Sign in to use this feature.

Years

Between: -

Subjects

remove_circle_outline
remove_circle_outline
remove_circle_outline
remove_circle_outline
remove_circle_outline
remove_circle_outline
remove_circle_outline
remove_circle_outline
remove_circle_outline

Journals

remove_circle_outline
remove_circle_outline
remove_circle_outline
remove_circle_outline
remove_circle_outline
remove_circle_outline
remove_circle_outline
remove_circle_outline
remove_circle_outline

Article Types

Countries / Regions

remove_circle_outline
remove_circle_outline
remove_circle_outline
remove_circle_outline

Search Results (1,102)

Search Parameters:
Keywords = aggregate microstructure

Order results
Result details
Results per page
Select all
Export citation of selected articles as:
17 pages, 2572 KB  
Article
The Role of Clinopyroxene on the Rheology of Dry Olivine–Clinopyroxene Aggregates
by Xiaodong Zheng, Zhexuan Jiang, Jianfeng Li and Maoshuang Song
Minerals 2026, 16(2), 218; https://doi.org/10.3390/min16020218 - 20 Feb 2026
Viewed by 34
Abstract
To investigate the influence of a second-phase mineral on the rheology of mantle peridotite, we conducted high-temperature deformation experiments on dry olivine–clinopyroxene (Ol-Cpx) aggregates. Cylindrical samples were manufactured using hot-isostatic pressing techniques, with Ol as the matrix phase and [...] Read more.
To investigate the influence of a second-phase mineral on the rheology of mantle peridotite, we conducted high-temperature deformation experiments on dry olivine–clinopyroxene (Ol-Cpx) aggregates. Cylindrical samples were manufactured using hot-isostatic pressing techniques, with Ol as the matrix phase and Cpx added at volume fractions of fCpx = 0.1, 0.3, and 0.5. Deformation experiments were performed in a Paterson gas-medium apparatus at a confining pressure of ~300 MPa, temperatures ranging from 1423 to 1523 K, and strain rates of ~5 × 10−6 s−1, ~1 × 10−5 s−1, ~2 × 10−5 s−1, and ~5 × 10−5 s−1. The stress exponents (n = 3.4–4.3) for two-phase aggregates are comparable to those reported for both pure Ol and pure Cpx, indicating that dislocation creep remains the dominant deformation mechanism. Increasing Cpx content does not induce a transition of dominant mechanism but leads to a slight decrease in activation energy, consistent with predictions from two-phase rheological models and reflecting the increasing contribution of Cpx to bulk deformation. Normalized flow stresses fall between the Ol and Cpx end-members within the Taylor–Sachs bounds, indicating moderate strain partitioning between phases. Aggregates with fCpx = 0.5 show slightly reduced strength and lower effective stress exponents. This is attributed to enhanced dynamic recrystallization, which triggers grain-size reduction and thereby increases the contribution of diffusion-assisted deformation, even though dislocation creep remains the dominant mechanism. These results suggest that under dry conditions, Cpx primarily modulates the rheology of olivine-rich aggregates through microstructural evolution and strain partitioning rather than by altering the dominant deformation mechanism. Full article
Show Figures

