Sign in to use this feature.

Years

Between: -

Subjects

remove_circle_outline
remove_circle_outline
remove_circle_outline
remove_circle_outline
remove_circle_outline
remove_circle_outline
remove_circle_outline
remove_circle_outline
remove_circle_outline

Journals

remove_circle_outline
remove_circle_outline
remove_circle_outline
remove_circle_outline
remove_circle_outline
remove_circle_outline

Article Types

Countries / Regions

remove_circle_outline
remove_circle_outline
remove_circle_outline
remove_circle_outline

Search Results (3,645)

Search Parameters:
Keywords = Yellow River

Order results
Result details
Results per page
Select all
Export citation of selected articles as:
21 pages, 10630 KB  
Article
Impacts of Anthropogenic Activities and Climate Change on the Distribution Ranges of Five Tragopan Birds in China
by Jiming Cheng, Chao Zhang, Xingfu Yan, Xinyue Chen, Yingqun Feng, Furong Cai, Hongjin Yan, Shuqi Liu and Yonghong Luo
Biology 2026, 15(9), 713; https://doi.org/10.3390/biology15090713 - 30 Apr 2026
Abstract
Anthropogenic activities and environmental changes have exerted an increasingly high impact on the habitats of wild animals, especially endangered species. Researchers have paid attention to the effects of future climate change on wildlife habitats. However, the impact of climate change on the suitable [...] Read more.
Anthropogenic activities and environmental changes have exerted an increasingly high impact on the habitats of wild animals, especially endangered species. Researchers have paid attention to the effects of future climate change on wildlife habitats. However, the impact of climate change on the suitable habitats of Tragopan birds has rarely been reported. Here, we used the Maxent model to assess the influence of climate change on the geographical distribution of five Tragopan species. The results showed that the SSP585 scenario projected relatively favorable conditions, with the total area of suitable habitats expected to show an overall increasing trend over time. Centroid analysis revealed that the centroid gradually shifts toward lower latitudes and elevations due to climate warming. Environmental factor analysis showed that human-induced factors (particularly land use) are the main determinants affecting the habitat suitability of Tragopan birds. Notably, a comparison between dispersal velocity and biological velocity showed that despite the predicted gradual expansion of habitat area, Tragopan birds may be difficult to expand into the newly suitable habitat regions. We further emphasize that establishing ecological corridors and setting up new protected areas will have a more significant impact on conserving the Tragopan birds. Full article
21 pages, 8201 KB  
Article
How Do Endogenous Structure and Multidimensional Proximity Shape Urban Network Dynamics? Evidence from the Yellow River Basin Using Firm-Level Big Data and ERGMs
by Shuju Hu, Jinjing Wan, Jinxiu Hou, Xiaohan Hu and Yongsheng Sun
Systems 2026, 14(5), 490; https://doi.org/10.3390/systems14050490 - 30 Apr 2026
Abstract
The shift from the central place paradigm to the network paradigm in regional relation research emphasizes the need to elucidate the factors and mechanisms driving urban network dynamics. Leveraging firm-level big data—including a headquarters–branch relationships database (29,359 headquarters and 114,679 branches) and an [...] Read more.
The shift from the central place paradigm to the network paradigm in regional relation research emphasizes the need to elucidate the factors and mechanisms driving urban network dynamics. Leveraging firm-level big data—including a headquarters–branch relationships database (29,359 headquarters and 114,679 branches) and an investment relationships database (21,843 investing firms and 69,733 recipients)—this study constructs an urban network integrating both vertical and horizontal enterprise connections. Using exponential random graph models (ERGMs), it analyzes the influencing factors and driving mechanisms of urban network dynamics in the Yellow River Basin (YRB). This study found that the urban network in the YRB is characterized by multiple isolated “core–periphery” radial networks. Strong connections are concentrated within each province’s major cities and their immediate surroundings, while horizontal connections across provincial borders are weaker. From 2000 to 2020, the urban network has evolved from isolated “core–periphery” radial networks to corridor networks where some core nodes are interconnected. The urban network dynamics in the YRB result from the combined influences of the preferential attachment mechanism, the network self-organization mechanism, the multi-dimensional proximity mechanisms, and the geographical boundary effect. Enterprises tend to establish branches or investments in cities with spatial proximity and larger economic scales. Reciprocal and transitive structures significantly facilitate urban network formation. Additionally, institutional proximity, geographical proximity, cultural proximity, cognitive proximity, and geomorphological division all exert varying degrees of influence on enterprise connections between cities. Full article
(This article belongs to the Section Complex Systems and Cybernetics)
Show Figures

