Sign in to use this feature.

Years

Between: -

Subjects

remove_circle_outline
remove_circle_outline
remove_circle_outline
remove_circle_outline
remove_circle_outline
remove_circle_outline
remove_circle_outline
remove_circle_outline
remove_circle_outline

Journals

Article Types

Countries / Regions

Search Results (48)

Search Parameters:
Keywords = Tribulus terrestris

Order results
Result details
Results per page
Select all
Export citation of selected articles as:
12 pages, 443 KB  
Article
Awareness and Risk Behaviors Associated with Tribulus terrestris (Tt), Dietary Supplements, and Anabolic Steroids: Evidence from an Italian Questionnaire-Based Study
by Adele Minutillo, Omayema Taoussi, Simona Pichini, Francesco Paolo Busardò and Giulia Bambagiotti
Nutrients 2026, 18(2), 253; https://doi.org/10.3390/nu18020253 - 13 Jan 2026
Viewed by 115
Abstract
Background: Tribulus terrestris (Tt) is a popular herbal supplement marketed to enhance fitness performance, despite inconclusive evidence regarding its efficacy and safety. This study aimed to investigate the prevalence of TT use, awareness, and motivations for its use among recreational [...] Read more.
Background: Tribulus terrestris (Tt) is a popular herbal supplement marketed to enhance fitness performance, despite inconclusive evidence regarding its efficacy and safety. This study aimed to investigate the prevalence of TT use, awareness, and motivations for its use among recreational athletes in Italy, helping to address the lack of empirical data describing who actually uses Tt, for what purposes, and with what behavioral risks. Methods: A cross-sectional anonymous survey was administered between May and October 2024 across Italian gyms and fitness clubs using Microsoft Forms. A total of 696 individuals initiated the questionnaire; after removal of duplicate, incomplete and ineligible entries, 510 responses were analyzed. Two indicators of Tt consumption were assessed: ever use and current use, with the latter designated as the primary outcome. A multivariable logistic regression evaluated predictors of current Tt use, entering sex, age category (18–24, 25–34, 35–44, ≥45 years), and motivation for supplement consumption. Results: Current Tt use was reported by 7.8% of respondents, while 10.5% declared ever using a Tt-containing product. Motivation was the only independent predictor of Tt consumption (p = 0.012). Individuals reporting performance enhancement as their primary motivation were markedly more likely to currently use Tt, compared with those using supplements for other purposes (adjusted OR ≈ 18.5; p = 0.008). Neither sex (p = 0.918) nor age category (p = 0.519) significantly predicted Tt use. Admission of anabolic steroid use was infrequent but was linked to online purchasing from potentially unregulated sources. Conclusions: Tt consumption in fitness settings is driven predominantly by performance-oriented expectations rather than demographic characteristics. The observed discrepancy between consumer beliefs and scientific evidence suggests a pressing need for educational interventions and regulatory vigilance in sports nutrition. Public health policies should focus on improving label literacy, strengthening consumer protection, and countering misinformation within supplement marketing environments. Full article
(This article belongs to the Special Issue Dietary Supplements for Human Health and Disease)
Show Figures

