Sign in to use this feature.

Years

Between: -

Subjects

remove_circle_outline
remove_circle_outline
remove_circle_outline
remove_circle_outline
remove_circle_outline
remove_circle_outline
remove_circle_outline
remove_circle_outline
remove_circle_outline

Journals

Article Types

Countries / Regions

Search Results (95)

Search Parameters:
Keywords = Wingate exercise test

Order results
Result details
Results per page
Select all
Export citation of selected articles as:
17 pages, 1156 KB  
Article
Sprint Cycling Interval Training Improves Aerobic and Anaerobic Performance—Comparison with Aerobic Interval Training in Physically Active Men
by Aleksander Drwal and Marcin Maciejczyk
Appl. Sci. 2026, 16(3), 1373; https://doi.org/10.3390/app16031373 - 29 Jan 2026
Viewed by 98
Abstract
The aim of the study was to determine the effects of sprint interval training (SIT) on anaerobic and aerobic performance in young physically active men, as assessed by maximal power (Pmax), maximal oxygen uptake (VO2max), and the second ventilatory threshold (VT2). [...] Read more.
The aim of the study was to determine the effects of sprint interval training (SIT) on anaerobic and aerobic performance in young physically active men, as assessed by maximal power (Pmax), maximal oxygen uptake (VO2max), and the second ventilatory threshold (VT2). The data obtained were presented against the background of the effects of aerobic interval training. Participants (n = 45) aged 19–27 years were recruited into three groups of 15 participants each. The first group performed SIT, the second performed aerobic interval training (AIT), and the third group was without any intervention (control—CON). In each study group, participants performed somatic measurements twice (before and after the exercise intervention), the Wingate test (assessing peak anaerobic power (PP)), and a graded exercise test assessing aerobic performance. The training intervention in the SIT and AIT groups lasted 6 weeks, with three training sessions per week. The duration of a single session in AIT was constant throughout the intervention and lasted 60 min, while in SIT it lasted 17 min (first session), and the longest training session lasted 30 min. Training in the SIT group resulted in a significant increase in absolute anaerobic peak power (p < 0.001, ES = 0.36), while no significant change in PP was observed after AIT (p = 0.13, ES = 0.24). Both training protocols (SIT and AIT) significantly improved VO2max (p = 0.03, ES = 0.39 and p = 0.02, ES = 0.55, respectively) and absolute Pmax (p < 0.001, ES = 0.68 and p = 0.02, ES = 0.36). Only in the AIT group were statistically significant changes related to VT2 observed: after training, oxygen uptake at VT2 increased significantly (p = 0.04, ES = 0.64). The SIT protocol improved both aerobic (VO2max) and anaerobic (PP) performance, but did not affect the VT2 level. The data indicate that SIT can be used for training in sports disciplines requiring aerobic and anaerobic performance. Full article
(This article belongs to the Special Issue Recent Research on Biomechanics and Sports)
Show Figures

Figure 1

24 pages, 1275 KB  
Article
Impact of Powdered Tart Cherry Supplementation on Performance Recovery Following Repeated Sprint Exercise
by Anthony M. Hagele, Kyle S. Levers, Kevin F. Holley, Alex C. Schrautemeier, Joesi M. Krieger, Joshua M. Iannotti, Connor J. Gaige, Ralf Jäger and Chad M. Kerksick
Nutrients 2026, 18(3), 443; https://doi.org/10.3390/nu18030443 - 29 Jan 2026
Viewed by 237
Abstract
Background: Due to its high polyphenol content and purported capability to mitigate post-exercise muscle soreness and promote recovery, tart cherry (TC) supplementation has been proposed to enhance recovery and athletic performance. This study examined the effects of powdered TC supplementation on various recovery [...] Read more.
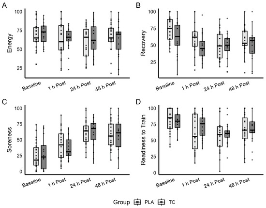
Background: Due to its high polyphenol content and purported capability to mitigate post-exercise muscle soreness and promote recovery, tart cherry (TC) supplementation has been proposed to enhance recovery and athletic performance. This study examined the effects of powdered TC supplementation on various recovery and performance metrics following a repeated sprint exercise protocol in physically active young adults. Methods: 40 (18 M, 22 F) healthy, active participants (24.6 ± 5.5 yrs, 171.5 ± 11 cm, 71.7 ± 14.5 kg, 24.2 ± 3.1 kg·m−2) participated in this randomized, double-blind, placebo-controlled, parallel study design. Placebo (PLA) or powdered TC supplementation (500 mg/day) occurred for ten days: seven days prior to, day of, and two days following repeated sprints (15 × 30 m with 1 min rest between sprints). Performance was assessed via the countermovement jump, isometric mid-thigh pull, isokinetic knee extension, and the Wingate anaerobic test. Recovery was evaluated using visual analog scales for soreness, recovery, and readiness to train. Muscle damage was evaluated using creatine kinase. These measures were evaluated at baseline, and at 1 h, 24 h, and 48 h post-exercise. Results: Significant main effects of time were observed with recovery VAS (p < 0.001), readiness to train VAS (p < 0.001), and jump height (p = 0.014) experiencing similar reductions, while soreness VAS (p < 0.001) and creatine kinase (p = 0.05) experienced similar increases in response to the repeated sprint protocol and supplementation. Across all measurements, no significant group × time differences were observed for jump height (PLA:−6.7 ± 10.4% vs. TC: −11.0 ± 17.9%, p = 0.608), peak propulsive force (PLA: 0.3 ± 4.6% vs. TC: 2.2 ± 7.4%, p = 0.194), knee extension peak torque at 180°/s (PLA: 10.5 ± 73.5% vs. TC: −1.04 ± 49.6%, p = 0.335), readiness to train VAS (PLA: −23.0 ± 19.2% vs. TC: −14.7 ± 20.2%, p = 0.401), soreness VAS (PLA: 250 ± 323% vs. TC: 261 ± 432%, p = 0.838), recovery VAS (PLA: −24.6 ± 17.9% vs. TC: −8.2 ± 40.5%, p = 0.251), and creatine kinase (PLA: 22.8 ± 35.5% vs. TC: 90.4 ± 225.6%, p = 0.31). Conclusions: A single bout of repeated sprints was responsible for significant reductions in jump height, peak propulsive force, peak torque, and perceived readiness, while perceived soreness, myoglobin, and creatine kinase were significantly increased. Ten days of TC supplementation did not impact any change beyond what was observed in PLA for markers of recovery, readiness, soreness, exercise performance, and markers of muscle damage. Full article
(This article belongs to the Special Issue The Role of Sports Supplements in Sport Performance)
Show Figures

