Sign in to use this feature.

Years

Between: -

Subjects

remove_circle_outline
remove_circle_outline
remove_circle_outline
remove_circle_outline
remove_circle_outline
remove_circle_outline
remove_circle_outline
remove_circle_outline
remove_circle_outline

Journals

remove_circle_outline
remove_circle_outline
remove_circle_outline
remove_circle_outline
remove_circle_outline
remove_circle_outline
remove_circle_outline
remove_circle_outline
remove_circle_outline

Article Types

Countries / Regions

remove_circle_outline
remove_circle_outline
remove_circle_outline
remove_circle_outline
remove_circle_outline

Search Results (1,423)

Search Parameters:
Keywords = adiponectine

Order results
Result details
Results per page
Select all
Export citation of selected articles as:
17 pages, 555 KB  
Article
Adipokine Profile Signature in Adolescent Girls with Menstrual Disorders and Hyperandrogenism Differs from That of Regularly Menstruating Girls
by Elżbieta Foryś, Agnieszka Drosdzol-Cop, Ewa Małecka-Tendera, Aneta Monika Gawlik-Starzyk, Karolina Skrzyńska, Magdalena Olszanecka-Glinianowicz and Agnieszka Zachurzok
J. Clin. Med. 2025, 14(22), 7987; https://doi.org/10.3390/jcm14227987 - 11 Nov 2025
Abstract
Introduction: Polycystic ovary syndrome (PCOS) is associated with obesity, numerous metabolic complications, and an increased risk of cardiovascular disease. Adipokines, secreted by adipose tissue, may contribute to the development of these cardiometabolic disturbances. The aim of this study was to investigate the [...] Read more.
Introduction: Polycystic ovary syndrome (PCOS) is associated with obesity, numerous metabolic complications, and an increased risk of cardiovascular disease. Adipokines, secreted by adipose tissue, may contribute to the development of these cardiometabolic disturbances. The aim of this study was to investigate the adipokine levels and their relationship with metabolic status in adolescent girls with PCOS. Patients and Methods: This cross-sectional study included 66 adolescent girls with PCOS (mean age: 16.5 ± 1.08 years; study group, SG) and 30 regularly menstruating girls (mean age: 16.2 ± 1.37 years; control group, CG) recruited between 2012 and 2017. All participants underwent physical examination, body composition assessment, liver ultrasonography, and biochemical and hormonal evaluations. Fasting venous blood samples were collected to determine the adipokine profile, and the leptin-to-adiponectin ratio (L/A) was calculated. Results: Compared with the control group, the PCOS group demonstrated significantly lower adiponectin (p = 0.019) and vaspin (p = 0.037) concentrations, and higher RBP-4 levels (p = 0.048). Positive correlations were observed between adiponectin, apelin, and omentin, while negative correlations were found between leptin and L/A and HDL cholesterol levels in the SG. Omentin showed a negative association, and leptin and L/A a positive association, with triglyceride concentration. In the SG, resistin and visfatin levels were negatively correlated with total cholesterol, and resistin also showed a negative correlation with LDL cholesterol. In patients with PCOS, adverse associations were observed between carbohydrate metabolism parameters and insulin resistance indices, while insulin sensitivity indices correlated positively with adiponectin and omentin concentrations. Visfatin levels in the SG correlated negatively with QUICKI. Conclusions: The adipokine profile of adolescent girls with PCOS differs from that of regularly menstruating peers, particularly in adiponectin, RBP-4, and vaspin concentrations. However, the absence of significant correlations between RBP-4 and vaspin and lipid or carbohydrate metabolism parameters suggests that these adipokines are not reliable markers of metabolic disturbances in adolescent girls with PCOS. Full article
(This article belongs to the Special Issue New Insights in Paediatric Endocrinology)
Show Figures

