Vegetable–Mushroom Rotation Increases Morel (Morchella esculenta L.) Yields by Improving Soil Micro-Environments and Enhancing Overall Soil Quality
Abstract
1. Introduction
2. Materials and Methods
2.1. Experimental Design
2.2. Sample Collection and Index Measurement
2.2.1. Soil Sample Collection and Measurement
2.2.2. Mycelial Growth Rate, Individual Mushroom Weight, and Morel Yields
2.2.3. Soil Quality Assessment
2.3. Data Statistics and Analysis
3. Results
3.1. Soil Chemical Properties
3.2. Soil Enzyme Activity
3.3. Soil Phenolic Compounds
3.4. Soil Amino Sugars
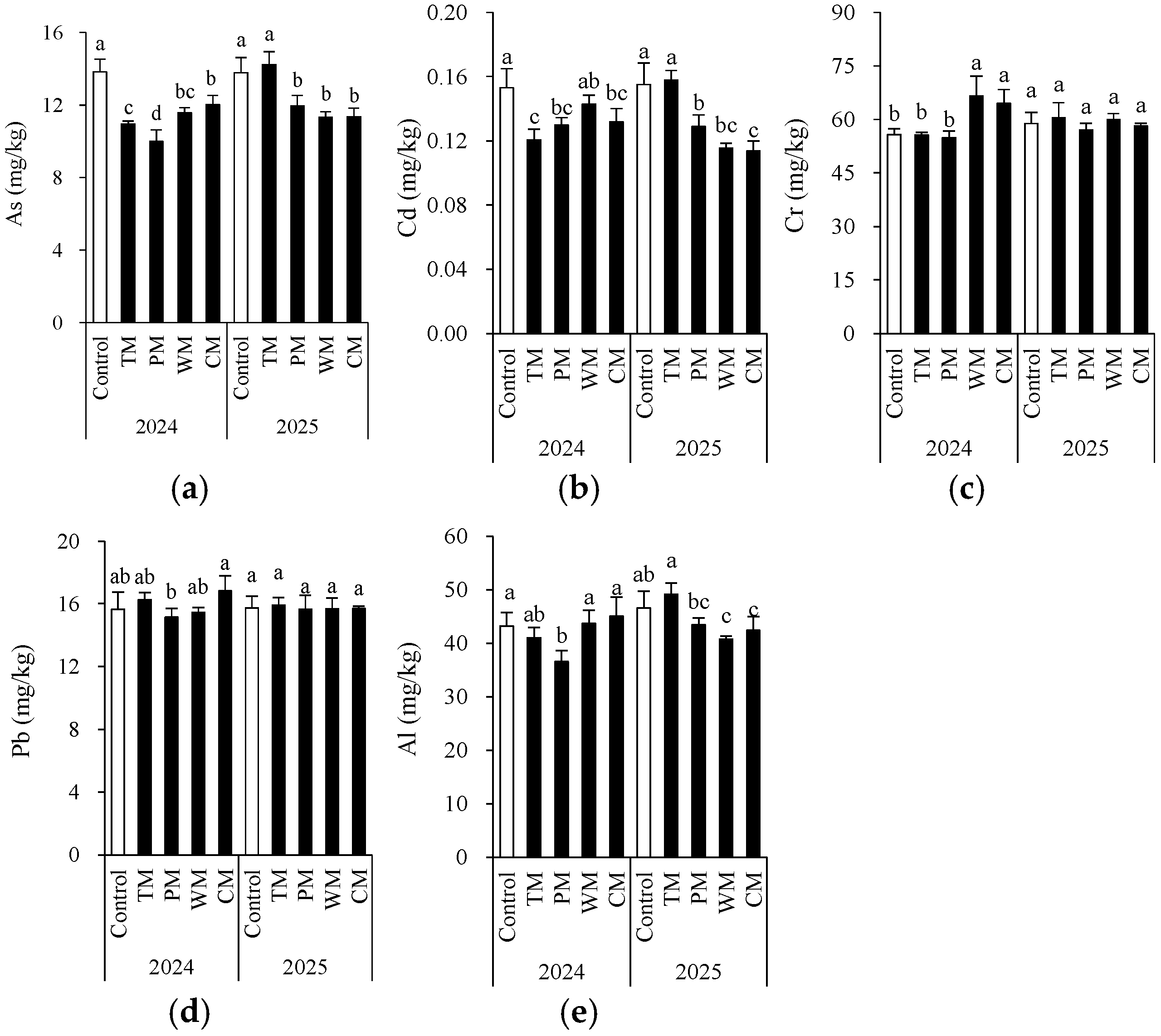
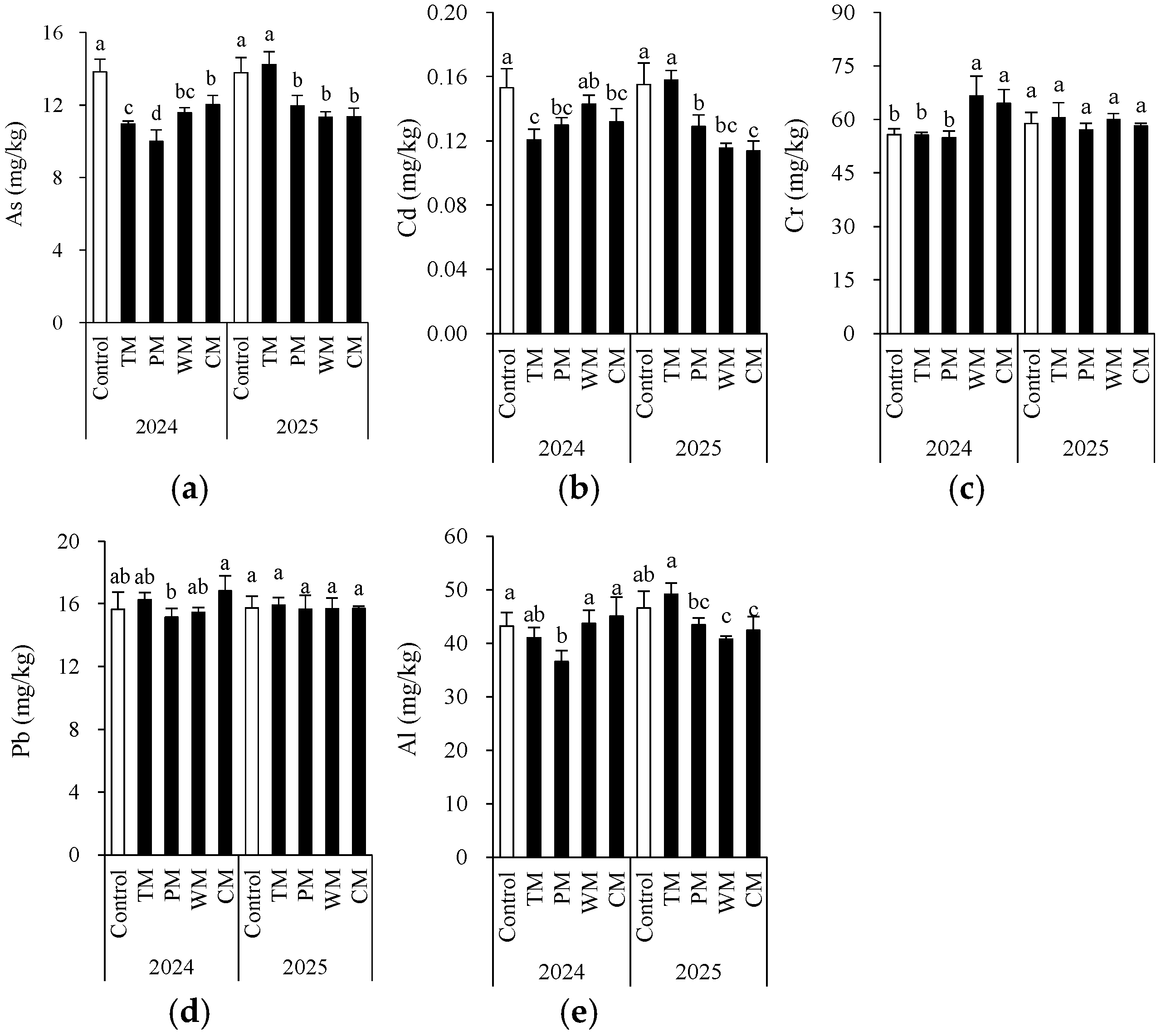
3.5. Soil Toxic Metals and Metalloids
3.6. Mycelial Growth Rate, Individual Mushroom Weight, Morel Yields, and Their Association with Soil Properties
3.7. Overall Soil Quality Index and Its Association with Morel Yields
4. Discussion
5. Conclusions
Supplementary Materials
Author Contributions
Funding
Data Availability Statement
Conflicts of Interest
References
- Sunil, C.; Xu, B. Mycochemical profile and health-promoting effects of morel mushroom Morchella esculenta (L.)—A review. Food Res. Int. 2022, 159, 111571. [Google Scholar] [CrossRef]
- Wu, H.; Chen, J.; Li, J.; Liu, Y.; Park, H.J.; Yang, L. Recent advances on bioactive ingredients of Morchella esculenta. Appl. Biochem. Biotechnol. 2021, 193, 4197–4213. [Google Scholar] [CrossRef]
- Shi, X.; Liu, D.; He, X.; Liu, W.; Yu, F. Epidemic identification of fungal diseases in Morchella cultivation across China. J. Fungi 2022, 8, 1107. [Google Scholar] [CrossRef]
- Liu, W.; He, P.; Shi, X.; Zhang, Y.; Perez-Moreno, J.; Yu, F. Large-scale field cultivation of Morchella and relevance of basic knowledge for its steady production. J. Fungi 2023, 9, 855. [Google Scholar] [CrossRef] [PubMed]
