Sign in to use this feature.

Years

Between: -

Subjects

remove_circle_outline
remove_circle_outline
remove_circle_outline
remove_circle_outline
remove_circle_outline
remove_circle_outline
remove_circle_outline
remove_circle_outline
remove_circle_outline

Journals

remove_circle_outline
remove_circle_outline
remove_circle_outline
remove_circle_outline
remove_circle_outline
remove_circle_outline
remove_circle_outline
remove_circle_outline
remove_circle_outline
remove_circle_outline
remove_circle_outline

Article Types

Countries / Regions

remove_circle_outline
remove_circle_outline
remove_circle_outline
remove_circle_outline
remove_circle_outline
remove_circle_outline

Search Results (860)

Search Parameters:
Keywords = acetate esters

Order results
Result details
Results per page
Select all
Export citation of selected articles as:
22 pages, 3186 KB  
Article
Comprehensive Analysis of Volatile Flavor Components in ‘Hujing Milu’ Peach from Different Regions Using HS-SPME-GC-MS and HS-GC-IMS
by Yiying Wang, Linshu Jiao, Yiran Gui, Wei Zhao, Lanlan Chen, Xiaolong Chen, Jian Chen, Yong Li, Lixiao Song and Xiangyang Yu
Foods 2026, 15(6), 1051; https://doi.org/10.3390/foods15061051 - 17 Mar 2026
Viewed by 111
Abstract
To explore the characteristic volatile compounds of ‘Hujing Milu’ peaches from different growing regions, headspace solid-phase microextraction coupled with gas chromatography–mass spectrometry (HS-SPME-GC-MS) and headspace gas chromatography–ion mobility spectrometry (HS-GC-IMS) were employed to analyze volatile components in samples from six production areas. A [...] Read more.
To explore the characteristic volatile compounds of ‘Hujing Milu’ peaches from different growing regions, headspace solid-phase microextraction coupled with gas chromatography–mass spectrometry (HS-SPME-GC-MS) and headspace gas chromatography–ion mobility spectrometry (HS-GC-IMS) were employed to analyze volatile components in samples from six production areas. A total of 73 and 56 volatile compounds were identified by HS-SPME-GC-MS and HS-GC-IMS, respectively. Quantitative analysis revealed that esters, aldehydes, and alcohols were the main contributors to the aroma profile, accounting for over 70% of the total relative content. Combined with chemometric analysis (VIP > 1 and OAV/ROAV > 1), 17 potential biomarkers were identified that can distinguish ‘Hujing Milu’ peaches from different regions, including ethyl acetate, hexanol, (E)-2-nonenal, and dihydro-β-ionone. Moreover, soil properties of these regions and their correlation with volatile compounds were analyzed to elucidate the formation mechanisms of characteristic aromas. The results showed that ethyl acetate exhibited a significant positive correlation with soil pH (r = 0.530, p < 0.05), whereas dihydro-β-ionone showed a significant positive correlation with soil organic matter (r = 0.587, p < 0.05) and available potassium (r = 0.830, p < 0.05). This study identified characteristic volatile compounds of ‘Hujing Milu’ peaches from different regions, providing a reliable technical basis for origin traceability and the enhancement of aroma quality in ‘Hujing Milu’ peaches. Full article
(This article belongs to the Section Food Quality and Safety)
Show Figures