Figure 1

13 pages, 1433 KB  
Perspective
Predictive Value of Adiponectin for Long-Term MACEs in Non-Diabetic STEMI Patients
by Xhevdet Krasniqi, Josip Vincelj, Ibadete Bytyçi, Blerim Berisha and Aurora Bakalli
J. Clin. Med. 2025, 14(22), 7936; https://doi.org/10.3390/jcm14227936 - 9 Nov 2025
Viewed by 170
Abstract
Background: A decreased level of adiponectin is known as a predictor of adverse left ventricular remodeling and major adverse cardiac events (MACEs). We evaluated long-term MACEs following ST-segment elevation myocardial infarction (STEMI) in relation to adiponectin levels. Methods: This prospective study included a [...] Read more.
Background: A decreased level of adiponectin is known as a predictor of adverse left ventricular remodeling and major adverse cardiac events (MACEs). We evaluated long-term MACEs following ST-segment elevation myocardial infarction (STEMI) in relation to adiponectin levels. Methods: This prospective study included a total of 73 consecutive STEMI patients. Adiponectin, CK, CK-MB, cTnI, CRP, HDL cholesterol, LDL cholesterol, triglycerides, and other routine laboratory parameters were considered, and myocardial revascularization and two-dimensional echocardiography were performed. Subjects were divided into two groups according to their serum adiponectin concentrations. Results: In total, 24 (32.87%) patients suffered from MACEs, 19 (26.02%) with adiponectin value ≤ 1.8 ng/mL (group 1) and 5 (6.84%) with adiponectin value > 1.8 ng/mL (group 2) (p < 0.013). Heart failure (Killip >1) was present in 14 cases (19.17%) in group 1 and in 3 cases (4.1%) in group 2 (p < 0.001). Kaplan–Meier analysis was used to depict the occurrence of MACEs according to the adiponectin threshold identified during hospitalization (1.8 ng/mL). The log-rank test revealed a statistically significant difference in survival between groups (p = 0.013), and the AUC value for adiponectin was 0.77 (95% CI, 0.66–0.89), p = 0.01. Based on univariate logistic regression analysis, adiponectin and BMI were significantly associated with MACEs (p = 0.018, p = 0.034). Multivariate logistic regression analysis shows that serum adiponectin predicts MACEs after STEMI (p = 0.011). Conclusions: We found significant associations between adiponectin levels and MACEs in patients who survived STEMI. The established cut-off value of 1.8 ng/mL for adiponectin during hospitalization identified patients at risk for MACEs. Full article
Show Figures

Figure 1

15 pages, 1382 KB  
Article
Myokine Levels in Relation to Bone Markers and Adipokines in Children with Prader–Willi Syndrome During Growth Hormone Therapy and Dietary Intervention
by Joanna Gajewska, Magdalena Chełchowska, Katarzyna Szamotulska, Małgorzata Strucińska, Witold Klemarczyk and Jadwiga Ambroszkiewicz
Int. J. Mol. Sci. 2025, 26(22), 10822; https://doi.org/10.3390/ijms262210822 - 7 Nov 2025
Viewed by 223
Abstract
Data on the interplay between muscle, bone, and adipose tissue metabolism in normal-weight children with Prader–Willi syndrome (PWS) undergoing growth hormone (GH) therapy and dietary interventions are limited. This study aimed to assess the myokine profile and explore the associations between myokines, bone [...] Read more.
Data on the interplay between muscle, bone, and adipose tissue metabolism in normal-weight children with Prader–Willi syndrome (PWS) undergoing growth hormone (GH) therapy and dietary interventions are limited. This study aimed to assess the myokine profile and explore the associations between myokines, bone markers, adipokines, and body composition in these patients. The study included 26 children with PWS and 26 age-matched healthy controls. Serum levels of irisin, myostatin (MSTN), fibroblast growth factor-2, insulin-like growth factor-I (IGF-I), IGF-binding protein-2, bone alkaline phosphatase (BALP), osteocalcin (OC), carboxylated OC (Gla-OC), periostin, soluble receptor activator of nuclear factor kappa-B ligand, tartrate-resistant acid phosphatase 5b, leptin/soluble leptin receptor, adiponectin, and proinsulin were measured using immunoenzymatic assays. Children with PWS had significantly lower lean mass (p = 0.047) and a higher fat mass/lean mass ratio (p < 0.001) than controls. Irisin levels were lower in the PWS group (p = 0.031), while MSTN levels were similar between the groups. In patients, irisin positively correlated with BALP (p = 0.025) and negatively correlated with Gla-OC (p = 0.041) and periostin (p = 0.005). MSTN was positively associated with proinsulin (p = 0.001) and negatively associated with lean mass (p = 0.015). OC concentration was lower in the PWS group and correlated positively with lean mass (p = 0.052). Children with PWS exhibit altered myokine, osteokine, and adipokine profiles, as well as differences in body composition. Reduced irisin and osteocalcin levels, along with the negative association between MSTN and lean mass, may impair muscle development and bone metabolism. These imbalances could also contribute to future metabolic disorders in patients with PWS. Full article
Show Figures

