hydrogel Utilization and Water Management for Annual and Perennial Herbs in an Extensive Green Roof Environment
by Stuart Alan Walters and Hunter M. Christenson
Horticulturae 2026, 12(2), 145; https://doi.org/10.3390/horticulturae12020145 - 28 Jan 2026
Viewed by 57
Abstract
Extensive green roofs can be used to provide spaces for local agriculture in urban environments, although extreme moisture and temperature conditions typically found in these systems can often be challenging for crop production. The Southern Illinois University-Carbondale extensive green roof was utilized to [...] Read more.
Extensive green roofs can be used to provide spaces for local agriculture in urban environments, although extreme moisture and temperature conditions typically found in these systems can often be challenging for crop production. The Southern Illinois University-Carbondale extensive green roof was utilized to determine the effects of a polyacrylamide hydrogel, pine bark mulch, and irrigation frequency on the growth and productivity of ‘Compact’ and ‘Italian Large Leaf’ basil (Ocimum basilicum), and the growth and overwintering ability of two perennial culinary herbs, sage (Salvia officinalis) and thyme (Thymus vulgaris). Results indicated that weekly irrigation increased late-season basil and perennial plant vigor, basil fresh and dry weight, and overwintered perennial plant vigor and height compared to bimonthly watering. Although the use of pine bark mulch improved basil fresh weight and plant vigor compared to no mulch, mulching did not influence (p > 0.05) perennial herb growth or overwintering in an extensive green roof environment. Hydrogel applications improved basil plant height compared to none, although fresh and dry plant biomass were not influenced by hydrogel applications. In comparison, hydrogels as additions to the green roof medium did not influence either early- or late-season perennial plant vigor, although the overwintered plant vigor collected the following spring was greater in the no-hydrogel treatment. For perennial herbs, sage had greater vigor, overwinter survival, and overall suitability for extensive green roof environments compared to thyme. This research indicated the importance of perennial herb selection and consistent water supply for annual and perennial herb growth and the overwintering success of perennial herbs. Thus, supplemental water and other management strategies to provide more constant medium moisture content are important considerations for sustaining culinary herb production on extensive green roofs. Full article
Show Figures

Figure 1

22 pages, 3650 KB  
Article
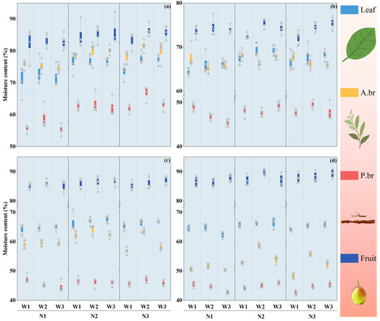
Coordinated Water–Nitrogen Management for Sustainable Fragrant Pear Production in Arid Regions: Organ Nutrition Regulation and 15N Utilization Optimization
by Li Zhao, Fangyuan Zhou, Xinlin He, Quanli Zong, Yuan Wang, Yanjie Li, Muhammad Arsalan Farid and Chunxia Wang
Horticulturae 2026, 12(2), 144; https://doi.org/10.3390/horticulturae12020144 - 27 Jan 2026
Viewed by 65
Abstract
The combined challenges of water scarcity and inefficient nitrogen use pose substantial barriers to sustainable agricultural development. Optimizing the coordinated regulation of water and nitrogen resources in fruit trees is essential for promoting water-saving agriculture in drylands. To establish a water and nitrogen [...] Read more.
The combined challenges of water scarcity and inefficient nitrogen use pose substantial barriers to sustainable agricultural development. Optimizing the coordinated regulation of water and nitrogen resources in fruit trees is essential for promoting water-saving agriculture in drylands. To establish a water and nitrogen collaborative management model for efficient resource utilization, this study conducted a 3-year field experiment examining different irrigation amount (W1: 4500 m3·ha−1, W2: 6000 m3·ha−1, and W3: 7500 m3·ha−1) and nitrogen application rates (N1: 200 kg·ha−1, N2: 300 kg·ha−1, and N3: 400 kg·ha−1), coupled with 15N isotopic labeling, to evaluate the impact of water and nitrogen regulation on the following: (i) the spatial distribution patterns of water and nitrogen in the root zone soil, (ii) dynamic characteristics of water and nitrogen across organs, and (iii) 15N absorption and utilization. The findings revealed that 20–80 cm depth was the key zone for water and nitrogen absorption by roots of pear. The W2 treatment met the optimal irrigation requirement for young pear tree roots and exhibited the optimal dynamic characteristics of water and nitrogen among the newly formed organs. At the end of the growth period, N3 treatment had the highest nitrogen content and the root system was the main organ for nitrogen absorption and storage. Water-saving irrigation coupled with optimized nitrogen application synergistically enhanced the nitrogen accumulation efficiency in fragrant pear. The W2N2 treatment exhibited the highest 15N absorption and utilization rate (40.79%), effectively promoting nitrogen absorption and assimilation, reducing nitrogen losses, and offering valuable insights for advancing sustainable practices in the fruit and forestry industries. Full article
(This article belongs to the Section Fruit Production Systems)
Show Figures