Figure 1

13 pages, 1162 KB  
Article
Low-Load Blood Flow Restriction Training as an Effective Strategy for Improving Anaerobic Peak Power in Young Men
by Kyu-Seung Kim, Gi Beom Kim and Sunghoon Shin
Appl. Sci. 2026, 16(3), 1278; https://doi.org/10.3390/app16031278 - 27 Jan 2026
Viewed by 98
Abstract
This study aimed to investigate the efficacy of a 12-week blood flow restriction (BFR) resistance training (BFRRT) program in enhancing anaerobic power. Changes in anaerobic power were compared following 12 weeks of resistance training using three approaches: low-load resistance training with BFRRT at [...] Read more.
This study aimed to investigate the efficacy of a 12-week blood flow restriction (BFR) resistance training (BFRRT) program in enhancing anaerobic power. Changes in anaerobic power were compared following 12 weeks of resistance training using three approaches: low-load resistance training with BFRRT at 30% of one-repetition maximum (1RM), traditional high-load resistance training (HRT) at 80% of 1RM, and traditional low-load resistance training (LRT) at 30% of 1RM. Twenty-one male college students were randomly assigned to the BFRRT (n = 7), HRT (n = 7), or LRT (n = 7) groups. The BFR for BFRRT was applied to the proximal femur at 100–130 mmHg. Each group exercised three times per week for 12 weeks. Anaerobic power and metabolic fatigue levels were evaluated using the Wingate Anaerobic Test (WAnT) every 3 weeks, with blood lactate concentrations measured before and after each session. Outcomes included peak power, mean power, fatigue rate, and time to peak power, analyzed via two-way mixed-model analysis of variance. The results revealed a significant group × time interaction for anaerobic peak power, with the blood flow restriction training group demonstrating earlier improvements compared with traditional high-load resistance training, while no significant between-group differences were observed for mean power. Post hoc analysis revealed that BFRRT improved peak power by Week 6, HRT by Week 9, and LRT showed no improvements. BFRRT significantly enhanced anaerobic power in a shorter duration compared with HRT, despite utilizing lower loads and normal-speed exercises. These findings suggest that BFRRT is an effective method for improving anaerobic power while utilizing lower external loads than HRT. Full article
(This article belongs to the Section Applied Biosciences and Bioengineering)
Show Figures

