Effects of Ether Perfluoro Carboxyl Acids (PFECAs) on Innate Immunity in Earthworms (Eisenia fetida)
Abstract
1. Introduction
2. Materials and Methods
2.1. Compounds
2.2. Experimental Setup
2.3. Amoebocytes Morphometric Analysis
2.4. Oxidative Burst Assay
2.5. Phenol Oxidase (PO) Assay
2.6. Gene Expression Analysis
2.7. Statistical Analysis
3. Results
3.1. Morphometric Alteration Results
3.2. Oxidative Burst Assay Results
3.3. Phenol Oxidase Assay (PO) Results
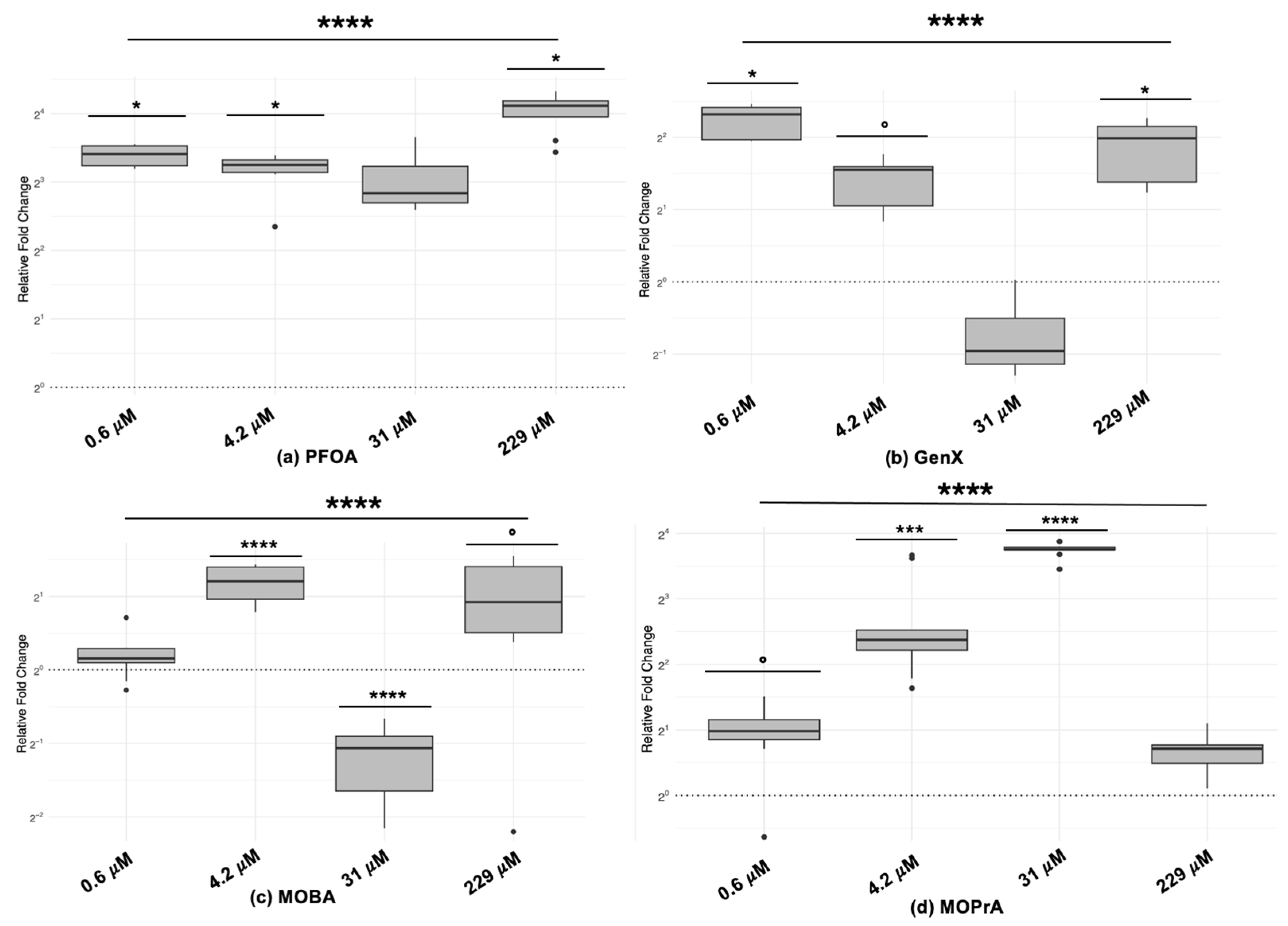
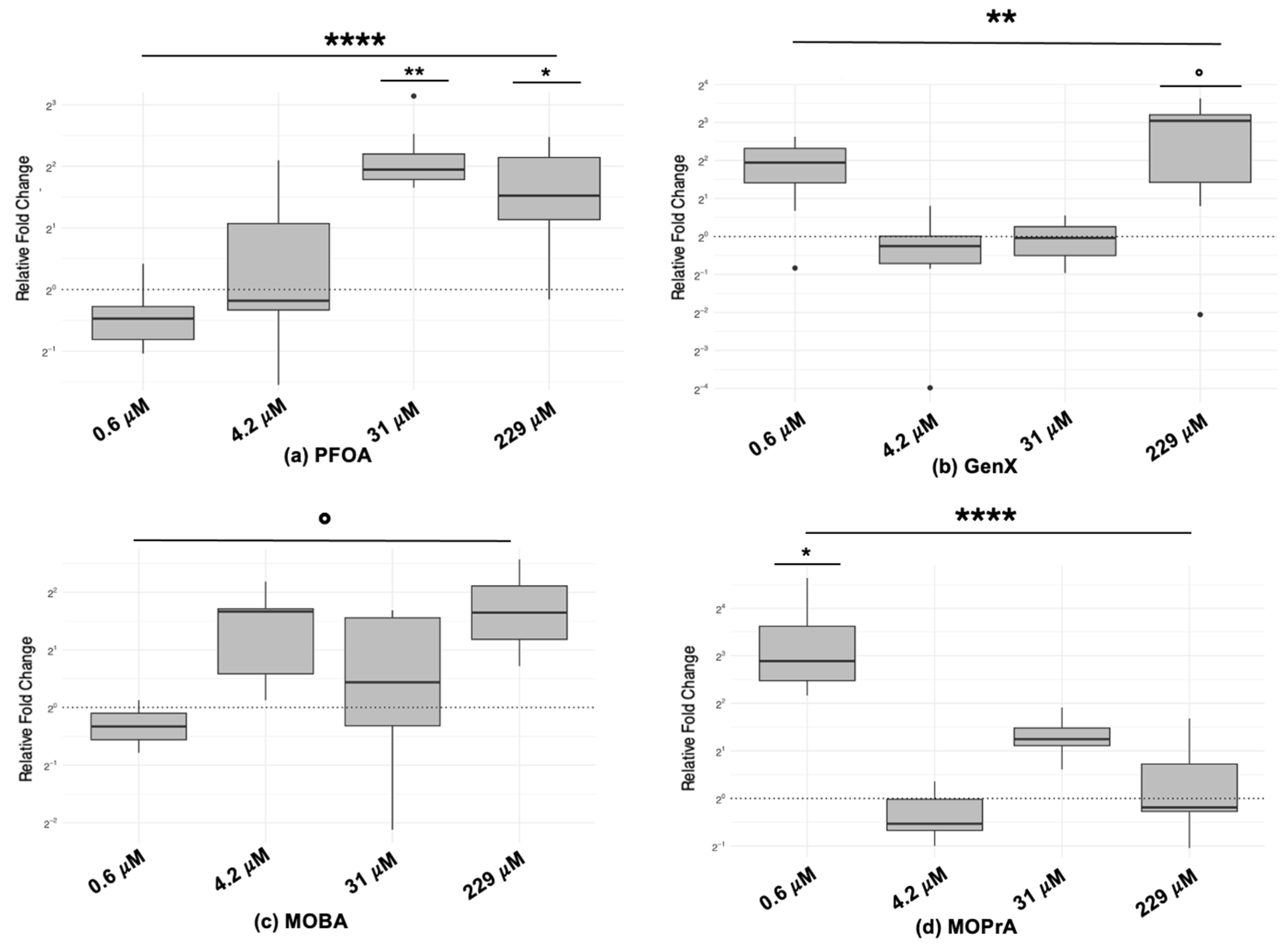
3.4. q-PCR Results
4. Discussion
4.1. Amoebocyte Enlargement as an Early Sentinel of Immune Stress
4.2. Oxidative Burst Suppression and Antioxidant Countermeasures
4.3. Phenol Oxidase Inhibition: Convergence of Humoral and Cellular Immunity
4.4. Transcriptional Compensation and Thresholds
4.5. Integrated Mode of Action Framework
4.6. Ecological Relevance, Knowledge Gaps, and Future Perspectives
5. Conclusions
Author Contributions
Funding
Data Availability Statement
Acknowledgments
Conflicts of Interest
References
- Mishra, R.K.; Mentha, S.S.; Misra, Y.; Dwivedi, N. Emerging pollutants of severe environmental concern in water and wastewater: A comprehensive review on current developments and future research. Water-Energy Nexus 2023, 6, 74–95. [Google Scholar] [CrossRef]