Graphical abstract

18 pages, 2086 KB  
Article
Photochemical Redox Reactions of Catecholamines: Detection of Cyclized Oxidation Products and Boronate Esters
by Lisa M. Landino, Antonios Tsompanidis, Hannah McMinn, Andrew Mooney and Brandon Yu
Photochem 2026, 6(1), 11; https://doi.org/10.3390/photochem6010011 - 9 Mar 2026
Viewed by 186
Abstract
Our recent work has focused on red light-mediated photoreduction of p-benzoquinones and both o-, and p-naphthoquinones using methylene blue and the chlorophyll metabolite, pheophorbide A as photosensitizers. Photoreduction of biologically relevant quinones mimics photoreduction of plastoquinone by chlorophyll in photosynthesis. We examined photo-oxidation [...] Read more.
Our recent work has focused on red light-mediated photoreduction of p-benzoquinones and both o-, and p-naphthoquinones using methylene blue and the chlorophyll metabolite, pheophorbide A as photosensitizers. Photoreduction of biologically relevant quinones mimics photoreduction of plastoquinone by chlorophyll in photosynthesis. We examined photo-oxidation and photoreduction reactions of catechols because their oxidation to o-quinones by reactive oxygen species is implicated in protein damage in neurodegeneration. Photo-oxidation of catecholamines including dopamine, epinephrine and norepinephrine required red light, methylene blue or pheophorbide A, and molecular oxygen. Their cyclized oxidation products, aminochrome, adrenochrome and noradrenochrome, were detected by UV/visible spectroscopy. Hydrogen peroxide was generated during photo-oxidation by singlet oxygen-dependent oxidation of catecholamines. Inclusion of tertiary amine electron donors decreased cyclized products but did not affect hydrogen peroxide yield consistent with concurrent photo-oxidation followed by photoreduction of the o-quinone intermediate. Unreacted dopamine and norepinephrine were quantified using 3-hydroxyphenyl boronic acid following photochemical reactions. Dopamine and norepinephrine boronate esters absorb at 417 and 550 nm. Photo-oxidation of dihydroxycaffeic acid and dihydroxyphenyl acetic acid was also evaluated by detecting their boronate esters at 475 nm. We hypothesize that photoreduction of transient o-quinones by the combination of red light and dietary chlorophyll metabolites may be a path to limit protein damage and to recycle catechol antioxidants. Full article
Show Figures

Figure 1

14 pages, 249 KB  
Article
The Development and Characterization of a Novel Prickly Pear–Grape Distilled Spirit
by Artemis P. Louppis, Michalis S. Constantinou, Ioanna S. Kosma, Anastasia V. Badeka and Michael G. Kontominas
Foods 2026, 15(5), 953; https://doi.org/10.3390/foods15050953 - 8 Mar 2026
Viewed by 374
Abstract
A novel distilled alcoholic beverage was produced by fermenting yellow and red prickly pear (Opuntia ficus-indica) fruits with two Cypriot grape varieties (Mavro and Xynisteri), followed by traditional distillation. Two spirit variants (45% and 59% v/v alcohol) [...] Read more.
A novel distilled alcoholic beverage was produced by fermenting yellow and red prickly pear (Opuntia ficus-indica) fruits with two Cypriot grape varieties (Mavro and Xynisteri), followed by traditional distillation. Two spirit variants (45% and 59% v/v alcohol) were prepared and assessed for physicochemical properties, antioxidant capacity, methanol, phenolic and flavonoid content, mineral composition, volatile profile, and sensory characteristics. Both spirits exhibited a pH of 3.83, total titratable acidity of 0.113% (expressed as citric acid), and methanol content between 0.38–1.85 g/hL of 100% v/v alcohol. Prickly pear addition enhanced the bioactive composition, with the yellow variant showing the highest flavonoid content (5.56 mg/L quercetin) compared to control zivania. Antioxidant activity (FRAP assay) ranged from 1.00 to 1.49 mg FeSO4/L. Mineral analysis revealed elevated manganese, cobalt, and nickel in yellow (59% v/v) spirits, while red variants contained higher aluminum, platinum and magnesium. Volatile profiling showed increased ester and alcohol levels in 59% v/v beverages, with yellow spirits enriched in fruity esters (e.g., ethyl acetate). Sensory testing confirmed a greater consumer preference for prickly pear beverages, particularly yellow (59% v/v), which achieved a score of 9.7/10 for overall acceptability. These findings highlight the potential of prickly pear to contribute to the chemical composition and sensory complexity of grape-based distilled spirits. Full article
(This article belongs to the Section Nutraceuticals, Functional Foods, and Novel Foods)
28 pages, 1552 KB  
Review
Tracking Aromatic Volatile Biomarkers Through Coffee Bean Postharvest Stages
by Alexa J. Pajuelo-Muñoz, Ilse S. Cayo-Colca, Carlos Granda-Wong, Renan Campos Chisté, Efraín M. Castro-Alayo and César R. Balcázar-Zumaeta
Molecules 2026, 31(5), 853; https://doi.org/10.3390/molecules31050853 - 4 Mar 2026
Viewed by 324
Abstract
This review synthesizes recent evidence on the generation and behavior of volatile biomarkers throughout the main postharvest stages of coffee, highlighting their potential for technological standardization. During harvest, aldehydes, furans, and lactones reflect ripeness and the presence of physiological defects, thereby influencing the [...] Read more.
This review synthesizes recent evidence on the generation and behavior of volatile biomarkers throughout the main postharvest stages of coffee, highlighting their potential for technological standardization. During harvest, aldehydes, furans, and lactones reflect ripeness and the presence of physiological defects, thereby influencing the formation of other volatile groups in subsequent stages. During pulping and fermentation, the metabolism of yeasts and lactic and acetic acid bacteria produces alcohols, acids, and esters (such as 2-phenylethanol, ethyl acetate, and methyl phenylacetate), which function as biomarkers of proper mucilage management and a balanced initial fermentation. In drying, the evolution of aldehydes derived from lipid oxidation and the retention of aromatic esters provide insights into dehydration kinetics and the stability of green coffee against oxidation. Finally, during roasting, volatile pyrazines, furans, thiols, and phenols integrate the entire postharvest history of the bean and enable inferences about roast degree, thermal overexposure, and final aroma development. Overall, the volatile biomarkers described here provide a robust chemical basis for objective monitoring of the postharvest process and the differentiation of coffee lots, although further studies are needed to define critical ranges by origin and processing system, standardize analytical methodologies, and quantitatively link these compounds to commercial quality parameters. Full article
Show Figures