Figure 1

22 pages, 2256 KB  
Article
Physiological Responder Profiles and Fatigue Dynamics in Prolonged Cycling
by Adrian Odriozola, Cristina Tirnauca, Francesc Corbi, Adriana González and Jesús Álvarez-Herms
J. Funct. Morphol. Kinesiol. 2025, 10(4), 472; https://doi.org/10.3390/jfmk10040472 - 8 Dec 2025
Viewed by 1024
Abstract
Objectives: To characterise multidomain physiological responses to a maximal cycling effort and identify consistent physiological responder profiles. A secondary objective was to compare professionals and amateurs and assess the practical value of these profiles for personalised monitoring and performance management. Methods: [...] Read more.
Objectives: To characterise multidomain physiological responses to a maximal cycling effort and identify consistent physiological responder profiles. A secondary objective was to compare professionals and amateurs and assess the practical value of these profiles for personalised monitoring and performance management. Methods: This observational study included 22 trained male cyclists (10 professionals, 12 competitive amateurs; age 27.6 ± 6.4 years; height 177.3 ± 5.5 cm; weight 65.5 ± 4.1 kg). Participants performed a maximal 20-min functional threshold power (FTP) test and complementary assessments (Bosco jump tests, blood pressure, heart rate, lactate, glycaemia, creatine kinase, albuminuria) across three time points (baseline, immediately post-FTP, and 24 h post-FTP). Statistical analyses included t-tests, ANOVA, and Spearman correlations, for recovery dynamics, with significance set at p < 0.05. Results: Professionals exhibited significantly higher FTP (5.5 ± 0.3 vs. 4.3 ± 0.4 W/kg, p < 0.001), greater post-exercise lactate (13.8 ± 1.6 vs. 11.2 ± 1.4 mmol/L, p < 0.01) and higher CK 24-h responses (412 ± 86 vs. 291 ± 74 U/L, p < 0.05). Cardiovascular and metabolic recovery slopes were faster in professionals (p < 0.05). Despite lower baseline jump values, professionals showed reduced neuromuscular fatigue (SJ post/pre = 0.94 ± 0.04 vs. 0.88 ± 0.05, p < 0.05). FTP correlated strongly with 5-min all-out power (r = 0.76, p < 0.01) and Wingate mean power (r = 0.75, p < 0.01). Eight responder profiles emerged across four physiological domains, with professionals predominantly showing multi-domain adaptation patterns. Although additional variables, such as elevated albuminuria and altered Elasticity Index (EI), provide insight into renal and neuromechanical stress responses, they were excluded from the final profiling due to limited practical interpretability. Conclusions: Fatigue and recovery in prolonged cycling show substantial interindividual variability across neuromuscular, metabolic, cardiovascular, and biochemical domains. Professional cyclists display faster recovery and more frequent multidomain responder profiles. The four-variable model (FTP, lactate, CK, SJ post/pre) enables clear identification of physiological responder types and offers a practical, integrative framework for personalised monitoring and performance management. Full article
(This article belongs to the Special Issue Applied Sport Physiology and Performance—4th Edition)
Show Figures

Figure 1

13 pages, 2066 KB  
Article
Effect of Oral Versus Nasal Breathing on Muscular Performance, Muscle Oxygenation, and Post-Exercise Recovery
by Morgan Lévénez, Clément Lévêque, Capucine Lafère, François Guerrero, Costantino Balestra and Pierre Lafère
Sports 2025, 13(10), 368; https://doi.org/10.3390/sports13100368 - 20 Oct 2025
Viewed by 5699
Abstract
Nitric oxide (NO) plays a crucial role in muscle oxidative capacity, which predicts muscle strength. This study aimed to investigate whether different breathing techniques (nasal or oral breathing) affect muscle performance during acute exhaustive exercise. In our study, 49 healthy individuals (24♀/25♂; age [...] Read more.
Nitric oxide (NO) plays a crucial role in muscle oxidative capacity, which predicts muscle strength. This study aimed to investigate whether different breathing techniques (nasal or oral breathing) affect muscle performance during acute exhaustive exercise. In our study, 49 healthy individuals (24♀/25♂; age 22.8 ± 3.4 years) performed two Wingate anaerobic tests in a counterbalanced order. Although perceived exertion was significantly higher with oral breathing (Borg Scale: 9.0 ± 1.1 vs. 8.0 ± 1.3, p = 0.04), breathing mode did not impact power output (peak: 749 ± 290 vs. 728 ± 284 W; average: 576 ± 217 vs. 575 ± 216 W, p = 0.2). NIRS data indicated no significant differences in muscle desaturation between the two breathing modes; however, nasal breathing resulted in significantly faster (0.45 ± 0.4 vs. 0.23 ± 0.12%/s, p = 0.02) and greater (75.2 ± 4.0 vs. 73.1 ± 3.6%, p = 0.04) post-exercise muscle recovery. As an indirect marker of NO bioavailability, flow-mediated dilation (FMD) was associated with a significant improvement (Pre: 107.4 ± 3.0% vs. Post: 110.3 ± 3.6%, p < 0.001) via nasal breathing only, with a significant difference between the two breathing modes (p < 0.0001). Therefore, we suggest that the nitrate–nitrite–NO pathway enhances muscle energy and function, which highlights the importance of nasal breathing. Full article
Show Figures

