Remote Sensing-Based Attribution of Crop Water Requirements Dynamics in the Tailan River Irrigation District, 2000–2024
Abstract
1. Introduction
2. Materials and Methods
2.1. Overview of the Study Area
2.2. Data Sources and Preprocessing
2.2.1. Remote Sensing Image Data
2.2.2. Meteorological Data
2.2.3. Sample Data
2.3. Model and Methods
2.3.1. NDVI Time-Series Reconstruction
2.3.2. Classification and Validation
| Type | Formula | |
|---|---|---|
| Producer’s Accuracy (PA) | (3) | |
| User’s Accuracy (UA) | (4) | |
| Overall Accuracy (OA) | (5) | |
| Kappa Coefficient (K) | (6) | |
2.3.3. Trend Analysis of Meteorological Elements
2.3.4. Estimation of Crop Water Requirement (ETc)
2.3.5. Path Analysis
3. Results
3.1. Spatiotemporal Dynamics of Crop Planting Structure in the Tailan River Irrigation District
3.1.1. Results of Crop Planting Structure Identification and Accuracy Assessment
3.1.2. Spatiotemporal Dynamics of Cropping Patterns
3.2. Characteristics of Climate Change in the Irrigation District
3.3. Dynamics of Crop Water Requirements
3.3.1. Variation Characteristics of the Average Crop Water Requirement per Unit Area over Multiple Years
3.3.2. Multi-Year Average Crop Water Requirements at Different Growth Stages
3.3.3. Interannual Variation in Total Crop Water Requirements
3.4. Analysis of Meteorological Driving Paths
3.4.1. Correlation Between Crop Water Requirement and Meteorological Factors
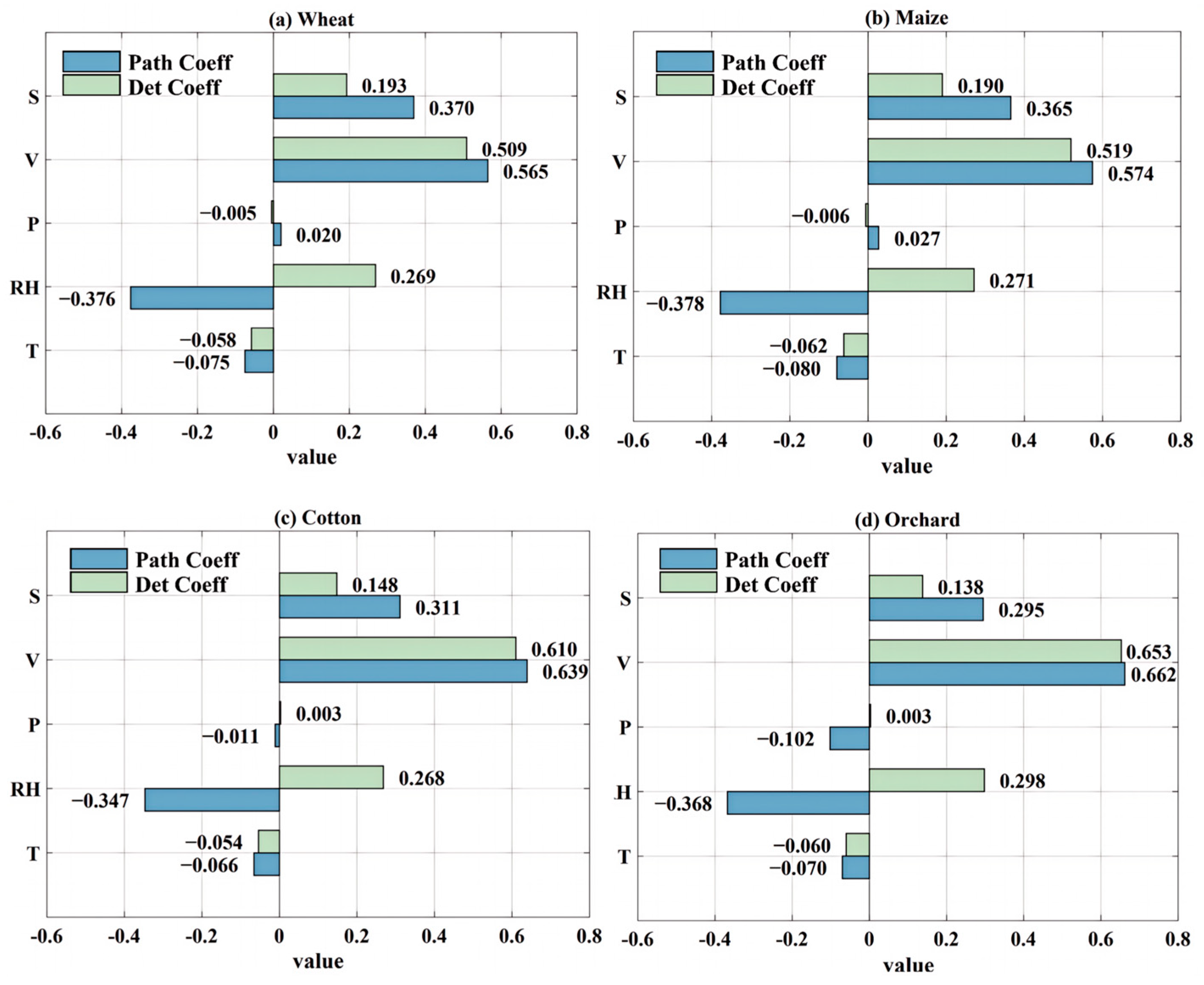
3.4.2. Path Analysis
4. Discussion
4.1. The Essential Contributions and Scientific Issues of the Integration Method
4.2. Regional Specificity of Crop Water Demand Driven by Climate
4.3. Irrigation Management Enlightenment Based on Research Findings
4.4. Limitations and Robustness of Results
5. Conclusions
Author Contributions
Funding
Institutional Review Board Statement
Data Availability Statement
Conflicts of Interest
References
- An, Y.; Li, Q.; Zhang, L. Managing agricultural water use in a changing climate in China. Sustain. Prod. Consum. 2022, 33, 978–990. [Google Scholar] [CrossRef]
- Liu, Z.; Huang, Y.; Liu, T.; Li, J.; Xing, W.; Akmalov, S.; Peng, J.; Xing, W.; Peng, J.; Pan, X.; et al. Water balance analysis based on a quantitative evapotranspiration inversion in the Nukus irrigation area, Lower Amu River Basin. Remote Sens. 2020, 12, 2317. [Google Scholar] [CrossRef]
- Chen, Y.N.; Li, Z.Q.; Xu, J.H.; Shen, Y.J.; Xing, X.X.; Xie, T.; Li, Z.; Yang, L.; Zhu, C.; Fang, G.; et al. Changes and protection suggestions in water resources and ecological environment in arid region of Northwest China. Bull. Chin. Acad. Sci. 2023, 38, 385–393. [Google Scholar]