Graphical abstract

24 pages, 751 KB  
Article
Aromatic Characterization of Trepat Grape Pomace Distillates
by Yanine Arrieta-Garay, Clara López-Colom, Carles Bargalló-Guinjoan, Juan José Rodríguez-Bencomo, Ignacio Orriols and Francisco López
Beverages 2026, 12(3), 29; https://doi.org/10.3390/beverages12030029 - 4 Mar 2026
Viewed by 324
Abstract
This study investigates the influence of grape pomace pressing on the chemical composition and sensory characteristics of Trepat grape pomace distillates from two consecutive vintages (2012 and 2013). Distillates obtained from pressed pomace showed higher ethanol strengths than those from unpressed pomace (64% [...] Read more.
This study investigates the influence of grape pomace pressing on the chemical composition and sensory characteristics of Trepat grape pomace distillates from two consecutive vintages (2012 and 2013). Distillates obtained from pressed pomace showed higher ethanol strengths than those from unpressed pomace (64% v/v versus 54% v/v) and higher concentrations of several volatile compounds, including methanol, hexanols, aldehydes, and acetate esters. In contrast, distillates from unpressed pomace retained higher levels of terpenes and farnesols. Principal component analysis (PCA) highlighted differences among samples according to both vintage and pomace treatment, reflecting technological and vintage-dependent variability. Pressed pomace distillates contained higher concentrations of fruity and floral acetate esters (2-phenylethyl acetate and 3-methylbutyl acetate) than unpressed pomace distillates; however, sensory evaluation by an expert panel indicated that their fruity expression was often masked by undesirable notes such as rancid and solvent-like aromas. Unpressed distillates tended to be described as more harmonious and mellow and were perceived as having higher overall quality. Although several compounds exceeded their odor activity values (OAV > 1), their potential positive sensory contribution was frequently counterbalanced by elevated concentrations of aldehydes and higher alcohols. Overall, the results indicate that pomace pressing influences the volatile composition of Trepat pomace distillates and may affect sensory balance, suggesting that careful control of pressing conditions could contribute to improving the aromatic quality of grape pomace spirits. Full article
(This article belongs to the Section Wine, Spirits and Oenological Products)
Show Figures

