Salivary Biomarker Profile in Periodontal Diseases: A Cross-Sectional Study on Leptin, Adiponectin, and Calprotectin
Abstract
1. Introduction
2. Materials and Methods
2.1. Study Design and Participants
2.2. Study Groups
2.3. Periodontal Examination
2.4. Saliva Sample Acquisition
2.5. Leptin Measurements
2.6. Adiponectin Measurements
2.7. Calprotectin Measurements
2.8. Statistical Analysis
3. Results
3.1. Healthy Group Versus Gingivitis Group
3.2. Healthy Group Versus Periodontitis Group
3.3. Gingivitis Group Versus Periodontitis Group
4. Discussion
5. Conclusions
Author Contributions
Funding
Institutional Review Board Statement
Informed Consent Statement
Data Availability Statement
Conflicts of Interest
References
- Kapila, Y.L. Oral Health’s Inextricable Connection to Systemic Health: Special Populations Bring to Bear Multimodal Relationships and Factors Connecting Periodontal Disease to Systemic Diseases and Conditions. Periodontology 2000 2021, 87, 11–16. [Google Scholar] [CrossRef]
- Pamuk, F.; Kantarci, A. Inflammation as a Link between Periodontal Disease and Obesity. Periodontology 2000 2022, 90, 186–196. [Google Scholar] [CrossRef] [PubMed]
- Lingvay, I.; Cohen, R.V.; Roux, C.W.L.; Sumithran, P. Obesity in Adults. Lancet 2024, 404, 972–987. [Google Scholar] [CrossRef]
- Must, A.; Spadano, J.; Coakley, E.H.; Field, A.E.; Colditz, G.; Dietz, W.H. The Disease Burden Associated with Overweight and Obesity. JAMA 1999, 282, 1523–1529. [Google Scholar] [CrossRef]
- Abu-Shawish, G.; Betsy, J.; Anil, S. Is Obesity a Risk Factor for Periodontal Disease in Adults? A Systematic Review. Int. J. Environ. Res. Public Health 2022, 19, 12684. [Google Scholar] [CrossRef]
- Jepsen, S.; Suvan, J.; Deschner, J. The Association of Periodontal Diseases with Metabolic Syndrome and Obesity. Periodontology 2000 2020, 83, 125–153. [Google Scholar] [CrossRef] [PubMed]
- Endalifer, M.L.; Diress, G. Epidemiology, Predisposing Factors, Biomarkers, and Prevention Mechanism of Obesity: A Systematic Review. J. Obes. 2020, 2020, 6134362. [Google Scholar] [CrossRef]
- Rostoff, P.; Siniarski, A.; Haberka, M.; Konduracka, E.; Nessler, J.; Gajos, G. Relationship among the Leptin-to-Adiponectin Ratio, Systemic Inflammation, and Anisocytosis in Well-Controlled Type 2 Diabetic Patients with Atherosclerotic Cardiovascular Disease. Kardiol. Pol. 2020, 78, 420–428. [Google Scholar] [CrossRef] [PubMed]
- Targońska-Stępniak, B.; Grzechnik, K. Adiponectin and Leptin as Biomarkers of Disease Activity and Metabolic Disorders in Rheumatoid Arthritis Patients. J. Inflamm. Res. 2022, 15, 5845–5855. [Google Scholar] [CrossRef]
- Guo, Z.; Peng, Y.; Hu, Q.; Liu, N.; Liu, Q. The Relationship between Leptin and Periodontitis: A Literature Review. PeerJ 2023, 11, e16633. [Google Scholar] [CrossRef]