- Zhang, Y.F.; Guo, Y.; Shen, Y.J.; Qi, Y.Q.; Luo, J.M. Impact of planting structure changes on agricultural water requirement in the North China Plain. Chin. J. Eco-Agric. 2020, 28, 8–16. [Google Scholar]
- Li, J.; Fei, L.; Li, S.; Xue, C.; Shi, Z.; Hinkelmann, R. Development of “water-suitable” agriculture based on a statistical analysis of factors affecting irrigation water demand. Sci. Total Environ. 2020, 744, 140986. [Google Scholar] [CrossRef]
- Zhang, J.; Deng, M.; Han, Y.; Huang, H.; Yang, T. Spatiotemporal variation of irrigation water requirements for grain crops under climate change in Northwest China. Environ. Sci. Pollut. Res. 2023, 30, 45711–45724. [Google Scholar] [CrossRef] [PubMed]
- Yue, X.J.; Song, Q.K.; Li, Z.Q.; Zheng, J.Y.; Xiao, J.Y.; Zeng, F.G. Research status and prospects of crop information monitoring technology in fields. J. South China Agric. Univ. 2023, 44, 43–56. [Google Scholar]
- Moorhead, J.E.; Marek, G.W.; Gowda, P.H.; Lin, X.; Colaizzi, P.D.; Evett, S.R.; Kutikoff, S. Evaluation of evapotranspiration from eddy covariance using large weighing lysimeters. Agronomy 2019, 9, 99. [Google Scholar] [CrossRef]
- Wang, T.; Sun, S.; Yin, Y.; Zhao, J.; Tang, Y.; Wang, Y.; Gao, F.; Luan, X. Status of crop water use efficiency evaluation methods: A review. Agric. For. Meteorol. 2024, 349, 109961. [Google Scholar] [CrossRef]
- Kussul, N.; Lemoine, G.; Gallego, F.J.; Skakun, S.V.; Lavreniuk, M.; Shelestov, A.Y. Parcel-based crop classification in Ukraine using Landsat-8 and Sentinel-1A data. IEEE J. Sel. Top. Appl. Earth Obs. Remote Sens. 2016, 9, 2500–2508. [Google Scholar] [CrossRef]
- Belgiu, M.; Csillik, O. Sentinel-2 cropland mapping using pixel-based and object-based time-weighted dynamic time warping analysis. Remote Sens. Environ. 2018, 204, 509–523. [Google Scholar] [CrossRef]
- D’Apice, C.; Kogut, P.I.; Manzo, R. A two-level variational algorithm in the Sobolev–Orlicz space to predict daily surface reflectance at LANDSAT high spatial resolution and MODIS temporal frequency. J. Comput. Appl. Math. 2023, 434, 115339. [Google Scholar] [CrossRef]
- Yang, J.; Wu, T.; Wang, S.; Zhao, X.; Xiong, H. Extraction of multiple cropping information at the sub-pixel scale based on phenology and MODIS NDVI time-series: A case study in Henan Province, China. Geocarto Int. 2022, 37, 15999–16019. [Google Scholar] [CrossRef]
- Feng, Y.; Guo, Y.; Chen, X.L.; Liu, M.Z.; Shen, Y.J. Classification of major crops using MODIS data in the Songhua River Basin. Chin. J. Eco-Agric. 2023, 31, 1602–1612. [Google Scholar]