Graphical abstract

16 pages, 2920 KB  
Article
Optimizing Rheology and Structure of Silver Pastes for Screen-Printed Silicon Solar Cells
by Baisen Hou, Zhiqiang Xia, Zhen Pang, Xinyu Zhou, Zhuo Qian, Wei Li, Mengyao Chai, Jiantao Yin, Junpeng Li, Xianglei Yu and Guoyou Gan
Materials 2026, 19(5), 918; https://doi.org/10.3390/ma19050918 - 27 Feb 2026
Viewed by 266
Abstract
Solar energy, as a clean and renewable resource, plays a pivotal role in advancing sustainable energy technologies. The efficiency of front-side silver paste is critical for the photovoltaic performance of Tunnel Oxide Passivated Contact (TOPCon) solar cells. In this study, we comprehensively investigated [...] Read more.
Solar energy, as a clean and renewable resource, plays a pivotal role in advancing sustainable energy technologies. The efficiency of front-side silver paste is critical for the photovoltaic performance of Tunnel Oxide Passivated Contact (TOPCon) solar cells. In this study, we comprehensively investigated how the composition of organic vehicles in conductive pastes influences both printing rheological properties and electrical performance. Through rheological characterization, contact angle measurements, and Three-Interval Thixotropy Tests (3ITT), we examined the effects of varying solvent, binder, and thixotropic agent ratios on paste properties. The optimized formulation—a solvent mixture of lauryl alcohol ester (TE), butyl carbitol (DGME), butyl carbitol acetate (BCA), and dibutyl phthalate (DBP) in a 3:4:2:1 ratio, with ethyl cellulose (EC) STD10 as the binder and a polyamide wax (PAW)–hydrogenated castor oil (HCO) thixotropic agent at a 3:1 mass ratio—demonstrated superior viscosity control and rapid structural recovery. Printed grid lines achieved a height-to-width ratio (H/W) of 0.35 and a sheet resistance (Rs) of 1.43 Ω/□. These findings reveal direct relationships between organic vehicle composition, paste rheology, and functional performance, providing practical guidance for the design and optimization of high-performance conductive pastes for c-Si solar cells. This work establishes a foundation for improving both the efficiency and reliability of next-generation silver paste formulations in photovoltaic applications. Full article
(This article belongs to the Section Electronic Materials)
Show Figures

Figure 1

26 pages, 2747 KB  
Article
Eugenol-Based Epoxy Vitrimers: Caffeine and Zinc Acetate as Potential Alternative Catalysts in Curing Kinetics and Dynamic Network Properties
by Angela Y. Becerra-Lovera, Javier Mauricio Anaya-Mancipe, Rubén D. Díaz-Martin, Marcos Lopes Dias and Diego de Holanda Saboya Souza
Molecules 2026, 31(5), 783; https://doi.org/10.3390/molecules31050783 - 26 Feb 2026
Viewed by 405
Abstract
The development of sustainable vitrimers from bio-based sources addresses the need for high-performance recyclable materials. This research describes eugenol-derived epoxy vitrimers cross-linked with adipic acid as a curing agent, focusing on comparative effects of caffeine and zinc acetate as transesterification catalysts at 5 [...] Read more.
The development of sustainable vitrimers from bio-based sources addresses the need for high-performance recyclable materials. This research describes eugenol-derived epoxy vitrimers cross-linked with adipic acid as a curing agent, focusing on comparative effects of caffeine and zinc acetate as transesterification catalysts at 5 and 10% concentrations versus a non-catalyzed control. Both catalysts acted as curing accelerators, confirmed by FTIR and DSC analyses, revealing polyhydroxyester network formation through associative ester exchange enabling topological reorganization. Zinc acetate at 10% proved most efficient, achieving the lowest apparent activation energy (116.0 kJ/mol), highest crosslinking density (νe = 3.42 × 10−3 mol/cm3), improved thermal stability with unimodal degradation profile, and substantially reduced topology freezing transition temperature (Tv = 132 °C), confirming enhanced dynamic properties. Caffeine demonstrated catalytic activity, reducing apparent activation energy to 124.4 kJ/mol at 10% and promoting rapid epoxide conversion during initial curing at moderate temperatures. Although its catalytic efficiency is moderate compared to zinc acetate, its bio-based origin and non-toxic nature make it a promising green alternative for sustainable vitrimer applications. Results demonstrate that catalyst selection is crucial for tailoring curing kinetics, network structure, and final vitrimeric properties, providing key guidelines for designing advanced circular materials from bio-based precursors. Full article
(This article belongs to the Special Issue Synthesis, Characterization and Applications of Vitrimers)
Show Figures

