Sign in to use this feature.

Years

Between: -

Subjects

remove_circle_outline
remove_circle_outline
remove_circle_outline
remove_circle_outline
remove_circle_outline
remove_circle_outline
remove_circle_outline
remove_circle_outline
remove_circle_outline

Journals

remove_circle_outline
remove_circle_outline
remove_circle_outline
remove_circle_outline
remove_circle_outline
remove_circle_outline
remove_circle_outline
remove_circle_outline
remove_circle_outline

Article Types

Countries / Regions

remove_circle_outline
remove_circle_outline
remove_circle_outline
remove_circle_outline
remove_circle_outline

Search Results (418)

Search Parameters:
Keywords = active soil substances

Order results
Result details
Results per page
Select all
Export citation of selected articles as:
17 pages, 1014 KB  
Review
Mechanisms of Microorganisms Alleviating Drought and Salt Stresses in Plants
by Di Feng, Wenxiang Li, Pengfei Huang, Meiying Gu, Guangmu Tang, Yanhong Ding, Gang Cao and Wanli Xu
Microorganisms 2025, 13(11), 2565; https://doi.org/10.3390/microorganisms13112565 - 10 Nov 2025
Abstract
Drought and salt stresses are critical environmental constraints affecting plant growth and development, and microorganisms can enhance plant tolerance to these abiotic stresses through complex mechanisms. This review systematically synthesizes the core mechanisms by which microorganisms regulate plant physiological and biochemical processes under [...] Read more.
Drought and salt stresses are critical environmental constraints affecting plant growth and development, and microorganisms can enhance plant tolerance to these abiotic stresses through complex mechanisms. This review systematically synthesizes the core mechanisms by which microorganisms regulate plant physiological and biochemical processes under such stresses, specifically including the following: (1) regulating the perception and transduction of abiotic stress signals to enhance plant adaptive responses; (2) boosting gene expression and protein synthesis for overall plant metabolic regulation; (3) activating the antioxidant system to strengthen plant tolerance; (4) modulating plant hormone levels to stimulate growth in response to adversity; (5) enhancing plant nutrition and absorption to improve resilience; (6) optimizing the photosynthesis system to promote the synthesis of essential substances, safeguarding plant growth and development amidst adversity. Finally, the application of microbial inoculants in saline–alkali soil improvement and crop cultivation in arid areas and prospective research directions are discussed. Full article
(This article belongs to the Topic Microbe-Induced Abiotic Stress Alleviation in Plants)
Show Figures

Figure 1

15 pages, 1310 KB  
Article
Effects of Ether Perfluoro Carboxyl Acids (PFECAs) on Innate Immunity in Earthworms (Eisenia fetida)
by Davide Gualandris, Davide Rotondo, Candida Lorusso, Valentina Audrito, Antonio Calisi and Francesco Dondero
Environments 2025, 12(11), 430; https://doi.org/10.3390/environments12110430 - 10 Nov 2025
Abstract
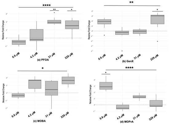
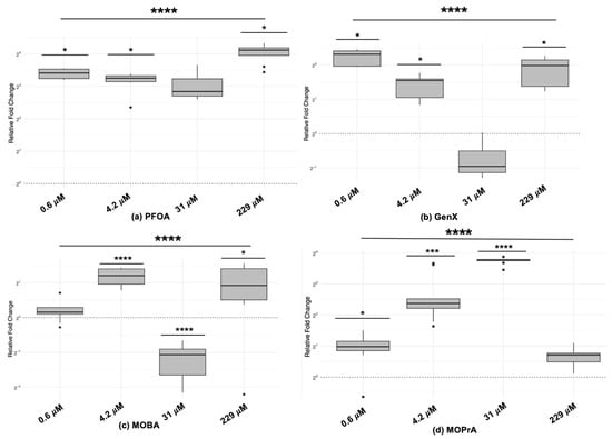
Per- and polyfluoroalkyl substances (PFAS) persist in soils, yet their effects on invertebrate immunity remain poorly understood. We compared a legacy congener, perfluorooctanoic acid (PFOA), with three short-chain ether acids GenX (C6), MOBA (C5), and MOPrA (C4) using a 72 h OECD-207 filter-paper [...] Read more.
Per- and polyfluoroalkyl substances (PFAS) persist in soils, yet their effects on invertebrate immunity remain poorly understood. We compared a legacy congener, perfluorooctanoic acid (PFOA), with three short-chain ether acids GenX (C6), MOBA (C5), and MOPrA (C4) using a 72 h OECD-207 filter-paper assay in the earthworm Eisenia fetida. Endpoints spanned cellular and humoral defenses: amoebocyte morphometry, oxidative burst (ROS production), phenol oxidase (PO) activity, and the transcription of the lectin CCF-1 and the pore-forming protein lysenin. MOBA and MOPrA caused enlargement of amoebocytes, whereas PFOA and GenX had no morphometric impact. Oxidative burst fell significantly for all congeners. PO inhibition followed the same potency order (MOPrA > GenX > MOBA ≫ PFOA), with near-complete loss at 229 µM MOPrA. Gene expression assays for CCF-1 and lysenin showed shifts in relative fold change for each PFAS congener. The combined biomarker panel—amoebocyte size, ROS, CAT, PO, CCF-1, and lysenin—offers a concise framework for assessing terrestrial PFAS risk and guiding remediation monitoring. Full article
Show Figures