- Xia, L.; Zhao, F.; Chen, J.; Yu, L.; Lu, M.; Yu, Q.; Liang, S.; Fan, L.; Sun, X.; Wu, S. A full-resolution deep learning network for paddy rice mapping using Landsat data. ISPRS J. Photogramm. Remote Sens. 2022, 194, 91–107. [Google Scholar] [CrossRef]
- Phiri, D.; Simwanda, M.; Salekin, S.; Nyirenda, V.R.; Murayama, Y.; Ranagalage, M. Sentinel-2 data for land cover/use mapping: A review. Remote Sens. 2020, 12, 2291. [Google Scholar] [CrossRef]
- Sun, L.; Gao, F.; Xie, D.; Anderson, M.; Chen, R.; Yang, Y.; Yang, Y.; Chen, Z. Reconstructing daily 30 m NDVI over complex agricultural landscapes using a crop reference curve approach. Remote Sens. Environ. 2021, 253, 112156. [Google Scholar] [CrossRef]
- Xiong, J.; Thenkabail, P.S.; Tilton, J.C.; Gumma, M.K.; Teluguntla, P.; Oliphant, A.; Congalton, R.G.; Yadav, K.; Gorelick, N. Nominal 30-m cropland extent map of continental Africa by integrating pixel-based and object-based algorithms using Sentinel-2 and Landsat-8 data on Google Earth Engine. Remote Sens. 2017, 9, 1065. [Google Scholar] [CrossRef]
- Wang, S.; Wang, C.; Zhang, C.; Xue, J.; Wang, P.; Wang, X.; Wang, W.; Zhang, X.; Li, W.; Huang, G.; et al. A classification-based spatiotemporal adaptive fusion model for the evaluation of remotely sensed evapotranspiration in heterogeneous irrigated agricultural areas. Remote Sens. Environ. 2022, 273, 112962. [Google Scholar] [CrossRef]
- Meng, L.; Liu, H.; Zhang, X.; Ren, C.; Ustin, S.; Qiu, Z.; Xu, M.; Guo, D. Assessment of the effectiveness of spatiotemporal fusion of multi-source satellite images for cotton yield estimation. Comput. Electron. Agric. 2019, 162, 44–52. [Google Scholar] [CrossRef]
- Bi, K.Y.; Niu, Z.; Huang, N.; Kang, J.; Pei, J. Identifying vegetation with a decision tree model based on an object-oriented method using multi-temporal Sentinel-2A images. Geogr. Geo-Inf. Sci. 2017, 33, 16–20. [Google Scholar]
- Zhang, X.W.; Chen, Y.S.; Meng, Q.; Wang, X. Extraction of crop phenological information based on time-series MODIS NDVI. Chin. Agric. Sci. Bull. 2018, 34, 158–164. [Google Scholar]
- Radočaj, D.; Šiljeg, A.; Marinović, R.; Jurišić, M. State of major vegetation indices in precision agriculture studies indexed in Web of Science: A review. Agriculture 2023, 13, 707. [Google Scholar] [CrossRef]
- Chirakkal, S.; Haldar, D.; Misra, A. A knowledge-based approach for discriminating multi-crop scenarios using multi-temporal polarimetric SAR parameters. Int. J. Remote Sens. 2019, 40, 4002–4018. [Google Scholar] [CrossRef]
- Deng, H.; Zhang, W.; Zheng, X.; Zhang, H. Crop classification combining object-oriented method and random forest model using UAV multispectral imagery. Agriculture 2024, 14, 548. [Google Scholar] [CrossRef]