Graphical abstract

18 pages, 1650 KB  
Article
Influence of Sequential Harvest on Chemical Composition of Merlot Wines
by Anastazija Jež Krebelj, Katja Šuklje, Andreja Škvarč, Mateja Potisek and Franc Čuš
Agronomy 2026, 16(4), 480; https://doi.org/10.3390/agronomy16040480 - 20 Feb 2026
Viewed by 380
Abstract
The influence of grape maturity over three consecutive years (2020–2022) on Merlot (Vitis vinifera L.) juice and wine chemical composition was investigated. Grapes were harvested at three time points (H1, H2, and H3) in weekly intervals. Despite the fact that vintage (environmental [...] Read more.
The influence of grape maturity over three consecutive years (2020–2022) on Merlot (Vitis vinifera L.) juice and wine chemical composition was investigated. Grapes were harvested at three time points (H1, H2, and H3) in weekly intervals. Despite the fact that vintage (environmental conditions) had a predominant effect on juice and wine chemical composition, clear separation of samples according to the harvest date was observed in all three vintages. Compounds with the highest contribution towards harvest date separation were common maturity-related juice and wine variables (titratable acidity, pH) as well as some volatiles, whereas differences in total soluble solids between dates were minor and often insignificant. In particular, concentrations of 3-isobutyl-2-methoxypyrazine (IBMP), (Z)-3-hexenol, and 1-hexenol in wines decreased with delayed harvest. All the more, concentrations of 3-mercaptohexanol (3MH) were the lowest in wines from H3 in all three years, whereas concentrations of 3-mercaptohexyl acetate (3MHA) and 4-mercapto-4-methylpentan-2-ol (4MMP) were not influenced by harvest date. Other compounds, such as esters and higher alcohols, with the exception of 1-propanol, did not exhibit a common trend related to the harvest date across three vintages. These results indicate that, during late ripening, harvest-related shifts in juice and wine composition occur even when differences in berry sugar concentration (TSS) at harvest are minor. Full article
Show Figures

Figure 1

20 pages, 13590 KB  
Article
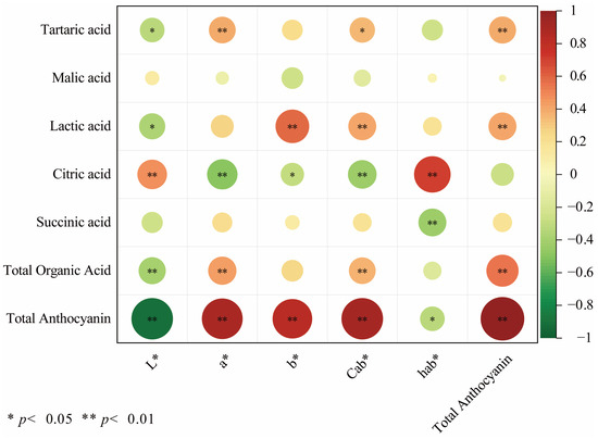
Major Volatile Aroma Composition, Organic Acids, and Color Characteristics: A Comparative Study of Berries and Wines from Vitis amurensis and Its Interspecific Hybrids
by Nan Shu, Wenpeng Lu, Yiming Yang, Weiyu Cao, Jinli Wen, Yiping Yan, Xinyao Liu and Liankui Wen
Foods 2026, 15(4), 705; https://doi.org/10.3390/foods15040705 - 14 Feb 2026
Viewed by 287
Abstract
Understanding the chemical basis for the quality differentiation of wines is essential for breeding and quality control. This study performed a comparative analysis of volatile aroma compounds (VACs), organic acids, and color characteristics in berries and wines from Vitis amurensis (V. amurensis [...] Read more.
Understanding the chemical basis for the quality differentiation of wines is essential for breeding and quality control. This study performed a comparative analysis of volatile aroma compounds (VACs), organic acids, and color characteristics in berries and wines from Vitis amurensis (V. amurensis), its interspecific hybrids, and Vitis labrusca (V. labrusca). Hexanal was identified as the primary contributor to grape aroma in V. amurensis berries. 1-Hexanol and isoamyl acetate were the key aroma marker distinguishing wines produced from V. amurensis from its interspecific hybrids. V. amurensis exhibited enhanced metabolism of C6 alcohols, aldehydes, and esters during fermentation. Its wines showed the highest pigment retention and significantly greater anthocyanin content, resulting in the most intense and stable red-purple color compared to other genotypes. Correlation analyses indicate high anthocyanin retention and high color intensity in wines produced from V. amurensis were associated with its high organic acid levels, particularly influenced by tartaric acid, lactic acid, and citric acid. This work clarifies the chemical evolution underlying V. amurensis wine’s sensory superiority and supports breeding, quality control, and product development. Full article
(This article belongs to the Section Drinks and Liquid Nutrition)
Show Figures