Figure 1

17 pages, 1673 KB  
Article
Vegetable–Mushroom Rotation Increases Morel (Morchella esculenta L.) Yields by Improving Soil Micro-Environments and Enhancing Overall Soil Quality
by Lijuan Zhang, Baohua Si, Minghao Lv, Qiannan Zhu, Han Du, Wenshu Ma and Jisong Qu
Plants 2025, 14(21), 3317; https://doi.org/10.3390/plants14213317 - 30 Oct 2025
Viewed by 383
Abstract
Continuous cropping of morel represents a crucial bottleneck that restricts the sustainable development of its industry. To explore the effects and mechanisms of crop rotations in alleviating continuous cropping obstacles, field experiments were conducted over two cropping years. With morel monoculture serving as [...] Read more.
Continuous cropping of morel represents a crucial bottleneck that restricts the sustainable development of its industry. To explore the effects and mechanisms of crop rotations in alleviating continuous cropping obstacles, field experiments were conducted over two cropping years. With morel monoculture serving as the control (Control), four rotation patterns were established: tomato–morel (TM), pepper–morel (PM), watermelon–morel (WM), and cabbage–morel (CM). Soil physical and chemical properties, enzyme activities, phenolic acid substances, amino sugars, toxic metal contents, and morel yields were systematically measured. The soil quality index area (SQI-area) was employed for comprehensive evaluation. The results indicated that, in comparison to the control, rotation effectively mitigated soil salinization, optimized nutrient availability, and significantly decreased the accumulation of multiple auto-toxic phenolic acids (such as phthalic acid and benzoic acid) and toxic metals (As, Cd). All rotation treatments significantly enhanced the overall soil quality. Compared to the control, the SQI-area in rotation treatments increased by 25–137% in 2024 and 126–276% in 2025. Among these, the PM treatment exhibited the greatest increase. Furthermore, in both 2024 and 2025, the PM treatment exhibited the most substantial increase in yield. Specifically, it showed increases of 76% and 241% when compared to the control. In summary, crop rotations, particularly the pepper–morel rotation pattern, can effectively mitigate continuous cropping obstacles via multiple soil improvement mechanisms. This makes it an effective strategy for facilitating the sustainable production of morel. Full article
(This article belongs to the Section Horticultural Science and Ornamental Plants)
Show Figures

Figure 1

25 pages, 3614 KB  
Review
Biomass-Based Composites for Agricultural Applications
by Yufeng Xie, Sen Ye, Yue Peng, Jiazhen Gao, Xiaoyun Li and Xingxiang Ji
Polymers 2025, 17(21), 2851; https://doi.org/10.3390/polym17212851 - 26 Oct 2025
Viewed by 425
Abstract
As chemical pollution and food safety risks in agriculture have increased due to global population growth and a food demand surge, the development of new environmentally friendly pesticide carriers is urgently needed to build a sustainable agricultural system. Owing to the excellent biocompatibility [...] Read more.
As chemical pollution and food safety risks in agriculture have increased due to global population growth and a food demand surge, the development of new environmentally friendly pesticide carriers is urgently needed to build a sustainable agricultural system. Owing to the excellent biocompatibility and controlled degradation of biomass materials and their specific interactions with active ingredients, biomass-based composites have unique advantages in the field of pesticide delivery. By regulating the carrier structure, the targeted controlled release of the pesticides can be achieved, leading to improvements in the chemical stability of the active substance and target absorption efficiency, and a significant reduction in environmental impact. This paper summarizes the innovative applications of biomass-based composites in agricultural scenarios, focusing on the breakthroughs in the three core areas of intelligent protection of seed coating, soil microcosm regulation, and foliar environment-responsive delivery. Through an in-depth analysis of the efficiency mechanism of composites on insecticides, antimicrobials, and herbicides, this review elucidates the scientific pathway of pesticide delivery through interfacial modification, slow-release kinetic modulation, and multilevel structural design, which will provide theoretical support and a practical paradigm for the development green agricultural technology. Full article
Show Figures

