Sign in to use this feature.

Years

Between: -

Subjects

remove_circle_outline
remove_circle_outline
remove_circle_outline
remove_circle_outline
remove_circle_outline
remove_circle_outline
remove_circle_outline
remove_circle_outline
remove_circle_outline

Journals

remove_circle_outline
remove_circle_outline
remove_circle_outline
remove_circle_outline
remove_circle_outline
remove_circle_outline
remove_circle_outline
remove_circle_outline
remove_circle_outline
remove_circle_outline
remove_circle_outline
remove_circle_outline
remove_circle_outline
remove_circle_outline

Article Types

Countries / Regions

remove_circle_outline
remove_circle_outline
remove_circle_outline
remove_circle_outline
remove_circle_outline
remove_circle_outline
remove_circle_outline
remove_circle_outline

Search Results (4,096)

Search Parameters:
Keywords = Wind direction

Order results
Result details
Results per page
Select all
Export citation of selected articles as:
18 pages, 5658 KB  
Article
Research on Wind Environment Characteristics of the QiTai Radio Telescope Site Based on Wind Tower Measurements
by Feilong He, Laibing Li, Qian Xu, Na Wang, Shijiao Zhang, Hui Wang, Guljaina Kazezkhan and Xiaoman Cao
Sensors 2026, 26(1), 51; https://doi.org/10.3390/s26010051 (registering DOI) - 20 Dec 2025
Abstract
Wind disturbance is one of the key factors affecting the high-precision pointing of large-aperture radio telescopes. Therefore, it is indispensable to monitor the wind environment of the site. This enables the acquisition of wind environment data, facilitating targeted wind-resistant design to maintain the [...] Read more.
Wind disturbance is one of the key factors affecting the high-precision pointing of large-aperture radio telescopes. Therefore, it is indispensable to monitor the wind environment of the site. This enables the acquisition of wind environment data, facilitating targeted wind-resistant design to maintain the observational performance of the radio telescope. A 60 m high wind tower is located within the QTT (QiTai Radio Telescope, 110 m) site. This study investigates the wind environment characteristics based on the wind data for the entire year of 2021. The analysis of anomalous data from the wind tower indicates that these are mainly caused by local freezing rain and snow conditions. The temporal variations and vertical distribution characteristics of the wind environment were analyzed. On an annual basis, winds predominantly originate from north–south, while those from east–west are relatively less frequent; 90% of the winds are less than 4 m/s; the maximum recorded wind speed is 22.29 m/s; the prevailing winds are from the SSE (south-southeast) direction. On a monthly basis, the distributions of wind direction and speed exhibit a distinct seasonal cycle, with wind speeds being relatively lower in winter. On a diurnal basis, the wind direction undergoes a reversal, with northerly winds prevailing during the day and southerly winds at night; the diurnal wind speed distribution shows that nocturnal wind speeds are relatively stable and lower. Daily wind speed statistics indicate that there were 79 days on which 90% of wind speeds throughout the day were less than or equal to 2 m/s. Compared to sites of other telescopes of a similar class, the wind environment at the QTT site is relatively favorable. Full article
(This article belongs to the Section Environmental Sensing)
26 pages, 7454 KB  
Article
Dynamic Response of Large Wind Turbine Under Multidimensional Seismic Excitation Based on New 15-DOF Dimensionality Reduction Model
by Zhijun Li, Chen Xie, Wenyi Liu and Xuehua Li
Buildings 2026, 16(1), 9; https://doi.org/10.3390/buildings16010009 - 19 Dec 2025
Abstract
With the increase in size and flexibility of wind turbines, the safety of large wind turbines becomes a major issue. For this reason, a novel 15-degree-of-freedom (DOF) large wind turbine reduced-order model is proposed in this paper based on the Euler–Lagrange equation. Considering [...] Read more.
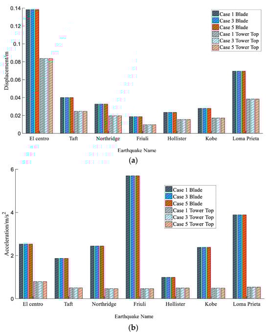
With the increase in size and flexibility of wind turbines, the safety of large wind turbines becomes a major issue. For this reason, a novel 15-degree-of-freedom (DOF) large wind turbine reduced-order model is proposed in this paper based on the Euler–Lagrange equation. Considering rated speed and parking operating conditions, the dynamic response of the large wind turbine under multidimensional seismic excitation is studied. The 5 MW fixed-bottom wind turbine developed by the National Renewable Energy Laboratory (NREL) is used to testify to the effectiveness of the proposed model. The simulation results indicate that the modal frequencies of the new 15-DOF dimensionality reduction model have a relative error of 0.128–7.820% compared with FAST results, the maximum displacement in the flapwise direction of the blade is 64.93% greater than that in the edgewise direction, and the maximum acceleration is 91.47%. Considering the vertical seismic excitation, the maximum displacement of the edgewise direction is increased by 48.45%, the maximum acceleration of the edgewise direction is increased by 161.17%, the maximum vertical displacement at the top of the tower is within 0.07–0.50% of the horizontal displacement, and the maximum vertical acceleration at the top of the tower is within 5.01–14.42% of the horizontal acceleration. The rated speed state is the worst operating condition in the edgewise direction of the blade, and the maximum blade edgewise acceleration is increased by 180.36% compared with the parking state. The parking state is the worst operating condition in the flapwise direction of the blade, and the maximum blade flapwise acceleration is increased by 365.51% compared with the rated speed state. Full article
Show Figures