- Androulakakis, A.; Alygizakis, N.; Gkotsis, G.; Nika, M.C.; Nikolopoulou, V.; Bizani, E.; Chadwick, E.; Cincinelli, A.; Claßen, D.; Danielsson, S.; et al. Determination of 56 per- and polyfluoroalkyl substances in top predators and their prey from Northern Europe by LC-MS/MS. Chemosphere 2022, 287, 131775. [Google Scholar] [CrossRef]
- Meegoda, J.N.; Kewalramani, J.A.; Li, B.; Marsh, R.W. A Review of the Applications, Environmental Release, and Remediation Technologies of Per- and Polyfluoroalkyl Substances. Int. J. Environ. Res. Public Health 2020, 17, 8117. [Google Scholar] [CrossRef]
- Wang, Y.; Munir, U.; Huang, Q. Occurrence of per- and polyfluoroalkyl substances (PFAS) in soil: Sources, fate, and remediation. Soil Environ. Health 2023, 1, 100004. [Google Scholar] [CrossRef]
- O’Hagan, D. Understanding organofluorine chemistry. An introduction to the C–F bond. Chem. Soc. Rev. 2008, 37, 308–319. [Google Scholar] [CrossRef]
- Brase, R.A.; Mullin, E.J.; Spink, D.C. Legacy and Emerging Per- and Polyfluoroalkyl Substances: Analytical Techniques, Environmental Fate, and Health Effects. Int. J. Mol. Sci. 2021, 22, 995. [Google Scholar] [CrossRef] [PubMed]
- Panieri, E.; Baralic, K.; Djukic-Cosic, D.; Buha Djordjevic, A.; Saso, L. PFAS Molecules: A Major Concern for the Human Health and the Environment. Toxics 2022, 10, 44. [Google Scholar] [CrossRef]
- Xiao, F. Emerging poly- and perfluoroalkyl substances in the aquatic environment: A review of current literature. Water Res. 2017, 124, 482–495. [Google Scholar] [CrossRef]