- Dong, H.; Yu, H.; Zhou, F.; Chen, H.; Chen, M.; Zhang, M.; Tang, J.; Tang, Q. Development status and trend of rare edible mushrooms industry in China. Edib. Med. Mushrooms 2024, 32, 77–83. (In Chinese) [Google Scholar]
- Xu, L.; Zhang, Y.; Li, H.; Li, J.; Xu, J. Challenges and strategies for continuous cropping of Morchella spp.: A Review. Horticulturae 2024, 10, 1288. [Google Scholar] [CrossRef]
- Liu, W.Y.; Guo, H.B.; Bi, K.X.; Lidiya, A.S.; Qi, X.J.; Yu, X.D. Determining why continuous cropping reduces the production of the morel Morchella sextelata. Front. Microbiol. 2022, 13, 903983. [Google Scholar] [CrossRef]
- Li, W.; Li, X.; Zhang, K.; Liu, J.; Wei, M.; Yang, Z.; Peng, Y.; Zhang, B. Continuous cropping obstacles in fungal production: A review of mechanisms and remedial strategies. Soil Use Manag. 2025, 41, e70014. [Google Scholar] [CrossRef]
- Osivand, A.; Araya, H.; Appiah, K.S.; Mardani, H.; Ishizaki, T.; Fujii, Y. Allelopathy of wild mushrooms—An important factor for assessing forest ecosystems in Japan. Forests 2018, 9, 773. [Google Scholar] [CrossRef]
- Yin, Q.; Chen, Z.; He, P.X.; Liu, W.; Zhang, W.Y.; Cao, X.M. Allelopathic effects of phenolic acid extracts on Morchella mushrooms, pathogenic fungus, and soil-dominant fungus uncover the mechanism of morel continuous cropping obstacle. Arch. Microbiol. 2024, 206, 55. [Google Scholar] [CrossRef]
- Zhang, Y.; Sun, S.F.; Luo, D.D.; Mao, P.; Rosazlina, R.; Martin, F.M.; Xu, L.L. Decline in morel production upon continuous cropping is related to changes in soil mycobiome. J. Fungi 2023, 9, 492. [Google Scholar] [CrossRef] [PubMed]