Figure 1

13 pages, 1713 KB  
Article
Natural Strategies for Improving the Antioxidant Status and Health of Rabbits: The Role of Biochar and Tribulus terrestris
by Katarzyna Karpińska, Bożena Nowakowicz-Dębek, Dorota Kowalska, Paweł Bielański, Łukasz Wlazło and Anna Czech
Appl. Sci. 2025, 15(23), 12515; https://doi.org/10.3390/app152312515 - 25 Nov 2025
Viewed by 342
Abstract
This study evaluated the effect of dietary supplementation with biochar and Tribulus terrestris (TT) on oxidative stress and metabolic parameters in New Zealand White rabbits. A total of 80 weaned rabbits (35 days of age) were assigned to four groups (20 each): a [...] Read more.
This study evaluated the effect of dietary supplementation with biochar and Tribulus terrestris (TT) on oxidative stress and metabolic parameters in New Zealand White rabbits. A total of 80 weaned rabbits (35 days of age) were assigned to four groups (20 each): a control group (C) and three experimental groups supplemented with 0.25% biochar (E1), 0.25% biochar and 0.1% Tribulus terrestris (E2), or 0.1% Tribulus terrestris (E3). The feeding experiment lasted 78 days following a 7-day adaptation period. Hematological, biochemical, and redox parameters, including malondialdehyde (MDA), glutathione (GSH), total reducing capacity (FRAP), immunoglobulin G (IgG), and testosterone levels, were assessed and analyzed using one-way analysis of variance (ANOVA). Rabbits from group E1 exhibited the highest FRAP values (8.16 µmol/L; p < 0.05), whereas MDA concentrations were significantly elevated in groups E1 and C (2.02 and 1.83 µmol/L; p < 0.05), indicating increased lipid peroxidation. Groups E2 and E3 showed lower MDA levels (1.38 and 1.59 µmol/L; p < 0.05) and higher IgG concentrations (44.72 and 37.82 ng/mL; p < 0.05) compared to the control, suggesting improved antioxidant defense and immune status. GSH levels were significantly higher in groups E1 and E2 (6.34 and 6.79 µmol/L; p < 0.05). No adverse changes were observed in basic hematological and biochemical parameters. The results indicate that dietary supplementation with biochar and T. terrestris is safe and can beneficially modulate redox balance and immune response in rabbits, confirming their potential as natural feed additives in sustainable rabbit production. Full article
Show Figures

Figure 1

20 pages, 2508 KB  
Article
Bioactive Compounds, Antibacterial, Antioxidant, Anticancer, and Antidiabetic Potential of the Seed and Leaves of Tribulus terrestris
by Sahar Abdulaziz AlSedairy, Ibrahim M. Aziz, Rawan M. Alshalan, Mohamed A. Farrag, Abdulaziz M. Almuqrin, Amal Khalaf Alghamdi and Reem M. Aljowaie
Life 2025, 15(12), 1799; https://doi.org/10.3390/life15121799 - 24 Nov 2025
Viewed by 847
Abstract
Background: Tribulus terrestris is a medicinal plant used in traditional medicine to treat certain illnesses. Though past efforts mostly focused on the fruits and roots, current research examined the phytochemical composition and bioactivity of leaf extract (LE) and seed extract (SE). Methods: GC-MS [...] Read more.
Background: Tribulus terrestris is a medicinal plant used in traditional medicine to treat certain illnesses. Though past efforts mostly focused on the fruits and roots, current research examined the phytochemical composition and bioactivity of leaf extract (LE) and seed extract (SE). Methods: GC-MS compared phytochemical profiles, and total phenolic and flavonoid content were determined. The extracts were tested for antibacterial activity (disc diffusion, MIC/MBC), antioxidant potential (DPPH, ABTS+), cytotoxicity (MTT assay in MCF-7 and HepG2 cells), and anti-diabetic activity (α-amylase and α-glucosidase inhibition). Expression of apoptotic genes was also investigated. Results: The LE had a superior phytochemical composition, with greater phenolic and flavonoid levels. Compared to SE, it exhibited considerably higher antibacterial activity (MIC = 6.25–25 μg/mL), antioxidant potential (IC50 = 90.71–113.41 μg/mL), cytotoxicity (IC50 = 105.12–126.14 μg/mL), and enzyme inhibition (IC50 = 84–96.62 μg/mL). The LE also drastically reduced the expression of anti-apoptotic genes Bcl-2 and Bcl-xL in cancer cells. T. terrestris LE has significantly higher bioactive potential than SE in a range of pharmacological arenas due to its superior phytochemically complete profile. Conclusions: The findings indicate the LE as a promising candidate for the development of standardized phytotherapeutically active compounds. Full article
Show Figures