- Qiu, W.; Wang, Z.; Chen, Z.; Li, X.; Zhang, Y.; Huang, H. The Adiponectin Receptor Agonist AdipoAI Attenuates Periodontitis in Diabetic Rats by Inhibiting Gingival Fibroblast-Induced Macrophage Migration. Br. J. Pharmacol. 2023, 180, 2436–2451. [Google Scholar] [CrossRef]
- Gao, H.; Xu, J.; He, L.; Meng, H.; Hou, J. Calprotectin Levels in Gingival Crevicular Fluid and Serum of Patients with Chronic Periodontitis and Type 2 Diabetes Mellitus before and after Initial Periodontal Therapy. J. Periodontal Res. 2021, 56, 121–130. [Google Scholar] [CrossRef] [PubMed]
- Obradovic, M.; Sudar-Milovanovic, E.; Soskic, S.; Zaric, B.; Radak, D. Leptin and Obesity: Role and Clinical Implication. Front. Endocrinol. 2021, 12, 585887. [Google Scholar] [CrossRef]
- Engin, A. The Mechanism of Leptin Resistance in Obesity and Therapeutic Perspective. Adv. Exp. Med. Biol. 2024, 1460, 463–487. [Google Scholar] [CrossRef]
- Jung, H.N.; Jung, C.H. The Role of Anti-Inflammatory Adipokines in Cardiometabolic Disorders: Moving beyond Adiponectin. Int. J. Mol. Sci. 2021, 22, 13529. [Google Scholar] [CrossRef]
- Martinez-Huenchullan, S.F.; Tam, C.S.; Ban, L.A.; Eckel, J.; Vidal-Puig, A. Skeletal Muscle Adiponectin Induction in Obesity and Exercise. Metabolism 2020, 102, 154008. [Google Scholar] [CrossRef]
- Lim, J.Y.; Templeton, S.P. Regulation of Lung Inflammation by Adiponectin. Front. Immunol. 2023, 14, 1244586. [Google Scholar] [CrossRef]
- Carnazzo, V.; Redi, S.; Basile, V.; Gremese, E.; Alivernini, S. Calprotectin: Two Sides of the Same Coin. Rheumatology 2024, 63, 26–33. [Google Scholar] [CrossRef] [PubMed]
- Khaki-Khatibi, F.; Qujeq, D.; Kashifard, M.; Bijani, A.; Aghajani, H. Calprotectin in Inflammatory Bowel Disease. Clin. Chim. Acta 2020, 510, 556–565. [Google Scholar] [CrossRef] [PubMed]
- Inciarte-Mundo, J.; Frade-Sosa, B.; Sanmartí, R. From Bench to Bedside: Calprotectin (S100A8/S100A9) as a Biomarker in Rheumatoid Arthritis. Front. Immunol. 2022, 13, 1001025. [Google Scholar] [CrossRef]
- George, A.K.; Malaiappan, S.; Joseph, B.; Anil, S. Calprotectin, S100A8, and S100A9: Potential Biomarkers of Periodontal Inflammation—A Scoping Review. World J. Dent. 2023, 14, 559–567. [Google Scholar]
- Grant, M.M.; Taylor, J.J.; Jaedicke, K.; Bostanci, N.; Matthews, J.B. Discovery, Validation, and Diagnostic Ability of Multiple Protein-Based Biomarkers in Saliva and Gingival Crevicular Fluid to Distinguish between Health and Periodontal Diseases. J. Clin. Periodontol. 2022, 49, 622–632. [Google Scholar] [CrossRef] [PubMed]
- Teles, F.R.F.; Chandrasekaran, G.; Martin, L.; Patel, M.; Kallan, M.J.; Furquim, C.; Hamza, T.; Cucchiara, A.J.; Kantarci, A.; Urquhart, O.; et al. Salivary and serum inflammatory biomarkers during periodontitis progression and after treatment. J. Clin. Periodontol. 2024, 51, 1619–1631. [Google Scholar] [CrossRef]