Figure 1

31 pages, 1058 KB  
Article
Interactions Between Monocarboxylate Transporter MCT1 Gene Variants and the Kinetics of Blood Lactate Production and Removal After High-Intensity Efforts: A Cross-Sectional Study
by Ewelina Maculewicz, Andrzej Mastalerz, Anna Mróz, Monika Johne, Katarzyna Krawczak-Wójcik, Agata Pabin, Aleksandra Garbacz, Katarzyna Komar, Myosotis Massidda, Petr Stastny and Aleksandra Bojarczuk
Genes 2025, 16(10), 1160; https://doi.org/10.3390/genes16101160 - 30 Sep 2025
Cited by 1 | Viewed by 1292
Abstract
Background/Objectives: Lactate (LA) is a key metabolite in exercise metabolism, transported across cell membranes by monocarboxylate transporters (MCTs). Although genetic variation in MCT genes has been linked to LA kinetics, evidence in athletic populations remains limited. This study investigated nine MCT1 polymorphisms (rs4301628, [...] Read more.
Background/Objectives: Lactate (LA) is a key metabolite in exercise metabolism, transported across cell membranes by monocarboxylate transporters (MCTs). Although genetic variation in MCT genes has been linked to LA kinetics, evidence in athletic populations remains limited. This study investigated nine MCT1 polymorphisms (rs4301628, rs12028967, rs10857983, rs3789592, rs10776763, rs1049434, rs6537765, rs7556664, rs7169) in relation to LA metabolism. Methods: 337 Polish and Czech males (elite athletes, sub-elite competitors, physically active controls) performed two maximal Wingate tests. Buccal swabs were collected for DNA extraction and single nucleotide polymorphism (SNP) genotyping. LA was assessed before and after the tests. Results: Five variants (rs3789592, rs7556664, rs7169, rs1049434, rs6537765) remained significantly associated with LA measured 30 min after the second Wingate (LA30′) and delta clearance capacity (DCC) in elites (codominant and recessive models: p = 0.01–0.03; false discovery rate (FDR)-adjusted p = 0.02–0.04). Rs10776763 showed the broadest associations, surviving FDR for LA30′ in all models (p = 0.003–0.03; FDR-adjusted p = 0.01–0.03) and for LA accumulation capacity (ACC) in the recessive model (p = 0.01; FDR-adjusted p = 0.03). Rs12028967 also supported a clearance role, with LA30′ significant in elites (p = 0.004; FDR-adjusted p = 0.01) and DCC in the overall cohort (p = 0.02; FDR-adjusted p = 0.03). In contrast, rs4301628 and rs10857983 demonstrated isolated LA30′ effects in elites (p = 0.004–0.01; FDR-adjusted p = 0.01), and no production-phase endpoint other than rs10776763 survived FDR; ACC remained significant in the recessive model (p = 0.01; FDR-adjusted p = 0.03). Conclusions: The results suggest that MCT1 polymorphisms contribute to differences in LA metabolism and warrant replication in larger, more diverse cohorts. Full article
(This article belongs to the Section Molecular Genetics and Genomics)
Show Figures

Figure 1

13 pages, 422 KB  
Article
Ischemic Preconditioning Attenuates the Decline in Repeated Anaerobic Performance Under Simulated Altitude: A Randomized Crossover Study
by Miłosz Drozd, Jakub Chycki, Adam Maszczyk, Hiago L. R. Souza, Adam Zajac and Moacir Marocolo
Sports 2025, 13(9), 313; https://doi.org/10.3390/sports13090313 - 8 Sep 2025
Viewed by 985
Abstract
Background: This study examined the effects of repeated ischemic preconditioning (IPC) combined with normobaric hypoxia on anaerobic performance and physiological stress markers. Methods: Fourteen physically active males (22.3 ± 3.1 years) completed three randomized, single-blind crossover sessions under the following conditions: (1) normoxia [...] Read more.
Background: This study examined the effects of repeated ischemic preconditioning (IPC) combined with normobaric hypoxia on anaerobic performance and physiological stress markers. Methods: Fourteen physically active males (22.3 ± 3.1 years) completed three randomized, single-blind crossover sessions under the following conditions: (1) normoxia (NOR), (2) normobaric hypoxia (HYP; FiO2 = 14.7%), and (3) hypoxia with IPC (IPC-HYP). Each session included three 30 s cycling Wingate tests separated by four minutes of passive recovery. Blood samples were collected pre-exercise, immediately post-exercise, and 15 min post-exercise to assess lactate, pH, bicarbonate (HCO3), and creatine kinase (CK) activity. Results: Peak power output was highest under NOR during Wingate II and III. IPC-HYP attenuated the decline in peak power compared to that under HYP (e.g., Wingate II: 15.56 vs. 12.52 W/kg). IPC-HYP induced greater lactate accumulation (peak: 15.45 mmol/L, p < 0.01), more pronounced acidosis (pH: 7.18 post-exercise), and lower bicarbonate (9.9 mmol/L, p < 0.01). CK activity, measured immediately and then 1 h and 24 h post-exercise, was highest under IPC-HYP at 24 h (568.5 U/L). Conclusions: IPC-HYP mitigates the decline in peak anaerobic power observed under hypoxia, despite eliciting greater metabolic and muscular stress. These findings suggest that IPC may enhance physiological adaptation to hypoxic training, potentially improving anaerobic performance. Full article
Show Figures