Figure 1

23 pages, 6003 KB  
Article
Biocontrol Potential, Plant Growth-Promotion, and Genomic Insights of Pseudomonas koreensis CHHM-1 Against Bacterial Canker in Actinidia arguta
by Mengqi Wang, Taiping Tian, Yue Wang, Ruoqi Liu, Shutian Fan, Mingjie Ma, Baoxiang Zhang, Jiaqi Li, Yanli Wang, Yiming Yang, Peilei Xu, Nan Shu, Wenpeng Lu, Bowei Sun, Manyu Wu, Hongyan Qin and Changyu Li
Microorganisms 2025, 13(10), 2400; https://doi.org/10.3390/microorganisms13102400 - 20 Oct 2025
Viewed by 385
Abstract
In 2019, bacterial canker caused by Pseudomonas syringae pv. actinidiae was first identified in Actinidia arguta. This disease has led to significant yield reduction, plant mortality, and substantial economic losses in A. arguta cultivation. Its emergence poses a novel challenge to the [...] Read more.
In 2019, bacterial canker caused by Pseudomonas syringae pv. actinidiae was first identified in Actinidia arguta. This disease has led to significant yield reduction, plant mortality, and substantial economic losses in A. arguta cultivation. Its emergence poses a novel challenge to the sustainable global production of kiwifruit. Currently available treatments for bacterial canker caused by P. syringae pv. actinidiae are scarce. Moreover, the environmental toxicity of copper-based compounds and emerging antibiotic resistance issues necessitate the development of eco-friendly control strategies. Disease management strategies based on biocontrol bacteria have shown broad application prospects. In this study, the isolate CHHM-1 with significant antagonistic activity against P. syringae pv. actinidiae was isolated from the rhizosphere soil of healthy A. arguta. It was identified as Pseudomonas koreensis through 16S rRNA gene and whole-genome sequencing. Genomic analysis revealed that the isolate CHHM-1 harbors various genes related to biocontrol, plant growth promotion, and antibiotic resistance, suggesting strong environmental adaptability and functional potential. Furthermore, the strain exhibited multiple plant growth-promoting traits, such as nitrogen fixation, phosphate solubilization, siderophore production, and synthesis of indole-3-acetic acid (IAA). In vitro antagonism assays confirmed the strong antagonistic activity of the isolate CHHM-1 against P. syringae pv. actinidiae. A dual-culture plate assay showed an average inhibition zone of 4.36 cm, while preventive application on plants significantly reduced lesion length to 1.3 mm (vs. 6.2 mm control) in shoots and lesion area to 10% (vs. 80% control) in leaf discs. Further antibacterial tests revealed that its inhibitory mechanism is attributed to secreted antimicrobial substances. These findings provide a promising candidate for developing novel biopesticides to combat P. syringae pv. actinidiae variants, reduce chemical dependency, and foster sustainable A. arguta production. Full article
(This article belongs to the Section Antimicrobial Agents and Resistance)
Show Figures

Figure 1

16 pages, 3046 KB  
Article
Combined Application of Organic Materials Regulates the Microbial Community Composition by Altering Functional Groups of Organic Matter in Coastal Saline–Alkaline Soils
by Qiaobo Song, Jian Ma, Xin Chen, Caiyan Lu, Huaihai Chen, Guangyu Chi and Yanyu Hu
Agronomy 2025, 15(10), 2382; https://doi.org/10.3390/agronomy15102382 - 13 Oct 2025
Viewed by 629
Abstract
Different types of organic materials demonstrate varying efficacy in ameliorating saline–alkali soils, while the combined application of organic materials can potentially enhance the remediation effects on saline–alkali land. To verify this assumption, our study conducted a pot experiment with spinach in saline–alkali soil, [...] Read more.
Different types of organic materials demonstrate varying efficacy in ameliorating saline–alkali soils, while the combined application of organic materials can potentially enhance the remediation effects on saline–alkali land. To verify this assumption, our study conducted a pot experiment with spinach in saline–alkali soil, observing the improvement effect of saline–alkali soil and the growth of crops when acid fermentation products of vegetables, humic acid-like substances, and corn straw were applied either individually or in combination. The results revealed that both the sole and combined application of organic materials could enhance the yield of spinach. Particularly, humic acid-like substances increased spinach yield to six times that of the chemical fertilizer treatment. Although the application of organic materials led to a decline in the diversity and richness indices of the microbial community in saline–alkali soil (except fungal richness), the combined use of organic materials contributed to a healthier trend in the soil microbial community structure. Beyond its effects on soil nutrients such as total carbon and total nitrogen, the improvement in soil organic matter activity caused by the joint application of organic materials was identified as the primary factor responsible for enhancing the health of the soil microbial community and the remediation effects on saline–alkali soil. Full article
(This article belongs to the Section Soil and Plant Nutrition)
Show Figures