Figure 1

22 pages, 2230 KB  
Article
Knowledge-Guided Modulation for Terrain-Aware Landslide Detection Using Deformable Transformers
by Yan-Chang Jia, Shu-Yan Hua, Hong-Fei Wang, Tong Jiang and Qi-Qi Zhao
Sensors 2026, 26(9), 2813; https://doi.org/10.3390/s26092813 - 30 Apr 2026
Abstract
Landslide detection using medium-resolution optical remote sensing imagery remains challenging in complex mountainous environments because of spectral ambiguity, vegetation cover, shadows, and background interference. Although recent deep learning methods have improved detection performance, most existing approaches remain primarily appearance-driven and do not explicitly [...] Read more.
Landslide detection using medium-resolution optical remote sensing imagery remains challenging in complex mountainous environments because of spectral ambiguity, vegetation cover, shadows, and background interference. Although recent deep learning methods have improved detection performance, most existing approaches remain primarily appearance-driven and do not explicitly exploit terrain-related priors that are closely associated with slope instability. To address this limitation, we propose a terrain-aware deformable transformer framework for landslide detection using multimodal remote sensing data, in which RGB imagery, DEM, and slope are jointly incorporated through a unified five-channel representation, and a knowledge-guided modulation module is introduced to enhance feature learning using terrain priors derived from DEM and slope. Here, “knowledge-guided” refers specifically to explicit topographic priors rather than complete geological or hydrological knowledge. Experimental results on the Bijie landslide dataset show that the proposed method outperforms several competitive baselines and achieves 72.9% AP@[0.5:0.95] and 77.2% AP75, while improving localization robustness in visually confusing mountainous scenes. These results indicate that terrain-aware feature modulation can improve geomorphological plausibility and detection accuracy for landslide inventory mapping, although further cross-region validation is still needed to assess broader generalization. Full article
(This article belongs to the Section Environmental Sensing)
20 pages, 3571 KB  
Article
Spatial Variability of Air–Sea CO2 Flux and Their Carbon Sources During Early Spring in the Yangtze River Estuary and Adjacent Coastal Areas
by Wei Li, Sidan Lyu and Xuefa Wen
Water 2026, 18(9), 1078; https://doi.org/10.3390/w18091078 - 30 Apr 2026
Abstract
Air–sea CO2 flux (FCO2) in the estuary–coastal continuum plays a vital role in global carbon sequestration; however, the mechanisms governing FCO2 spatial heterogeneity during early spring remain poorly understood, particularly the roles of distinct dissolved inorganic [...] Read more.
Air–sea CO2 flux (FCO2) in the estuary–coastal continuum plays a vital role in global carbon sequestration; however, the mechanisms governing FCO2 spatial heterogeneity during early spring remain poorly understood, particularly the roles of distinct dissolved inorganic carbon (DIC) sources. In March 2025, we investigated the FCO2 spatial variability and DIC sources across the Yangtze River estuary and adjacent coastal areas using DIC concentration, pH, and δ13CDIC analyses. The study area was a net CO2 source (7.3 ± 8.7 mmol m−2 d−1), with the intensity declining progressively from the inner estuary to offshore areas. Physical mixing of three principal water masses established the following pattern: high-pCO2 Changjiang Diluted Water and Yellow Sea Coastal Current drove CO2 outgassing, while low-pCO2 East China Sea Shelf Water weakened it. Quantitative apportionment revealed atmospheric CO2 invasion as the dominant DIC source, followed by carbonate dissolution and organic matter degradation, with the latter declining from the inner estuary to offshore areas. The spatial variation in DIC source contributions further confirms that, superimposed on the physical mixing, biogeochemical processes—particularly biological activity—modulated reginal source intensities. This early-spring case captures a critical transitional window and highlights the necessity of integrating multi-factor regulation with DIC source partitioning to resolve carbon dynamics in the estuarine–coastal continuum. Full article
(This article belongs to the Section Ecohydrology)
23 pages, 1951 KB  
Article
L-SAINet: A Shape-Adaptive and Inner-Scale Interaction Network for Landslide Detection in Complex Remote Sensing Scenarios
by Yanchang Jia, Shuyan Hua, Hongfei Wang, Tong Jiang and Qiqi Zhao
Sensors 2026, 26(9), 2812; https://doi.org/10.3390/s26092812 - 30 Apr 2026