Figure 1

17 pages, 698 KB  
Article
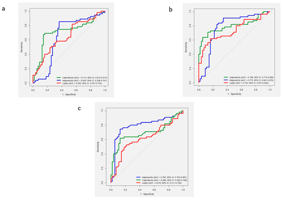
Salivary Biomarker Profile in Periodontal Diseases: A Cross-Sectional Study on Leptin, Adiponectin, and Calprotectin
by Ali Batuhan Bayırlı, Mehmetcan Uytun, Fulden Cantaş Türkiş, Ercan Saruhan and Hüseyin Gencay Keceli
Diagnostics 2025, 15(22), 2822; https://doi.org/10.3390/diagnostics15222822 - 7 Nov 2025
Viewed by 322
Abstract
Background/Objectives: This study aimed to evaluate salivary leptin, adiponectin, and calprotectin levels and to investigate the associations among these biomarkers in periodontally healthy individuals, as well as in patients with gingivitis and periodontitis. Methods: A total of 165 participants were included: [...] Read more.
Background/Objectives: This study aimed to evaluate salivary leptin, adiponectin, and calprotectin levels and to investigate the associations among these biomarkers in periodontally healthy individuals, as well as in patients with gingivitis and periodontitis. Methods: A total of 165 participants were included: 55 periodontally healthy individuals, 55 with gingivitis, and 55 with periodontitis. Unstimulated saliva was collected via passive drool, and salivary leptin, adiponectin, and calprotectin levels were biochemically quantified using enzyme-linked immunosorbent assay. Results: Salivary leptin levels were significantly lower in the periodontally healthy group than those in the gingivitis and periodontitis groups, whereas adiponectin levels were reduced in the periodontitis group than in the periodontally healthy and gingivitis groups (p < 0.05). Salivary calprotectin levels differed significantly among groups, highest in the periodontitis group, followed by the gingivitis and periodontally healthy groups (p < 0.05). Salivary leptin and calprotectin levels demonstrated significant positive correlations with all clinical periodontal parameters, while adiponectin levels were negatively correlated (p < 0.05). Receiver operating characteristic and logistic regression analyses identified salivary leptin, calprotectin, and adiponectin levels as significant biomarkers for distinguishing periodontal health, gingivitis, and periodontitis (p < 0.05). Conclusions: These findings suggest salivary leptin, calprotectin, and adiponectin may serve as biomarkers and potential risk predictors of periodontal disease. Full article
(This article belongs to the Special Issue Advances in Diagnosis and Management of Oral Disorders)
Show Figures

Figure 1

29 pages, 2133 KB  
Article
Forage Carbohydrate Profiles and Endocrine Morphometric Interactions in Traditionally Managed Horses from Romania
by Zsofia Daradics, Maria Popescu, Cornel Cătoi, Mircea Valerian Mircean, Adrian Macri, Oana Mîrza, Andrei Szakacs, Sorana Daina, Florinela Fetea, Mirela Alexandra Tripon, Alexandru Florin Lupșan, Denisa Bungărdean, Anamaria Călugăr, Florin Dumitru Bora and Cristian Mihăiță Crecan
Life 2025, 15(11), 1721; https://doi.org/10.3390/life15111721 - 6 Nov 2025
Viewed by 188
Abstract
Horses maintained under traditional management systems and dependent on natural forages are often exposed to seasonal and compositional variations that can affect metabolic homeostasis. This study examined associations between forage nutrient composition and metabolic–morphometric indicators in horses from four agroecologically distinct regions of [...] Read more.
Horses maintained under traditional management systems and dependent on natural forages are often exposed to seasonal and compositional variations that can affect metabolic homeostasis. This study examined associations between forage nutrient composition and metabolic–morphometric indicators in horses from four agroecologically distinct regions of northwestern Romania. Eighty-eight horses managed under semi-extensive rural conditions underwent clinical examination, body condition scoring (BCS), cresty neck scoring (CNS), and fasting blood sampling. Forage samples (n = 34) from daily rations were analyzed for fermentable carbohydrate content, while serum insulin, leptin, and adiponectin were quantified using validated equine-specific ELISA assays. Forage composition varied substantially among regions, influencing both endocrine and morphometric outcomes. Horses consuming carbohydrate-rich forages exhibited higher insulin (0.95–219 μIU/mL) and leptin concentrations (925–28,190 pg/mL), accompanied by elevated BCS and CNS scores, whereas adiponectin levels tended to decrease with increasing carbohydrate content. These findings demonstrate that naturally occurring variation in forage quality can significantly influence metabolic regulation in horses managed under low-input, traditional systems. Integrating forage nutrient evaluation with clinical and endocrine assessments provides a practical framework for identifying animals at risk of metabolic dysfunction and guiding nutritional strategies to mitigate the incidence of laminitis and related disorders. Full article
(This article belongs to the Special Issue Perspectives on Nutrition and Livestock Health)
Show Figures