Graphical abstract

38 pages, 1149 KB  
Review
The Effects of Creatine Supplementation on Upper- and Lower-Body Strength and Power: A Systematic Review and Meta-Analysis
by Fatemeh Kazeminasab, Ali Bahrami Kerchi, Fatemeh Sharafifard, Mahdi Zarreh, Scott C. Forbes, Donny M. Camera, Charlotte Lanhers, Alexei Wong, Michael Nordvall, Reza Bagheri and Frédéric Dutheil
Nutrients 2025, 17(17), 2748; https://doi.org/10.3390/nu17172748 - 25 Aug 2025
Viewed by 21438
Abstract
Background: Creatine supplementation is widely used to enhance exercise performance, mainly resistance training adaptations, yet its differential effects on upper- and lower-body strength and muscular power remain unclear across populations. Objective: This systematic review and meta-analysis aimed to quantify the effects of creatine [...] Read more.
Background: Creatine supplementation is widely used to enhance exercise performance, mainly resistance training adaptations, yet its differential effects on upper- and lower-body strength and muscular power remain unclear across populations. Objective: This systematic review and meta-analysis aimed to quantify the effects of creatine supplementation in studies that included different exercise modalities or no exercise on upper- and lower-body muscular strength and power in adults. Methods: A comprehensive search of PubMed, Scopus, and Web of Science was conducted through 21 September 2024 to identify randomized controlled trials evaluating the effects of creatine supplementation on strength (bench/chest press, leg press, and handgrip) and power (upper and lower body). Weighted mean differences (WMDs) and 95% confidence intervals (CIs) were calculated using random-effects modeling. Subgroup analyses examined the influence of age, sex, training status, dose, duration, and training frequency. Results: A total of 69 studies with 1937 participants were included for analysis. Creatine plus resistance training produced small but statistically significant improvements in bench and chest press strength [WMD = 1.43 kg, p = 0.002], squat strength [WMD = 5.64 kg, p = 0.001], vertical jump [WMD = 1.48 cm, p = 0.01], and Wingate peak power [WMD = 47.81 Watts, p = 0.004] when compared to the placebo. Additionally, creatine supplementation combined with exercise training revealed no significant differences in handgrip strength [WMD = 4.26 kg, p = 0.10] and leg press strength [WMD = 3.129 kg, p = 0.11], when compared with the placebo. Furthermore, subgroup analysis based on age revealed significant increases in bench and chest press [WMD = 1.81 kg, p = 0.002], leg press [WMD = 8.30 kg, p = 0.004], and squat strength [WMD = 6.46 kg, p = 0.001] for younger adults but not for older adults. Subgroup analyses by sex revealed significant increases in leg press strength [WMD = 9.79 kg, p = 0.001], squat strength [WMD = 6.43 kg, p = 0.001], vertical jump [WMD = 1.52 cm, p = 0.04], and Wingate peak power [WMD = 55.31 Watts, p = 0.001] in males, but this was not observed in females. Conclusions: This meta-analysis indicates that creatine supplementation, especially when combined with resistance training, significantly improves strength in key compound lifts such as the bench or chest press and squat, as well as muscular power, but effects are not uniform across all measures. Benefits were most consistent in younger adults and males, while older adults and females showed smaller or non-significant changes in several outcomes. No overall improvement was observed for handgrip strength or leg press strength, suggesting that the ergogenic effects may be more pronounced in certain multi-joint compound exercises like the squat and bench press. Although the leg press is also a multi-joint exercise, results for this measure were mixed in our analysis, which may reflect differences in study design, participant characteristics, or variability in testing protocols. The sensitivity of strength tests to detect changes appears to vary, with smaller or more isolated measures showing less responsiveness. More well-powered trials in underrepresented groups, particularly women and older adults, are needed to clarify population-specific responses. Full article
(This article belongs to the Section Sports Nutrition)
Show Figures

Figure 1

17 pages, 2050 KB  
Article
Effects of Compression Pants with Different Pressure Levels on Anaerobic Performance and Post-Exercise Physiological Recovery: Randomized Crossover Trial
by Qinlong Li, Kaixuan Che, Wenlang Yu, Wenda Song and Yue Zhou
Sensors 2025, 25(15), 4875; https://doi.org/10.3390/s25154875 - 7 Aug 2025
Cited by 1 | Viewed by 3200
Abstract
Compression pants, as functional sportswear providing external pressure, are widely used to enhance athletic performance and accelerate recovery. However, systematic investigations into their effectiveness during anaerobic exercise and the impact of different pressure levels on performance and post-exercise recovery remain limited. This randomized [...] Read more.
Compression pants, as functional sportswear providing external pressure, are widely used to enhance athletic performance and accelerate recovery. However, systematic investigations into their effectiveness during anaerobic exercise and the impact of different pressure levels on performance and post-exercise recovery remain limited. This randomized crossover controlled trial recruited 20 healthy male university students to compare the effects of four garment conditions: non-compressive pants (NCP), moderate-pressure compression pants (MCP), high-pressure compression pants (HCP), and ultra-high-pressure compression pants (UHCP). Anaerobic performance was assessed through vertical jump, agility tests, and the Wingate anaerobic test, with indicators including time at peak power (TPP), peak power (PP), average power (AP), minimum power (MP), power drop (PD), and total energy produced (TEP). Post-exercise blood lactate concentrations and heart rate responses were also monitored. The results showed that both HCP and UHCP significantly improved vertical jump height (p < 0.01), while MCP outperformed all other conditions in agility performance (p < 0.05). In the Wingate test, MCP achieved a shorter TPP compared to NCP (p < 0.05), with significantly higher AP, lower PD, and greater TEP than all other groups (p < 0.05), whereas HCP showed an advantage only in PP over NCP (p < 0.05). Post-exercise, all compression pant groups recorded significantly higher peak blood lactate (Lamax) levels than NCP (p < 0.05), with MCP showing the fastest lactate clearance rate. Heart rate analysis revealed that HCP and UHCP induced higher maximum heart rates (HRmax) (p < 0.05), while MCP exhibited superior heart rate recovery at 3, 5, and 10 min post-exercise (p< 0.05). These findings suggest that compression pants with different pressure levels yield distinct effects on anaerobic performance and physiological recovery. Moderate-pressure compression pants demonstrated the most balanced and beneficial outcomes across multiple performance and recovery metrics, providing practical implications for the individualized design and application of compression garments in athletic training and rehabilitation. Full article
(This article belongs to the Section Biomedical Sensors)
Show Figures