Abstract
Landslides are widespread geohazards in mountainous regions and pose serious threats to human safety, infrastructure, and ecosystems. Accurate detection from high-resolution optical remote sensing imagery remains challenging because landslide targets often exhibit irregular morphology, large scale variation, weak boundaries, and strong background interference. [...] Read more.
Landslides are widespread geohazards in mountainous regions and pose serious threats to human safety, infrastructure, and ecosystems. Accurate detection from high-resolution optical remote sensing imagery remains challenging because landslide targets often exhibit irregular morphology, large scale variation, weak boundaries, and strong background interference. To address these issues, this study proposes L-SAINet, a shape-adaptive and inner-scale interaction network for landslide detection in complex remote sensing scenarios. Built on a lightweight one-stage detection framework, the proposed method introduces an L-SAI module that integrates adaptive deformable convolution, channel–spatial attention, and inner-scale feature interaction. The shape-adaptive branch improves geometric alignment for irregular and elongated landslide bodies, while the attention branch enhances semantic discrimination under heterogeneous background conditions. The two branches are further fused at the same feature scale to construct a more unified landslide representation. Experiments on the Bijie Landslide Remote Sensing Dataset show that L-SAINet consistently outperforms the baseline detector and single-branch variants in Precision, Recall, mAP@0.5, and mAP@0.5:0.95. Additional analyses based on precision–recall curves, confusion matrices, convergence behavior, model complexity, and representative complex-scene examples further confirm its effectiveness and robustness. The results demonstrate that jointly modeling geometric adaptability and semantic refinement is an effective strategy for landslide detection in complex mountain environments. Full article
(This article belongs to the Section Remote Sensors)
20 pages, 15628 KB  
Article
A Hybrid Muskingum–Machine Learning Flood Forecasting Model: Application and Evaluation in the Tarim River Basin
by Pengyang Wang, Ling Zhang, Donglin Li, Fengzhen Tang, Xin Wang and Yuanjian Wang
Water 2026, 18(9), 1077; https://doi.org/10.3390/w18091077 - 30 Apr 2026
Abstract
The traditional Muskingum model has difficulty representing complex hydraulic behaviors under high-flow conditions because it relies on simplified assumptions and fixed parameters. To address the pronounced nonlinearity and non-stationarity of flood routing in the arid Tarim River Basin, a hybrid forecasting framework was [...] Read more.
The traditional Muskingum model has difficulty representing complex hydraulic behaviors under high-flow conditions because it relies on simplified assumptions and fixed parameters. To address the pronounced nonlinearity and non-stationarity of flood routing in the arid Tarim River Basin, a hybrid forecasting framework was developed by coupling the Muskingum method with multiple machine learning algorithms (Ridge, LASSO, RF, and LSTM) to predict and correct Muskingum residuals. Global Muskingum parameters were identified using the L-BFGS-B algorithm to represent basin-scale routing characteristics. For rolling forecast, a multidimensional feature space was constructed by integrating routing gradients and hydraulic interaction terms. The results indicated that all hybrid models outperformed the traditional Muskingum method across lead times. The Ridge-based hybrid model achieved the best performance at short lead times, with the Nash–Sutcliffe efficiency (NSE) at a 4 h lead time increasing from 0.56 for the physical baseline to 0.977. For longer lead times (12–24 h), the LASSO-based hybrid model demonstrated higher robustness, which was attributed to L1-regularization-based feature selection. The key scientific contribution of this work lies in proposing a lead-time-dependent adaptive modeling strategy, revealing the structural characteristics of the residuals of the Muskingum model, and demonstrating that, in the study basin, simple linear models outperform complex models in multi-step correction. Overall, the proposed framework alleviates systematic underestimation during high-flow periods and provides a predictive scheme for arid-region rivers that preserves physical interpretability while improving forecasting accuracy. Full article
(This article belongs to the Special Issue Application of Machine Learning in Hydrologic Sciences, 2nd Edition)
Show Figures