Figure 1

28 pages, 4754 KB  
Article
Tribulus terrestris-Mediated ZnO/Ag-Halloysite Nanohybrids for Targeted Cisplatin and Carboplatin Delivery in Cervical Cancer Treatment
by Ammar AlAbdullatif, Sarah Almofty, Gazali Tanimu, Hatim Dafalla, Fatimah Alahmari and B. Rabindran Jermy
Pharmaceuticals 2025, 18(9), 1349; https://doi.org/10.3390/ph18091349 - 8 Sep 2025
Viewed by 1176
Abstract
Background/Objectives: Cervical cancer remains a major health challenge, especially in low-resource regions with limited diagnostic and advanced treatment options. Nanotechnology-based strategies offer promising alternatives to conventional chemotherapy by reducing systemic toxicity and enabling site-specific delivery. Methods: In this study, halloysite (Hall) was functionalized [...] Read more.
Background/Objectives: Cervical cancer remains a major health challenge, especially in low-resource regions with limited diagnostic and advanced treatment options. Nanotechnology-based strategies offer promising alternatives to conventional chemotherapy by reducing systemic toxicity and enabling site-specific delivery. Methods: In this study, halloysite (Hall) was functionalized with green-synthesized 2 wt% zinc oxide (GZn) and silver (GAg) nanoparticles (NPs) using Tribulus terrestris extract (25 mM) to enhance cisplatin (Cp) and carboplatin (Cbpt) delivery for targeted cervical cancer therapy. Results: Structural and morphological analyses confirmed the successful integration of GZn and GAg NPs into the Hall without compromising its tubular integrity. Cp or Cbpt adsorption studies with varying times (0.15–12 h), as well as drug/Hall ratios (10–50) and pH levels (5; 6.6; 7.4; 9.0; and 10.5), revealed greater Cp adsorption than Cbpt, attributed to its higher reactivity and affinity toward the Hall surface. pH-responsive release studies biphasic drug release for non-PEGYlated formulations, with Cp (14% with 2 h) and Cbpt (10% with 0.5 h), whereas PEGYlated systems exhibited sustained release under acidic tumor-like conditions, achieving 14% in 72 h for Cp and 4.5% in 72 h for Cbpt. Release kinetics followed either Fickian or non-Fickian diffusion depending on pH and drug type, with the Korsmeyer–Peppas model offering a strong fit (R2 > 0.85). In vitro assays revealed that Cbpt/GZn-Hall/PEG, Cp/GZn-Hall/PEG, and Cbpt/GAg-Hall/PEG induced dose-dependent cytotoxicity against HeLa while sparing HFF-1 fibroblasts. Conclusions: These findings indicate that green-synthesized nanohybrids are promising carriers for targeted Cp and Cbpt delivery, warranting further in vivo evaluation for cervical cancer therapy. Full article
(This article belongs to the Special Issue Therapeutic Potential of Silver Nanoparticles (AgNPs), 2nd Edition)
Show Figures

Figure 1

19 pages, 1341 KB  
Review
Antioxidant and Anti-Inflammatory Effects of Traditional Medicinal Plants for Urolithiasis: A Scoping Review
by Brenda Pacheco-Hernández, Teresa Ayora-Talavera, Julia Cano-Sosa, Lilia G. Noriega, Neith Aracely Pacheco-López, Juan M. Vargas-Morales, Isabel Medina-Vera, Martha Guevara-Cruz, Rodolfo Chim-Aké, Ana Ligia Gutiérrez-Solis, Roberto Lugo and Azalia Avila-Nava
Plants 2025, 14(13), 2032; https://doi.org/10.3390/plants14132032 - 2 Jul 2025
Cited by 4 | Viewed by 4014
Abstract
Urolithiasis (UL) is the presence of stones in the kidneys or urinary tract; its prevalence has increased worldwide. Thus, strategies have been sought to reduce it and one of them is the use of medicinal plants due to their accessibility, low cost, and [...] Read more.
Urolithiasis (UL) is the presence of stones in the kidneys or urinary tract; its prevalence has increased worldwide. Thus, strategies have been sought to reduce it and one of them is the use of medicinal plants due to their accessibility, low cost, and cultural traditions. Studies on traditional medicinal plants in UL mainly documented results of litholytic and urinary parameters. Although, stone formation is related to oxidative stress and inflammation, and only a few studies are focused on these types of biomarkers. Thus, the aim of the present review was to summarize studies showing the antioxidant and anti-inflammatory effects of traditional medicinal plants used in UL management. We performed a scoping review; the database sources used were MEDLINE/PubMed, Google Scholar, SpringerLink, Scielo and Redalyc. From a total of 184 studies screened, six were included from China (2), India (3), and Corea (1). These studies have shown the antioxidant and anti-inflammatory effects of traditional medicinal plants, including Glechoma longituba (G. longituba), Bergenia ligulate (B. ligulate), Lygodium japonicum (L. japonicum), Citrus limon (C. limon), Xanthium strumarium (X. strumarium) and Tribulus terrestris (T. terrestris). They have also described their molecular mechanism of antioxidant and anti-inflammatory effects through the activation of antioxidant genes induced by Nrf2 or by suppressing the inflammatory gene expression by the inhibition of NFκ-B. These effects could be modulated by their bioactive compounds, such as polyphenols, flavonoids, tannins, saponins, and terpenes, present in these plants. This review summarizes the antioxidant and anti-inflammatory effects of traditional medicinal plants and highlights their molecular mechanisms of action and main bioactive compounds. This evidence may be used in biotechnology and synthetic biology areas for the development of new products from plant-derived compounds to reduce the high recurrence rates of UL. Full article
Show Figures