Figure 1

13 pages, 485 KB  
Article
Anti-IL-17 and Anti-IL-23 Therapies Modulate Serum Biomarkers of Intestinal Dysbiosis and Oxidative Stress Linked to Cardiovascular Risk in Patients with Psoriasis
by Giuseppe Annunziata, Emanuele Scala, Laura Mercurio, Luca Sanna, Anna Dattolo, Gianluca Pagnanelli, Maria Grazia Lolli, Roberta Belli, Gaia Moretta, Silvia Savastano, Giovanna Muscogiuri, Maria Maisto, Roberto Ciampaglia, Vincenzo Piccolo, Gian Carlo Tenore, Cristina Albanesi, Stefania Madonna and Luigi Barrea
Life 2025, 15(11), 1703; https://doi.org/10.3390/life15111703 - 3 Nov 2025
Viewed by 415
Abstract
Psoriasis is a chronic inflammatory skin disease whose pathogenesis involves not only cutaneous inflammation but also intestinal dysbiosis and oxidative stress (OxS). Monoclonal antibodies targeting interleukin (IL)-17 and IL-23 have demonstrated significant immunomodulatory effects; however, their impact on systemic parameters requires further investigation. [...] Read more.
Psoriasis is a chronic inflammatory skin disease whose pathogenesis involves not only cutaneous inflammation but also intestinal dysbiosis and oxidative stress (OxS). Monoclonal antibodies targeting interleukin (IL)-17 and IL-23 have demonstrated significant immunomodulatory effects; however, their impact on systemic parameters requires further investigation. We conducted a study on 33 patients with plaque psoriasis treated with anti-IL-17 or anti-IL-23 monoclonal antibodies. Dermatological parameters (Psoriasis Area and Severity Index (PASI) and Dermatology Life Quality Index (DLQI)), biomarkers of intestinal dysbiosis (trimethylamine-N-oxide (TMAO)) and OxS (reactive oxygen metabolites (d-ROMs) and oxidized LDL (oxLDL)) were evaluated. Anthropometric, metabolic, and adipose-derived hormonal parameters (adipokines) were also monitored. After 16 weeks of therapy, significant improvements were observed in PASI and DLQI scores (p < 0.001). TMAO levels were significantly reduced (p = 0.02), as were d-ROMs and oxLDL (p < 0.001). No significant changes were found in weight, body mass index, lipid profile, or adipokine levels (visfatin, leptin and adiponectin). Our data indicate that monoclonal antibody therapy not only improves psoriasis severity but also exerts beneficial effects on systemic biomarkers of dysbiosis and OxS, independent of metabolic or hormonal changes. These findings suggest a systemic mechanism of action, supporting a multifactorial therapeutic effect with potential implications for the prevention of cardiovascular risk. Full article
(This article belongs to the Special Issue Skin Diseases and Dermatologic Comorbidities)
Show Figures

Figure 1

20 pages, 5230 KB  
Article
Microbial Biotransformation of Chicory by Bacteroides fragilis: In Vitro Implications for Obesity-Related Psoriasis
by Arthur Chervet, Rawan Nehme, Clemence Defois-Fraysse, Caroline Decombat, Celine Auxenfans, Bertrand Evrard, Solene Michel, Edith Filaire, Jean-Yves Berthon, Assia Dreux-Zigha, Laetitia Delort and Florence Caldefie-Chezet
Int. J. Mol. Sci. 2025, 26(21), 10428; https://doi.org/10.3390/ijms262110428 - 27 Oct 2025
Viewed by 247
Abstract
Obesity, a global health crisis, is linked to chronic low-grade inflammation and an increased risk of developing various chronic diseases, including psoriasis. Probiotics, postbiotics, and fermented foods have shown promise in combating inflammation and obesity. This study aimed to develop and characterize a [...] Read more.
Obesity, a global health crisis, is linked to chronic low-grade inflammation and an increased risk of developing various chronic diseases, including psoriasis. Probiotics, postbiotics, and fermented foods have shown promise in combating inflammation and obesity. This study aimed to develop and characterize a chicory extract fermented with Bacteroides fragilis (C-B. fragilis) and its supernatant (phyto-postbiotic supernatant, PPS) as potential treatments for obesity, inflammation, and psoriasis. Polyphenols, organic acids, and amino acids were identified in the metabolic profile of C-B. fragilis. PPS and C-B. fragilis extract both revealed potent anti-inflammatory, anti-obesity, and antioxidant activities. In vitro assays highlighted that PPS significantly reduced the production of reactive oxygen species (ROS), the expression of pro-inflammatory cytokines (TNF-α, IL-6, IL-8) in macrophages, and the secretion of IL-1β in LPS-stimulated PBMCs. Moreover, PPS decreased triglyceride content in human adipocytes and modulated the expression of leptin and adiponectin. Regarding psoriasis, PPS reduced pro-inflammatory cytokines (IL-6, IL-1β) in both psoriatic keratinocytes and a co-culture model mimicking the skin-adipose tissue interface. In addition, PPS lowered S100 calcium-binding protein A7 (S100A7) expression in the co-culture model, suggesting a potential role in restoring skin barrier function. In summary, our results highlight the potential of PPS extract (supernatant of chicory fermentation by Bacteroides fragilis) as a promising therapeutic strategy for the management of obesity-related inflammation and psoriasis. Full article
(This article belongs to the Section Bioactives and Nutraceuticals)
Show Figures