Figure 1

27 pages, 1871 KB  
Article
Research on the Path to Enhancing Ecological Well-Being Performance Driven by the Digital Economy: A Scenario Analysis Based on Multi-Policy Combinations in the Yellow River Basin
by Mei Song and Jia Zhang
Systems 2026, 14(5), 487; https://doi.org/10.3390/systems14050487 - 30 Apr 2026
Abstract
The coordinated advancement of economic growth, ecological resource constraints, and societal well-being is pivotal to achieving high-quality development in the Yellow River Basin. The influence of the digital economy on urban development manifests as systemic, dynamic, and spatially heterogeneous—exhibiting pronounced interurban correlations. This [...] Read more.
The coordinated advancement of economic growth, ecological resource constraints, and societal well-being is pivotal to achieving high-quality development in the Yellow River Basin. The influence of the digital economy on urban development manifests as systemic, dynamic, and spatially heterogeneous—exhibiting pronounced interurban correlations. This study adopts a dual analytical lens: first, ecological well-being performance—which quantifies the efficiency with which natural resource inputs are converted into improvements in residents’ subjective and objective well-being; and second, ecological common prosperity—which captures equity dimensions in the distribution of ecological benefits across populations and territories. Drawing on system dynamics modeling, we elucidate the underlying mechanisms through which the digital economy shapes ecological well-being performance, simulate evolutionary trajectories of both ecological well-being performance and ecological common prosperity under alternative policy regimes, and identify optimal intervention pathways. Empirical results indicate that the integrated policy scenario combining green welfare enhancement and economic growth-oriented development, with digitally driven and regional cooperation, yields the greatest improvement in ecological well-being performance; the green welfare–focused scenario ranks second. Grounded in regional heterogeneity, we recommend a phased, differentiated implementation strategy—tailored to the developmental stage, endowments, and institutional capacities of individual cities within the basin. Methodologically, this study advances beyond conventional city-centric frameworks by introducing a local–neighborhood coupled simulation model that explicitly accounts for intercity spillovers. Furthermore, our measurement of ecological well-being performance integrates text-based big data analytics—leveraging sentiment lexicons—to robustly capture subjective welfare dimensions, thereby addressing a longstanding limitation in extant literature regarding the operationalization of well-being. Collectively, these contributions provide theoretically grounded, empirically informed insights to support the strategic implementation of ecological conservation and high-quality development in the Yellow River Basin. Full article
Show Figures