- Mohammed, H.A.; Abdulkareem, A.A.; Zardawi, F.M.; Gul, S.S. Determination of the accuracy of salivary biomarkers for periodontal diagnosis. Diagnostics 2022, 12, 2485. [Google Scholar] [CrossRef] [PubMed]
- Salman, U.; Dabdoub, S.M.; Reyes, A.; Smith, J.; Patel, K. Dysbiotic Microbiome-Metabolome Axis in Childhood Obesity and Metabolic Syndrome. J. Dent. Res. 2025, 104, 1314–1323. [Google Scholar] [CrossRef]
- Preethanath, R.S.; Chandy, S.; Syed, N.K.; Thomas, J.; Kumar, A. Assessment of Serum Adiponectin and Leptin in Chronic Periodontitis over Healthy Individuals. J. Pharm. Bioallied Sci. 2024, 16 (Suppl. 4), S3887–S3889. [Google Scholar] [CrossRef] [PubMed]
- Rodrigues, C.; Gomes, A.T.P.; Leal, J.; Costa, R.; Silva, M. Oral Health in Inflammatory Bowel Disease: The Overlooked Impact and the Potential Role of Salivary Calprotectin. BMC Oral Health 2025, 25, 729. [Google Scholar] [CrossRef]
- Dongiovanni, P.; Meroni, M.; Casati, S.; Goldoni, R.; Thomaz, D.V.; Kehr, N.S.; Galimberti, D.; Del Fabbro, M.; Tartaglia, G.M. Salivary biomarkers: Novel noninvasive tools to diagnose chronic inflammation. Int. J. Oral Sci. 2023, 15, 27. [Google Scholar] [CrossRef]
- Taghat, N.; Lingström, P.; Mossberg, K.; Fändriks, L.; Eliasson, B.; Östberg, A.L. Oral health by obesity classification in young obese women—A cross-sectional study. Acta Odontol. Scand. 2022, 80, 596–604. [Google Scholar] [CrossRef]
- Jentsch, H.F.R.; Dietrich, M.; Eick, S. Non-surgical periodontal therapy with adjunctive amoxicillin/metronidazole or metronidazole when no Aggregatibacter actinomycetemcomitans is detected: A randomized clinical trial. Antibiotics 2020, 9, 686. [Google Scholar] [CrossRef]
- Mensi, M.; Caselli, E.; D’Accolti, M.; Soffritti, I.; Farina, R.; Scotti, E.; Guarnelli, M.E.; Fabbri, C.; Garzetti, G.; Marchetti, S.; et al. Efficacy of the additional use of subgingival air-polishing with erythritol powder in the treatment of periodontitis patients: A randomized controlled clinical trial. Part II: Effect on subgingival microbiome. Clin. Oral Investig. 2023, 27, 2547–2563. [Google Scholar] [CrossRef]
- Chapple, I.L.C.; Mealey, B.L.; Van Dyke, T.E.; Bartold, P.M.; Dommisch, H. Periodontal Health and Gingival Diseases and Conditions on an Intact and a Reduced Periodontium: Consensus Report of Workgroup 1 of the 2017 World Workshop on the Classification of Periodontal and Peri-Implant Diseases and Conditions. J. Clin. Periodontol. 2018, 45 (Suppl. 20), S68–S77. [Google Scholar] [CrossRef] [PubMed]
- Papapanou, P.N.; Sanz, M.; Buduneli, N.; Dietrich, T.; Feres, M.; Fine, D.H. Periodontitis: Consensus Report of Workgroup 2 of the 2017 World Workshop on the Classification of Periodontal and Peri-Implant Diseases and Conditions. J. Clin. Periodontol. 2018, 45 (Suppl. 20), S162–S170. [Google Scholar] [CrossRef] [PubMed]