Figure 1

34 pages, 976 KB  
Article
Behavioral Channels Linking Firm Characteristics and Environmental, Social, and Governance Performance: Evidence from Chinese Listed Firms
by Zhuyun Xie, Yuan Xu and Yuzhe Xie
Sustainability 2025, 17(24), 11337; https://doi.org/10.3390/su172411337 - 17 Dec 2025
Viewed by 218
Abstract
This study examines the effects of firm characteristics on environmental, social, and governance (ESG) performance among A-share firms listed in Shanghai and Shenzhen. Drawing on the resource-based view, legitimacy theory, and agency theory, this study examines both direct and indirect mechanisms connecting corporate [...] Read more.
This study examines the effects of firm characteristics on environmental, social, and governance (ESG) performance among A-share firms listed in Shanghai and Shenzhen. Drawing on the resource-based view, legitimacy theory, and agency theory, this study examines both direct and indirect mechanisms connecting corporate profitability, firm size, and ownership concentration to enhance ESG performance. This research employs secondary panel data from the CSMAR, DIB, and WIND databases (13,911 observations) and estimates two-way fixed effects models with firm-clustered standard errors. The outcomes show that profitability, firm size, and ESG performance have positive relationships, but ownership concentration is a negative factor in ESG performance. Market share and managers’ risk preferences mediate the relationship between firm characteristics and ESG performance; however, these effects are interpreted as exploratory due to panel data constraints. Internal control enhances these relationships, which emphasize the importance of the process of sustainability itself. The study provides practical insights that managers, policymakers, or investment firms can apply to improve ESG integration accountability in the emerging markets context. Full article
Show Figures

Figure 1

18 pages, 3770 KB  
Article
Fractional-Order Nonlinear PI Control for Tracking Wind Direction in Large Wind Energy Converters
by Adrian Gambier
Machines 2025, 13(12), 1150; https://doi.org/10.3390/machines13121150 - 17 Dec 2025
Viewed by 45
Abstract
In this work, the yaw control of large wind turbines is studied. The objective is to analyse how to maximise energy conversion by yawing the rotor in response to wind direction while minimising yaw activity. In order to improve the control performance, three [...] Read more.
In this work, the yaw control of large wind turbines is studied. The objective is to analyse how to maximise energy conversion by yawing the rotor in response to wind direction while minimising yaw activity. In order to improve the control performance, three algorithms are used and compared: the classic PI controller, the nonlinear PI controller, and the fractional-order nonlinear PI controller. An adaptive dead-zone and anti-windup procedure for amplitude- and rate-limited actuators are also considered, which helps to reach the main objective. Simulation experiments are carried out on a 20 MW reference wind turbine. The results are very promising, showing clear performance improvements. Full article
(This article belongs to the Section Automation and Control Systems)
Show Figures