Figure 1

14 pages, 999 KB  
Article
Increased Serum Angiopoietin-like Peptide 4 in Impaired Glucose Tolerance and Diabetes Subjects with or Without Hepatic Steatosis
by Meng-Wei Lin, Chung-Hao Li, Hung-Tsung Wu, Chun-Te Lee, Huang-Pin Chen, Horng-Yih Ou and Hsin-Yu Kuo
J. Clin. Med. 2025, 14(21), 7599; https://doi.org/10.3390/jcm14217599 - 26 Oct 2025
Viewed by 471
Abstract
Objectives: Although angiopoietin-like 4 (ANGPTL4) is highly associated with glucose hemostasis and lipid metabolism, the relationships between the serum ANGPTL4 level, glucose status and hepatic steatosis remain unclear. Therefore, this study aimed to quantify the independent effects of glucose intolerance and hepatic steatosis [...] Read more.
Objectives: Although angiopoietin-like 4 (ANGPTL4) is highly associated with glucose hemostasis and lipid metabolism, the relationships between the serum ANGPTL4 level, glucose status and hepatic steatosis remain unclear. Therefore, this study aimed to quantify the independent effects of glucose intolerance and hepatic steatosis on circulating ANGPTL4 concentrations. Methods: A total of 348 age- and sex-matched participants with normal glucose tolerance (NGT), impaired fasting glucose (IFG), impaired glucose tolerance (IGT) and newly diagnosed diabetes (NDD) with or without hepatic steatosis were recruited for this cross-sectional study. Serum ANGPTL4 levels were measured, and multivariate linear regression analysis was used to evaluate the relationship between ANGPTL4, glycemic status and hepatic steatosis. Results: Compared with NGT, both IGT and NDD were associated with significantly higher serum ANGPTL4 concentrations, irrespective of hepatic steatosis status. Serum ANGPTL4 did not differ by the presence versus absence of hepatic steatosis. In multiple regression analysis, body mass index, homeostasis model assessment of insulin resistance, NGT vs. IGT, and NGT vs. NDD were independently associated with ANGPTL4 levels after adjustment for cardiovascular risk factors and adiponectin, whereas hepatic steatosis was not. Conclusions: Elevated serum ANGPTL4 concentrations were independently associated with prediabetes and diabetes, irrespective of hepatic steatosis. Full article
Show Figures

Figure 1

23 pages, 1873 KB  
Article
Synergistic Effects of Microencapsulated Polyphenols and Concurrent Training on Metabolic Health and Fitness in Overweight/Obese Adults with Prediabetes
by Udomlak Sukatta, Prapassorn Rugthaworn, Ketsaree Klinsukhon, Piyaporn Tumnark, Nattawut Songcharern, Yothin Teethaisong, Yupaporn Kanpetta and Jatuporn Phoemsapthawee
Nutrients 2025, 17(21), 3358; https://doi.org/10.3390/nu17213358 - 25 Oct 2025
Viewed by 1039
Abstract
Background/Objectives: Prediabetes markedly increases the risk of progression to type 2 diabetes. While exercise and dietary polyphenols independently enhance metabolic health, their combined and synergistic effects remain unclear. This randomized, single-blind, placebo-controlled trial investigated the synergistic effects of concurrent training and a [...] Read more.
Background/Objectives: Prediabetes markedly increases the risk of progression to type 2 diabetes. While exercise and dietary polyphenols independently enhance metabolic health, their combined and synergistic effects remain unclear. This randomized, single-blind, placebo-controlled trial investigated the synergistic effects of concurrent training and a microencapsulated persimmon–karonda polyphenol formulation on glycemic control and inflammatory outcomes in adults with prediabetes and who are overweight/obese. Methods: Forty-three participants completed the intervention and were assigned to placebo, concurrent training (CBT), supplementation (EATME), or the combined intervention (CBT + EATME) for 8 weeks. Primary outcomes included fasting blood glucose (FBG), glycated hemoglobin (HbA1c), homeostatic model assessment for insulin resistance (HOMA-IR), high-sensitivity C-reactive protein (hs-CRP), interleukin-6 (IL-6), tumor necrosis factor-alpha (TNF-α), adiponectin, physical fitness, and quality of life (QoL). Results: All intervention groups (CBT, EATME, and CBT + EATME) showed improvements in glycemic indices, with the greatest reductions in FBG (p < 0.01), HbA1c (p < 0.05), and HOMA-IR (p < 0.01) observed in the CBT + EATME group compared with placebo. All interventions significantly reduced hs-CRP (p < 0.01) and IL-6 (p < 0.01), accompanied by marked increases in adiponectin (p < 0.01), compared with placebo. In the CBT + EATME group, reductions in hs-CRP were positively correlated with improvements in HOMA-IR (r = 0.627, p < 0.05). Both CBT and CBT + EATME improved muscular strength and maximal oxygen consumption (O2max), with the combined intervention producing greater gains in upper- and lower-body strength (p < 0.05), O2max (p < 0.05), and the psychological well-being domain of QoL (p < 0.05) compared with placebo. Conclusions: These findings highlight that combining concurrent training with microencapsulated polyphenol supplementation produced the most consistent improvements across metabolic, inflammatory, and fitness outcomes, supporting this combined approach as an integrated and synergistic strategy to reduce diabetes risk and promote overall health in at-risk adults. The trial was registered at the Thai Clinical Trials Registry (TCTR20250512003). Full article
(This article belongs to the Section Nutrition and Diabetes)
Show Figures