- Bayırlı, A.B.; Gürhan, C.; Saruhan, E. Evaluation of Salivary Melatonin and MMP-9 Levels in Periodontal Diseases. Arch. Oral Biol. 2024, 169, 106116. [Google Scholar] [CrossRef]
- Sachelarie, L.; Stefanescu, C.L.; Murineanu, R.M.; Grigorian, M.; Zaharia, A.; Scrobota, I.; Hurjui, L.L. Role of salivary biomarkers IL-1β and MMP-8 in early detection and staging of periodontal disease. Medicina 2025, 61, 760. [Google Scholar] [CrossRef]
- Cohen, J. Statistical Power Analysis for the Behavioral Sciences, 2nd ed.; Lawrence Erlbaum Associates: Hillsdale, NJ, USA, 1988. [Google Scholar]
- Williams, R.C.; Skelton, A.J.; Todryk, S.M.; Brown, A.; Clark, P. Leptin and Pro-Inflammatory Stimuli Synergistically Upregulate MMP-1 and MMP-3 Secretion in Human Gingival Fibroblasts. PLoS ONE 2016, 11, e0148024. [Google Scholar] [CrossRef] [PubMed]
- Teles, F.R.; Teles, R.P.; Martin, L.; Socransky, S.S.; Haffajee, A.D. Relationships among Interleukin-6, Tumor Necrosis Factor-α, Adipokines, Vitamin D, and Chronic Periodontitis. J. Periodontol. 2012, 83, 1183–1191. [Google Scholar] [CrossRef]
- Suragimath, G.; Doshi, D.; Varma, S.; Zope, S.A. Effect of Non-Surgical Periodontal Therapy on Salivary and Serum Leptin Levels in Patients with Generalized Stage II Grade B Periodontitis. J. Stomatol. 2021, 74, 84–88. [Google Scholar] [CrossRef]
- Holmström, S.B.; Lira-Junior, R.; Zwicker, S.; Gustafsson, A. MMP-12 and S100s in Saliva Reflect Different Aspects of Periodontal Inflammation. Cytokine 2019, 113, 155–161. [Google Scholar] [CrossRef]
- Kamatham, S.A.; Chava, V.K. Comparison of Salivary Calprotectin Levels in Periodontitis Associated with Diabetes Mellitus after Low-Level Laser Therapy as an Adjunct to Scaling and Root Planing: A Randomized Clinical Trial. J. Indian Soc. Periodontol. 2022, 26, 143–150. [Google Scholar] [CrossRef]
- Majster, M.; Almer, S.; Malmqvist, S.; Johansson, A.; Lundberg, P. Salivary Calprotectin and Neutrophils in Inflammatory Bowel Disease in Relation to Oral Diseases. Oral Dis. 2025, 31, 286–297. [Google Scholar] [CrossRef]
- Varma, S.; Thomas, B.; Subrahmanyam, K.; Rao, A.; Mathew, J. Salivary Levels of Inflammatory and Anti-Inflammatory Biomarkers in Periodontitis Patients with and without Acute Myocardial Infarction: Implications for Cardiovascular Risk Assessment. Front. Oral Health 2024, 5, 1332980. [Google Scholar] [CrossRef] [PubMed]
- Nokhbehsaim, M.; Keser, S.; Nogueira, A.V.; Eick, S.; Jepsen, S. Beneficial Effects of Adiponectin on Periodontal Ligament Cells under Normal and Regenerative Conditions. J. Diabetes Res. 2014, 2014, 796565. [Google Scholar] [CrossRef]
- Kozak, M.; Poniewierska-Baran, A.; Czerewaty, M.; Kowalska, M.; Wojdasiewicz, P. Effect of Adiponectin on the Expression of Selected Cytokines in Periodontal Ligament Cells. Biology 2025, 14, 321. [Google Scholar] [CrossRef]