Graphical abstract

20 pages, 2510 KB  
Article
Effects of Arbuscular Mycorrhizal Fungi on the Physiological Responses and Root Organic Acid Secretion of Tomato (Solanum lycopersicum) Under Cadmium Stress
by Dejian Zhang, Xinyu Liu, Yuyang Zhang, Jie Ye and Qingping Yi
Horticulturae 2025, 11(10), 1204; https://doi.org/10.3390/horticulturae11101204 - 6 Oct 2025
Viewed by 548
Abstract
Arbuscular Mycorrhizal Fungi (AMF) can form symbiotic relationships with most plants. They can alleviate the toxic effects of heavy metals on plants. This study analyzed the effects of AMF (Diversispora versiformis, D.v.) on the physiological responses and root organic acid [...] Read more.
Arbuscular Mycorrhizal Fungi (AMF) can form symbiotic relationships with most plants. They can alleviate the toxic effects of heavy metals on plants. This study analyzed the effects of AMF (Diversispora versiformis, D.v.) on the physiological responses and root organic acid secretion of tomato (Solanum lycopersicum L.) under cadmium (Cd) stress, in order to elucidate how AMF enhance Cd tolerance. The results indicated that when the AMF inoculation rate of tomato seedlings ranged from 26.75% to 38.23%, the AMF treatment significantly promoted tomato growth. Cd significantly reduced the agronomic traits of tomato. However, AMF inoculation dramatically lowered the Cd level from 19.32 mg/kg to 11.54 mg/kg in tomato roots, and effectively reduced the negative effect of Cd toxicity on seedling growth. Cd stress also significantly reduced the chlorophyll fluorescence parameters, chlorophyll contents, and photosynthetic intensity parameters in seedling leaves, while the AMF treatment significantly increased these indicators. Under Cd stress, the AMF treatment significantly increased the activities of SOD, POD, and CAT, and reduced the levels of reactive oxygen species and the contents of osmotic regulatory substances in roots. Under Cd stress conditions, the AMF treatment also significantly increased the auxin level (57.24%) and reduced the abscisic acid level (18.19%), but had no significant effect on trans-zeatin riboside and gibberellin contents in roots. Cd stress markedly reduced the content of malic acid and succinic acid by 17.28% and 25.44%, respectively; however, after the AMF inoculation, these indicators only decreased by 2.47% and 2.63%, respectively. Under Cd stress, AMF could increase tomato roots’ antioxidant capacity to reduce ROS level, thereby alleviating the toxicity induced by ROS and maintaining reactive oxygen metabolism, enhancing the plant’s stress resistance. In summary, the AMF treatment enhances the osmotic regulation capacity and maintains the stability of cell membranes by reducing the levels of osmotic regulatory substances in roots. It also enhances the Cd tolerance of tomato plants by regulating the contents of root hormones and aerobic respiration metabolites, among other pathways. Therefore, inoculating plants with AMF is a prospective strategy for enhancing their adaptive capacity to Cd-polluted soils. Full article
Show Figures