- Wang, T. Improved random forest classification model combined with C5.0 algorithm for vegetation feature analysis in non-agricultural environments. Sci. Rep. 2024, 14, 10367. [Google Scholar] [CrossRef] [PubMed]
- Wang, X.N.; Tian, J.Y.; Li, X.J.; Wang, L.; Gong, H.L.; Chen, B.B.; Guo, J.H. Benefits of Google Earth Engine in remote sensing. Natl. Remote Sens. Bull. 2022, 26, 299–309. [Google Scholar] [CrossRef]
- Zhang, Z.; Hua, L.; Zheng, X.; Li, J. Extraction of cropping patterns in the Jianghan Plain based on GEE and Sentinel-NDVI time-series data. Trans. Chin. Soc. Agric. Eng. 2022, 38, 196–202. [Google Scholar]
- Sang, G.Q.; Tang, Z.G.; Deng, G.; Wang, J.W.; Li, J.; Mao, K.B. High-resolution paddy rice mapping using Sentinel data based on the GEE platform: A case study of Hunan Province. Acta Agron. Sin. 2022, 48, 2409–2420. [Google Scholar] [CrossRef]
- Zhang, D.; Ying, C.; Wu, L.; Meng, Z.; Wang, X.; Ma, Y. Using time-series Sentinel images for object-oriented crop extraction of planting structure in Google Earth Engine. Agronomy 2023, 13, 2350. [Google Scholar] [CrossRef]
- Meng, J.; He, R.; Lin, Z. Status and prospects of Google Earth Engine in agricultural management research. J. Geo-Inf. Sci. 2024, 26, 1002–1018. [Google Scholar]
- Soomro, S.; Solangi, G.S.; Siyal, A.A.; Golo, A.; Bhatti, N.B.; Soomro, A.G.; Memon, A.H.; Panhwar, S.; Keerio, H.A. Estimation of irrigation water requirement and irrigation scheduling for major crops using the CROPWAT model and climatic data. Water Pract. Technol. 2023, 18, 685–700. [Google Scholar] [CrossRef]
- Ewaid, S.H.; Abed, S.A.; Al-Ansari, N. Crop water requirements and irrigation schedules for some major crops in southern Iraq. Water 2019, 11, 756. [Google Scholar] [CrossRef]
- Pereira, L.S.; López-Urrea, R.; Ortega-Farias, S. Editorial to the Special Issue on “Contributions to Update the FAO56 Guidelines for Computing Crop Water Requirements”. Irrig. Sci. 2024, 42, 1013–1017. [Google Scholar] [CrossRef]
- Pinos, J. Estimation methods to define reference evapotranspiration: A comparative perspective. Water Pract. Technol. 2022, 17, 940–948. [Google Scholar] [CrossRef]
- Zhang, Y.; Wang, F.; Du, Z.; Dou, M.; Liang, Z.; Gao, Y.; Li, P. Spatio-temporal distribution characteristics and driving factors of main grain crop water productivity in the Yellow River Basin. Plants 2023, 12, 580. [Google Scholar] [CrossRef]
- Wu, M.H. Analysis of Crop Water Demand and Planting Optimization in Typical Irrigation Areas of the Yarkant River in Xinjiang. Master’s Thesis, North China Electric Power University, Beijing, China, 2023. [Google Scholar]