- Md Tahir, K.; Ab Malek, A.H.; Vaithilingam, R.D.; Saub, R.; Safii, S.H.; Rahman, M.T.; Abdul Razak, F.; Alabsi, A.M.; Baharuddin, N.A. Impact of non-surgical periodontal therapy on serum resistin and periodontal pathogen in periodontitis patients with obesity. BMC Oral Health 2020, 20, 52. [Google Scholar] [CrossRef]
- Dominiak, M.; Niemczyk, W.; Pitułaj, A.; Świenc, W.; Matys, J. Fatty degenerative osteonecrosis of the jaw: Bridging molecular insights and clinical practice—A scoping review. Int. J. Mol. Sci. 2025, 26, 1853. [Google Scholar] [CrossRef]
- Checa-Ros, A.; Hsueh, W.C.; Merck, B.; González-Torres, H.; Bermúdez, V.; D’Marco, L. Obesity and oral health: The link between adipokines and periodontitis. TouchREVIEWS Endocrinol. 2024, 20, 25–31. [Google Scholar] [CrossRef] [PubMed]
- Keziah, V.S.; Jeyaraman, S.; Jeevitha, M. Comparative Evaluation of Salivary Leptin Levels in Healthy and Chronic Periodontitis Patients with or without Diabetes Mellitus. J. Pharm. Res. Int. 2021, 33, 251–256. [Google Scholar] [CrossRef]
- Nisha, S.; Shivamallu, A.B.; Prashant, A.; Ramesh, N.; Kulkarni, R. Role of Nonsurgical Periodontal Therapy on Leptin Levels and Total Antioxidant Capacity in Chronic Generalised Periodontitis Patients—A Clinical Trial. J. Oral Biol. Craniofac. Res. 2022, 12, 68–73. [Google Scholar] [CrossRef]
- Menon, P.; Puzhankara, L.; Venugopal, A.; Ramachandran, S. A Comparative Study on Calprotectin Concentration in Periodontitis Patients before and after Non-Surgical Periodontal Therapy. Cureus 2025, 17, e78221. [Google Scholar] [CrossRef] [PubMed]
- Haririan, H.; Andrukhov, O.; Pablik, E.; Kneissel, M.; Rausch-Fan, X. Comparative Analysis of Calcium-Binding Myeloid-Related Protein-8/14 in Saliva and Serum of Patients with Periodontitis and Healthy Individuals. J. Periodontol. 2016, 87, 184–192. [Google Scholar] [CrossRef]
- Zhou, M.; Meng, H.X.; Zhao, Y.B.; Chen, Z.B. Changes of Four Proinflammatory Proteins in Whole Saliva during Experimental Gingivitis. Chin. J. Dent. Res. 2012, 15, 121–127. [Google Scholar] [PubMed]
- Jia, R.; Zhang, Y.; Wang, Z.; Liu, Q.; Huang, J. Association between Lipid Metabolism and Periodontitis in Obese Patients: A Cross-Sectional Study. BMC Endocr. Disord. 2023, 23, 119. [Google Scholar] [CrossRef]
- Gröschl, M.; Rauh, M.; Wagner, R.; Neuhuber, W.; Metzler, M. Identification of Leptin in Human Saliva. J. Clin. Endocrinol. Metab. 2001, 86, 5234–5239. [Google Scholar] [CrossRef] [PubMed]
- Riis, J.L.; Bryce, C.I.; Ha, T.; Sbarra, D.A.; Granger, D.A. Adiponectin: Serum-Saliva Associations and Relations with Oral and Systemic Markers of Inflammation. Peptides 2017, 91, 58–64. [Google Scholar] [CrossRef] [PubMed]
- Brun, J.G.; Cuida, M.; Jacobsen, H.; Kloster, R.; Johannessen, A.C. Sjögren’s Syndrome in Inflammatory Rheumatic Diseases: Analysis of the Leukocyte Protein Calprotectin in Plasma and Saliva. Scand. J. Rheumatol. 1994, 23, 114–118. [Google Scholar] [CrossRef]