Figure 1

22 pages, 6429 KB  
Article
Multi-Scale Experiments and Mechanistic Insights into Hydro-Physical Properties of Saturated Deep-Sea Sediments in the South China Sea
by Yan Feng, Qiunan Chen, Guangping Liu, Xiaocheng Huang, Zengliang Wang, Wei Hu, Bingchu Chen, Shunkai Liu and Xiaodi Xu
Water 2025, 17(24), 3581; https://doi.org/10.3390/w17243581 - 17 Dec 2025
Viewed by 145
Abstract
Deep-sea-resource development and marine engineering represent cutting-edge global research priorities. As a typical deep-sea region in the Western Pacific, the physical–mechanical properties of the South China Sea’s deep-sea sediments have critical implications for regional and global deep-sea engineering design and the safety assessments [...] Read more.
Deep-sea-resource development and marine engineering represent cutting-edge global research priorities. As a typical deep-sea region in the Western Pacific, the physical–mechanical properties of the South China Sea’s deep-sea sediments have critical implications for regional and global deep-sea engineering design and the safety assessments of resource exploitation. However, due to extreme environmental conditions and sampling technology limitations, studies on the mechanical behavior and microstructural control mechanisms of sediments in complex marine environments exceeding 2000 m in depth remain insufficient worldwide, hindering precise engineering design and risk management. This study systematically investigates the physical–mechanical properties, microstructure, and mechanical behavior of intact sediments acquired at a depth of 2060 m in the South China Sea. Through physical property tests, scanning electron microscopy (SEM), energy-dispersive X-ray spectroscopy (EDX), X-ray diffraction (XRD), one-dimensional consolidation, and triaxial shear tests, combined with comparisons with nearshore soft soils and other deep-sea sediments, we acquired the following results: The sediments primarily consist of muscovite, quartz, and calcite. Triaxial shear tests revealed initial dilation followed by shear consolidation, reaching critical conditions with an effective cohesion of 19.58 kPa and an effective internal friction angle of 27.32°. One-dimensional consolidation tests indicated a short principal consolidation time, wherein the consolidation coefficient first decreased under loading before slowly increasing, while the secondary consolidation coefficient stabilized after vertical pressure exceeded 400 kPa. The research results not only provide a direct reference for designing deep-sea engineering projects in the South China Sea, calculating the penetration resistance of deep-sea drilling rigs, and predicting the foundation settlement of offshore wind power but also furnish typical cases and key data support for the study of the mechanical properties of global deep-sea high-organic-matter sediments and engineering applications. Full article
(This article belongs to the Special Issue Advances in Water Related Geotechnical Engineering)
Show Figures

Figure 1

26 pages, 7962 KB  
Article
Optimized Structures for Passive Vibration Control of Floating Vertical-Axis Wind Turbine
by Fang Zhou, Zhiyuan Yao, Mengyao Yang, Jinbo Chen, Rui Zhao and Yongfei Zhang
Energies 2025, 18(24), 6560; https://doi.org/10.3390/en18246560 - 15 Dec 2025
Viewed by 190
Abstract
Large-scale vertical-axis wind turbines (VAWTs) have potential applications in the oceanic environment due to their ease of installation and maintenance. Most research has focused on the aerodynamic enhancement of VAWTs; however, controlling the structural vibration of a VAWT supported by a floating platform [...] Read more.
Large-scale vertical-axis wind turbines (VAWTs) have potential applications in the oceanic environment due to their ease of installation and maintenance. Most research has focused on the aerodynamic enhancement of VAWTs; however, controlling the structural vibration of a VAWT supported by a floating platform has seldom been addressed in previous work. In this paper, four optimized structures are proposed to passively mitigate the dynamic response of a 5 MW floating VAWT subjected to high wind speeds (25 m/s) and combined platform motions (pitch and surge). Computational fluid dynamics (CFD) was used to calculate the wind loads, while the wave loads were represented by accelerations applied to the bottom of the turbine. The dynamic responses of the original and optimized models were comprehensively compared. The results show that the optimized models effectively reduce vibration by shifting the blade swing and flapping modes to higher frequencies. Specifically, the model incorporating brace struts, cables, and spring-damping units demonstrates the highest damping efficiency, reaching 96.83% for the y-direction displacement at the blade tip. Full article
Show Figures