- Van Asselt, E.D.; Rietra, R.P.J.J.; Römkens, P.F.A.M.; Van Der Fels-Klerx, H.J. Perfluorooctane sulphonate (PFOS) throughout the food production chain. Food Chem. 2011, 128, 1–6. [Google Scholar] [CrossRef] [PubMed]
- Fromme, H.; Tittlemier, S.A.; Völkel, W.; Wilhelm, M.; Twardella, D. Perfluorinated compounds—Exposure assessment for the general population in western countries. Int. J. Hyg. Environ. Health 2009, 212, 239–270. [Google Scholar] [CrossRef]
- Brusseau, M.L.; Anderson, R.H.; Guo, B. PFAS concentrations in soils: Background levels versus contaminated sites. Sci. Total Environ. 2020, 740, 140017. [Google Scholar] [CrossRef]
- Anthony, M.A.; Bender, S.F.; Van Der Heijden, M.G.A. Enumerating soil biodiversity. Proc. Natl. Acad. Sci. USA 2023, 120, e2304663120. [Google Scholar] [CrossRef] [PubMed]
- Calisi, A.; Semeraro, T.; Giordano, M.E.; Dondero, F.; Lionetto, M.G. Earthworms multi-biomarker approach for ecotoxicological assessment of soils irrigated with reused treated wastewater. Appl. Soil Ecol. 2025, 206, 105866. [Google Scholar] [CrossRef]
- Giulia, M.; Calisi, A.; Schettino, T. Earthworm Biomarkers as Tools for Soil Pollution Assessment. In Soil Health and Land Use Management; Hernandez Soriano, M.C., Ed.; InTech: Vienna, Austria, 2012; Available online: http://www.intechopen.com/books/soil-health-and-land-use-management/earthworm-biomarkers-as-tools-for-soil-pollution-assessment (accessed on 7 October 2025).