Figure 1

18 pages, 6387 KB  
Article
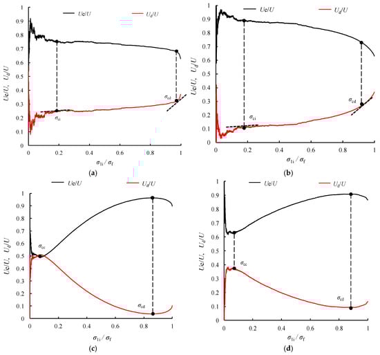
Experimental Investigation on the Applicability of Four Identification Methods for Stress Thresholds of Four Types of Hard Rock Under Uniaxial Compression Test
by Pengzhao Du, Shengzhe Zhang and Rongchao Xu
Appl. Sci. 2026, 16(9), 4376; https://doi.org/10.3390/app16094376 - 30 Apr 2026
Abstract
Accurately estimating the stress thresholds (crack closure stress σcc, crack initiation stress σci and crack damage stress σcd) is of great significance to the study of failure mechanisms for hard rock. Uniaxial compression tests were conducted on four [...] Read more.
Accurately estimating the stress thresholds (crack closure stress σcc, crack initiation stress σci and crack damage stress σcd) is of great significance to the study of failure mechanisms for hard rock. Uniaxial compression tests were conducted on four types of hard rock to investigate the rationality and applicability of four different identification methods. The stress thresholds obtained by different methods were compared and analyzed. The main research results are as follows. Both the two distinct energy dissipation rate (EDR) methods underestimate the value of σcc, and it is not applicable for hard rock with few primary fractures. Since the method of lateral strain response (LSR) method does not consider the closure process of primary fractures, it underestimates the value of σci. The method of crack volume strain (CVS) or moving point regression (MPR) is recommended to calculate the σci of hard rock. The EDR method overestimates the value of σcd. The method of CVS or MPR is recommended to identify the σcd of hard rock. Full article
(This article belongs to the Special Issue Rock Mechanics in Geology)
Show Figures

Figure 1

24 pages, 6307 KB  
Article
Refined Three-Dimensional Model of Concrete Cutoff Wall in Deep Overburden for Dynamic Numerical Simulation
by Yifan Ding, Junjie Hua, Yongqian Qu, Yongguang Fu and Xiang Yu
Water 2026, 18(9), 1061; https://doi.org/10.3390/w18091061 - 29 Apr 2026
Abstract
The mechanical performance of concrete cutoff walls in deep overburden is decisive for dam safety. Current coarse mesh models struggle to accurately simulate their response under complex conditions. In this paper, a refined numerical model is established specifically for a concrete cutoff wall [...] Read more.
The mechanical performance of concrete cutoff walls in deep overburden is decisive for dam safety. Current coarse mesh models struggle to accurately simulate their response under complex conditions. In this paper, a refined numerical model is established specifically for a concrete cutoff wall in deep overburden. The deformation and stress characteristics and mesh sensitivity of the cutoff wall are systematically investigated. A quantitative index of overstress area ratio is introduced innovatively, and the effects of cutoff wall mesh size along the thickness direction, dam height, and overburden parameters on the deformation and stress characteristics of the cutoff wall are explored in detail. The results show that the stress characteristics of the cutoff wall requires a fine mesh model with an element thickness ≤ 1/4 of the cutoff wall. The change in dam height and overburden parameters mainly affects the stress magnitude of the cutoff wall but does not change its tensile stress distribution pattern. The variable-size mesh generation achieves collaborative optimization of accuracy and efficiency, and the calculation amount is significantly reduced by about 16%, with error below 5%. This study presents an efficient method and can provide technical support for the safety evaluation of concrete cutoff walls in deep overburden. Full article
15 pages, 2273 KB  
Article
Preparation of Portland Cement-Free Autoclaved Aerated Concrete Using Yellow River Sediment
by Huawei Shi, Xiaosheng Zhou, Ge Zhang, Kunpeng Li, Chen Chen, Zekun Dong and Jialing Li
Materials 2026, 19(9), 1820; https://doi.org/10.3390/ma19091820 - 29 Apr 2026
Abstract
To solve quartz sand shortage and poor mechanical properties of fly ash-based autoclaved aerated concrete (AAC) in traditional production, this study prepared AAC blocks using Yellow River sediment as the main siliceous raw material, combined with slag, quicklime and other additives. Seven sample [...] Read more.
To solve quartz sand shortage and poor mechanical properties of fly ash-based autoclaved aerated concrete (AAC) in traditional production, this study prepared AAC blocks using Yellow River sediment as the main siliceous raw material, combined with slag, quicklime and other additives. Seven sample groups (S1–S7) with different mix proportions were designed by adjusting the water-to-material ratio and replacing some raw materials with quartz sand or fly ash. The results showed that as the water-to-material ratio increased (S1–S4), AAC slurry fluidity improved, but foaming rate and expansion volume showed a non-monotonic trend. With the same water-to-material ratio, the S5 sample had lower bulk density (695 kg/m3) and moderate but favorable strength (4.25 MPa). Microscopic analysis revealed AAC strength mainly derived from tobermorite and C-S-H gel, and xonotlite enhanced structural stability. This study provides a feasible method for resource utilization of Yellow River sediment in AAC production, with environmental and engineering value. Full article
(This article belongs to the Section Construction and Building Materials)
Show Figures