Figure 1

54 pages, 8361 KB  
Review
A Review of Meteorological Hazards on Wind Turbines Performance: Part 1 Lightning, Icing, and Rain
by Xiao-Hang Wang, Chong-Shen Khor, Kok-Hoe Wong, Jing-Hong Ng, Shabudin Mat and Wen-Tong Chong
Energies 2025, 18(24), 6558; https://doi.org/10.3390/en18246558 - 15 Dec 2025
Viewed by 138
Abstract
Wind power is a major source of renewable energy, yet turbine performance is strongly influenced by atmospheric conditions and surrounding terrain. Several meteorological phenomena can hinder energy production, disrupt operations, and accelerate structural deterioration. This paper reviews three key atmospheric hazards affecting wind [...] Read more.
Wind power is a major source of renewable energy, yet turbine performance is strongly influenced by atmospheric conditions and surrounding terrain. Several meteorological phenomena can hinder energy production, disrupt operations, and accelerate structural deterioration. This paper reviews three key atmospheric hazards affecting wind turbine systems: lightning, icing, and rain. For each phenomenon, the formation mechanisms, operational effects, and mitigation approaches are examined, with offshore-specific processes and conditions integrated directly into each hazard discussion. Building on this foundation, the review then analyses interactions between the hazards, their combined implications for turbine performance and maintenance, and the associated economic impacts. Comparisons of material behaviour across lightning, icing, and rain-erosion conditions are also incorporated. Finally, future research directions are proposed. Full article
(This article belongs to the Section A3: Wind, Wave and Tidal Energy)
Show Figures

Figure 1

22 pages, 7000 KB  
Article
Complex Spatiotemporal Patterns of Pine and Monochamus Alternatus Model Induced by Cross-Diffusion and Convection
by Danni Wang, Qingkai Xu and Chunrui Zhang
Mathematics 2025, 13(24), 3990; https://doi.org/10.3390/math13243990 - 15 Dec 2025
Viewed by 172
Abstract
Based on the two-dimensional reaction–diffusion model, the spatiotemporal dynamical characteristics of the semi-discrete pine–Monochamus alternatus system with cross-diffusion and convection effect were studied in this work. Firstly, the stability conditions of the equilibrium point were obtained through linear stability analysis and Lyapunov coefficients, [...] Read more.
Based on the two-dimensional reaction–diffusion model, the spatiotemporal dynamical characteristics of the semi-discrete pine–Monochamus alternatus system with cross-diffusion and convection effect were studied in this work. Firstly, the stability conditions of the equilibrium point were obtained through linear stability analysis and Lyapunov coefficients, as well as the Andronov–Hopf bifurcation, which explained the reason for the periodic outbursts of the Lyapunov population from a dynamic perspective. Subsequently, through the characteristic equations of the Laplace operator 2 and the gradient operator ∇, the critical discrimination conditions for the occurrence of Turing instability in the system were obtained and revealed that the phenomenon of frequent damage to pine caused by the pink Monochamus is in the form of patches. Finally, the reliability of the theoretical analysis was verified through numerical simulation, and the dual effect of convection was clearly found in the system. Moderate convection can change the pattern shape, while strong convection produces a “washout effect”, completely inhibiting the formation of the pattern. This indicates that factors such as wind or the directional migration of Monochamus alternatus significantly affect the spatial distribution pattern of pests. Therefore, the theoretical research on Turing instability of models with convection terms may provide inspiration for subsequent studies. Full article
Show Figures

Figure 1

16 pages, 2019 KB  
Article
Effects of Construction-Induced Conditions on the Bearing Capacity of Deep-Water Pile Anchors for Floating Offshore Wind Turbines
by Yao Zhong, Fanquan Zeng, Hui Wang, Qi He, Yingfei Liu and Puyang Zhang
Energies 2025, 18(24), 6548; https://doi.org/10.3390/en18246548 - 15 Dec 2025
Viewed by 122
Abstract
Using the geologically complex Wanning (Hainan) site as context, this study applies finite-element analyses to quantify how three construction-induced conditions—foundation out-of-level, directional misalignment, and seabed scour—affect the bearing performance of deep-water pile-anchor foundations for floating offshore wind. For the Wanning case, typical installation [...] Read more.
Using the geologically complex Wanning (Hainan) site as context, this study applies finite-element analyses to quantify how three construction-induced conditions—foundation out-of-level, directional misalignment, and seabed scour—affect the bearing performance of deep-water pile-anchor foundations for floating offshore wind. For the Wanning case, typical installation and loading deviations reduce the characteristic resistance by a clearly measurable amount: changing the loading inclination from 30° to 45° and superimposing a 5° out-of-level installation leads to reductions in Rc of approximately 7–10%. A 3 m scour pit around the pile has a more severe impact, decreasing Rc by about 18% for 30° loading and up to 28% for 45° loading. Under accidental-limit-state loading, the maximum pile-head displacement increases from about 0.247 m (ULS) to 0.396 m (ALS), i.e., by roughly 60%. These quantitative results demonstrate that construction-induced deviations and scour can significantly erode safety margins, highlighting the need to control installation accuracy and to explicitly incorporate scour allowances and protection in design. Full article
(This article belongs to the Section A3: Wind, Wave and Tidal Energy)
Show Figures