Figure 1

22 pages, 8413 KB  
Article
Synergistic Sintering of Multi-Source Petrochemical Wastes for High-Strength Ceramsite: Process Optimization and Environmental Safety
by Yang Liu, Teng Wang, Jiayan Dang, Siwei Liu, Jiawei Hu and Yongjie Xue
Materials 2026, 19(4), 787; https://doi.org/10.3390/ma19040787 - 18 Feb 2026
Viewed by 91
Abstract
The sustainable management of typical petrochemical hazardous wastes, such as oil sludge (OS), spent fluid catalytic cracking catalysts (SFCCs), and petrochemical-contaminated soil (PCS), poses a significant challenge. This study developed a synergistic sintering strategy that utilizes the complementary properties of these materials, with [...] Read more.
The sustainable management of typical petrochemical hazardous wastes, such as oil sludge (OS), spent fluid catalytic cracking catalysts (SFCCs), and petrochemical-contaminated soil (PCS), poses a significant challenge. This study developed a synergistic sintering strategy that utilizes the complementary properties of these materials, with OS serving as an organic source, SFCCs and PCS providing an aluminosilicate framework, and waste glass powder (GP) acting as a fluxing agent to produce an environmentally friendly, high-strength ceramsite (OSPG-Opt). Single-factor experiments were first conducted to investigate the effects of OS content, sintering temperature, and duration. Subsequently, the Box–Behnken design was employed to optimize the process for maximizing aggregate strength. The optimal conditions were determined to be 30.5% OS content, a sintering temperature of 1142 °C, and a sintering time of 32 min. Under these conditions, the resulting ceramsite demonstrated a compressive strength of 23.12 MPa, along with a bulk density of 1012.50 kg/m3 and low water absorption of 1.61%, meeting the requirements of the Chinese standard T/CSTM 00548-2022 for structural materials. Microstructural analysis identified the presence of quartz, anorthite solid solution, hematite, and albite. The remarkable mechanical strength is attributed to an interlocking structure of anorthite solid solution within a glassy matrix, which also contributes to effective heavy metal immobilization, ensuring the excellent environmental performance of the final product. Full article
24 pages, 7978 KB  
Article
The Impact of Recycled Glass and Demolition Sand on Delayed Ettringite Formation and Mechanical Performance of Sustainable Concrete
by Seleem S. E. Ahmad, Samah A. Ahmed, Ahmed A. Elshami and Yasmine Elmenshawy
Infrastructures 2026, 11(2), 68; https://doi.org/10.3390/infrastructures11020068 - 16 Feb 2026
Viewed by 260
Abstract
Concrete poses many environmental and economic problems due to its heavy reliance on natural resources. The objective of this study was to explore the potential of utilizing recycled materials, specifically waste glass powder and demolition sand, to assess their effectiveness in reducing the [...] Read more.
Concrete poses many environmental and economic problems due to its heavy reliance on natural resources. The objective of this study was to explore the potential of utilizing recycled materials, specifically waste glass powder and demolition sand, to assess their effectiveness in reducing the formation of delayed ettringite and consequently enhancing the strength of sustainable concrete. This study assesses the combined effects of waste glass powder and demolition sand on stable, sustainable concrete under sulfate exposure. A comprehensive experimental program included 23 mixes using different types of fine aggregate in concrete: standard sand, demolition sand, and mixes with 10–30% ground glass fines replacing Portland cement (PC). Also, the effects of added sodium sulfate and gypsum (1%, 3%, and 5%) on compressive, tensile, and flexural strengths were analyzed by conducting mechanical tests at 7, 28, and 56 days. Finally, SEM, EDS, and XRD were conducted to analyze the microstructures of the concrete mixes. Using gypsum and sodium sulfate provides sulfate ions to study their effects on Delayed Ettringite Formation and mechanical performance. The results of the present work showed that the optimal mix (20% glass powder with 1–3% gypsum) achieved a 21% increase in 28-day compressive strength and a denser microstructure with reduced microcracking. Gypsum showed more stable behavior under the tested conditions compared with sodium sulfate. The microstructure studies supported this conclusion and further demonstrate that optimal amounts of glass result in a denser concrete matrix with less cracking, which is used much more effectively. Full article
Show Figures