- Xiao, R.; Ali, A.; Xu, Y.; Abdelrahman, H.; Li, R.; Lin, Y.; Bolan, N.; Shaheen, S.M.; Rinklebe, J.; Zhang, Z. Earthworms as candidates for remediation of potentially toxic elements contaminated soils and mitigating the environmental and human health risks: A review. Environ. Int. 2022, 158, 106924. [Google Scholar] [CrossRef]
- Ouellet, G.; Lapen, D.R.; Topp, E.; Sawada, M.; Edwards, M. A heuristic model to predict earthworm biomass in agroecosystems based on selected management and soil properties. Appl. Soil Ecol. 2008, 39, 35–45. [Google Scholar] [CrossRef]
- Fründ, H.C.; Graefe, U.; Tischer, S. Earthworms as Bioindicators of Soil Quality. In Biology of Earthworms; Karaca, A., Ed.; Soil Biology; Springer: Berlin/Heidelberg, Germany, 2011; Volume 24, pp. 261–278. [Google Scholar] [CrossRef]
- Vig, A.P. (Ed.) Earthworm Engineering and Applications; Life Sciences Research and Development; Nova Science Publishers: New York, NY, USA, 2022; 270p. [Google Scholar]
- Engelmann, P.; Hayashi, Y.; Bodó, K.; Ernszt, D.; Somogyi, I.; Steib, A.; Orbán, J.; Pollák, E.; Nyitrai, M.; Németh, P.; et al. Phenotypic and functional characterization of earthworm coelomocyte subsets: Linking light scatter-based cell typing and imaging of the sorted populations. Dev. Comp. Immunol. 2016, 65, 41–52. [Google Scholar] [CrossRef]
- Alesci, A.; Capillo, G.; Fumia, A.; Albano, M.; Messina, E.; Spanò, N.; Pergolizzi, S.; Lauriano, E.R. Coelomocytes of the Oligochaeta earthworm Lumbricus terrestris (Linnaeus, 1758) as evolutionary key of defense: A morphological study. Zool. Lett. 2023, 9, 5. [Google Scholar] [CrossRef] [PubMed]
- Rotondo, D.; Gualandris, D.; Lorusso, C.; Braeuning, A.; Calisi, A.; Dondero, F. Impact of Short-Chain Perfluoropropylene Oxide Acids on Biochemical and Behavioural Parameters in Eisenia fetida (Savigny, 1826). J. Xenobiotics 2024, 15, 2. [Google Scholar] [CrossRef] [PubMed]
- Sun, M.; Arevalo, E.; Strynar, M.; Lindstrom, A.; Richardson, M.; Kearns, B.; Pickett, A.; Smith, C.; Knappe, D.R. Legacy and Emerging Perfluoroalkyl Substances Are Important Drinking Water Contaminants in the Cape Fear River Watershed of North Carolina. Environ. Sci. Technol. Lett. 2016, 3, 415–419. [Google Scholar] [CrossRef]
- Calisi, A.; Baranzini, N.; Marcolli, G.; Bon, C.; Rotondo, D.; Gualandris, D.; Pulze, L.; Grimaldi, A.; Dondero, F. Evaluation of per- and polyfluoroalkyl substances (PFAS) toxic effects on the acute inflammatory response in the medicinal leech Hirudo verbana. Chemosphere 2024, 366, 143519. [Google Scholar] [CrossRef]
- OECD Test No. 207: Earthworm, Acute Toxicity Tests [Internet]. OECD; 1984. (OECD Guidelines for the Testing of Chemicals, Section 2). Available online: https://www.oecd.org/en/publications/test-no-207-earthworm-acute-toxicity-tests_9789264070042-en.html (accessed on 6 August 2025).