Figure 1

16 pages, 667 KB  
Article
Strength Training vs. Aerobic Interval Training: Effects on Anaerobic Capacity, Aerobic Power and Second Ventilatory Threshold in Men
by Aleksander Drwal and Marcin Maciejczyk
Appl. Sci. 2025, 15(14), 7953; https://doi.org/10.3390/app15147953 - 17 Jul 2025
Viewed by 3279
Abstract
The purpose of this non-randomized study was to determine the effect of strength training and aerobic interval training on the anaerobic and aerobic power and endurance of young men (assessed by determination of the second ventilatory threshold (VT2)) in non-trained men. Participants (n [...] Read more.
The purpose of this non-randomized study was to determine the effect of strength training and aerobic interval training on the anaerobic and aerobic power and endurance of young men (assessed by determination of the second ventilatory threshold (VT2)) in non-trained men. Participants (n = 45) were recruited into three groups of 15 each. The first group performed strength training (ST), the second performed aerobic interval training (AIT), and the third group was the control group (CON). In each group, somatic measurements and tests of aerobic (graded test with VT2 determination) and anaerobic capacity (Wingate test) were performed twice (before and after the exercise intervention in the training groups). In the graded test, the level of maximal load (Pmax), maximal oxygen uptake (VO2max) and intensity and oxygen uptake at VT2 were determined. In the Wingate test, peak power (PP) and mean power (MP) were determined. The exercise intervention in the ST and AIT groups lasted 6 weeks, with three workouts per week. Training in the ST and AIT groups resulted in significant increase in absolute Pmax (p < 0.001, ES = 0.52 and p < 0.05, ES = 0.36), VO2max (p < 0.001, ES = 0.50 and p = 0.02, ES = 0.55) in the participants. Only AIT was significantly effective in improving oxygen uptake at VT2 (p < 0.04, ES = 0.64), and ST in improving PP. Strength training can be an effective training method in training aerobic and anaerobic capacity (significantly increases Pmax, VO2max, and PP), while it does not significantly affect work intensity at VT2. Our results suggest that, particularly in anaerobic–aerobic sports, strength training may be a training method that can simultaneously improve both anaerobic power and maximal oxygen uptake. It can also complement endurance training. Full article
(This article belongs to the Special Issue Recent Research on Biomechanics and Sports)
Show Figures

Figure 1

17 pages, 2064 KB  
Article
l-Carnitine and Alpha-Lipoic Acid Fail to Improve Anaerobic and Aerobic Performance in Trained Cyclists Despite a Reduction in Blood Lactate Concentration
by Alejandro de Rozas, Juan-José Pérez-Díaz, José Joaquín Muros, Cristóbal Sánchez-Muñoz, José-Ángel Rufían-Henares, Mikel Zabala and José-Antonio Salas-Montoro
Nutrients 2025, 17(13), 2227; https://doi.org/10.3390/nu17132227 - 4 Jul 2025
Cited by 1 | Viewed by 6595
Abstract
Background/Objectives: This study aimed to evaluate the effects of four weeks of combined Acetyl-l-Carnitine and alpha-lipoic acid (ALA) supplementation on anaerobic and aerobic performance and fatigue resistance in trained cyclists, hypothesizing improvements in maximal aerobic power (MAP), Wingate test performance, [...] Read more.
Background/Objectives: This study aimed to evaluate the effects of four weeks of combined Acetyl-l-Carnitine and alpha-lipoic acid (ALA) supplementation on anaerobic and aerobic performance and fatigue resistance in trained cyclists, hypothesizing improvements in maximal aerobic power (MAP), Wingate test performance, and reduced lactate accumulation. Methods: In a double-blind, randomized trial, 41 male trained cyclists (age: 36 ± 12 years; MAP: 4.35 ± 0.60 W·kg−1) were assigned to a supplement group (SUP, n = 19; 1200 mg/day Acetyl-l-Carnitine, 300 mg/day ALA, 1.1 mg Vitamin B1, 2.5 µg Vitamin B12) or placebo group (PLA, n = 22) for four weeks. Performance was assessed pre- and post-intervention via counter-movement jumps (CMJs), Wingate tests (WG1, WG2), and a graded exercise test (GXT). Blood lactate ([La]) was measured post-Wingate. A three-way mixed ANOVA analyzed Wingate performance (session, order, and group), and a two-way ANOVA assessed MAP and fatigue effects. Results: MAP increased by 3.4% (314 ± 32 W to 324 ± 37 W; p = 0.005) with no group interaction (p = 0.457). Wingate peak power showed main effects for order (p < 0.001) and session (p = 0.011) but no group interaction (p = 0.676). SUP reduced [La] by 1.5 mmol·L−1 post-WG2 in POST (p = 0.049). No significant group differences were found for CMJ or fatigue metrics. Conclusions: Four weeks of Acetyl-l-Carnitine and ALA supplementation did not enhance aerobic or anaerobic performance in trained cyclists, despite reducing blood lactate after high-intensity exercise, suggesting no ergogenic benefits. Full article
Show Figures