Figure 1

18 pages, 1549 KB  
Article
Upcycled Silica-Rich Rice Husk Ash Reinforced Cellulose Acetate Composite Films for Light-Shielding Sustainable Packaging
by Eduardo Gomes de Freitas, Maurício Alves Ramos, Silvia Helena Fuentes da Silva, Nilson Edegar Antunes da Silva, Carolina Duarte Bacchieri Falcão, Lucas Minghini Gonçalves, André Luiz Missio, Everton Granemann Souza, Chiara das Dores do Nascimento, Neftalí Lenin Villarreal Carreño and Camila Monteiro Cholant
J. Compos. Sci. 2026, 10(2), 102; https://doi.org/10.3390/jcs10020102 - 15 Feb 2026
Viewed by 173
Abstract
Silica-rich rice husk ash (RHA) was upcycled as an inorganic filler to engineer cellulose acetate (CA) films with tunable properties for higher-value sustainable packaging. Composite films were produced by solvent casting, varying RHA loading with and without glycerol plasticization. FTIRconfirmed the chemical integrity [...] Read more.
Silica-rich rice husk ash (RHA) was upcycled as an inorganic filler to engineer cellulose acetate (CA) films with tunable properties for higher-value sustainable packaging. Composite films were produced by solvent casting, varying RHA loading with and without glycerol plasticization. FTIRconfirmed the chemical integrity of CA and indicated an increase in hydroxyl interactions in glycerol-plasticized films. Optical microscopy showed that RHA progressively induces particle domains and aggregation, while glycerol improves dispersion and surface uniformity. These microstructural effects translated into controllable optical–mechanical trade-offs: neat CA remained highly transparent, whereas RHA reduced transmittance. Glycerol had a minor effect effect on transmittance, indicating that shielding is primarily governed by the ash-derived inorganic domains and tensile testing highlighted an optimal low-filler regime. A small RHA addition maximized strength and stiffness in non-plasticized films. Contact-angle measurements in neutral and alkaline media indicated pH-sensitive wetting, with faster deterioration under alkaline conditions. Thermogravimetric analysis confirmed increased char residue with RHA addition and that glycerol introduces an early mass-loss stage. Overall, the CA/RHA platform offers a simple and potentially scalable route to upcycled, silica-reinforced films, and the formulation of CA and 1.33 wt% RHA (without glycerol) stands out as a robust secondary layer with low transmittance in the UV-Vis range, making it suitable for high-value light-sensitive flexible healthcare packaging, such as protective overwraps or translucent pouches. Full article
(This article belongs to the Special Issue Sustainable Polymer Composites: Waste Reutilization and Valorization)
29 pages, 6206 KB  
Article
Mechanical and Environmental Performance of Chemical Pretreated Incineration Bottom Ash as a Supplementary Cementitious Material
by Xiaoyan Wei, Jiaze Wang, Yanlin Zhang, Mingxuan Wu, Jie Yang, Tao Meng, Su Wang, Zhen Shyong Yap, Yinjie Huang, Wu Zhou and Yanfang Wu
Materials 2026, 19(4), 706; https://doi.org/10.3390/ma19040706 - 12 Feb 2026
Viewed by 179
Abstract
Municipal solid waste incineration bottom ash (IBA), a major by-product of waste-to-energy plants, is typically landfilled or utilized as low-grade aggregate due to its low intrinsic reactivity and complex composition. This study systematically investigates the efficacy of chemical pretreatment in enhancing the cementitious [...] Read more.
Municipal solid waste incineration bottom ash (IBA), a major by-product of waste-to-energy plants, is typically landfilled or utilized as low-grade aggregate due to its low intrinsic reactivity and complex composition. This study systematically investigates the efficacy of chemical pretreatment in enhancing the cementitious behavior of IBA, specifically examining the effects of alkali type (Ca(OH)2, NaOH, and Na2CO3) and pretreatment duration on reactivity, microstructure, and mechanical performance. The results indicate that Ca(OH)2 activation provides the most significant enhancement; a one-day treatment yielded a 28-day strength activity index (H28) of 76% and facilitated the formation of a compact microstructure rich in ettringite (AFt) and C-S-H gels. Conversely, NaOH and Na2CO3 treatments were less effective, leading to increased porosity and reduced strength attributed to charge imbalance and excessive carbonation, respectively. Prolonged alkaline treatment yielded diminishing returns, causing premature gel densification or excessive silicate depolymerization. Life-cycle assessment (LCA) revealed that Na2CO3 pretreatment entails the highest carbon footprint due to its high molar mass and energy-intensive production, whereas NaOH offers the highest CO2 efficiency per unit of reactivity. Overall, Ca(OH)2 represents a balanced strategy, combining strong activation potential, chemical compatibility, and moderate carbon emissions, thereby supporting the sustainable valorization of IBA in low-carbon cementitious systems. Full article
Show Figures