- Josková, R.; Šilerová, M.; Procházková, P.; Bilej, M. Identification and cloning of an invertebrate-type lysozyme from Eisenia andrei. Dev. Comp. Immunol. 2009, 33, 932–938. [Google Scholar] [CrossRef] [PubMed]
- Calisi, A.; Lionetto, M.G.; Schettino, T. Pollutant-induced alterations of granulocyte morphology in the earthworm Eisenia foetida. Ecotoxicol. Environ. Saf. 2009, 72, 1369–1377. [Google Scholar] [CrossRef] [PubMed]
- Szychowski, K.A.; Rybczyńska-Tkaczyk, K.; Leja, M.L.; Wójtowicz, A.K.; Gmiński, J. Tetrabromobisphenol A (TBBPA)-stimulated reactive oxygen species (ROS) production in cell-free model using the 2′,7′-dichlorodihydrofluorescein diacetate (H2DCFDA) assay—Limitations of method. Environ. Sci. Pollut. Res. 2016, 23, 12246–12252. [Google Scholar] [CrossRef]
- Procházková, P.; Šilerová, M.; Stijlemans, B.; Dieu, M.; Halada, P.; Josková, R.; Beschin, A.; De Baetselier, P.; Bilej, M. Evidence for proteins involved in prophenoloxidase cascade Eisenia fetida earthworms. J. Comp. Physiol. B 2006, 176, 581–587. [Google Scholar] [CrossRef]
- Shi, X.; Liu, X.; Wang, Q.; Das, A.; Ma, G.; Xu, L.; Sun, Q.; Peddireddi, L.; Jia, W.; Liu, Y.; et al. A multiplex real-time PCR panel assay for simultaneous detection and differentiation of 12 common swine viruses. J. Virol. Methods 2016, 236, 258–265. [Google Scholar] [CrossRef]
- Livak, K.J.; Schmittgen, T.D. Analysis of Relative Gene Expression Data Using Real-Time Quantitative PCR and the 2−ΔΔCT Method. Methods 2001, 25, 402–408. [Google Scholar] [CrossRef]
- Chen, Y.; Junger, W.G. Measurement of Oxidative Burst in Neutrophils. In Leucocytes; Ashman, R.B., Ed.; Methods in Molecular Biology; Humana Press: Totowa, NJ, USA, 2012; Volume 844, pp. 115–124. [Google Scholar] [CrossRef]
- González-Santoyo, I.; Córdoba-Aguilar, A. Phenoloxidase: A key component of the insect immune system. Entomol. Exp. Appl. 2012, 142, 1–16. [Google Scholar] [CrossRef]
- Gaballah, S.; Swank, A.; Sobus, J.R.; Howey, X.M.; Schmid, J.; Catron, T.; McCord, J.; Hines, E.; Strynar, M.; Tal, T. Evaluation of Developmental Toxicity, Developmental Neurotoxicity, and Tissue Dose in Zebrafish Exposed to GenX and Other PFAS. Environ. Health Perspect. 2020, 128, 047005. [Google Scholar] [CrossRef]
- Von Holst, H.; Nayak, P.; Dembek, Z.; Buehler, S.; Echeverria, D.; Fallacara, D.; John, L. Perfluoroalkyl substances exposure and immunity, allergic response, infection, and asthma in children: Review of epidemiologic studies. Heliyon 2021, 7, e08160. [Google Scholar] [CrossRef]
- Homa, J. Earthworm coelomocyte extracellular traps: Structural and functional similarities with neutrophil NETs. Cell Tissue Res. 2018, 371, 407–414. [Google Scholar] [CrossRef] [PubMed]
- Cerenius, L.; Söderhäll, K. The prophenoloxidase-activating system in invertebrates. Immunol. Rev. 2004, 198, 116–126. [Google Scholar] [CrossRef] [PubMed]
- Beschin, A.; Bilej, M.; Hanssens, F.; Raymakers, J.; Van Dyck, E.; Revets, H.; Brys, L.; Gomez, J.; De Baetselier, P.; Timmermans, M. Identification and Cloning of a Glucan- and Lipopolysaccharide-binding Protein from Eisenia foetidaearthworm Involved in the Activation of Prophenoloxidase Cascade. J. Biol. Chem. 1998, 273, 24948–24954. [Google Scholar] [CrossRef]