Figure 1

23 pages, 8655 KB  
Article
Analysis of the Influence of Partially Restrained Reinforced Angle Steel Members (PRR-ASM) on the Wind-Resistant Performance of Transmission Tower-Line System: Test and Numerical Simulation Verification
by Tianyuan Cai, Dehui Zhao, Baohai Yang, Ning Zhang, Kangning Guo and He Chen
Buildings 2025, 15(24), 4520; https://doi.org/10.3390/buildings15244520 - 14 Dec 2025
Viewed by 167
Abstract
The transmission tower-line system is subjected to long-term loads such as wind and ice, and the instability of the tower leg angle steel is one of the key factors leading to collapse. This paper proposes the partially restrained reinforced angle steel member (PRR-ASM), [...] Read more.
The transmission tower-line system is subjected to long-term loads such as wind and ice, and the instability of the tower leg angle steel is one of the key factors leading to collapse. This paper proposes the partially restrained reinforced angle steel member (PRR-ASM), a method used to enhance the bearing capacity of the tower leg angle steel. By combining tests and simulation analyses, the reinforcement mechanism and engineering applicability of PRR-ASM were studied. Comparative analysis was performed on the gap working conditions of PRR-ASM, and compression tests on constraint gaps (0/2/4 mm) were conducted. The bearing capacity of partially constrained specimens increased by 31%, and the yield displacement increased by 92.2%. Analysis of constraint segment length showed that length significantly affects bearing capacity, and better improvement in stability performance can be achieved with partial constraint. Based on the test and simulation results, constitutive and simplified models were established, and PRR-ASM was applied to vulnerable members of the tower-line system. A two towers and three lines coupled model was constructed to analyze the structural failure mechanism. The results show that under the most unfavorable wind direction, the ultimate wind speed after reinforcement increased from 25 m/s to 32 m/s, and the member safety factor increased from 1.6 to 3.4. Considering high reinforcement efficiency and low economic cost in engineering, the gap-free, partially constrained scheme is recommended for engineering practice. Full article
Show Figures

Figure 1

21 pages, 5933 KB  
Article
Numerical Investigation of Spin Ratio Optimization for a Single-Rotor Sail and Aerodynamic Performance Evaluation of Multi-Rotor Sail Systems Based on Wake Interaction Characteristics
by Woobeom Han, Wook Kwon, Dahye Choi and Kanghee Lee
Processes 2025, 13(12), 4035; https://doi.org/10.3390/pr13124035 - 13 Dec 2025
Viewed by 149
Abstract
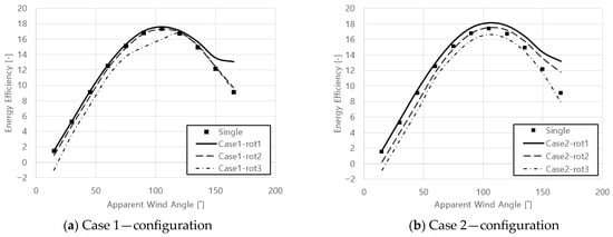
In this study, the aerodynamic performance of single- and multi-rotor sail systems was numerically investigated under various inflow directions and array configurations using Computational Fluid Dynamics (CFD) simulations. For a single-rotor sail, the optimal spin ratio (SR) for each wind direction was derived [...] Read more.
In this study, the aerodynamic performance of single- and multi-rotor sail systems was numerically investigated under various inflow directions and array configurations using Computational Fluid Dynamics (CFD) simulations. For a single-rotor sail, the optimal spin ratio (SR) for each wind direction was derived from the energy efficiency index, and an appropriate spacing distance of 9D was identified, within the present steady-RANS framework, as a preliminary guideline based on wake-recovery characteristics. Using these findings, four array configurations were established to reflect the practical installation conditions of a medium-range (MR) tanker. The wake interference and aerodynamic performance variations in each configuration were quantitatively compared and analyzed. The results showed that the average lift in all arrays remained within ±1% of that of a single-rotor, and the 1 × 1 × 1 array exhibited the most stable performance. These findings confirm that the wake-based spacing design and wind direction-dependent SR optimization proposed in this study are crucial for maintaining aerodynamic stability and improving efficiency in multi-rotor sail systems. It is expected that the results of this study will contribute to establishing design guidelines and operational strategies for the practical applications of rotor sails on ships. Full article
(This article belongs to the Special Issue Numerical and Process Modelling in Computational Fluid Dynamics)
Show Figures