Figure 1

24 pages, 23206 KB  
Article
Identification and Spatiotemporal Evolution of Drought–Flood Abrupt Alternation Events in the Yellow River Basin Based on Standardized Precipitation Evapotranspiration Index (SPEI)
by Heng Xiao, Huiru Su, Wentao Cai, Xiuyu Zhang and Chen Lu
Water 2026, 18(9), 1053; https://doi.org/10.3390/w18091053 - 29 Apr 2026
Abstract
This study proposes a quantitative identification method for drought–flood abrupt alternation (DFAA) events in the Yellow River Basin (YRB) based on the daily standardized precipitation evapotranspiration index (SPEI) data from 1982 to 2021 and analyzes their spatiotemporal evolution characteristics. The results show that [...] Read more.
This study proposes a quantitative identification method for drought–flood abrupt alternation (DFAA) events in the Yellow River Basin (YRB) based on the daily standardized precipitation evapotranspiration index (SPEI) data from 1982 to 2021 and analyzes their spatiotemporal evolution characteristics. The results show that the proposed identification method has good applicability and agrees well with historical records. Grid-scale DFAA events showed an overall slowly increasing trend in occurrence frequency. The mean occurrence frequency, mean duration, and mean intensity were 0.67 events, 30.57 d, and 1.45, respectively. The mean occurrence frequency had a pattern of being higher in the middle and lower reaches and lower in the upper reaches, whereas the mean intensity had a pattern of being higher in the west than in the east and higher in the south than in the north. A total of 16 DFAA events were identified in the YRB, with a mean annual occurrence frequency of 0.4 events per year and an increasing trend across decades. The mean total duration of these events was 31.81 d, and the intensity ranged from 0.96 to 1.79. DFAA events were generally less frequent in the upper reaches and more frequent in the middle and lower reaches and the inland-drainage area. For the level-II water resource subregions, Hekouzhen–Longmen (Subregion IV), Sanmenxia–Huayuankou (Subregion VI), the area below Huayuankou (Subregion VII), and the inland-drainage area (Subregion VIII) had higher occurrence frequencies and larger fluctuations in duration. These findings could provide a scientific reference for flood control, drought relief, and disaster risk management in the YRB. Full article
Show Figures

Figure 1

32 pages, 7017 KB  
Article
Individual Tree Species Classification in a Mining Area of the Yellow River Basin Using UAV-Based LiDAR, Hyperspectral, and RGB Data
by Guo Wang, Sheng Nie, Xiaohuan Xi, Cheng Wang and Hongtao Wang
Remote Sens. 2026, 18(9), 1361; https://doi.org/10.3390/rs18091361 - 28 Apr 2026
Viewed by 8
Abstract
The Yellow River Basin contains abundant coal resources; however, its ecological environment is inherently fragile, and vegetation degradation has been further intensified by extensive mining activities. Accurate classification of individual tree species in mining-affected areas is therefore essential for assessing ecological conditions and [...] Read more.
The Yellow River Basin contains abundant coal resources; however, its ecological environment is inherently fragile, and vegetation degradation has been further intensified by extensive mining activities. Accurate classification of individual tree species in mining-affected areas is therefore essential for assessing ecological conditions and establishing a scientific foundation for targeted restoration and sustainable management. To address this need, an evaluated machine learning framework was developed and evaluated for individual tree species classification in a coal mining area of the Yellow River Basin using integrated unmanned aerial vehicle (UAV) data. A comprehensive feature set was constructed by extracting 278 attributes per tree. These attributes included 224 spectral bands and 29 hyperspectral indices derived from hyperspectral imagery, 24 textural metrics obtained from RGB orthophotos, and one canopy height feature generated from a LiDAR-derived model. Based on ground-truth data from 1095 individual trees, seven machine learning algorithms were trained and systematically compared: Random Forest (RF), Support Vector Machine (SVM), K-Nearest Neighbors (KNN), Decision Tree (DT), Gradient Boosting (GB), Logistic Regression (LR), and XGBoost. Statistical significance testing using 5 × 5 repeated cross-validation, together with the Friedman test and post hoc Nemenyi test, and additional model stability analysis consistently identified XGBoost as the optimal classifier. On an independent test set, XGBoost achieved high accuracy (Overall Accuracy = 0.897, Kappa = 0.811) with an efficient training time of 2.36 s. Further analysis demonstrated the critical and complementary roles of hyperspectral and structural features in species discrimination. The optimized model was subsequently applied to generate a detailed wall-to-wall tree species map across the entire mining area. Overall, this study presents a statistically informed comparison of classifiers for multi-source feature-based species discrimination and delivers an evaluated and practical pipeline for effective vegetation monitoring. The proposed framework provides a scientific tool for assessing and managing ecological recovery in complex mining environments, particularly within ecologically sensitive regions such as the Yellow River Basin. Full article
(This article belongs to the Special Issue Remote Sensing and Smart Forestry (Third Edition))
Show Figures