- Wang, Y.W.; Li, S.J.; Wang, L.Z.; Zhao, Q.; Bai, M.Q.; Naicker, O.; Li, Q.; Zhang, C.L. Cobweb disease on Morchella sextelata caused by Hypomyces spp. in Sichuan province, China. Crop Prot. 2024, 180, 106656. [Google Scholar] [CrossRef]
- Dury, J.; Schaller, N.; Garcia, F.; Reynaud, A.; Bergez, J.E. Models to support cropping plan and crop rotation decisions. A review. Agron. Sustain. Dev. 2012, 32, 567–580. [Google Scholar] [CrossRef]
- Shah, K.K.; Modi, B.; Pandey, H.P.; Subedi, A.; Aryal, G.; Pandey, M.; Shrestha, J. Diversified crop rotation: An approach for sustainable agriculture production. Adv. Agric. 2021, 2021, 8924087. [Google Scholar] [CrossRef]
- Su, D.W.; Song, F.F.; Luo, H.L.; Lin, H.; Lin, D.M.; Liu, P.H.; Lin, X.S.; Lin, Z.X.; Zhang, L.L.; Lu, G.D. Effect of different rotation systems on production and quality of black morel (Morchella importuna). Agronomy 2022, 12, 1744. [Google Scholar] [CrossRef]
- Sparks, D.L.; Page, A.L.; Helmke, P.A.; Loeppert, R.H.; Soltanpour, P.N.; Tabatabai, M.A.; Johnston, C.T.; Sumner, M.E. Methods of Soil Analysis, Part 3–Chemical Methods; Soil Science Society of America Inc.: Madison, WI, USA, 1996; pp. 961–1010. [Google Scholar]
- Tian, Y.; Zhang, X.; Wang, J.; Gao, L. Soil microbial communities associated with the rhizosphere of cucumber under different summer cover crops and residue management: A 4-year field experiment. Sci. Hortic. 2013, 150, 100–109. [Google Scholar] [CrossRef]
- Jesmin, T.; Margenot, A.J.; Mulvaney, R.L. A comprehensive method for casein-based assay of soil protease activity. Commun. Soil Sci. Plant Anal. 2022, 53, 507–520. [Google Scholar] [CrossRef]
- Li, J.; Huang, Y.; Chen, L.; Gao, S.; Zhang, J.; Zhang, D. Understory plant diversity and phenolic allelochemicals across a range of Eucalyptus grandis plantation ages. J. For. Res. 2023, 34, 1577–1590. [Google Scholar] [CrossRef]