- Ren, X.L.; Li, H.L.; Zhang, Y.H.; Pu, X.; Zhang, L.L. Water requirement characteristics and influencing factors of main crops in the Sanjiang Plain from 2000 to 2015. Arid Land Geogr. 2019, 42, 854–866. [Google Scholar]
- Sun, D.Y.; Zhao, C.Y.; Peng, D.M.; Li, J.Y.; Yan, Y.Y.; Wei, H. Dynamics of water resources and land use in an oasis irrigation area in the Tailan River watershed. Bull. Soil Water Conserv. 2010, 30, 158–162. [Google Scholar]
- National Earth System Science Data Center (NESSDC). Meteorological Forcing Dataset of China (Temperature and Precipitation). Available online: https://www.geodata.cn/ (accessed on 1 June 2025).
- Li, W.; Tan, M.H. NDVI variation tendency under different slopes in the Taihang Mountains. Chin. J. Eco-Agric. 2017, 25, 509–519. [Google Scholar]
- Liu, X.; Ji, L.; Zhang, C.; Liu, Y. A method for reconstructing NDVI time-series based on envelope detection and the Savitzky–Golay filter. Int. J. Digit. Earth 2022, 15, 553–584. [Google Scholar] [CrossRef]
- Du, B.J.; Zhang, J.; Wang, Z.M.; Mao, D.H.; Zhang, M.; Wu, B.F. Crop mapping based on Sentinel-2A NDVI time series using object-oriented classification and decision tree model. J. Geo-Inf. Sci. 2019, 21, 740–751. [Google Scholar]
- Luo, C.; Qi, B.; Liu, H.; Guo, D.; Lu, L.; Fu, Q.; Shao, Y. Using time-series Sentinel-1 images for object-oriented crop classification in Google Earth Engine. Remote Sens. 2021, 13, 561. [Google Scholar] [CrossRef]
- Kendall, M.G. A new measure of rank correlation. Biometrika 1938, 30, 81–93. [Google Scholar] [CrossRef]
- Mann, H.B. Nonparametric tests against trend. Econometrica 1945, 13, 245–259. [Google Scholar] [CrossRef]
- He, X.G.; Maimaiti, S.; Xia, Z.Y.; Shi, J.Y.; He, X.N.; Sheng, Y.F.; Li, R.P. Spatio-temporal characteristics of water requirement of main crops in Xinjiang from 1960 to 2020. Acta Agron. Sin. 2023, 49, 3352–3363. [Google Scholar] [CrossRef]
- Zhang, L.; Zhang, N.; Ma, Y. Study on water use of walnut trees under drip irrigation. Mod. Agric. Sci. Technol. 2010, 21, 117–121. [Google Scholar]
- Wang, Z.Y.; Xie, X.W.; Liu, G.H.; Ma, X.P. Jujube drip irrigation water consumption and its crop coefficient in oases of arid areas. Xinjiang Agric. Sci. 2015, 52, 675–680. [Google Scholar]
- Fang, H.; Wu, N.; Adamowski, J.; Wu, M.; Cao, X. Crop water footprints and their driving mechanisms show regional differences. Sci. Total Environ. 2023, 904, 167549. [Google Scholar] [CrossRef]
- Phalke, A.R.; Özdoğan, M.; Thenkabail, P.S.; Erickson, T.; Gorelick, N.; Yadav, K.; Congalton, R.G. Mapping croplands of Europe, the Middle East, Russia, and Central Asia using Landsat, random forest, and Google Earth Engine. ISPRS J. Photogramm. Remote Sens. 2020, 167, 104–122. [Google Scholar] [CrossRef]