Figure 1

16 pages, 2381 KB  
Article
Sustainable Upgrading of a Cold-Region Wastewater Treatment Plant for Improved Effluent Quality in the Yellow River Basin: Design and Operational Evaluation
by Yong Wang, Xin Jin, Weijie Zhang, Zhixiao Zhao and Yidan Guo
Sustainability 2026, 18(9), 4360; https://doi.org/10.3390/su18094360 - 28 Apr 2026
Viewed by 125
Abstract
Improving the effluent quality of municipal wastewater treatment plants (WWTPs) is essential for sustainable water management and water quality protection in the Yellow River Basin. Many existing WWTPs in northern China were constructed under earlier discharge requirements and now face dual challenges of [...] Read more.
Improving the effluent quality of municipal wastewater treatment plants (WWTPs) is essential for sustainable water management and water quality protection in the Yellow River Basin. Many existing WWTPs in northern China were constructed under earlier discharge requirements and now face dual challenges of stricter effluent standards and poor low-temperature performance in winter. In this study, a municipal WWTP with a design capacity of 5 × 104 m3/d in northern China was upgraded to improve winter treatment performance and support stable compliance with the discharge requirements of the Yellow River Basin. The original anaerobic + oxidation ditch process suffered from unstable effluent quality, excessive sludge loading, and insufficient pollutant removal under low-temperature conditions. A land-saving retrofit strategy was therefore proposed, involving oxidation ditch wall-height raising to extend the hydraulic retention time (HRT) and membrane bioreactor (MBR) integration to increase the mixed liquor suspended solids (MLSS) concentration. After the retrofit, the total HRT increased to 19.82 h, and the average MLSS concentration reached 7050 mg/L. The relative abundances of key nitrogen-removing bacteria, including Nitrospiraceae, Nitrosomonadaceae, and Rhodocyclaceae, increased markedly. Meanwhile, denitrification sludge loading and BOD5 sludge loading decreased to 0.030 and 0.033 kg/(kg·d), respectively. Under low-temperature conditions, the theoretical removal capacities of total nitrogen (TN) and BOD5 reached 44.32 and 286.19 mg/L, respectively, enabling stable effluent compliance. The results show that this retrofit strategy can improve WWTP effluent quality while avoiding large-scale land expansion, providing a practical and sustainable solution for upgrading cold-region WWTPs along the Yellow River Basin. Full article
22 pages, 7996 KB  
Article
Winter Road Condition Monitoring with Traffic Surveillance Cameras and Deep Learning
by Xing Wang, Maosu Wang, Ziyu Wang, Heyueyang Li, Muyun Du, Cuiyan Zhang, Chenlong Yuan, Chengyu Zhang and Huiting Lv
Urban Sci. 2026, 10(5), 230; https://doi.org/10.3390/urbansci10050230 - 28 Apr 2026
Viewed by 53
Abstract
Winter road snow significantly alters surface friction conditions and traffic capacity, serving as a critical factor contributing to traffic accidents, congestion, and temporary traffic control measures. Compared with sparsely deployed road sensors and labor-intensive field inspections, traffic surveillance cameras offer advantages such as [...] Read more.
Winter road snow significantly alters surface friction conditions and traffic capacity, serving as a critical factor contributing to traffic accidents, congestion, and temporary traffic control measures. Compared with sparsely deployed road sensors and labor-intensive field inspections, traffic surveillance cameras offer advantages such as dense spatial coverage, low deployment cost, and continuous observation capability, providing a feasible solution for segment-level winter road condition monitoring. To meet traffic management needs, this study categorizes the impact of road snow on passability into four classes: Clear, Light, Medium, and Heavy. A road snow coverage dataset containing 10,498 images under complex traffic scenarios was constructed and has been publicly released. Furthermore, nine representative deep learning models were systematically evaluated to compare their recognition performance and applicability for this task. Experimental results show that all models achieved over 89% classification accuracy on the test set. To further examine cross-regional generalization capability, 48 surveillance cameras from Canada and Norway were selected for real-world validation. Among all models, Swin Transformer achieved the highest accuracy of 81.2% under complex lighting conditions and varying viewpoints, demonstrating superior stability and transferability. The findings provide quantitative guidance for model selection and engineering deployment of camera-based winter road monitoring systems. Full article
Show Figures