- da Silva, L.A.; Marques, C.P.C.; de Oliveira, I.C.V.; Santos, L.P.; Almeida, J. The Influence of Periodontal Status and Serum Biomarkers on Salivary Leptin Levels in Systemic Lupus Erythematosus Patients. Saudi Dent. J. 2022, 34, 708–714. [Google Scholar] [CrossRef]
- Johnson, R.B.; Serio, F.G. Leptin within Healthy and Diseased Human Gingiva. J. Periodontol. 2001, 72, 1254–1257. [Google Scholar] [CrossRef]
- Schapher, M.; Wendler, O.; Gröschl, M.; Schafer, R.; Iro, H. Salivary Leptin as a Candidate Diagnostic Marker in Salivary Gland Tumors. Clin. Chem. 2009, 55, 914–922. [Google Scholar] [CrossRef]
- Sales-Peres, S.H.C.; Groppo, F.C.; Bonato, R.C.S.; Roperto, R.; Sales-Peres, A. Alveolar Bone Pattern and Salivary Leptin Levels among Premenopausal Obese Women. Arq. Bras. Cir. Dig. 2019, 32, e1422. [Google Scholar] [CrossRef]
- Duzagac, E.; Cifcibasi, E.; Erdem, M.G.; Kiran, B.; Firatli, E. Is Obesity Associated with Healing after Non-Surgical Periodontal Therapy? A Local vs. Systemic Evaluation. J. Periodontal Res. 2016, 51, 604–612. [Google Scholar] [CrossRef]
- Alkan, B.; Guzeldemir-Akcakanat, E. Evaluation of Adipokine Levels in Obese Women with Periodontitis: A Cohort Study. Am. J. Dent. 2021, 34, 267–272. [Google Scholar] [PubMed]
- Song, H.J.; Oh, S.; Quan, S.; Lee, K.; Park, Y. Gender Differences in Adiponectin Levels and Body Composition in Older Adults: Hallym Aging Study. BMC Geriatr. 2014, 14, 8. [Google Scholar] [CrossRef]
- Abdellatif, H.M.; Ali, D.; Divakar, D.D.; Khan, A.; Al-Kheraif, A.A. Periodontal Status and Whole Salivary Adipokines after Scaling and Root Planing with and without Adjunct Antimicrobial Photodynamic Therapy in Obese Patients with Periodontitis. Photodiagnosis Photodyn. Ther. 2022, 40, 103112. [Google Scholar] [CrossRef] [PubMed]
- Miller, C.S.; Ding, X.; Dawson, D.R., 3rd; Ebersole, J.L. Salivary Biomarkers for Discriminating Periodontitis in the Presence of Diabetes. J. Clin. Periodontol. 2021, 48, 216–225. [Google Scholar] [CrossRef]
- Vinitha, R.; Yogalakshmi, R.; Rajeswari, A.; Kumar, R.; Priya, V. Serum and Salivary Adipokines in Type 2 Diabetes—Results of a Pilot Study in India. Diabetes Metab. Syndr. 2022, 16, 102536. [Google Scholar] [CrossRef]
- Sun, W.L.; Chen, L.L.; Zhang, S.Z.; Li, J.; Liu, X. Inflammatory Cytokines, Adiponectin, Insulin Resistance and Metabolic Control after Periodontal Intervention in Patients with Type 2 Diabetes and Chronic Periodontitis. Intern. Med. 2011, 50, 1569–1574. [Google Scholar] [CrossRef]
- Sales-Peres, S.H.C.; Houghton, J.; Meira, G.F.; Roperto, R.; Sales-Peres, A. Salivary Adiponectin and Albumin Levels on the Gingival Conditions of Patients Undergoing Bariatric Surgery: A Cohort Study. Int. J. Environ. Res. Public Health 2023, 20, 5261. [Google Scholar] [CrossRef]