Figure 1

27 pages, 8827 KB  
Article
Modulating Effects of L-Arginine and Tribulus terrestris Extract on Fipronil-Induced Interference in the Male Reproductive System of Rats: Antioxidant Potential, Androgen Receptors, and Nitric Oxide Synthase Interplay
by Doaa H. Elsayed, Ahmed A. Bakhashwain, Eman A. Ahmed, Hatim A. Al-Abbadi, Heba M. A. Abdelrazek, Menna Allah I. El-Menyawy, Wafaa K. Teleb, Noran M. Tawfik, Ibrahim E. Helal and Heba N. Gad EL-Hak
Toxics 2025, 13(5), 371; https://doi.org/10.3390/toxics13050371 - 2 May 2025
Viewed by 5616
Abstract
The protective potentials of Tribulus terrestris (TT) and L-arginine (L-Arg) against reproductive toxicity induced by fipronil (FPN) in male rats were investigated. A total of 36 male rats were allocated into six groups: control, TT, L-Arg, FPN, FPN + TT, and FPN + [...] Read more.
The protective potentials of Tribulus terrestris (TT) and L-arginine (L-Arg) against reproductive toxicity induced by fipronil (FPN) in male rats were investigated. A total of 36 male rats were allocated into six groups: control, TT, L-Arg, FPN, FPN + TT, and FPN + L-Arg groups. The body and sex organ weights, semen criteria, serum testosterone levels, and testicular oxidative stress were determined. Sexual behavior, testicular and penile androgen receptor (AR), penile nitric oxide synthase (NOS), immunohistochemistry of proliferating cell nuclear antigen (PCNA), and histopathology were also assessed. FPN disrupted reproductive health by influencing the expression and activity of NOS and AR, leading to compromised erectile function, sexual dysfunction, and hormonal imbalance. Significant improvements in body weight, reproductive organ weights, the expression of NOS and AR, and testosterone levels were observed in the TT- and L-Arg-treated groups. Behavioral assessments indicated improved sexual performance in the TT- and L-Arg-treated groups. Histopathological studies of the testes and penis tissue, immunohistochemical expression of PCNA in testicular tissues, and biochemical analyses further confirmed the protective effects of TT and L-Arg. Collectively, these findings highlighted the potential of TT and L-Arg in counteracting FPN-induced reproductive impairments. Full article
(This article belongs to the Special Issue Endocrine-Disrupting Chemicals and Reproductive Toxicology)
Show Figures