Figure 1

29 pages, 2915 KB  
Article
Nano-Silica-Enhanced Binder Synergy and Multi-Index Performance of Resource-Efficient Alkali-Activated Composites for Sustainable Infrastructure Applications
by Mahmoud Abo El-Wafa
Infrastructures 2026, 11(2), 64; https://doi.org/10.3390/infrastructures11020064 - 12 Feb 2026
Viewed by 117
Abstract
This study presents a multi-index performance approach that moves beyond the conventional reliance on compressive strength, offering a more holistic evaluation of nano-silica-enhanced binders in resource-efficient alkali-activated composites. Based on the Strength Activity Index (SAI) framework described in ASTM C618, the method integrates [...] Read more.
This study presents a multi-index performance approach that moves beyond the conventional reliance on compressive strength, offering a more holistic evaluation of nano-silica-enhanced binders in resource-efficient alkali-activated composites. Based on the Strength Activity Index (SAI) framework described in ASTM C618, the method integrates fresh state flowability with mechanical strength indices to capture the overall binder synergy. High-calcium fly ash (HCFA) and low-calcium fly ash (LCFA) were used with fine aggregate replacement, the level of which was kept constant at 20% by mass, and nano-silica was incorporated at 0, 1, 2, and 3 wt% of the binder to prepare alkali-activated slag fly ash composites. The fresh-state performance was assessed using the Initial Flow Index (IFI) and Flow Retention Index (FRI), while the mechanical performance was evaluated using the compressive, tensile, and flexural indices (SAI, TSI, and FSI). These results indicate that with an increase in nano-silica content, flowability and workability retention reduce systematically, with LCFA-based mixtures always exhibiting higher fresh-state retention than HCFA systems. Optimal mechanical performance was achieved with an intermediate nano-silica concentration of about 2 wt%, with consequent maximum SAI performance of about 120% at 28 days with HCFA-based mixtures and 118% at 28 days with LCFA-based mixtures, as well as a uniform improvement in TSI and FSI. Correlation analyses between SAI and tensile and flexural indices revealed clear linearity (R2 of about 0.91–0.95), which indicated that compressive strength is not a sufficient measure of total mechanical performance. The mineralogical and microstructural analyses assisted by X-ray diffraction (XRD) and scanning electron microscopy (SEM) showed that the performance trends observed depend on the interactions of the calcium supply, amorphous aluminosilicate and the nucleation effects of nano-silica. Therefore, the proposed multi-index framework offers a robust and practical tool for quantifying binder synergy and optimizing nano-silica dosage, advancing the understanding and development of sustainable alkali-activated composites for infrastructure applications. Full article
Show Figures

Figure 1

16 pages, 4557 KB  
Article
Effect of Accelerated Thermal Aging on the Dispersion Stability of Fine-Denier Silicone Emulsions for Carbon Fiber Precursor Processing
by Jae-Yeon Yang, Dong-Chul Chung, Kwan-Woo Kim and Byung-Joo Kim
Materials 2026, 19(4), 702; https://doi.org/10.3390/ma19040702 - 12 Feb 2026
Viewed by 187
Abstract
Fine-denier silicone emulsions play an important role in the polyacrylonitrile (PAN) precursor treatment process by reducing surface tension and preventing fiber fusion during thermal stabilization and carbonization. These emulsions are typically prepared by dispersing polydimethylsiloxane (PDMS) polymers with various functional groups into water [...] Read more.
Fine-denier silicone emulsions play an important role in the polyacrylonitrile (PAN) precursor treatment process by reducing surface tension and preventing fiber fusion during thermal stabilization and carbonization. These emulsions are typically prepared by dispersing polydimethylsiloxane (PDMS) polymers with various functional groups into water through different emulsification methods. In this study, two types of silicone emulsions—one prepared using a mechanical disperser and the other using a high-shear colloid mill—were manufactured on a pilot scale and systematically compared. Thermal aging was conducted at 50 °C and 70 °C for approximately one month, and changes in particle size, dispersion stability, and physicochemical properties were evaluated. The colloid-mill emulsification method produced smaller and more uniform silicone particles and exhibited superior thermal and dispersion stability relative to the mechanically dispersed emulsion. NMR relaxation, Turbiscan multiple light scattering, and viscosity measurements confirmed that the colloid-mill emulsion maintained a stable microstructure with minimal aggregation even under elevated-temperature storage. These results demonstrate that high-shear emulsification is an effective approach for producing fine-denier silicone emulsions with enhanced stability, making the colloid-mill method a more reliable and practical route for preparing silicone-based oiling agents used during PAN precursor processing in carbon fiber manufacturing. Full article
(This article belongs to the Special Issue Processing and Mechanical Properties of Polymer Composites)
Show Figures

Figure 1

17 pages, 4030 KB  
Article
Effects of Sulfate Attack and Freeze–Thaw Cycles on Concrete with Compositely Modified Recycled Brick–Concrete Aggregate
by Ziming He, Mingyang Li, Jie Zhang and Aiqin Shen
Materials 2026, 19(4), 698; https://doi.org/10.3390/ma19040698 - 12 Feb 2026
Viewed by 228
Abstract
In China, a significant portion of construction and demolition waste (CDW) consists of clay bricks and concrete, which can be processed into recycled brick–concrete aggregate (RBCA). This study explores the utilization of compositely modified RBCA as a substitute for natural coarse aggregate in [...] Read more.
In China, a significant portion of construction and demolition waste (CDW) consists of clay bricks and concrete, which can be processed into recycled brick–concrete aggregate (RBCA). This study explores the utilization of compositely modified RBCA as a substitute for natural coarse aggregate in concrete. Two distinct composite modification methods were applied to pretreat RBCA, and then the resistance of the resulting recycled brick–concrete aggregate concrete (RBCAC) to sulfate attack and freeze–thaw cycles was systematically examined and elucidated the underlying enhancement mechanisms. The experimental data revealed a clear trend: increasing the proportion of RBCA in the concrete mix correlates with a marked decline in its durability performance. In contrast, the application of composite modification techniques yielded a significant enhancement in durability. This improvement is primarily attributed to the mitigation of weak interfacial zones and the promotion of a more compact microstructure within the interfacial transition zone (ITZ). Consequently, the observed enhancement in durability metrics can be principally ascribed to this microstructural optimization. This research offers substantive theoretical insights that can facilitate the broader adoption of compositely modified RBCA in the production of sustainable concrete, contributing to waste valorization and resource conservation. Full article
Show Figures