Figure 1

46 pages, 2380 KB  
Review
Microalgae in Mitigating Industrial Pollution: Bioremediation Strategies and Biomagnification Potential
by Renu Geetha Bai, Salini Chandrasekharan Nair, Liina Joller-Vahter and Timo Kikas
Biomass 2025, 5(4), 61; https://doi.org/10.3390/biomass5040061 - 2 Oct 2025
Viewed by 832
Abstract
The rapid growth of the human population and industrialization has intensified anthropogenic activities, leading to the release of various toxic chemicals into the environment, triggering significant risks to human health and ecosystem stability. One sustainable solution to remove toxic chemicals from various environmental [...] Read more.
The rapid growth of the human population and industrialization has intensified anthropogenic activities, leading to the release of various toxic chemicals into the environment, triggering significant risks to human health and ecosystem stability. One sustainable solution to remove toxic chemicals from various environmental matrices, such as water, air, and soil, is bioremediation, an approach utilizing biological agents. Microalgae, as the primary producers of the aquatic environment, offer a versatile bioremediation platform, where their metabolic processes break down and convert pollutants into less harmful substances, thereby mitigating the negative ecological impact. Besides the CO2 sequestration potential, microalgae are a source of renewable energy and numerous high-value biomolecules. Additionally, microalgae can mitigate various toxic chemicals through biosorption, bioaccumulation, and biodegradation. These remediation strategies propose a sustainable and eco-friendly approach to address environmental pollution. This review evaluates the microalgal mitigation of major environmental contaminants—heavy metals, pharmaceuticals and personal care products (PPCPs), persistent organic pollutants (POPs), flue gases, microplastics, and nanoplastics—linking specific microalgae removal mechanisms to pollutant-induced cellular responses. Each section explicitly addresses the effects of these pollutants on microalgae, microalgal bioremediation potential, bioaccumulation process, the risks of trophic transfer, and biomagnification in the food web. Herein, we highlight the current status of the microalgae-based bioremediation prospects, pollutant-induced microalgal toxicity, bioaccumulation, and consequential biomagnification. The novelty of this review lies in integrating biomagnification risks with the bioremediation potential of microalgae, providing a comprehensive perspective not yet addressed in the existing literature. Finally, we identify major research gaps and outline prospective strategies to optimize microalgal bioremediation while minimizing the unintended trophic transfer risks. Full article
Show Figures

Figure 1

24 pages, 5860 KB  
Review
Mapping the Rise in Machine Learning in Environmental Chemical Research: A Bibliometric Analysis
by Bojana Stanic and Nebojsa Andric
Toxics 2025, 13(10), 817; https://doi.org/10.3390/toxics13100817 - 26 Sep 2025
Viewed by 789
Abstract
Machine learning (ML) is reshaping how environmental chemicals are monitored and how their hazards are evaluated for human health. Here, we mapped this landscape by analyzing 3150 peer-reviewed articles (1985–2025) from the Web of Science Core Collection. Co-citation, co-occurrence, and temporal trend analyses [...] Read more.
Machine learning (ML) is reshaping how environmental chemicals are monitored and how their hazards are evaluated for human health. Here, we mapped this landscape by analyzing 3150 peer-reviewed articles (1985–2025) from the Web of Science Core Collection. Co-citation, co-occurrence, and temporal trend analyses in VOSviewer and R reveal an exponential publication surge from 2015, dominated by environmental science journals, with China and the United States leading in output. Eight thematic clusters emerged, centered on ML model development, water quality prediction, quantitative structure–activity applications, and per-/polyfluoroalkyl substances, with XGBoost and random forests as the most cited algorithms. A distinct risk assessment cluster indicates migration of these tools toward dose–response and regulatory applications, yet keyword frequencies show a 4:1 bias toward environmental endpoints over human health endpoints. Emerging topics include climate change, microplastics, and digital soil mapping, while lignin, arsenic, and phthalates appear as fast-growing but understudied chemicals. Our findings expose gaps in chemical coverage and health integration. We recommend expanding the substance portfolio, systematically coupling ML outputs with human health data, adopting explainable artificial intelligence workflows, and fostering international collaboration to translate ML advances into actionable chemical risk assessments. Full article
(This article belongs to the Section Novel Methods in Toxicology Research)
Show Figures