Figure 1

21 pages, 9734 KB  
Article
Enzymatic Hydrolysis of Triacetin and L-Lactide in Emulsified Microparticles Within a Cellulose Hydrogel Dispersion
by Margarita Antonenko, Gilad Alfassi, Dmitry M. Rein and Yachin Cohen
Int. J. Mol. Sci. 2026, 27(4), 1799; https://doi.org/10.3390/ijms27041799 - 13 Feb 2026
Viewed by 337
Abstract
Triacetin (TA) is a solvent commonly used in pharmaceutical and food applications, and as a plasticizer in bioplastics such as poly(lactic acid) (PLA) and cellulose acetate (CA). L-lactide is the monomer used in the ring-opening polymerization of PLA. The structure of TA emulsions [...] Read more.
Triacetin (TA) is a solvent commonly used in pharmaceutical and food applications, and as a plasticizer in bioplastics such as poly(lactic acid) (PLA) and cellulose acetate (CA). L-lactide is the monomer used in the ring-opening polymerization of PLA. The structure of TA emulsions stabilized by a cellulose hydrogel (CH) was imaged in this study. The emulsions were prepared by mechanical homogenization or a two-step process with subsequent high-pressure homogenization (HPH). The two-step process yielded smaller TA droplets and a more homogeneous CH dispersion. The images demonstrate that emulsion stabilization is due to CH particles adsorbed at the TA–water interface. The ester hydrolysis of TA and a lactide/TA solution by two industrially important lipases, from Candida rugosa (CRL) and Burkholderia cepacia (BCL), was investigated, assessing the effect of CH as an emulsion stabilizer. Mechanically homogenized TA emulsions were effectively hydrolyzed. Lactide was found to inhibit the enzymatic hydrolysis of TA. This inhibition was mitigated by CH for CRL-catalyzed hydrolysis but not for BCL catalysis. These results indicate a synergistic effect of CH stabilization on the interfacial activation of CRL. Thise effect may also be relevant for the biodegradation of bio-derived plastics and their fibrous cellulose composites. Full article
(This article belongs to the Special Issue Advanced Research on Enzymes in Biocatalysis)
Show Figures

Figure 1

20 pages, 5069 KB  
Article
Screening of Non-Saccharomyces for Citrus reticulata cv. ‘Dahongpao’ Fruit Wine and Volatile Organic Compounds Analyzed by Gas Chromatography–Ion Mobility Spectrometry
by Xun Fu, Qingyu Nie, Xiang Li, Penghao Tan, Tingting Feng, Chunmei Xiong, Wenling Zhang, Yan Zhang, Sujin Li and Lixin Zhang
Fermentation 2026, 12(2), 102; https://doi.org/10.3390/fermentation12020102 - 11 Feb 2026
Viewed by 470
Abstract
In recent years, there has been substantial global progress in screening yeasts for fermenting various specialty fruits, especially non-Saccharomyces species known for their contributions to aroma enhancement. This study focused on mature fruits and soil samples collected from orchards located in the main [...] Read more.
In recent years, there has been substantial global progress in screening yeasts for fermenting various specialty fruits, especially non-Saccharomyces species known for their contributions to aroma enhancement. This study focused on mature fruits and soil samples collected from orchards located in the main production region of C. reticulata cv. ‘Dahongpao’ (CRCD) in China, with the objective of isolating specialized non-Saccharomyces yeasts suitable for producing CRCD fruit wine. After enrichment cultivation, seven characteristic yeast strains were isolated and purified. These isolates were identified as Candida parapsilosis, Meyerozyma caribbica, Candida quercitrusa, and Meyerozyma guilliermondii through a combination of microscopic morphology and molecular biology methods, which also included Pichia fermentans, Pichia kudriavzevii, and Pichia kluyveri. The strains’ fermentation potential, ethanol production rates, and tolerance levels were assessed, leading to the selection of Candida parapsilosis, Candida quercitrusa, Pichia fermentans, Pichia kudriavzevii, and Pichia kluyveri for further fermentation experiments. The commercial yeast La-Ma was used as a control. Analysis of volatile organic compounds (VOCs) in the fruit wine samples was performed using Gas Chromatography–Ion Mobility Spectrometry (GC-IMS). A total of 42 different VOCs were identified, with esters being the most prevalent. The fingerprint profiles demonstrated notable differences between the fruit wine samples fermented with selected yeasts and those fermented with commercial yeasts. Principal component analysis (PCA) indicated that Pichia kluyveri displayed the most significant divergence from both commercial and other selected yeasts. The samples contained notable VOCs such as 2-methyl-1-butanol, pentanal, 3-methyl-2-butenal, propyl acetate, butyl acetate, isobutyl acetate, isopentyl acetate, and 3-methyl-2-butenyl acetate, while the methanol production was observed to be lower compared to other samples. Consequently, this strain has the potential to produce distinctive fruit wine. Full article
(This article belongs to the Section Yeast)
Show Figures