Figure 1

20 pages, 5943 KB  
Article
Characteristics of Waste Concrete Powder-Based Artificial Fine Aggregate and Its Application in Concrete
by Wei Xu, Liang Zhan, Yang Lei, Lei Xue, Yuguang Zhao, Jun Zhao and Qianyi Zhao
Materials 2026, 19(4), 690; https://doi.org/10.3390/ma19040690 - 11 Feb 2026
Viewed by 199
Abstract
Waste concrete powder (WCP), characterized by low reactivity and limited utilization potential, is rapidly accumulating due to the increasing volume of demolition and recycling activities, creating significant environmental and resource challenges. Meanwhile, the shortage of natural fine aggregate (NFA) has become increasingly severe. [...] Read more.
Waste concrete powder (WCP), characterized by low reactivity and limited utilization potential, is rapidly accumulating due to the increasing volume of demolition and recycling activities, creating significant environmental and resource challenges. Meanwhile, the shortage of natural fine aggregate (NFA) has become increasingly severe. To address these issues, this study develops a sustainable approach that utilizes WCP as the main raw material, together with fly ash (FA), ground granulated blast-furnace slag (GGBFS), ordinary Portland cement (OPC), and sulphoaluminate cement (SAC), to produce a WCP-based artificial fine aggregate (WAFA) through a cold-bonding process. The physical, mechanical, and microstructural properties of WAFA were systematically analyzed, and its concrete performance was evaluated by replacing NFA at 100% volume. The results show that WAFA exhibits a regular spherical morphology and, after grading adjustment, meets the Zone II sand requirements of GB/T 14684-2022. Increasing the cement content from 2% to 10% raises the 28-day single-particle compressive strength (SPCS) from 12.98 MPa to 23.08 MPa (a 77.8% increase), while enhancing WCP reactivity improves SPCS from 16.17 MPa to 22.80 MPa (a 29.1% increase). Higher cement content and WCP reactivity also promote the formation of C–S–H gel and ettringite (AFt), resulting in higher bulk density, reduced water absorption, and a denser microstructure. In concrete applications, WAFA substantially improves workability, with slump values exceeding those of NFA and recycled fine aggregate (RFA) concretes. Although WAFA concrete exhibits slightly lower compressive and splitting tensile strengths compared with NFA concrete, optimized mix design allows the achievement of target strength grades from C30 to C50, with the C50-W10-50 mixture showing the most favorable mechanical performance. In summary, WAFA shows potential for contributing to the high-value utilization of construction waste and the reduction in natural sand consumption. Full article
(This article belongs to the Section Construction and Building Materials)
Show Figures