Figure 1

32 pages, 8768 KB  
Article
Impact of Industrialization on the Evolution of Suspended Particulate Matter from MODIS Data (2002–2022): Case Study of Açu Port, Brazil
by Ikram Salah Salah, Vincent Vantrepotte, João Felipe Cardoso dos Santos, Manh Duy Tran, Daniel Schaffer Ferreira Jorge, Milton Kampel and Hubert Loisel
Remote Sens. 2025, 17(24), 4020; https://doi.org/10.3390/rs17244020 - 12 Dec 2025
Viewed by 269
Abstract
The present study evaluates the influence of industrialization on suspended particulate matter (SPM) dynamics along the northern coast of Rio de Janeiro, focusing specifically on the Açu Port Industrial Complex (APIC). A 20-year MODIS-Aqua (1 km) dataset (2002–2022) was processed using the OC-SMART [...] Read more.
The present study evaluates the influence of industrialization on suspended particulate matter (SPM) dynamics along the northern coast of Rio de Janeiro, focusing specifically on the Açu Port Industrial Complex (APIC). A 20-year MODIS-Aqua (1 km) dataset (2002–2022) was processed using the OC-SMART atmospheric correction. For SPM estimation, a retrieval approach for coastal turbid waters that integrates two optimized bio-optical algorithms based on Optical Water Types (OWTs) was developed. The validity of this approach was substantiated through the utilization of the GLORIA in situ dataset and satellite matchups, which demonstrated its robust performance across a range of turbidity conditions. Its main innovation lies in the OWT-based fusion of two optimized SPM models, enabling robust retrievals across diverse coastal optical conditions. Statistical analyses based on Census X11 decomposition and the Seasonal Mann–Kendall test revealed strong spatial and temporal variability, with SPM concentrations increasing by up to 60% near the APIC during the study period, coinciding with dredging, port expansion, and sediment disposal. These findings indicate a pronounced anthropogenic signal, while spatial and temporal correlation analyses demonstrated that sediment dispersion is consistently directed northward, primarily controlled by currents and wind forcing. The results indicate that industrial activities augment the supply of sediments, while natural hydrodynamic processes govern their dispersion and transport, emphasizing the impact of human pressures and physical drivers on coastal sediments. Full article
Show Figures

Graphical abstract

25 pages, 1471 KB  
Article
Future Directions of Hybrid Off-Grid Renewable Energy Systems for Remote Islands
by Evangelos Tsiaras and Frank A. Coutelieris
Energies 2025, 18(24), 6524; https://doi.org/10.3390/en18246524 - 12 Dec 2025
Viewed by 181
Abstract
Remote islands face persistent challenges in achieving secure, sustainable and affordable energy supply due to their geographic isolation, fragile ecosystems and dependence on imported fossil fuels. Hybrid renewable energy systems (HRES)—typically combining photovoltaics (PV), wind turbines and battery energy storage systems (BESS)—have emerged [...] Read more.
Remote islands face persistent challenges in achieving secure, sustainable and affordable energy supply due to their geographic isolation, fragile ecosystems and dependence on imported fossil fuels. Hybrid renewable energy systems (HRES)—typically combining photovoltaics (PV), wind turbines and battery energy storage systems (BESS)—have emerged as the dominant off-grid solution, demonstrating their potential to reduce fossil fuel dependence and greenhouse gas emissions. Yet, empirical case studies from Zanzibar, Thailand, Malaysia, the Galápagos, the Azores and Greece confirm that current systems remain transitional, relying on oversized storage and fossil backup during low-resource periods. Comparative analysis highlights both technical advances and persistent limitations, including seasonal variability, socio-economic barriers and governance gaps. Future directions for PV—wind-based (non-dispatchable) island microgrids point toward long-term hydrogen storage, artificial intelligence (AI)-driven predictive energy management and sector coupling—alongside participatory planning frameworks that enhance social acceptance and community ownership. By synthesizing technical, economic and social perspectives, this study provides a roadmap for advancing resilient, autonomous and socially embedded hybrid off-grid systems for remote islands. Full article
(This article belongs to the Section A1: Smart Grids and Microgrids)
Show Figures