- Gumma, M.K.; Thenkabail, P.S.; Panjala, P.; Teluguntla, P.; Yamano, T.; Mohammed, I. Multiple agricultural cropland products of South Asia developed using Landsat-8 and MODIS data on Google Earth Engine. GIScience Remote Sens. 2022, 59, 1048–1077. [Google Scholar] [CrossRef]
- Gong, Z.; Gao, F.; Chang, X.; Hu, T.; Li, Y. A review of interactions between irrigation and evapotranspiration. Ecol. Indic. 2024, 169, 112870. [Google Scholar] [CrossRef]
- Habib-ur-Rahman, M.; Ahmad, A.; Raza, A.; Hasnain, M.U. Impact of climate change on agricultural production: Issues, challenges, and opportunities in Asia. Front. Plant Sci. 2022, 13, 925548. [Google Scholar] [CrossRef] [PubMed]
- Liu, W.; Zhang, B.; Wei, Z.; Wang, Y.; Tong, L.; Guo, J.; Han, C. Heterogeneity analysis of main driving factors affecting potential evapotranspiration changes across different climate regions. Sci. Total Environ. 2024, 912, 168991. [Google Scholar] [CrossRef] [PubMed]
- Fei, G.; Jin, X.; Bowen, J.; Zhang, L.; Jiang, D.; Zhao, W.; Zhang, J. Quantification of canopy conductance in an irrigated oasis and its application in evapotranspiration estimation. Adv. Earth Sci. 2020, 35, 523–533. [Google Scholar]
- Li, X.Y.; Yu, D.Y. Progress on evapotranspiration estimation methods and driving forces in arid and semiarid regions. Arid Zone Res. 2020, 37, 26–36. [Google Scholar]
- Fang, G.; Chen, Y.; Li, Z. Variation in agricultural water demand and its attribution in the arid Tarim River Basin. J. Agric. Sci. 2018, 156, 301–311. [Google Scholar] [CrossRef]
- Li, Y.W.; Liu, X.Y.; Xu, Z.W.; Peng, Y.H.; Xu, J.Z. Comparative analysis of different temporal up-scaling methods for evapotranspiration in water-saving irrigated paddy fields. Trans. Chin. Soc. Agric. Eng. 2021, 37, 90–99. [Google Scholar]
- Zhou, J.; Luo, Y.; Wang, J.; Dou, J.; Wang, L.; Shi, W.; Zhang, D.; Wei, W.; Zhu, G. Impacts of planting structure adjustment on water saving in the Shiyang River Basin of arid regions. Sci. Rep. 2024, 14, 30732. [Google Scholar] [CrossRef]














| Satellite & Sensor | Band Number | Band Name | Wavelength Range (μm) | Spatial Resolution (m) |
|---|---|---|---|---|
| Landsat 5 (TM) | 3 | Red | 0.63–0.69 | 30 |
| 4 | NIR | 0.76–0.90 | 30 | |
| 5 | SWIR1 | 1.55–1.75 | 30 | |
| 7 | SWIR2 | 2.08–2.35 | 30 | |
| 6 | Thermal | 10.40–12.50 | 120 | |
| Landsat 7 (ETM+) | 3 | Red | 0.63–0.69 | 30 |
| 4 | NIR | 0.77–0.90 | 30 | |
| 5 | SWIR1 | 1.55–1.75 | 30 | |
| 7 | SWIR2 | 2.09–2.35 | 30 | |