Figure 1

19 pages, 1670 KB  
Article
Strength and Workability Characteristics of Concrete Using Recycled Plastic Waste for Sustainable Construction
by Israt Jahan Reana, Jonathan Oti and Blessing Adeleke
Sustainability 2026, 18(4), 1831; https://doi.org/10.3390/su18041831 - 11 Feb 2026
Viewed by 149
Abstract
The increasing amount of recycled plastic waste and the extensive use of construction materials both contribute significantly to CO2 emissions, a major global concern. This study investigates the use of recycled plastic waste (PW) as a partial replacement for natural 4/10 mm [...] Read more.
The increasing amount of recycled plastic waste and the extensive use of construction materials both contribute significantly to CO2 emissions, a major global concern. This study investigates the use of recycled plastic waste (PW) as a partial replacement for natural 4/10 mm coarse aggregates in concrete mix design, aiming to promote sustainable construction practices. Concrete mixes were prepared with varying levels of plastic replacement—0%, 15%, 30%, 45%, and 60% by volume—and evaluated for workability, compressive strength, tensile strength, water absorption, and microstructural properties. Results indicated that replacing aggregates with PW increased slump values, suggesting improved workability, particularly at 30–45% replacement. However, both compressive and tensile strengths exhibited a declining trend as the replacement level increased. The standard strength was maintained only at 15% replacement, achieving 35.3 MPa at 56 days compared to 37.3 MPa for the control mix. Durability tests showed reduced water absorption at low replacement levels but significant porosity and microcracking at higher percentages. Scanning Electron Microscopy (SEM) revealed weak interfacial transition zones (ITZs) between plastic waste and cement paste, with bonding weakening and micro voids increasing as replacement levels rose. A simplified life cycle assessment (LCA) suggests that while CO2 emissions remain largely unchanged due to cement dominance, incorporating recycled plastic waste provides sustainability benefits through resource conservation and waste diversion rather than direct carbon reduction. These findings highlight that limited aggregate replacement with plastic waste can be practical, cost-efficient, and environmentally advantageous. This research underscores the potential of recycled plastics in sustainable construction, contributing to waste management and reducing reliance on natural aggregates. Full article
Show Figures

Figure 1

20 pages, 9140 KB  
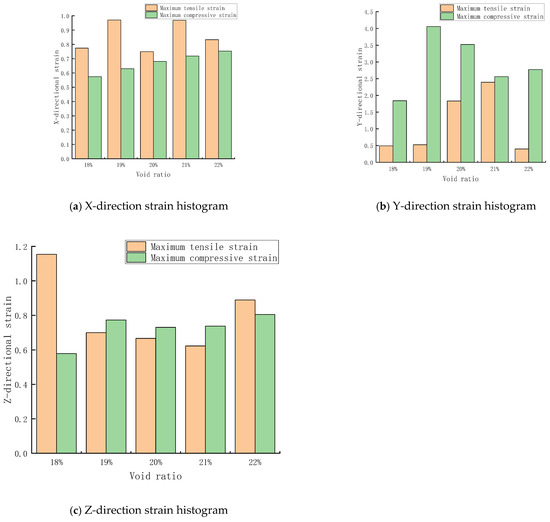
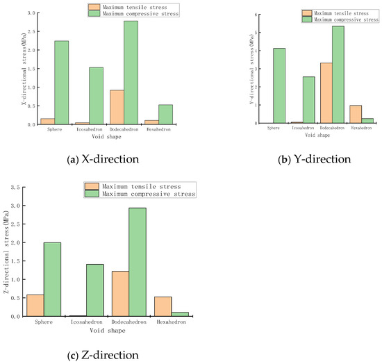
Article
Numerical Modeling of the Relationship Between Mechanical Properties and Void Morphology in Porous Asphalt Mixtures
by Hongchang Wang, Haozhe Wu and Congying Liu
Coatings 2026, 16(2), 214; https://doi.org/10.3390/coatings16020214 - 6 Feb 2026
Viewed by 188
Abstract
Traditional macroscopic test methods (e.g., uniaxial compression and indirect tensile strength tests) cannot accurately describe the internal microstructure and its influence on the mechanical properties of asphalt mixtures from a microscopic perspective. With the advancement of digital image processing (DIP) techniques and numerical [...] Read more.
Traditional macroscopic test methods (e.g., uniaxial compression and indirect tensile strength tests) cannot accurately describe the internal microstructure and its influence on the mechanical properties of asphalt mixtures from a microscopic perspective. With the advancement of digital image processing (DIP) techniques and numerical simulation methods, relatively complete workflows for microstructure characterization and mesostructural evaluation of composite materials have been established. In this study, a three-dimensional finite element model incorporating voids was developed using the Monte Carlo method and ABAQUS software to investigate the relationships between void morphology, distribution, and the mechanical properties of porous asphalt mixtures. By varying void size and shape in the model, correlations between mesostructural stress–strain characteristics and void morphology were derived. The stress distribution around aggregates and damage initiation trends in the mesostructure were summarized. The relationship between the anticipated strength (numerically assessed) of porous asphalt mixture and the void ratio was established through simulations of models with varying void ratios. Finally, a micromechanical model for porous asphalt mixture with optimized mechanical performance is proposed, featuring an icosahedral void shape, a void diameter range of 3–4 mm, and a void ratio of 18%. Full article
(This article belongs to the Special Issue Advances in Pavement Materials and Civil Engineering)
Show Figures