Figure 1

18 pages, 535 KB  
Article
The Effects of a High Carbohydrate Diet Combined with High Molecular Weight Carbohydrate Supplementation on Anaerobic Performance and Oxidative Stress in Elite Swimmers
by Mateusz Gawełczyk, Sławomir Jagsz, Adam Zając and Józef Langfort
J. Clin. Med. 2025, 14(11), 3846; https://doi.org/10.3390/jcm14113846 - 30 May 2025
Cited by 1 | Viewed by 2918
Abstract
Background/Objectives:Training periodization is fundamental to optimizing athletic performance, with carbohydrate metabolism playing a critical role in supporting high-intensity efforts by facilitating muscle glycogen resynthesis. Recent studies suggest that high carbohydrate diets and high molecular weight carbohydrate (HMWC) supplementation can improve both endurance [...] Read more.
Background/Objectives:Training periodization is fundamental to optimizing athletic performance, with carbohydrate metabolism playing a critical role in supporting high-intensity efforts by facilitating muscle glycogen resynthesis. Recent studies suggest that high carbohydrate diets and high molecular weight carbohydrate (HMWC) supplementation can improve both endurance and anaerobic performance, while potentially influencing oxidative stress. This study investigates the effects of a high carbohydrate diet combined with HMWC supplementation on anaerobic performance and oxidative stress markers in elite swimmers. Methods: Eight national-level swimmers (tier 3–4) completed a three-day training microcycle with dietary interventions. Anaerobic capacity was assessed using Wingate tests for upper and lower limbs, while swimming performance was evaluated through an 8 × 100 m exercise protocol. The study was conducted using a one group quasi-experimental design with a pre-test/post-test structure, with participants acting as their own controls. Baseline measurements were taken prior to the intervention, followed by the administration of the high carbohydrate diet and HMWC supplementation. Post-intervention assessments were performed using the same test protocols to assess changes in performance and oxidative stress markers (such as GSH, CK, MDA, FRAP), which were determined by ELISA. The samples were stored at −80 °C until the evaluations. STATISTICA 5.0 (StatSoft, Inc., 1995) was used for statistical analysis of the obtained results. Results: The obtained results demonstrated significant improvements in peak power output for the lower limbs following supplementation (p < 0.001) and a reduced time to peak power for the upper limbs (p < 0.001). Additionally, velocity during the final swimming segments increased significantly following the intervention (p < 0.001). However, no notable changes were observed in antioxidant enzyme activity (SOD, CAT, GPx, GR) or low molecular weight antioxidants, suggesting a potential ceiling effect in redox adaptations. Lipid peroxidation, measured by MDA levels, increased post-supplementation (p < 0.05), indicating oxidative stress associated with high-intensity training and supplementation. Conclusions: The findings underscore the efficacy of combined dietary strategies with HMWC in enhancing anaerobic performance in swimming, while highlighting the necessity for further exploration of oxidative stress dynamics. Full article
(This article belongs to the Section Sports Medicine)
Show Figures

Figure 1

15 pages, 1413 KB  
Article
Effects of Caffeine Intake Combined with Self-Selected Music During Warm-Up on Anaerobic Performance: A Randomized, Double-Blind, Crossover Study
by Bopeng Qiu, Ziyu Wang, Yinkai Zhang, Yusong Cui, Penglin Diao, Kaiji Liu, Juan Del Coso and Chang Liu
Nutrients 2025, 17(2), 351; https://doi.org/10.3390/nu17020351 - 19 Jan 2025
Cited by 3 | Viewed by 5109
Abstract
Background: Both listening to music during warm-up and consuming caffeine before exercise have been independently shown to enhance athletic performance. However, the potential synergistic effects of combining these strategies remain largely unexplored. To date, only two studies have reported additional benefits to combining [...] Read more.
Background: Both listening to music during warm-up and consuming caffeine before exercise have been independently shown to enhance athletic performance. However, the potential synergistic effects of combining these strategies remain largely unexplored. To date, only two studies have reported additional benefits to combining music during warm-up with a caffeine dose of 3 mg/kg on taekwondo-specific performance tasks. However, these studies did not evaluate whether this combination produces additive or synergistic effects on other types of sports performance. The present study aimed to assess the effects of listening to music alone or combined with caffeine intake on performance in the Wingate anaerobic test (WAnT) in physically active subjects. Methods: Twenty-four physically active male participants took part in this randomized, double-blind, crossover experiment. Participants underwent WAnT performance evaluations under three conditions: (i) no intervention (control; CON); (ii) music plus placebo (Mus + PLA), involving the intake of a placebo (maltodextrin) 60 min prior and self-selected high-tempo music during warm-up; and (iii) music plus caffeine (Mus + CAF), involving the intake of 3 mg/kg of caffeine 60 min prior and self-selected high-tempo music during warm-up. Under all conditions, participants wore the same Bluetooth headphones (with or without music), performed a 10 min standardized warm-up, and completed the 30 s WAnT with a load of 7.5% of their body weight on a calibrated ergometer. Power output was recorded at a frequency of 1 Hz throughout the exercise. The Feeling Scale was assessed both before and after the exercise test, while heart rate (HR) and the rating of perceived exertion (RPE) were measured immediately following the exercise. Results: Mus + PLA and Mus + CAF significantly improved peak power, mean power, and total work compared with CON (p < 0.05). Furthermore, peak power was higher in Mus + CAF than in Mus + PLA (p = 0.01). Post-exercise HR and RPE showed no significant differences across conditions (p > 0.05). Regarding the Feeling Scale (FS) before exercise, the Mus + PLA and Mus + CAF conditions showed significantly higher scores than CON (p < 0.05), while no differences were found after exercise. The perceived fitness metrics displayed no significant differences among conditions (p > 0.05), except for self-perceived power, which was higher in Mus + CAF than in CON (p = 0.03). Conclusions: Self-selected music during warm-up, either alone or combined with caffeine, significantly enhanced several WAnT performance metrics, including peak power, mean power, and total work. Remarkably, combining music with caffeine further improved peak power and increased self-perceived power compared with music alone. While listening to self-selected music during warm-up provided measurable benefits on anaerobic exercise performance, the combination of music and caffeine demonstrated additive effects, making it the optimal strategy for maximizing anaerobic performance. Full article
(This article belongs to the Special Issue Caffeine Intake for Human Health and Exercise Performance)
Show Figures