- Bilej, M.; Joskova, R.; Van Den Bergh, R.; Prochazkova, P.; Silerova, M.; Ameloot, P.; De Baetselier, P.; Beschin, A. An invertebrate TNF functional analogue activates macrophages via lectin-saccharide interaction with ion channels. Int. Immunol. 2006, 18, 1663–1670. [Google Scholar] [CrossRef]
- Kobayashi, H.; Ohta, N.; Umeda, M. Biology of Lysenin, a Protein in the Coelomic Fluid of the Earthworm Eisenia foetida. Int. Rev. Cytol. 2004, 236, 45–99. [Google Scholar] [CrossRef]
- Opper, B.; Bognár, A.; Heidt, D.; Németh, P.; Engelmann, P. Revising lysenin expression of earthworm coelomocytes. Dev. Comp. Immunol. 2013, 39, 214–218. [Google Scholar] [CrossRef]
- Ginzberg, M.B.; Kafri, R.; Kirschner, M. On being the right (cell) size. Science 2015, 348, 1245075. [Google Scholar] [CrossRef]
- Glazier, D.S. How Metabolic Rate Relates to Cell Size. Biology 2022, 11, 1106. [Google Scholar] [CrossRef] [PubMed]
- Mantovani, A.; Cassatella, M.A.; Costantini, C.; Jaillon, S. Neutrophils in the activation and regulation of innate and adaptive immunity. Nat. Rev. Immunol. 2011, 11, 519–531. [Google Scholar] [CrossRef] [PubMed]
- Calisi, A.; Giordano, M.E.; Dondero, F.; Maisano, M.; Fasulo, S.; Lionetto, M.G. Morphological and functional alterations in hemocytes of Mytilus galloprovincialis exposed in high-impact anthropogenic sites. Mar. Environ. Res. 2023, 188, 105988. [Google Scholar] [CrossRef]
- Valembois, P.; Lassègues, M. In vitro generation of reactive oxygen species by free coelomic cells of the annelid Eisenia fetida andrer: An analysis by chemiluminescence and nitro blue tetrazolium reduction. Dev. Comp. Immunol. 1995, 19, 195–204. [Google Scholar] [CrossRef]
- Homa, J.; Stalmach, M.; Wilczek, G.; Kolaczkowska, E. Effective activation of antioxidant system by immune-relevant factors reversely correlates with apoptosis of Eisenia andrei coelomocytes. J. Comp. Physiol. B 2016, 186, 417–430. [Google Scholar] [CrossRef]
- Yang, Y.D.; Lu, N.; Tian, R. The interaction of perfluorooctane sulfonate with hemoproteins and its relevance to molecular toxicology. Int. J. Biol. Macromol. 2024, 254, 128069. [Google Scholar] [CrossRef] [PubMed]
- Homa, J.; Zorska, A.; Wesolowski, D.; Chadzinska, M. Dermal exposure to immunostimulants induces changes in activity and proliferation of coelomocytes of Eisenia andrei. J. Comp. Physiol. B 2013, 183, 313–322. [Google Scholar] [CrossRef] [PubMed]
- Livingston, G.; Huntley, J.; Liu, K.Y.; Costafreda, S.G.; Selbæk, G.; Alladi, S.; Ames, D.; Banerjee, S.; Burns, A.; Brayne, C.; et al. Dementia prevention, intervention, and care: 2024 report of the Lancet standing Commission. Lancet 2024, 404, 572–628. [Google Scholar] [CrossRef]
- Lu, A.; Zhang, Q.; Zhang, J.; Yang, B.; Wu, K.; Xie, W.; Luan, Y.X.; Ling, E. Insect prophenoloxidase: The view beyond immunity. Front. Physiol. 2014, 5, 252. [Google Scholar] [CrossRef]