Figure 1

15 pages, 534 KB  
Article
Leptin and Adiponectin as Uremic Adipokines: Associations with Survival in a Prospective Hemodialysis Cohort
by Thuy-Anh V. Bui, Amy S. You, Sara S. Kalantar, Jihoon Yoon, Yoko Narasaki, John Sy, Ramy Hanna, Andrea Daza, Yalitzi Guerrero, Anyssa Dang, Ria Arora, Danh V. Nguyen, Kamyar Kalantar-Zadeh and Connie M. Rhee
Toxins 2025, 17(11), 525; https://doi.org/10.3390/toxins17110525 - 25 Oct 2025
Viewed by 443
Abstract
Background: While experimental models show that leptin and adiponectin have inverse effects on the cardiovascular system, it has been suggested that the leptin-to-adiponectin (L/A) ratio may be an important predictor of cardiovascular disease and death. Higher circulating leptin and adiponectin levels are observed [...] Read more.
Background: While experimental models show that leptin and adiponectin have inverse effects on the cardiovascular system, it has been suggested that the leptin-to-adiponectin (L/A) ratio may be an important predictor of cardiovascular disease and death. Higher circulating leptin and adiponectin levels are observed in uremia due to decreased renal degradation and/or clearance and increased production. We sought to examine the association between the L/A ratio and mortality in a prospective hemodialysis cohort. Methods: Among a prospective cohort of 448 hemodialysis patients from the NIH “Malnutrition, Diet, and Racial Disparities in Chronic Kidney Disease (CKD) (MADRAD) study who underwent leptin and adiponectin measurements, we examined characteristics associated with high leptin and adiponectin (defined as the highest tertile) using logistic regression. We then examined the association of L/A ratio levels (categorized as tertiles) with all-cause mortality using Cox regression. Results: Multivariable logistic regression analyses showed female sex, diabetes, presence of an arteriovenous fistula/graft, and lower serum albumin, IL-6, and adiponectin were associated with high leptin, whereas female sex, longer vintage, Black race, higher IL-6, and lower leptin were associated with high adiponectin. When examining L/A ratios, the highest tertile was associated with lower mortality in case-mix Cox models (ref: lowest tertile): HR (95% CI) 0.14 (0.06–0.35). These associations were robust in analyses that additionally adjusted for laboratory covariates: (HR 95% CI) 0.18 (0.07–0.46). Conclusions: In a prospective cohort of hemodialysis patients, inflammation and malnutrition markers were associated with lower leptin and higher adiponectin levels. Additionally, high L/A ratio levels were associated with lower mortality. Further studies are needed to determine the mechanisms relating adipocytokines, inflammation and nutrition, and survival in this population. Full article
Show Figures

Figure 1

15 pages, 6930 KB  
Article
Effect of Oral Vitamin D Overdose in Male and Female Wistar Rats with Induced MASLD
by Silvia Muller de Moura Sarmento, Gênifer Erminda Schreiner, Laura Smolski dos Santos, Camila Berny Pereira, Elizandra Gomes Schmitt, Vinicius Tejada Nunes, Rafael Tamborena Malheiros, Clóvis Klock, Chaline Casanova Petry, Itamar Luís Gonçalves and Vanusa Manfredini
Livers 2025, 5(4), 52; https://doi.org/10.3390/livers5040052 - 23 Oct 2025
Viewed by 299
Abstract
Background/Objectives: Vitamin D is recognized as a key modulator of metabolic diseases, including metabolic-dysfunction-associated steatotic liver disease (MASLD), in which its deficiency contributes to both disease onset and progression. Despite the widespread and often prolonged use of vitamin D supplementation, optimal serum levels [...] Read more.
Background/Objectives: Vitamin D is recognized as a key modulator of metabolic diseases, including metabolic-dysfunction-associated steatotic liver disease (MASLD), in which its deficiency contributes to both disease onset and progression. Despite the widespread and often prolonged use of vitamin D supplementation, optimal serum levels in individuals with MASLD remain unclear and warrant further investigation. Methods: In this study, hepatic steatosis was induced in male and female Wistar rats over a 45-day period. The animals were then divided into five groups (control, 2500, 7000, 14,000, and 21,000 IU/kg/week of cholecalciferol). After four weeks of treatment, the animals were euthanized, and blood samples were collected for biochemical, hormonal, inflammatory, oxidative stress analyses and liver architecture evaluation. Results: High-dose vitamin D supplementation in rats with MASLD induced dose-dependent metabolic, inflammatory, and oxidative changes, with some sex-specific differences. Urea and alanine aminotransferase levels increased at higher doses in both sexes, suggesting potential nephrotoxic and hepatotoxic effects, while creatinine and aspartate aminotransferase remained stable. Adiponectin levels decreased consistently, and leptin levels rose across all doses, indicating a shift toward a pro-adipogenic profile. Pro-inflammatory molecules (IL-1β, IL-6, IL-8, TNF, C-reactive protein) increased progressively with dose, while IL-10 followed a U-shaped curve. Oxidative stress markers showed elevated protein carbonylation only at the highest dose, a slight reduction in TBARS, and a peak in total antioxidant status at 7000 IU/kg/week. Conclusions: High-dose vitamin D triggers antioxidant responses but drives harmful inflammatory and metabolic shifts in MASLD. Full article
Show Figures