Figure 1

10 pages, 519 KB  
Article
The Effect of Post-Exercise Warm Water Immersion on Anaerobic Power Performance in College Students
by Chloe E. Newlands, Michele Aquino, Kevin Z. Young, Soniya T. Gupta, John Petrizzo, John W. Wygand and Robert M. Otto
Physiologia 2024, 4(4), 363-372; https://doi.org/10.3390/physiologia4040022 - 29 Oct 2024
Viewed by 4272
Abstract
Background/Objectives: The purpose of this study was to investigate the effect of a short-term passive post-exercise heat acclimation (HA) protocol on anaerobic performance in college students. Methods: In total, 28 participants (age 22.3 ± 2.1 years, height 168 ± 9.1 cm, mass 71.5 [...] Read more.
Background/Objectives: The purpose of this study was to investigate the effect of a short-term passive post-exercise heat acclimation (HA) protocol on anaerobic performance in college students. Methods: In total, 28 participants (age 22.3 ± 2.1 years, height 168 ± 9.1 cm, mass 71.5 ± 16.6 kg) volunteered and were randomly divided into either an intervention (INT) or control (CON) group. Both groups followed a consecutive two-day protocol, consisting of a 25 min submaximal cycle @ 50–60% heart rate reserve (HRR), followed by a 25 min hot water immersion (INT) or nothing (CON). All participants performed a 30 s Wingate Anaerobic Test (WAnT) on four separate occasions—familiarization, pre-intervention, acutely post-intervention, and 24 h post intervention. The WAnT measured their peak power (W), relative peak power (W/kg), mean power (W), fatigue index (%), and total work (kJ). Results: From the results of the Factorial ANOVA, it was found that there were no significant differences, with no main effect for group (INT vs. CON) or time (Trials 1–4) and no significant interaction across all measured variables (p > 0.05). Conclusions: A two-day post-exercise passive HA protocol utilizing hot water immersion had no significant effect on the measurement of anaerobic performance in college students. Full article
(This article belongs to the Special Issue Exercise Physiology and Biochemistry: 2nd Edition)
Show Figures

Figure 1

15 pages, 1410 KB  
Article
Submaximal Verification Test to Exhaustion Confirms Maximal Oxygen Uptake: Roles of Anaerobic Performance and Respiratory Muscle Strength
by Kamil Michalik and Natalia Danek
J. Clin. Med. 2024, 13(19), 5758; https://doi.org/10.3390/jcm13195758 - 27 Sep 2024
Cited by 1 | Viewed by 2537
Abstract
Background: The incremental exercise test is commonly used to measure maximal oxygen uptake (VO2max), but an additional verification test is often recommended as the “gold standard” to confirm the true VO2max. Therefore, the aim of this study was [...] Read more.
Background: The incremental exercise test is commonly used to measure maximal oxygen uptake (VO2max), but an additional verification test is often recommended as the “gold standard” to confirm the true VO2max. Therefore, the aim of this study was to compare the peak oxygen uptake (VO2peak) obtained in the ramp incremental exercise test and that in the verification test performed on different days at submaximal intensity. Additionally, we examined the roles of anaerobic performance and respiratory muscle strength. Methods: Sixteen physically active men participated in the study, with an average age of 22.7 ± 2.4 (years), height of 178.0 ± 7.4 (cm), and weight of 77.4 ± 7.3 (kg). They performed the three following tests on a cycle ergometer: the Wingate Anaerobic Test (WAnT), the ramp incremental exercise test (IETRAMP), and the verification test performed at an intensity of 85% (VER85) maximal power, which was obtained during the IETRAMP. Results: No significant difference was observed in the peak oxygen uptake between the IETRAMP and VER85 (p = 0.51). The coefficient of variation was 3.1% and the Bland–Altman analysis showed a high agreement. We found significant correlations between the total work performed in the IETRAMP, the anaerobic peak power (r = 0.52, p ≤ 0.05), and the total work obtained in the WAnT (r = 0.67, p ≤ 0.01). There were no significant differences in post-exercise changes in the strength of the inspiratory and expiratory muscles after the IETRAMP and the VER85. Conclusions: The submaximal intensity verification test performed on different days provided reliable values that confirmed the real VO2max, which was not limited by respiratory muscle fatigue. This verification test may be suggested for participants with a lower anaerobic mechanical performance. Full article
(This article belongs to the Section Epidemiology & Public Health)
Show Figures

Figure 1

Back to TopTop