Graphical abstract

28 pages, 3764 KB  
Article
Robust Optimal Dispatch of Microgrid Considering Flexible Demand-Side
by Pengcheng Pan, Wenjie Yang and Zhongkun Li
Energies 2025, 18(24), 6516; https://doi.org/10.3390/en18246516 - 12 Dec 2025
Viewed by 239
Abstract
To address the uncertainty in power grid scheduling caused by the output variability of distributed energy resources (DERs) in microgrids, as well as the limitations of stochastic optimization relying on accurate probability distributions and the overly conservative nature of robust optimization leading to [...] Read more.
To address the uncertainty in power grid scheduling caused by the output variability of distributed energy resources (DERs) in microgrids, as well as the limitations of stochastic optimization relying on accurate probability distributions and the overly conservative nature of robust optimization leading to insufficient economic performance, this paper proposes a disseminated robust optimization method for microgrid operation that considers flexible demand-side resources. First, to address the uncertainty in the forecasting of wind and solar power scenarios, this paper launches a two-stage distributionally robust optimization (DRO) model based on a Kullback–Leibler (KL) divergence ambiguity set using a min–max–min framework. Then, the Column-and-Constraint Generation (C&CG) algorithm is employed to decouple the model for an iterative solution. Finally, simulation case studies are directed to validate the effectiveness of the proposed model. The demand response-based optimization model projected in the paper effectively enhances the flexibility of the Microgrid. Compared to robust optimization, this model reduces the daily operating cost by 2.86%. Although the cost is slightly higher (4.88%) than that of stochastic optimization, it achieves a balance between economy and robustness by optimizing the expected value under the worst-case probability distribution. Full article
(This article belongs to the Section A1: Smart Grids and Microgrids)
Show Figures

Figure 1

18 pages, 3113 KB  
Article
Inline Quality Control of Filament Wound Composite Overwrapped Pressure Vessels
by Vinzent Alexander Grün, Andrey Dyagilev, Christoph Greb and Thomas Gries
J. Compos. Sci. 2025, 9(12), 690; https://doi.org/10.3390/jcs9120690 - 12 Dec 2025
Viewed by 144
Abstract
The growing demand for efficient hydrogen storage solutions highlights the need for reliable and safe composite overwrapped pressure vessels (COPVs). This study investigates the application of an inline monitoring system combining laser-based measurements and photogrammetric line photography to assess COPV quality during fabrication, [...] Read more.
The growing demand for efficient hydrogen storage solutions highlights the need for reliable and safe composite overwrapped pressure vessels (COPVs). This study investigates the application of an inline monitoring system combining laser-based measurements and photogrammetric line photography to assess COPV quality during fabrication, including quantitative evaluation of liner concentricity and high-resolution line scanning of the composite surface to detect and measure fiber orientations. Fiber detection and angle measurement using the Hough Transform provide detailed assessment of local winding orientation, while global Fourier Transform analysis supports comparative evaluation across vessels or segments, allowing identification of dominant fiber directions and detection of micro-scale deviations. The integrated approach enables early detection of geometric inconsistencies and localized winding irregularities, providing robust performance-based criteria for accept-reject decisions, while filtering out minor noise and ensuring reliable quantitative evaluation. This framework enhances inline quality control, optimizes material usage, and supports the safe deployment of COPVs in hydrogen storage systems, contributing to efficient and reliable energy storage solutions. Full article
(This article belongs to the Section Composites Manufacturing and Processing)
Show Figures

Figure 1

Back to TopTop