Figure 1

21 pages, 1844 KB  
Review
Calafate (Berberis buxifolia Lam.) Berry as a Source of Bioactive Compounds with Potential Health-Promoting Effects: A Critical Review
by Jaime Ortiz-Viedma, Claudia Vergara, Tamar Toledo, Liliana Zura-Bravo, Marcos Flores, Constanza Barrera and Roberto Lemus-Mondaca
Antioxidants 2025, 14(11), 1272; https://doi.org/10.3390/antiox14111272 - 22 Oct 2025
Viewed by 674
Abstract
Calafate berry, an ancient perennial shrub of South America (Chile and Argentina), produces a high antioxidant capacity berry with a high polyphenol (1344.2–6553 mg GAE/100 g d.w.) and anthocyanin (26.5–80 mg C-3-G/100 g d.w.) content. The beneficial effects of calafate berries on human [...] Read more.
Calafate berry, an ancient perennial shrub of South America (Chile and Argentina), produces a high antioxidant capacity berry with a high polyphenol (1344.2–6553 mg GAE/100 g d.w.) and anthocyanin (26.5–80 mg C-3-G/100 g d.w.) content. The beneficial effects of calafate berries on human health are related to the anti-inflammatory, hypoglycemic, anticancer, and antioxidant properties that the berries possess, which have been confirmed through evidence to date, primarily from in vitro, ex vivo, and animal studies. Several investigations have shown a relationship between the consumption of calafate and a reduction in the risk of contracting cardiovascular diseases (CVD). This was evident in changes in plasma level biomarkers related to CVD, such as thrombomodulin (−24%), adiponectin (+68%), sE-selectin (−34%), sICAM-1 (−24%) and proMMP-9 (−31%), and changes in the production of OH radicals in plasma (−17%) after calafate intake. Calafate may have an antithrombotic role that supports cardiovascular health by lowering the Atherogenic and Cardiovascular Risk Indices. Various authors indicate delphinidin-3-glucoside (384–386 mg/100 g) as the primary bioactive compound responsible for the beneficial properties of Calafate. Although some studies report calafate’s health benefits, scientific evidence, especially in humans, remains limited. Meanwhile, Chile is working to domesticate and cultivate calafate, aiming to turn it from a wild native berry into a sustainable crop for use in the antioxidants and nutraceuticals industry. The lack of human clinical trials emphasizes the need for future research to validate calafate’s health benefits berry. Full article
(This article belongs to the Special Issue Berry Antioxidants in Health and Disease—2nd Edition)
Show Figures

Graphical abstract

30 pages, 1360 KB  
Review
Molecular Biomarkers and Therapeutic Approach of Patients with Diabetes and Obstructive Sleep Apnea
by Viviana Elian, Violeta Popovici, Alexandru Tudor Steriade, Gabriela Radulian, Emma Adriana Ozon, Elena Moroșan and Madalina Musat
Int. J. Mol. Sci. 2025, 26(20), 10234; https://doi.org/10.3390/ijms262010234 - 21 Oct 2025
Viewed by 1043
Abstract
The bidirectional relationship between obstructive sleep apnea (OSA) and type 2 diabetes mellitus (T2DM) represents a critical intersection in metabolic medicine. Therefore, the present review examines the most recent data regarding molecular mechanisms linking OSA and T2DM, analyzing key biomarkers including hypoxia-inducible factors [...] Read more.
The bidirectional relationship between obstructive sleep apnea (OSA) and type 2 diabetes mellitus (T2DM) represents a critical intersection in metabolic medicine. Therefore, the present review examines the most recent data regarding molecular mechanisms linking OSA and T2DM, analyzing key biomarkers including hypoxia-inducible factors (HIF 1α), inflammatory mediators, adipokines, microRNAs, hormones, and neuropeptides that serve as both diagnostic indicators and potential therapeutic targets. Key molecular findings from the scientific literature report elevated HIF-1α promoting insulin resistance, decreased SIRT1 levels, dysregulated microRNA-181a and microRNA-199a, increased inflammatory cytokines (TNF-α, IL-6, CRP), and altered adipokine profiles with reduced adiponectin and elevated leptin and resistin. Current clinical evidence reveals significant therapeutic potential for modern antidiabetic medications in the management of OSA. GLP-1 receptor agonists, particularly tirzepatide, received FDA approval as the first medication for moderate-to-severe OSA in obese adults, showing a 55–63% AHI reduction. SGLT2 inhibitors also demonstrate promising results through weight loss and cardiovascular protection mechanisms. This integrated approach represents the evolution toward comprehensive OSA management beyond traditional mechanical ventilation strategies. Future research should focus on developing personalized treatment algorithms based on individual molecular biomarker profiles, investigating combination therapies, and exploring novel targets, including chronotherapy agents. Full article
(This article belongs to the Special Issue Diabetes: From Molecular Basis to Therapy, 2nd Edition)
Show Figures