- Joergensen, R.G. Amino sugars as specific indices for fungal and bacterial residues in soil. Biol. Fertil. of Soils 2018, 54, 559–568. [Google Scholar] [CrossRef]
- Zhang, X.; Amelung, W. Gas chromatographic determination of muramic acid, glucosamine, mannosamine, and galactosamine in soils. Soil Biol. Biochem. 1996, 28, 1201–1206. [Google Scholar] [CrossRef]
- Tian, Y.; Chen, L.; Gao, L.; Michel, F.C., Jr.; Wan, C.; Li, Y.; Dick, W.A. Composting of waste paint sludge containing melamine resin as affected by nutrients and gypsum addition and microbial inoculation. Environ. Pollut. 2012, 162, 129–137. [Google Scholar] [CrossRef] [PubMed]
- Song, M.; Chen, Q.; Li, X.; Gao, L.; Tian, Y. Carbon-rich amendments increase soil ecosystem multifunctionality and cucumber yields under different soil conditions. Soil Till. Res. 2026, 255, 106813. [Google Scholar] [CrossRef]
- Zheng, X.; Wei, L.; Lv, W.; Zhang, H.; Zhang, Y.; Zhang, H.; Zhang, H.; Zhu, Z.; Ge, T.; Zhang, W. Long-term bioorganic and organic fertilization improved soil quality and multifunctionality under continuous cropping in watermelon. Agric. Ecosyst. Environ. 2024, 359, 108721. [Google Scholar] [CrossRef]
- Kuzyakov, Y.; Gunina, A.; Zamanian, K.; Tian, J.; Luo, Y.; Xu, X.; Yudina, A.; Aponte, H.; Alharbi, H.; Ovsepyan, L.; et al. New approaches for evaluation of soil health, sensitivity and resistance to degradation. Front. Agric. Sci. Eng. 2020, 7, 282–288. [Google Scholar] [CrossRef]
- GB 15618-2018; Soil Environment Quality-Risk Control Standard for Soil Contamination of Agriculture Land. The Ministry of Ecology and Environment and the State Administration for Market Regulation: Beijing, China, 2018.