- Bourgonje, A.R.; Bourgonje, M.F.; Sokooti, S.; Janssen, J.; Blokzijl, T. Plasma Calprotectin and New-Onset Type 2 Diabetes in the General Population: A Prospective Cohort Study. J. Clin. Endocrinol. Metab. 2024, 110, e150–e159. [Google Scholar] [CrossRef]
- Sweis, N.; Jorgensen, J.; Zeng, J.; Okosun, I.; Mbanya, J.C. The Relationship between Leptin-to-Adiponectin Ratio and HOMA-IR and Metabolic Syndrome in Five African-Origin Populations. Int. J. Obes. 2025, 49, 278–285. [Google Scholar] [CrossRef]


| Parameters | Periodontal Health (n = 55) | Gingivitis (n = 55) | Periodontitis (n = 55) | p-Value (ES) |
|---|---|---|---|---|
| Sex, n (%) | 0.999 (0.017) | |||
| Female | 27 (49.10) | 27 (49.10) | 28 (50.90) | |
| Male | 28 (50.90) | 28 (50.90) | 27 (49.10) | |
| Age (years) | 33 (24–38) | 33 (24–38) | 33 (30–38) | 0.466 (0.010) |
| Salivary leptin (ng/mL) | 2.28 (0.31–5.72) a | 3.03 (0.84–8.59) b | 4.09 (0.33–9.52) b | <0.001 (0.110) |
| Salivary adiponectin (ng/mL) | 26.64 (0.91–52.40) a | 18.69 (1.55–52.48) a | 9.76 (0.51–46.91) b | <0.001 (0.225) |
| Salivary calprotectin | 133.80 (7.90–411.30) a | 227.30 (18.80–500.10) b | 346.10 (38.20–570.80) c | <0.001 (0.215) |
| PI | 0.98 (0.55–1.45) a | 1.65 (0.67–2.76) b | 2.25 (1.36–2.72) c | <0.001 (0.575) |
| GI | 0.93 (0.27–1.57) a | 1.52 (0.75–2.71) b | 2.06 (1.28–2.71) c | <0.001 (0.603) |
| BOP (%) | 8.80 (4.72–9.94) a | 26.48 (11.18–67.76) b | 55.70 (16.07–85.71) c | <0.001 (0.790) |
| PPD (mm) | 1.86 (1.23–2.65) a | 2.17 (1.24–2.63) a | 3.93 (2.79–4.85) b | <0.001 (0.691) |
| CAL (mm) | 0.75 (0.45–0.95) a | 0.78 (0.42–0.95) a | 3.50 (1.13–5.49) b | <0.001 (0.664) |
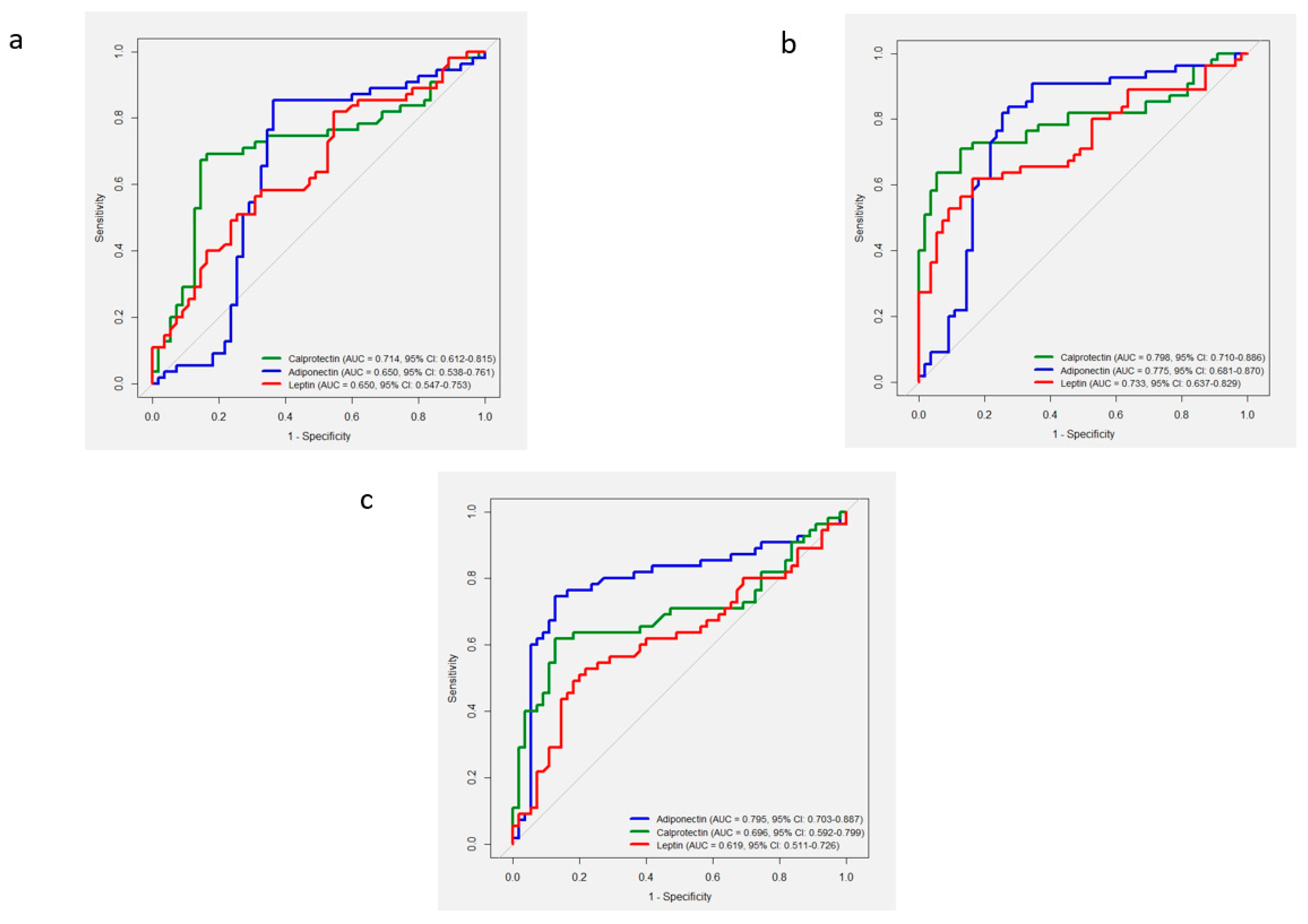
| Groups | Biomarkers | Cut-Off | AUC [95% CI] | Sensitiviy [95% CI] | Specificity [95% CI] | p-Value |
|---|---|---|---|---|---|---|
| Healthy vs. Gingivitis | Leptin | >1.97 | 0.650 [0.547–0.753] | 0.818 [0.691–0.909] | 0.455 [0.320–0.594] | 0.004 |
| Calprotectin | >192.4 | 0.714 [0.612–0.815] | 0.691 [0.552–0.809] | 0.836 [0.712–0.922] | <0.001 | |
| Adiponectin | ≤24.57 | 0.650 [0.538–0.761 | 0.855 [0.733–0.935] | 0.636 [0.496–0.762] | 0.008 | |
| Healthy vs. Periodontitis | Leptin | >3.269 | 0.733 [0.710–0.886] | 0.618 [0.477–0.746] | 0.836 [0.712–0.922] | <0.001 |
| Calprotectin | >223.9 | 0.798 [0.710–0.886] | 0.709 [0.571–0.824] | 0.873 [0.755–0.947] | <0.001 | |
| Adiponectin | ≤16.86 | 0.775 [0.681–0.870] | 0.818 [0.691–0.909] | 0.745 [0.610–0.853] | <0.001 | |
| Gingivitis vs. Periodontitis | Leptin | >3.835 | 0.619 [0.511–0.726] | 0.527 [0.388–0.663] | 0.782 [0.650–0.882] | 0.031 |
| Calprotectin | >306.7 | 0.696 [0.592–0.799] | 0.618 [0.477–0.746] | 0.873 [0.755–0.947] | <0.001 | |
| Adiponectin | ≤14.04 | 0.795 [0.703–0.887] | 0.745 [0.610–0.853] | 0.873 [0.755–0.947] | <0.001 |
| Univariate LR | Multiple LR | |||||