Figure 1

15 pages, 816 KB  
Article
The Linkage Between Inflammation and the Progression of Type 2 Diabetes Mellitus
by Lucy Baldeón-Rojas, Valeria Alulema, Francisco Barrera-Guarderas, Diana Aguirre-Villacís, Cristina Cañadas-Herrera, Ricardo Bedón-Galarza, Francisco Pérez-Tasigchana and Jorge Pérez-Galarza
Curr. Issues Mol. Biol. 2025, 47(10), 859; https://doi.org/10.3390/cimb47100859 - 17 Oct 2025
Viewed by 1564
Abstract
Type 2 diabetes mellitus (T2D) is a chronic metabolic disorder in which inflammation plays a central role in its onset, progression, and complications. Identifying reliable biomarkers is essential to improve risk prediction, disease monitoring, and early intervention. A total of 169 Ecuadorian participants [...] Read more.
Type 2 diabetes mellitus (T2D) is a chronic metabolic disorder in which inflammation plays a central role in its onset, progression, and complications. Identifying reliable biomarkers is essential to improve risk prediction, disease monitoring, and early intervention. A total of 169 Ecuadorian participants were stratified into four clinical groups: non-diabetic controls (NDC), controlled T2D (C-T2D), uncontrolled T2D (NC-T2D), and diabetic kidney disease (DKD). Circulating levels of cytokines (IL-6, IL-8, TNF-α), adipokines (leptin, adiponectin), and PBMC-derived microRNAs (miR-146a, miR-155) were quantified. Associations with disease stage were evaluated using ROC curve analysis and logistic regression. Leptin showed the strongest association with T2D (OR = 13.76, 95% CI: 6.47–29.26), followed by IL-8 (OR = 6.73, 95% CI: 3.30–13.70) and IL-6 (OR = 4.43, 95% CI: 2.26–8.97). Adiponectin distinguished NC-T2D from DKD (OR = 4.15, 95% CI: 1.77–9.71), underscoring its potential as an indicator of renal complications. Interestingly, TNF-α levels declined across disease stages, possibly reflecting subclinical inflammation in Ecuadorian NDC with high rates of obesity and dyslipidemia. PBMC-derived miR-146a was upregulated in T2D patients, contrasting with prior serum-based studies and emphasizing the importance of compartment-specific analysis. miR-155 was elevated in C-T2D, suggesting a compensatory immune-regulatory mechanism that diminishes with poor glycemic control and advanced disease. Inflammatory cytokines, adipokines, and microRNAs act in distinct yet complementary ways in T2D. Leptin, IL-6, and IL-8 emerge as strong predictors of disease, while miR-146a and miR-155 provide additional insight into immune-inflammatory regulation. Integrated biomarker panels may enhance patient stratification and support personalized monitoring of T2D progression. Full article
(This article belongs to the Section Molecular Medicine)
Show Figures

Figure 1

34 pages, 1239 KB  
Review
Endothelial Dysfunction as the Common Pathway Linking Obesity, Hypertension and Atherosclerosis
by Ewelina Młynarska, Kinga Bojdo, Hanna Frankenstein, Katarzyna Krawiranda, Natalia Kustosik, Wiktoria Lisińska, Jacek Rysz and Beata Franczyk
Int. J. Mol. Sci. 2025, 26(20), 10096; https://doi.org/10.3390/ijms262010096 - 16 Oct 2025
Viewed by 1449
Abstract
Endothelial dysfunction plays a central role in the pathogenesis of cardiovascular diseases, driven by a complex interplay of oxidative stress, metabolic imbalances, and adipokine dysregulation. Excessive reactive oxygen species reduce nitric oxide bioavailability by impairing endothelial nitric oxide synthase function, leading to vascular [...] Read more.
Endothelial dysfunction plays a central role in the pathogenesis of cardiovascular diseases, driven by a complex interplay of oxidative stress, metabolic imbalances, and adipokine dysregulation. Excessive reactive oxygen species reduce nitric oxide bioavailability by impairing endothelial nitric oxide synthase function, leading to vascular inflammation and impaired vasodilation. Adipose tissue-derived hormones such as leptin, adiponectin, and resistin exert opposing effects on vascular homeostasis, influencing inflammation and oxidative stress in obesity and metabolic syndrome. Dyslipidemia, particularly through oxidized LDL, initiates endothelial injury and foam cell formation, accelerating atherosclerosis. Furthermore, hypertension and obesity exacerbate vascular dysfunction by disrupting the balance between vasodilators and vasoconstrictors, enhancing oxidative stress, and altering perivascular adipose tissue function. These interrelated mechanisms contribute to the progression of atherosclerotic cardiovascular disease and diabetic vascular complications. A deeper understanding of these processes is essential for developing targeted interventions to restore endothelial health and reduce cardiometabolic risk. Full article
Show Figures

Figure 1

Back to TopTop