- Cheng, W.; Doering, J.A.; LaLone, C.; Ng, C. Integrative Computational Approaches to Inform Relative Bioaccumulation Potential of Per- and Polyfluoroalkyl Substances Across Species. Toxicol. Sci. 2021, 180, 212–223. [Google Scholar] [CrossRef]
- Rajak, P.; Ganguly, A. The ligand-docking approach explores the binding affinity of PFOS and PFOA for major endogenous antioxidants: A potential mechanism to fuel oxidative stress. Sustain. Chem. Environ. 2023, 4, 100047. [Google Scholar] [CrossRef]
- Nappi, A.J.; Christensen, B.M. Melanogenesis and associated cytotoxic reactions: Applications to insect innate immunity. Insect Biochem. Mol. Biol. 2005, 35, 443–459. [Google Scholar] [CrossRef]
- Ghosh, S. Environmental pollutants, pathogens and immune system in earthworms. Environ. Sci. Pollut. Res. 2018, 25, 6196–6208. [Google Scholar] [CrossRef] [PubMed]





| NCBI ID | Sequence (5′–3′) |
|---|---|
| AF030028.1 CCF-1_F | AGAACCAGGCTCTGCTCGAT |
| AF030028.1 CCF-1_R | GATTGATGCAACCGTCCGGG |
| AF030028.1 CCF-1_PROBE | AGCCGTTCGTTCCTCCGACAGCC |
| D85846.1 Lysenin_F | CAATAAGTCATTGCCTCTTCGTCA |
| D85846.1 Lysenin_R | TGTCCAGACAGIACACGITTGT |
| D85846.1 Lysenin_ PROBE | CCGGTCCATCATCGTAGCACAGCC |
| X79872.1 18S_F | CCTTTAACGAGGATCAATTGGAGG |
| X79872.1 18S_R | AGTATACGCTATTGGAGCTGGAAT |
| X79872.1 18S_PROBE | CAAGTCTGGTGCCAGCAGCCGC |
Disclaimer/Publisher’s Note: The statements, opinions and data contained in all publications are solely those of the individual author(s) and contributor(s) and not of MDPI and/or the editor(s). MDPI and/or the editor(s) disclaim responsibility for any injury to people or property resulting from any ideas, methods, instructions or products referred to in the content. |
© 2025 by the authors. Licensee MDPI, Basel, Switzerland. This article is an open access article distributed under the terms and conditions of the Creative Commons Attribution (CC BY) license (https://creativecommons.org/licenses/by/4.0/).
Share and Cite
Gualandris, D.; Rotondo, D.; Lorusso, C.; Audrito, V.; Calisi, A.; Dondero, F. Effects of Ether Perfluoro Carboxyl Acids (PFECAs) on Innate Immunity in Earthworms (Eisenia fetida). Environments 2025, 12, 430. https://doi.org/10.3390/environments12110430
Gualandris D, Rotondo D, Lorusso C, Audrito V, Calisi A, Dondero F. Effects of Ether Perfluoro Carboxyl Acids (PFECAs) on Innate Immunity in Earthworms (Eisenia fetida). Environments. 2025; 12(11):430. https://doi.org/10.3390/environments12110430
Chicago/Turabian StyleGualandris, Davide, Davide Rotondo, Candida Lorusso, Valentina Audrito, Antonio Calisi, and Francesco Dondero. 2025. "Effects of Ether Perfluoro Carboxyl Acids (PFECAs) on Innate Immunity in Earthworms (Eisenia fetida)" Environments 12, no. 11: 430. https://doi.org/10.3390/environments12110430
APA StyleGualandris, D., Rotondo, D., Lorusso, C., Audrito, V., Calisi, A., & Dondero, F. (2025). Effects of Ether Perfluoro Carboxyl Acids (PFECAs) on Innate Immunity in Earthworms (Eisenia fetida). Environments, 12(11), 430. https://doi.org/10.3390/environments12110430