Figure 1

13 pages, 3043 KB  
Article
Phylogenetic Incongruence of Cyclic di-GMP-Activated Glycosyltransferase nfrB with 16S rRNA Gene Tree Reflects In Silico-Predicted Protein Structural Divergence in Diaphorobacter nitroreducens Isolated from Estero de Paco, Manila, Philippines
by Ram Julius L. Marababol and Windell L. Rivera
Microbiol. Res. 2025, 16(10), 212; https://doi.org/10.3390/microbiolres16100212 - 26 Sep 2025
Viewed by 462
Abstract
Diaphorobacter nitroreducens is a Gram-negative bacterium ubiquitously found in wastewater, recognized for its ecological adaptability and potential applications in environmental, biomedical, and industrial processes. Central to its adaptability is the nfrB gene, which encodes a cyclic di-3′,5′-guanylate (c-di-GMP)-activated glycosyltransferase. This enzyme facilitates the [...] Read more.
Diaphorobacter nitroreducens is a Gram-negative bacterium ubiquitously found in wastewater, recognized for its ecological adaptability and potential applications in environmental, biomedical, and industrial processes. Central to its adaptability is the nfrB gene, which encodes a cyclic di-3′,5′-guanylate (c-di-GMP)-activated glycosyltransferase. This enzyme facilitates the secretion of biofilm-associated extracellular polymeric substances (EPS), essential for its survival and functionality in diverse environments. Using complete EMJH media as a selective medium, D. nitroreducens was successfully isolated from soil and water samples from Estero de Paco, Manila, Philippines, enabling downstream analyses of its nfrB gene. Phylogenetic analyses revealed that the nfrB gene tree deviates significantly from the canonical 16S rRNA gene tree, with D. nitroreducens clustering alongside members of the Enterobacteriaceae family. This deviation suggests the potential influence of horizontal gene transfer, adaptive evolution, or lineage-specific pressures on nfrB evolution. Structural analysis of NfrB through Alphafold 3 prediction demonstrated a conserved N-terminal region across taxa, except for the outgroup Zymomonas mobilis. Conversely, the C-terminal region, housing the catalytic domain, showed considerable diversity, reflecting adaptive modifications across bacterial lineages. Despite this variability, the putative binding site for cyclic di-3′,5′-guanylate remained conserved, indicating a balance between functional conservation and adaptive diversification. These findings not only deepen the existing understanding of bacterial signaling and glycosylation mechanisms but also provide insights into the evolutionary dynamics of glycosyltransferases. Furthermore, the study underscores the potential of NfrB as a target for innovative applications, including the design of novel biocatalysts and the development of informed strategies for bacterial management in environmental, industrial, and biotechnological contexts. Full article
Show Figures

Figure 1

27 pages, 1842 KB  
Review
Endophytic and Epiphytic Microorganisms as Biocontrol Agents: Mechanisms, Applications, and Metagenomic Approaches in Tomato Cultivation
by Phathutshedzo Rakhalaru, Beverly Mmakatane Mampholo, Tshifhiwa Paris Mamphogoro and Mapitsi Silvester Thantsha
Molecules 2025, 30(18), 3816; https://doi.org/10.3390/molecules30183816 - 19 Sep 2025
Cited by 1 | Viewed by 1095
Abstract
Tomato (Solanum lycopersicum) is an essential crop worldwide, yet it remains highly vulnerable to severe fungal and bacterial diseases. Traditional chemical-based disease management strategies, aimed at controlling these diseases face increasing scrutiny, due to concerns regarding pathogen resistance, environmental degradation, and [...] Read more.
Tomato (Solanum lycopersicum) is an essential crop worldwide, yet it remains highly vulnerable to severe fungal and bacterial diseases. Traditional chemical-based disease management strategies, aimed at controlling these diseases face increasing scrutiny, due to concerns regarding pathogen resistance, environmental degradation, and potential health risks to humans. This has catalyzed the exploration of sustainable alternatives, with biological control emerging as a viable and promising strategy. Endophytic and epiphytic microorganisms are pivotal as biocontrol agents (BCAs), employing diverse strategies, such as generating antimicrobial substances, enzymes, and volatile organic compounds (VOCs), to suppress pathogen growth and enhance plant health. The efficacy of these antagonistic microorganisms is influenced by the cultivation systems employed, with significant variations observed between soil and hydroponic environments. Factors such as nutrient dynamics and microbial interactions play crucial roles in determining the success of BCAs in these different settings. The advent of metagenomic tools has transformed the landscape of microbial community research, facilitating the identification of functional genes associated with antagonistic activities and the adaptation of these microorganisms to diverse environmental conditions. This review aims to elucidate the potential of endophytic and epiphytic microorganisms in biological control, examining their mechanisms of action, the impact of cultivation systems on their effectiveness, and the application of metagenomics to optimize their use in sustainable disease management strategies for tomato crops. Full article
Show Figures