- Wang, X.Y.; Duan, Y.; Zhang, J.; Ciampitti, I.A.; Cui, J.W.; Qiu, S.J.; Xu, X.P.; Zhao, S.C.; He, P. Response of potato yield, soil chemical and microbial properties to different rotation sequences of green manure-potato cropping in North China. Soil Till. Res. 2022, 217, 105273. [Google Scholar] [CrossRef]
- Jalli, M.; Huusela, E.; Jalli, H.; Kauppi, K.; Niemi, M.; Himanen, S.; Jauhiainen, L. Effects of crop rotation on spring wheat yield and pest occurrence in different tillage systems: A multi-year experiment in Finnish growing conditions. Front. Sustain. Food Syst. 2021, 5, 647335. [Google Scholar] [CrossRef]
- Li, Z.; Lian, D.; Zhang, S.; Yao, Y.; Lin, B.; Hong, J.; Wu, S.; Li, H. Continuous cropping duration alters green pepper root exudate composition and triggers rhizosphere feedback inhibition. Agronomy 2025, 15, 2010. [Google Scholar] [CrossRef]
- Dixon, M.; Simonne, E.; Obreza, T.; Liu, G. Crop response to low phosphorus bioavailability with a focus on tomato. Agronomy 2020, 10, 617. [Google Scholar] [CrossRef]
- Kim, Y.S.; Kim, K.H.; Jeong, T.G.; Han, J.W.; Kim, I.J.; Kim, T.I.; Kim, Y.H.; Song, Y.S. Effect of cultivation of rotation crops on soil physico-chemical properties and yield of watermelon in greenhouse. Korean J. Soil Sci. Fertil. 2021, 54, 193–203. [Google Scholar] [CrossRef]
- Borase, D.N.; Nath, C.P.; Hazra, K.K.; Senthilkumar, M.; Singh, S.S.; Praharaj, C.S.; Singh, U.; Kumar, N. Long-term impact of diversified crop rotations and nutrient management practices on soil microbial functions and soil enzymes activity. Ecol. Indic. 2020, 114, 106322. [Google Scholar] [CrossRef]
- Zhang, P.; Xia, L.; Sun, Y.; Gao, S. Soil nutrients and enzyme activities based on millet continuous cropping obstacles. Sci. Rep. 2024, 14, 17329. [Google Scholar] [CrossRef]
- Zhang, B.; Li, Y.; Ren, T.; Tian, Z.; Wang, G.; He, X.; Tian, C. Short-term effect of tillage and crop rotation on microbial community structure and enzyme activities of a clay loam soil. Biol. Fertil. Soils 2014, 50, 1077–1085. [Google Scholar] [CrossRef]
- Yin, Q.; Zhang, W.; Shi, H.; He, P.; Zhang, F.; Zhang, J.; Li, B.; Shi, X.; Yu, F. Identification of allelochemicals under continuous cropping of Morchella mushrooms. Sci. Rep. 2024, 14, 31207. [Google Scholar] [CrossRef]
- Xu, L.; Wang, X. A Comprehensive Review of Phenolic Compounds in Horticultural Plants. Int. J. Mol. Sci. 2025, 26, 5767. [Google Scholar] [CrossRef] [PubMed]
- Jin, X.; Wu, F.; Zhou, X. Different toxic effects of ferulic and p-hydroxybenzoic acids on cucumber seedling growth were related to their different influences on rhizosphere microbial composition. Biol. Fertil. Soils 2020, 56, 125–136. [Google Scholar] [CrossRef]
- Jia, H.T.; Chen, S.C.; Yang, S.Y.; Shen, Y.H.; Qiao, P.L.; Wu, F.Z.; Zhou, X.G. Effects of vanillin on cucumber rhizosphere bacterial community. Allelopath. J. 2018, 44, 191–200. [Google Scholar] [CrossRef]