Figure 1

19 pages, 4253 KB  
Article
Shifting from Seed Maize to Grain Maize Changes Carbon Budget Under Mulched Irrigation Conditions
by Chunyu Wang, Yuexin Wang, Xinjie Shi, Donghao Li, Mousong Wu and Sien Li
Agriculture 2026, 16(3), 313; https://doi.org/10.3390/agriculture16030313 - 27 Jan 2026
Viewed by 132
Abstract
To ensure food security, integrated mulching and irrigation practices are widely used in arid maize fields. Mitigating climate change is vital for sustainable agricultural development. Yet, few studies have examined how different mulching and irrigation methods affect farmland carbon fluxes, particularly with maize [...] Read more.
To ensure food security, integrated mulching and irrigation practices are widely used in arid maize fields. Mitigating climate change is vital for sustainable agricultural development. Yet, few studies have examined how different mulching and irrigation methods affect farmland carbon fluxes, particularly with maize variety shifts under policy guidance. In this study, we conducted experimental observations over five growing seasons using eddy covariance systems in maize fields (including seed maize fields and grain maize fields), where drip irrigation under plastic mulch (DM) and border irrigation under plastic mulch (BM) were employed in Northwest China. Results revealed that the multi-year mean gross primary productivity (GPP), net ecosystem productivity (NEP), and ecosystem respiration (ER) in maize fields under DM were 16.70%, 15.63% and 17.52% higher than those under BM, respectively. The changes in cumulative GPP, cumulative NEP and cumulative ER caused by the alteration of maize varieties were 7.64, 13.34 and 4.20 times, respectively, compared to the changes caused by the irrigation method. After mechanical harvesting, net biome productivity (NBP) was negative in seed maize fields but positive in grain maize fields. However, after the straws were returned to the fields, the NBP of both types of maize fields became positive. Interestingly, the carbon fluxes of seed maize and grain maize, respectively, exhibit strong dependence on soil temperature and leaf area index. Our study will provide important insights for the green and sustainable development of agriculture and the advancement of ecosystem models. Full article
(This article belongs to the Section Ecosystem, Environment and Climate Change in Agriculture)
Show Figures

Figure 1

21 pages, 26913 KB  
Article
Regional Assessment of Arsenic Accumulation in Rice (Oryza sativa L.) Agroecosystems of the Tejo, Almansor and Sorraia Valleys, Portugal
by Manuela Simões, David Ferreira, Ana Coelho Marques and Ana Rita F. Coelho
Sci 2026, 8(2), 26; https://doi.org/10.3390/sci8020026 - 27 Jan 2026
Viewed by 67
Abstract
Arsenic (As) accumulation in rice (Oryza sativa L.) is considered a major environmental and food safety concern, particularly in flooded agroecosystems where reducing conditions mobilize As from soils. Portugal is one of Europe’s rice producers, especially in the Tejo, Almansor, and Sorraia [...] Read more.
Arsenic (As) accumulation in rice (Oryza sativa L.) is considered a major environmental and food safety concern, particularly in flooded agroecosystems where reducing conditions mobilize As from soils. Portugal is one of Europe’s rice producers, especially in the Tejo, Almansor, and Sorraia valleys. As such, this study evaluates As pathways across 5000 ha of rice fields in the Tagus, Sorraia, and Almansor alluvial plains by combining soil, water, and plant analyses with a geostatistical approach. The soils exhibited consistently elevated As concentrations (mean of 18.9 mg/kg), exceeding national reference values for agricultural soils (11 mg/kg) and forming a marked east–west gradient with the highest levels in the Tagus alluvium. Geochemical analysis showed that As is strongly correlated with Fe (r = 0.686), indicating an influence of Fe-oxyhydroxides under oxidizing conditions. The irrigation waters showed low As (mean of 2.84 μg/L for surface water and 3.51 μg/L for groundwater) and predominantly low sodicity facies, suggesting that irrigation water is not the main contamination vector. In rice plants, As accumulation follows the characteristic organ hierarchy roots > stems/leaves > grains, with root concentrations reaching up to 518 mg/kg and accumulating progressively in the maturity phase. Arsenic content in harvested rice grains was 266 μg/kg (with a maximum of 413.9 μg/kg), being close to EU maximum limits when considering typical inorganic As proportions, assuming 60 to 90% inorganic fraction. Together, the findings highlight that a combined approach is essential, and identify soil geochemistry (and not irrigation water) as the primary source of As transfer in those agroecosystems, due to the flooded conditions that trigger the reductive dissolution of Fe oxides, releasing As. Additionally, the results also identified the need for targeted monitoring in areas of elevated As content in soils and support future mitigation through As speciation analysis, cultivar selection, improved fertilization strategies, and water-management practices such as Alternate Wetting and Drying (AWD), to ensure the long-term food safety. Full article
Show Figures

Figure 1

Back to TopTop