|---|---|---|---|---|---|---|
| Groups | Biomarkers | OR [95% CI] | p-Value | OR [95% CI] | p-Value | VIF |
| Healthy vs. Gingivitis | Leptin (Ref: ≤1.97) | 3.750 [1.576–8.922] | 0.003 | 2.696 [0.906–8.022] | 0.075 | 1.046 |
| Calprotectin (Ref: ≤192.4) | 11.425 [4.575–28.528] | <0.001 | 8.158 [2.890–23.030] | <0.001 | 1.016 | |
| Adiponectin (Ref: >24.57) | 10.281 [4.059–26.042] | <0.001 | 8.787 [3.009–25.661] | <0.001 | 1.033 | |
| Healthy vs. Periodontitis | Leptin (Ref: ≤3.269) | 8.275 [3.371–20.311] | <0.001 | 7.295 [2.158–24.660] | 0.001 | 1.046 |
| Calprotectin (Ref: ≤223.9) | 16.714 [6.251–44.694] | <0.001 | 15.893 [4.552–55.486] | <0.001 | 1.101 | |
| Adiponectin (Ref: >16.86) | 13.179 [5.277–32.911] | <0.001 | 10.958 [3.306–36.319] | <0.001 | 1.057 | |
| Gingivitis vs. Periodontitis | Leptin (Ref: ≤3.835) | 3.997 [1.742–9.170] | 0.001 | 2.735 [0.825–9.069] | 0.100 | 1.017 |
| Calprotectin (Ref: ≤306.7) | 11.102 [4.244–29.042] | <0.001 | 18.313 [4.791–69.998] | <0.001 | 1.061 | |
| Adiponectin (Ref: >14.04) | 20.082 [7.399–54.503] | <0.001 | 28.246 [7.703–103.568] | <0.001 | 1.071 | |
Disclaimer/Publisher’s Note: The statements, opinions and data contained in all publications are solely those of the individual author(s) and contributor(s) and not of MDPI and/or the editor(s). MDPI and/or the editor(s) disclaim responsibility for any injury to people or property resulting from any ideas, methods, instructions or products referred to in the content. |
© 2025 by the authors. Licensee MDPI, Basel, Switzerland. This article is an open access article distributed under the terms and conditions of the Creative Commons Attribution (CC BY) license (https://creativecommons.org/licenses/by/4.0/).
Share and Cite
Bayırlı, A.B.; Uytun, M.; Türkiş, F.C.; Saruhan, E.; Keceli, H.G. Salivary Biomarker Profile in Periodontal Diseases: A Cross-Sectional Study on Leptin, Adiponectin, and Calprotectin. Diagnostics 2025, 15, 2822. https://doi.org/10.3390/diagnostics15222822
Bayırlı AB, Uytun M, Türkiş FC, Saruhan E, Keceli HG. Salivary Biomarker Profile in Periodontal Diseases: A Cross-Sectional Study on Leptin, Adiponectin, and Calprotectin. Diagnostics. 2025; 15(22):2822. https://doi.org/10.3390/diagnostics15222822
Chicago/Turabian StyleBayırlı, Ali Batuhan, Mehmetcan Uytun, Fulden Cantaş Türkiş, Ercan Saruhan, and Hüseyin Gencay Keceli. 2025. "Salivary Biomarker Profile in Periodontal Diseases: A Cross-Sectional Study on Leptin, Adiponectin, and Calprotectin" Diagnostics 15, no. 22: 2822. https://doi.org/10.3390/diagnostics15222822
APA StyleBayırlı, A. B., Uytun, M., Türkiş, F. C., Saruhan, E., & Keceli, H. G. (2025). Salivary Biomarker Profile in Periodontal Diseases: A Cross-Sectional Study on Leptin, Adiponectin, and Calprotectin. Diagnostics, 15(22), 2822. https://doi.org/10.3390/diagnostics15222822