| Soil Properties | Coefficient (r) | Soil Properties | Coefficient (r) | Soil Properties | Coefficient (r) |
|---|---|---|---|---|---|
| pH | −0.216 | Al | −0.477 ** | Protocatechuic aldehyde | 0.007 |
| Electrical conductivity | −0.405 * | Cr | −0.049 | Syringaldehyde | 0.103 |
| Organic matter | 0.570 *** | Pb | 0.067 | Sinapic acid | −0.364 * |
| Ammonium N | −0.336 | Syringic acid | −0.151 | Kaempferol | 0.038 |
| Nitrate N | −0.076 | Ferulic acid | 0.116 | Epicatechin | 0.203 |
| Available P | 0.544 ** | Quinic acid | 0.061 | Catechin | 0.080 |
| Available K | −0.249 | Caffeic acid | −0.274 | Chlorogenic acid | −0.152 |
| Urease | −0.149 | Gallic acid | 0.269 | Rutin | −0.236 |
| Sucrose | −0.062 | Phthalic acid | −0.431 * | Vanillic acid | −0.101 |
| Alkaline phosphatase | 0.425 * | Protocatechuic acid | −0.317 | Oleanolic acid | −0.068 |
| Catalase | −0.496 ** | p-Coumaric acid | 0.308 | Vanillin | 0.714 *** |
| Polyphenol oxidase | 0.533 ** | o-Coumaric acid | −0.060 | Glucosamine | 0.600 *** |
| Alkaline protease | −0.462 * | Catechol | 0.030 | Manosamine | 0.526 ** |
| As | −0.561 *** | Benzoic acid | −0.446 * | Galactosamine | 0.152 |
| Cd | −0.188 | p-Hydroxybenzoic acid | 0.004 |
Disclaimer/Publisher’s Note: The statements, opinions and data contained in all publications are solely those of the individual author(s) and contributor(s) and not of MDPI and/or the editor(s). MDPI and/or the editor(s) disclaim responsibility for any injury to people or property resulting from any ideas, methods, instructions or products referred to in the content. |
© 2025 by the authors. Licensee MDPI, Basel, Switzerland. This article is an open access article distributed under the terms and conditions of the Creative Commons Attribution (CC BY) license (https://creativecommons.org/licenses/by/4.0/).
Share and Cite
Zhang, L.; Si, B.; Lv, M.; Zhu, Q.; Du, H.; Ma, W.; Qu, J. Vegetable–Mushroom Rotation Increases Morel (Morchella esculenta L.) Yields by Improving Soil Micro-Environments and Enhancing Overall Soil Quality. Plants 2025, 14, 3317. https://doi.org/10.3390/plants14213317
Zhang L, Si B, Lv M, Zhu Q, Du H, Ma W, Qu J. Vegetable–Mushroom Rotation Increases Morel (Morchella esculenta L.) Yields by Improving Soil Micro-Environments and Enhancing Overall Soil Quality. Plants. 2025; 14(21):3317. https://doi.org/10.3390/plants14213317
Chicago/Turabian StyleZhang, Lijuan, Baohua Si, Minghao Lv, Qiannan Zhu, Han Du, Wenshu Ma, and Jisong Qu. 2025. "Vegetable–Mushroom Rotation Increases Morel (Morchella esculenta L.) Yields by Improving Soil Micro-Environments and Enhancing Overall Soil Quality" Plants 14, no. 21: 3317. https://doi.org/10.3390/plants14213317
APA StyleZhang, L., Si, B., Lv, M., Zhu, Q., Du, H., Ma, W., & Qu, J. (2025). Vegetable–Mushroom Rotation Increases Morel (Morchella esculenta L.) Yields by Improving Soil Micro-Environments and Enhancing Overall Soil Quality. Plants, 14(21), 3317. https://doi.org/10.3390/plants14213317