Figure 1

19 pages, 4060 KB  
Article
LC-MS/MS for Simultaneous Determination and Isomer Separation of 12 Glucocorticoid Residues in Multiple Aquatic Foods
by Siman Li, Feng Han, Dongmei Huang, Jingnan Zhang and Yunyu Tang
Foods 2026, 15(4), 652; https://doi.org/10.3390/foods15040652 - 11 Feb 2026
Viewed by 317
Abstract
Glucocorticoid (GC) residues present in aquatic products raise food safety concerns, as their chronic dietary intake may pose potential risks of endocrine and metabolic disruption. For the first time, a sensitive and reliable liquid chromatography–tandem mass spectrometry (LC-MS/MS) method was developed and validated [...] Read more.
Glucocorticoid (GC) residues present in aquatic products raise food safety concerns, as their chronic dietary intake may pose potential risks of endocrine and metabolic disruption. For the first time, a sensitive and reliable liquid chromatography–tandem mass spectrometry (LC-MS/MS) method was developed and validated herein for the simultaneous determination of 12 GCs residues, including critical isomeric pairs and acetate ester derivatives, in a variety of aquatic foods, employing deuterated isotopic internal standards. Key optimizations included using a pentafluorophenyl column for effective isomer separation, a synergistic extraction system for high recovery, and QuEChERS purification to mitigate matrix effects. The method exhibited excellent linearity (r2 > 0.996) and high accuracy (recoveries 97.3–99.3%), and the intra- and inter-day precision values were below 3% in five representative aquatic matrices, with a limit of detection (LOD) and a limit of quantification (LOQ) of 0.5 μg/kg and 0.75 μg/kg, respectively. Animal experiments confirmed the in vivo retention of acetate derivatives, justifying their inclusion in monitoring. Real sample analysis of 18 market samples revealed the presence of cortisone and hydrocortisone in 17 samples. This represents the first reported LC-MS/MS method that provides a sensitive, reliable tool for regulatory monitoring of GC residues in diverse aquatic products, thereby supporting food safety assurance. Full article
(This article belongs to the Special Issue Aquatic Products Processing and Preservation Technology)
Show Figures

Graphical abstract

9 pages, 2244 KB  
Short Note
2-Iodopyridin-3-yl acetate
by Mihaela Cristea, Sergiu Shova, Marcel Mirel Popa and Florea Dumitrascu
Molbank 2026, 2026(1), M2135; https://doi.org/10.3390/M2135 - 6 Feb 2026
Viewed by 420
Abstract
The title compound 2-iodopyridin-3-yl acetate was obtained by acetylation of the OH group of 2-iodo-3-hydroxypyridine. Knowing that the hydroxyl group, as a strong H-bond donor in halogenated hydroxypyridines, usually directs supramolecular packing and might enforce possible halogen–halogen contacts, we crystallized 2-iodo-3-acetoxypyridine with the [...] Read more.
The title compound 2-iodopyridin-3-yl acetate was obtained by acetylation of the OH group of 2-iodo-3-hydroxypyridine. Knowing that the hydroxyl group, as a strong H-bond donor in halogenated hydroxypyridines, usually directs supramolecular packing and might enforce possible halogen–halogen contacts, we crystallized 2-iodo-3-acetoxypyridine with the aim of disrupting the most important H-bond donor and assessing the propensity of the iodine for halogen bond formation. Indeed, in the compound 2-iodopyridin-3-yl acetate, the crystal packing is characterized by infinite 3D chains bonded through I···O=C and C-H···I contacts between adjacent molecules. These chains are interconnected by weak C-H···O contacts, implying the presence of oxygen in the ester. The I···H contact with the C-H axis perpendicular to the electron belt of the iodine atom can enhance the σ-hole of the iodine and act cooperatively in crystal cohesion. No halogen–halogen contacts were present. Full article
(This article belongs to the Section Structure Determination)
Show Figures