Figure 1

34 pages, 7586 KB  
Review
Application of Graphite Tailings in Concrete Manufacturing: A Review
by Shan Gao, Jicheng Xu, Sijia Zhou, Man Xu and Honghao Li
Materials 2026, 19(3), 641; https://doi.org/10.3390/ma19030641 - 6 Feb 2026
Viewed by 216
Abstract
Large-scale mining of graphite, a crucial strategic mineral, generates substantial amounts of graphite tailings (GT). The stockpiling of this solid waste occupies vast land resources and poses persistent environmental risks due to potential heavy metal leaching. Repurposing GT into construction materials presents a [...] Read more.
Large-scale mining of graphite, a crucial strategic mineral, generates substantial amounts of graphite tailings (GT). The stockpiling of this solid waste occupies vast land resources and poses persistent environmental risks due to potential heavy metal leaching. Repurposing GT into construction materials presents a promising solution, with its use as a partial replacement for fine aggregates in cementitious composites being one of the most effective methods. This review systematically consolidates current research on graphite tailings cement mortar (GTCM) and graphite tailings concrete (GTC). Due to its physicochemical properties comparable to natural sand, GT is suitable for producing building materials. Studies consistently demonstrate that a substitution level of 10% to 20% optimizes overall performance. This optimal range enhances particle packing, promotes cement hydration via pozzolanic activity, and refines the microstructure, leading to improved workability, superior mechanical strength, and enhanced durability, including resistance to permeability, freeze–thaw cycles, and chemical attacks. Moreover, the inherent carbon content imparts electrical conductivity to GTC, enabling functional applications like de-icing and structural health monitoring. The successful utilization of GT also extends to lightweight foamed and autoclaved aerated concrete. However, research on the structural behavior of GTC components remains limited. Preliminary findings on beams and columns are encouraging, but comprehensive studies on their seismic performance and design methodologies are urgently needed to facilitate the widespread engineering application of this sustainable material and mitigate the environmental impact of tailings accumulation. Full article
(This article belongs to the Section Construction and Building Materials)
Show Figures

Figure 1

37 pages, 24890 KB  
Article
Comparative Study of a Short-Term Assessment of Corrosion Initiation Behavior of Steel Reinforcement in Cementitious vs. Alkali-Activated Fly Ash Geopolymer Binders
by Andreea Hegyi, Alexandra Csapai, Adrian-Victor Lăzărescu, Claudiu-Sorin Dragomir, Tudor Panfil Toader, Bradut Alexandru Ionescu, Mihail Chira, Carmen Florean, Horatiu Vermesan, Gyorgy Thalmaier, Florin Popa, Radu Fechete and Marta-Ioana Moldoveanu
Appl. Sci. 2026, 16(3), 1623; https://doi.org/10.3390/app16031623 - 5 Feb 2026
Viewed by 138
Abstract
The long-term durability and structural integrity of modern buildings, which are inherently reliant on reinforced concrete, are governed by the rate of corrosion of embedded steel reinforcement. Corrosion kinetics, therefore, is not merely an academic exercise, but rather a critical foundation for predicting [...] Read more.
The long-term durability and structural integrity of modern buildings, which are inherently reliant on reinforced concrete, are governed by the rate of corrosion of embedded steel reinforcement. Corrosion kinetics, therefore, is not merely an academic exercise, but rather a critical foundation for predicting and extending a structure’s life span, mitigating safety risks, and ensuring the sustainability of the built environment against a host of environmental and chemical degradation factors. The present study conducts a comparative analysis of the short-term corrosion initiation behavior of steel reinforcement embedded in three distinct types of geopolymer binders, a cementitious paste, and a cementitious composite with natural aggregates. Electrochemical techniques, such as Open Circuit Potential (OCP) and linear polarization tests were used to characterize the behavior of the steel reinforcement embedded in the 4 types of samples. Additionally, these samples containing the reinforcement were further characterized using advanced microstructural techniques, specifically porosimetry, Nuclear Magnetic Resonance (NMR), and Scanning Electron Microscopy (SEM). Full article
(This article belongs to the Special Issue Electrochemistry and Corrosion of Materials)
Show Figures