| 6 | Thermal | 10.40–12.50 | 60 | |
| Landsat 8 (OLI/TIRS) | 4 | Red | 0.64–0.67 | 30 |
| 5 | NIR | 0.85–0.88 | 30 | |
| 6 | SWIR1 | 1.57–1.65 | 30 | |
| 7 | SWIR2 | 2.11–2.29 | 30 | |
| 10 | Thermal | 10.60–11.19 | 100 | |
| Terra/Aqua (MODIS) | 1 | Visible Red | 0.620–0.670 | 250 |
| 2 | Near Infrared | 0.841–0.876 | 250 |
| Crop Type | Crop Coefficients | References | ||
|---|---|---|---|---|
| Initial | Mid-Season | Maturity | ||
| Wheat | 0.30 | 1.15 | 0.40 | [37,47] |
| Maize | 0.30 | 1.20 | 0.35 | [37,47] |
| Cotton | 0.35 | 1.20 | 0.60 | [37,47] |
| Orchard | 0.86 | 1.45 | 0.81 | [48,49] |
| Crop Type | Wheat | Maize | Cotton | Orchard | Other | PA | UA | OA | Kappa Coefficient |
|---|---|---|---|---|---|---|---|---|---|
| Wheat | 245 | 6 | 8 | 5 | 7 | 0.904 | 0.906 | 0.902 | 0.876 |
| Maize | 4 | 92 | 2 | 1 | 4 | 0.893 | 0.894 | ||
| Cotton | 7 | 5 | 338 | 9 | 4 | 0.931 | 0.928 | ||
| Orchard | 3 | 2 | 11 | 362 | 10 | 0.933 | 0.867 | ||
| Other | 12 | 4 | 7 | 11 | 234 | 0.873 | 0.913 |
Disclaimer/Publisher’s Note: The statements, opinions and data contained in all publications are solely those of the individual author(s) and contributor(s) and not of MDPI and/or the editor(s). MDPI and/or the editor(s) disclaim responsibility for any injury to people or property resulting from any ideas, methods, instructions or products referred to in the content. |
© 2026 by the authors. Licensee MDPI, Basel, Switzerland. This article is an open access article distributed under the terms and conditions of the Creative Commons Attribution (CC BY) license.
Share and Cite
Gao, F.; Li, Y.; He, B.; Gao, F.; Zhao, Q.; Li, H.; Han, F. Remote Sensing-Based Attribution of Crop Water Requirements Dynamics in the Tailan River Irrigation District, 2000–2024. Agriculture 2026, 16, 332. https://doi.org/10.3390/agriculture16030332
Gao F, Li Y, He B, Gao F, Zhao Q, Li H, Han F. Remote Sensing-Based Attribution of Crop Water Requirements Dynamics in the Tailan River Irrigation District, 2000–2024. Agriculture. 2026; 16(3):332. https://doi.org/10.3390/agriculture16030332
Chicago/Turabian StyleGao, Fan, Ying Li, Bing He, Fei Gao, Qiu Zhao, Hairui Li, and Fanghong Han. 2026. "Remote Sensing-Based Attribution of Crop Water Requirements Dynamics in the Tailan River Irrigation District, 2000–2024" Agriculture 16, no. 3: 332. https://doi.org/10.3390/agriculture16030332
APA StyleGao, F., Li, Y., He, B., Gao, F., Zhao, Q., Li, H., & Han, F. (2026). Remote Sensing-Based Attribution of Crop Water Requirements Dynamics in the Tailan River Irrigation District, 2000–2024. Agriculture, 16(3), 332. https://doi.org/10.3390/agriculture16030332