Graphical abstract

16 pages, 1851 KB  
Article
Multi-Analysis Characterization of Makgeolli Made from the Novel Glutinous Rice Cultivar ‘Gureumchal’: Free Amino Acids, GC–MS Volatiles, and Electronic Tongue-Derived Flavor Profile
by Su-Hyeon Heo, Su-Hyun Lee, Jong-Hyeon Lee, Jungmin Kang, Yeonghun Kim, Hyun Mo Jung, Myung Hee Lee, Jeong-Seok Cho and Sae-Byuk Lee
Foods 2026, 15(3), 586; https://doi.org/10.3390/foods15030586 - 5 Feb 2026
Viewed by 402
Abstract
This study evaluated the suitability of a new glutinous rice cultivar of Gureumchal as a raw material for Makgeolli, a traditional Korean rice wine, by comparing Makgeolli produced from Gureumchal with those made from a non-glutinous rice and another glutinous rice cultivar. [...] Read more.
This study evaluated the suitability of a new glutinous rice cultivar of Gureumchal as a raw material for Makgeolli, a traditional Korean rice wine, by comparing Makgeolli produced from Gureumchal with those made from a non-glutinous rice and another glutinous rice cultivar. Makgeolli was prepared using single and blended rice combinations, and their physicochemical characteristics, amino acids, volatile aromatic compounds, and E-tongue were analyzed. The Gureumchal produced generally higher levels of total amino acids and ester compounds, particularly fruity esters, when compared with the other rice formulations. A volatile aromatic compound analysis indicated that non-glutinous rice favored the formation of acetate esters typically associated with the acetyl-CoA pathway, whereas Gureumchal produced higher levels of fruity acyl-CoA-derived esters, such as ethyl hexanoate and ethyl octanoate. An E-tongue analysis further demonstrated that rice type strongly shaped the Makgeolli’s taste profile: glutinous rice samples, including Gureumchal, exhibited higher sweetness but low umami, whereas non-glutinous rice produced higher acidity and umami. Blended samples confirmed that manipulating the proportion of glutinous and non-glutinous rice allows the systematic adjustment of taste balance. Overall, Gureumchal formed a distinct flavor profile characterized by fruity esters and pronounced sweetness, indicating its potential to diversify Makgeolli quality and support targeted flavor design. Full article
(This article belongs to the Special Issue Application of Fermentation Biotechnology in Food Science)
Show Figures

Figure 1

22 pages, 8313 KB  
Article
A Technical Feasibility Assessment of Chemically Recycling PET Fibers Through Glycolysis to Produce Functional Oligoesters
by Elaine Meireles Senra, Ana Carolina da Silva Guimarães, Renan Henriques Gonçalves de Almeida, Ana Lúcia Nazareth da Silva, José Carlos Costa da Silva Pinto, Christine Rabello Nascimento and Elen Beatriz Acordi Vasques Pacheco
Recycling 2026, 11(2), 36; https://doi.org/10.3390/recycling11020036 - 5 Feb 2026
Viewed by 653
Abstract
This study investigated the chemical recycling of poly(ethylene terephthalate) (PET) fiber residues from two sources—high-molar mass mooring ropes and low-molar mass textile-grade fibers—to produce functional oligomers. Glycolysis was carried out using polyethylene glycol (PEG400) as the depolymerizing agent, and two catalysts were assessed, [...] Read more.
This study investigated the chemical recycling of poly(ethylene terephthalate) (PET) fiber residues from two sources—high-molar mass mooring ropes and low-molar mass textile-grade fibers—to produce functional oligomers. Glycolysis was carried out using polyethylene glycol (PEG400) as the depolymerizing agent, and two catalysts were assessed, zinc acetate and lithium octoate, with the latter reported on for the first time in this application. Reactions were performed for 180 min under mechanical stirring, inert atmosphere, reflux, and controlled heating. The resulting oligomers were characterized by Fourier-transform infrared spectroscopy (FTIR), hydroxyl and acidity indices, and thermogravimetric analysis (TGA). Both PET feedstocks showed high reactivity toward glycolysis. Monitoring the reactions by acidity index indicated that conversion reached equilibrium at approximately 120 min. ATR-FTIR confirmed the formation of ester and hydroxyl groups, consistent with oligomer structures. Glycolysis of PET derived from mooring ropes produced oligoesters with hydroxyl values of 228 and 242 mgKOH/g for zinc acetate and lithium octoate, respectively, and molar masses of 1296 and 1338 g/mol for zinc acetate and lithium octoate, respectively. These values are suitable for subsequent syntheses such as polyester polyol production. Full article
Show Figures

Graphical abstract

Back to TopTop