Figure 1

19 pages, 12216 KB  
Article
Long-Term Water Stability of Silty Soil Subgrade Modified by Nano-Superhydrophobic Material in the Lower Yellow River Region
by Wenqiang Dou, Shang Gao, Runsheng Pei, Xiaoning Zhang, Chenhao Zhang, Tiancai Cao and Hao Zeng
Buildings 2026, 16(9), 1735; https://doi.org/10.3390/buildings16091735 - 28 Apr 2026
Viewed by 150
Abstract
Water-induced deterioration of silty soil subgrade in the lower Yellow River floodplain poses a critical, long-standing engineering challenge. Most existing studies on silty soil modification prioritize strength enhancement via traditional cementitious binders (i.e., cement, lime), yet these strategies fail to fundamentally block water [...] Read more.
Water-induced deterioration of silty soil subgrade in the lower Yellow River floodplain poses a critical, long-standing engineering challenge. Most existing studies on silty soil modification prioritize strength enhancement via traditional cementitious binders (i.e., cement, lime), yet these strategies fail to fundamentally block water migration in the soil matrix. A distinct scientific gap persists: the capillary water inhibition mechanism of nano-superhydrophobic modified Yellow River alluvial silt, along with the correlation between its microstructural evolution and macroscopic engineering performance, has yet to be systematically elucidated. To fill this gap, we conducted hydrophobic modification of the targeted silt using a nano-superhydrophobic material (NSHM), and performed a systematic suite of laboratory tests to characterize its hydrophobicity, mechanical properties, water stability, and microstructural characteristics. Quantitative experimental results demonstrate that NSHM imparts remarkable water resistance to the silt: at an NSHM dosage ≥0.5%, the modified soil exhibits stable superhydrophobicity across all tested compaction degrees, with over a 99% reduction in saturated hydraulic conductivity. Notably, the hydrophobic modification only incurs a <12% reduction in the dry unconfined compressive strength (UCS) of the silt. Microscopic characterization results reveal that NSHM modifies the silt via two core pathways: uniform particle encapsulation and pore infilling, without altering the inherent mineral functional groups of the soil. This microstructural regulation reduces the average pore diameter by 38.2% and total porosity by 15.6%, while optimizing the uniformity of pore size distribution. Based on comprehensive evaluation of overall performance, a minimum NSHM dosage of 0.5% is recommended for in situ application in local silty soil subgrade. This study provides critical theoretical guidance and technical support for water damage mitigation in alluvial silty soil subgrade. Full article
(This article belongs to the Section Building Materials, and Repair & Renovation)
Show Figures

Figure 1

Back to TopTop