Figure 1

21 pages, 5363 KB  
Article
Organic Fertilizers Promote Accumulation of Mineral Nutrients in Citrus Leaves by Affecting Soil Biochemical Properties and Bacteria
by Lei Yang, Min Wang, Jianjun Yu, Shuang Li and Lin Hong
Plants 2025, 14(18), 2826; https://doi.org/10.3390/plants14182826 - 10 Sep 2025
Viewed by 660
Abstract
This study aimed to investigate the influence of different organic fertilizers and their concentrations on the growth of ‘Orah’ (Citrus reticulata Blanco) seedlings, as well as on the mineral nutrient contents, chemical and biological properties, and microbial community of the [...] Read more.
This study aimed to investigate the influence of different organic fertilizers and their concentrations on the growth of ‘Orah’ (Citrus reticulata Blanco) seedlings, as well as on the mineral nutrient contents, chemical and biological properties, and microbial community of the soil. Five types of organic fertilizers and three concentrations were studied. The seedling growth indexes, leaf mineral elements, soil mineral elements, soil enzyme activity, and soil microorganisms were measured. The results showed that organic fertilization significantly increased the contents of eight mineral elements in leaves, depending on the types and concentrations used. Specifically, rapeseed cake fertilizer was found to significantly increase the content of iron (Fe), manganese (Mn), and zinc (Zn) in the leaves. Furthermore, compared with applying only chemical fertilizers or no fertilizers at all, the application of organic fertilizer significantly increased the content of soil organic matter (SOM) and several mineral elements in the soil. The bacterial species composition of soil treated with common organic fertilizer and bio-organic fertilizer, and sheep manure were similar; however, the bacterial composition was significantly different in the soil which been treated with rapeseed cake compared to these other three fertilizers. Additionally, PICRUSt function predicting indicates that the core microbial community in the rapeseed cake group could promote synthesis and the transport of sugar, iron and other substances. Organic fertilizer can change soil chemical and biological properties by affecting the core microbial community structure, and further promote accumulation of mineral elements in the leaves of citrus seedlings. Full article
Show Figures

Figure 1

30 pages, 2882 KB  
Article
Fatty Acids in Lumbricidae as Biomarkers of In Situ Metals Exposure
by Aleksandra Garbacz, Danuta Kowalczyk-Pecka and Weronika Kursa
Sustainability 2025, 17(17), 8076; https://doi.org/10.3390/su17178076 - 8 Sep 2025
Viewed by 870
Abstract
Hard coal mining activity generates post-mining waste (waste rock). Waste rock is deposited in the environment in large quantities for reclamation of agricultural land. In this study, waste rock was treated as a potential source of metal pollutants. The research material (waste rock, [...] Read more.
Hard coal mining activity generates post-mining waste (waste rock). Waste rock is deposited in the environment in large quantities for reclamation of agricultural land. In this study, waste rock was treated as a potential source of metal pollutants. The research material (waste rock, soil, plant roots, and Lumbricidae earthworms) was obtained from sites that had been reclaimed using waste rock as well as sites without waste rock. From each site, 30 individuals (n = 30) were collected, divided into five groups, 6 individuals each. Within the group, individuals were analyzed collectively. The study tested whether selected metals (Cr, Ni, Cd, Ba, Pb, Zn, and Cu) are present in waste rock and whether they can be transferred to the soil, plant root systems, and representatives of Lumbricidae, which are important bioindicators and a source of biomarkers. Particular attention was focused on the assessment of the effects of metals deposited in situ on fatty acids in representatives of Lumbricidae and on selecting a set of fatty acids that can be used as biomarkers of physiological effects, including oxidative stress. A panel of biomarker fatty acids was used, which included a panel of 17 biomarker fatty acids from 35 fatty acids analyzed. To confirm or disprove the usefulness of the biomarker fatty acid panel in earthworms, superoxide dismutase (SOD), catalase (CAT), and thiobarbituric acid reactive substances (TBARS) were determined. The study enabled an effective comparison of reference locations with locations potentially burdened with anthropogenic sediment. The results indicate that selected metals present in the waste rock are transferred to the soil, plant root systems, and soil organisms such as Lumbricidae. Selected metals affected the lipid metabolism of Lumbricidae as stressors, leading to changes in the composition and oxidation of fatty acids. The effect on the physiological state of Lumbricidae depended on the duration of the deposit and the type of use (field, meadow, wasteland) of the land with the waste rock deposit. In earthworms obtained from sites with waste rock deposits, higher contents of biomarker saturated fatty acids and biomarker monounsaturated fatty acids and lower contents of biomarker polyunsaturated fatty acids were found compared to earthworms obtained from sites without waste rock deposits. Only Pb (lead) showed a statistically significant correlation with all analyzed parameters in earthworms obtained from sites with waste rock deposits. The results have significant practical implications for environmental protection management. The proposed set of biomarker fatty acids in Lumbricidae can be used to assess the impact of pollutants and environmental monitoring. Full article
(This article belongs to the Section Hazards and Sustainability)
Show Figures