Figure 1

34 pages, 17745 KB  
Review
The Utilization of Recycled Powder: A Critical Review
by Wenjuan Zhang, Yuying Duan, Yong Chen, Shaochun Li, Xu Chen, Yihui Sun, Yingjie Yuan and Kai Wang
Buildings 2026, 16(3), 649; https://doi.org/10.3390/buildings16030649 - 4 Feb 2026
Viewed by 252
Abstract
Recycled powder (RP), a by-product with a particle size smaller than 150 μm, is generated during the processing of construction and demolition waste (CDW) for recycled aggregate production. RP mainly consists of recycled concrete powder and recycled brick powder. Previous studies have demonstrated [...] Read more.
Recycled powder (RP), a by-product with a particle size smaller than 150 μm, is generated during the processing of construction and demolition waste (CDW) for recycled aggregate production. RP mainly consists of recycled concrete powder and recycled brick powder. Previous studies have demonstrated that RP can serve as a supplementary cementitious material (SCM) in concrete production. Due to the heterogeneity of parent materials with different ages, service environments, and compositions, the physicochemical properties and reactivity of RP vary significantly, which largely accounts for the inconsistent results reported in the literature. This paper presents a critical review of the application of RP as an SCM in construction. The preparation technologies, chemical and physical properties, microstructural characteristics, and activation methods of RP are systematically examined. Owing to its irregular and rough surface morphology, RP tends to reduce workability and increase water demand when incorporated as an SCM. Nevertheless, when the replacement level and median particle size are limited (typically below 30% and 20 μm, respectively), RP can contribute through micro-filling, nucleation, and limited pozzolanic effects, thereby mitigating adverse impacts on mechanical and durability properties. The mechanisms and effectiveness of mechanical grinding, thermal activation, chemical activation, and CO2 treatment are comparatively evaluated. Moreover, the incorporation of RP in cement-based materials offers significant economic and environmental benefits. Full article
(This article belongs to the Section Building Materials, and Repair & Renovation)
Show Figures

Figure 1

24 pages, 2645 KB  
Article
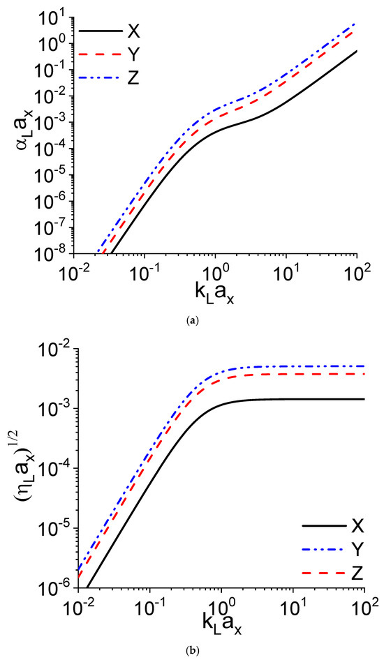
Correlation Between Ultrasonic Scattering Coefficients and Orientation Distribution Coefficients (ODCs) in Textured Polycrystalline Materials with Arbitrary Crystallite Symmetry
by Gaofeng Sha
Symmetry 2026, 18(2), 283; https://doi.org/10.3390/sym18020283 - 3 Feb 2026
Viewed by 180
Abstract
Elastic wave scattering in polycrystalline materials has been a long-lasting topic in seismology and physical acoustics. Numerous analytical scattering models have been reported for polycrystals with random grain orientations. However, the elastic wave scattering in polycrystals with a preferred grain orientation (crystallographic texture) [...] Read more.
Elastic wave scattering in polycrystalline materials has been a long-lasting topic in seismology and physical acoustics. Numerous analytical scattering models have been reported for polycrystals with random grain orientations. However, the elastic wave scattering in polycrystals with a preferred grain orientation (crystallographic texture) has not been well studied. This study develops a general ultrasonic scattering model that correlates the scattering coefficients and attenuation coefficients with orientation distribution coefficients (ODCs) for polycrystalline materials with a crystallographic texture. These models are valid for aggregates of triclinic grains with arbitrary texture symmetry. Since different terminologies for orientation distribution functions (ODFs) are adopted in quantitative texture analysis, the relations between different terminologies are also summarized in this study. Furthermore, for two special cases—hexagonal polycrystalline materials with a fiber texture and cubic polycrystalline materials with orthotropic texture symmetry—explicit expressions for the ultrasonic backscattering coefficient through ODCs are derived. The explicit relationship between ultrasonic backscattering and ODCs not only manifests how the individual texture coefficients impact ultrasonic scattering but also makes it possible to determine ODCs up to the eighth order experimentally from ultrasonic scattering measurements. This type of forward model also can be applied to the microstructure characterization of textured polycrystals. Full article
(This article belongs to the Special Issue Symmetry and Asymmetry in Nondestructive Testing)
Show Figures

Figure 1

Back to TopTop