Figure 1

18 pages, 3506 KB  
Article
Correlation Study on Antibiotic Resistance and Antibacterial Activity of Soil Microorganisms in Lop Nur
by Feng Wen, Qiannan Chen, Yingying Zhao, Xiaoting Zhang, Guo Yang, Hui Jiang and Zhanfeng Xia
Microorganisms 2025, 13(9), 2076; https://doi.org/10.3390/microorganisms13092076 - 6 Sep 2025
Viewed by 716
Abstract
Lop Nur, an extremely arid environment, harbors unique microbial resources and represents a potential reservoir for novel bioactive substances. With antibiotic resistance becoming an increasing global concern, the resistance traits of microorganisms in extreme habitats and their potential association with antibacterial activity remain [...] Read more.
Lop Nur, an extremely arid environment, harbors unique microbial resources and represents a potential reservoir for novel bioactive substances. With antibiotic resistance becoming an increasing global concern, the resistance traits of microorganisms in extreme habitats and their potential association with antibacterial activity remain poorly understood. This study aimed to investigate the diversity of soil microorganisms in Lop Nur, their resistance to norfloxacin, kanamycin, and amoxicillin, and their inhibitory activity against common pathogenic bacteria, thereby providing a scientific basis for the discovery of new antibacterial candidates. Surface soils from three sampling points in Lop Nur were inoculated onto Gao’s No.1 and LB media supplemented with different antibiotic regimens (single, pairwise, and triple combinations). Isolates were identified by 16S rRNA gene sequencing, their antibiotic resistance was assessed using the disk diffusion method, and antibacterial activity was evaluated using the agar well diffusion method. A total of 120 microorganisms were isolated, belonging to six phyla and nine genera, including 10 potential new species. The control group yielded the highest diversity (35 strains), whereas only 4 strains were recovered under triple-antibiotic treatment, demonstrating the strong selective effect of antibiotic stress. Resistance profiling showed that 88.14% of strains were resistant to amoxicillin, 64.71% to norfloxacin, and 60.68% to kanamycin, with multidrug resistance being widespread. Eleven strains exhibited antibacterial activity against five pathogens, including Staphylococcus aureus (maximum inhibition zone 53.51 mm), and nine of these strains also displayed antibiotic resistance, suggesting a potential association between resistance and antibacterial activity. Microorganisms isolated from Lop Nur displayed extensive resistance and notable antibacterial activity. Antibiotic stress strongly influenced the cultivable microbial isolates, facilitating the recovery of resistant strains with antibacterial potential. These findings provide a valuable reference for exploring microbial resources in extreme environments and highlight the potential link between antibiotic resistance and antibacterial activity. Full article
(This article belongs to the Section Antimicrobial Agents and Resistance)
Show Figures

Figure 1

23 pages, 2605 KB  
Review
Microalgae: Green Engines for Achieving Carbon Sequestration, Circular Economy, and Environmental Sustainability—A Review Based on Last Ten Years of Research
by Md. Muzammal Hoque, Valeria Iannelli, Francesca Padula, Rosa Paola Radice, Biplob Kumar Saha, Giuseppe Martelli, Antonio Scopa and Marios Drosos
Bioengineering 2025, 12(9), 909; https://doi.org/10.3390/bioengineering12090909 - 25 Aug 2025
Viewed by 3075
Abstract
Feeding a growing global population requires sustainable, innovative, and cost-effective solutions, especially in light of the environmental damage and nutrient imbalances caused by excessive chemical fertilizer use. Microalgae have gained prominence due to their phylogenetic diversity, physiological adaptability, eco-compatible characteristics, and potential to [...] Read more.
Feeding a growing global population requires sustainable, innovative, and cost-effective solutions, especially in light of the environmental damage and nutrient imbalances caused by excessive chemical fertilizer use. Microalgae have gained prominence due to their phylogenetic diversity, physiological adaptability, eco-compatible characteristics, and potential to support regenerative agriculture and mitigate climate change. Functioning as biofertilizers, biostimulants, and bioremediators, microalgae accelerate nutrient cycling, improve soil aggregation through extracellular polymeric substances (EPSs), and stimulate rhizospheric microbial diversity. Empirical studies demonstrate their ability to increase crop yields by 5–25%, reduce chemical nitrogen inputs by up to 50%, and boost both organic carbon content and enzymatic activity in soils. Their application in saline and degraded lands further promotes resilience and ecological regeneration. Microalgal cultivation platforms offer scalable in situ carbon sequestration, converting atmospheric carbon dioxide (CO2) into biomass with potential downstream vaporization into biofuels, bioplastics, and biochar, aligning with circular economy principles. While the commercial viability of microalgae is challenged by high production costs, technical complexities, and regulatory gaps, recent breakthroughs in cultivation systems, biorefinery integration, and strain optimization highlight promising pathways forward. This review highlights the strategic importance of microalgae in enhancing climate resilience, promoting agricultural sustainability, restoring soil health, and driving global bioeconomic transformation. Full article
(This article belongs to the Special Issue Engineering Microalgal Systems for a Greener Future)
Show Figures

Graphical abstract

Back to TopTop