Figure 1

10 pages, 905 KB  
Systematic Review
Effects of Tribulus (Tribulus terrestris L.) Supplementation on Erectile Dysfunction and Testosterone Levels in Men—A Systematic Review of Clinical Trials
by José de Oliveira Vilar Neto, Wilson Max Almeida Monteiro de Moraes, Daniel Vieira Pinto, Carlos Alberto da Silva, Juan de Sá Roriz Caminha, Júlio César Chaves Nunes Filho, Caio Eduardo Gonçalves Reis, Jonato Prestes, Heitor O. Santos and Elizabeth De Francesco Daher
Nutrients 2025, 17(7), 1275; https://doi.org/10.3390/nu17071275 - 6 Apr 2025
Cited by 4 | Viewed by 38876
Abstract
BackgroundTribulus terrestris L. Zygophyllaceae (TT) is a plant that has been claimed to increase testosterone levels and improve sexual function, particularly erectile dysfunction, with potential benefits for male sexual health. Purpose: This systematic review aimed to evaluate the effectiveness of [...] Read more.
BackgroundTribulus terrestris L. Zygophyllaceae (TT) is a plant that has been claimed to increase testosterone levels and improve sexual function, particularly erectile dysfunction, with potential benefits for male sexual health. Purpose: This systematic review aimed to evaluate the effectiveness of TT supplementation in improving sexual function and serum testosterone levels in men. Methods: We conducted a systematic review adhering to the Preferred Reporting Items for Systematic Reviews and Meta-Analyses (PRISMA) guidelines. After searching the literature (n = 162), 52 studies were selected for full-text reading, and 10 studies were eligible for this review, comprising 9 clinical trials and 1 quasi-experimental study (a study without a control). The Jadad score revealed low methodological quality for 50% of the studies. Results: The studies involved 15 to 172 participants (total = 483) aged between 16 and 70 years with different health conditions: healthy men (n = 5), oligozoospermia (n = 1), erectile dysfunction (n = 1), erectile dysfunction associated with hypogonadism (n = 2), and unexplained infertility (n = 1). TT supplementation at doses of 400 to 750 mg/d for 1 to 3 months improved erectile dysfunction in 3 of the 5 studies that assessed this parameter. Eight out of ten studies did not report significant changes in androgen profile following TT supplementation, but the subjects in the neutral studies did not have low androgen levels at baseline. Therefore, only 2 studies showed significant intra-group increase in total testosterone levels, which had low clinical magnitude (60–70 ng/dL) and involved subjects with hypogonadism. Conclusions: TT supplementation has a low level of evidence regarding its effectiveness in improving erectile function in men with erectile dysfunction, and no robust evidence was found for increasing testosterone levels. Full article
(This article belongs to the Special Issue The Role of Food Supplements in Human Health)
Show Figures

Graphical abstract

13 pages, 8562 KB  
Article
Tribulus terrestris Fruit Extract: Bioactive Compounds, ADMET Analysis, and Molecular Docking with Penicillin-Binding Protein 2a Transpeptidase of Methicillin-Resistant Staphylococcus epidermidis
by Khalid J. Alzahrani
Curr. Issues Mol. Biol. 2025, 47(1), 52; https://doi.org/10.3390/cimb47010052 - 15 Jan 2025
Cited by 3 | Viewed by 2573
Abstract
Tribulus terrestris is a rich source of bioactive molecules and thrives in Mediterranean and desert climate regions worldwide. In this study, Tribulus terrestris methanolic HPLC fractions were evaluated for bioactive compounds and PBP2a transpeptidase inhibitors against methicillin-resistant Staphylococcus epidermidis (MRSE). Among the collected [...] Read more.
Tribulus terrestris is a rich source of bioactive molecules and thrives in Mediterranean and desert climate regions worldwide. In this study, Tribulus terrestris methanolic HPLC fractions were evaluated for bioactive compounds and PBP2a transpeptidase inhibitors against methicillin-resistant Staphylococcus epidermidis (MRSE). Among the collected HPLC fractions, F02 of the methanol extract demonstrated potential activity against MRSE01 (15 ± 0.13 mm), MRSE02 (13 ± 0.21 mm), and MRSE03 (16 ± 0.14 mm) isolates. GC-MS analysis of the F02 fraction identified seventeen compounds. Among seventeen compounds, eight have favorable pharmacokinetics and medicinal chemistry; however, on the basis of in silico high water solubility, high GI absorption, blood–brain barrier non-permeability, lack of toxicity, and potential drug-likeness, 1-ethylsulfanylmethyl-2,8,9-trioxa-5-aza-1-sila-bicyclo[3.3.3]undecane and phthalimide, N-(1-hydroxy-2-propyl), were processed for molecular docking. 1-ethylsulfanylmethyl-2,8,9-trioxa-5-aza-1-sila-bicyclo[3.3.3]undecane formed three hydrogen bonds with Ser-452, Thr-584, and Asn-454 residues of the PBP2a transpeptidase. Similarly, phthalimide, N-(1-hydroxy-2-propyl)-formed four hydrogen bonds with Ser-396, Asn-454, Lys-399, and Ser-452 residues of PBP2a transpeptidase. These two compounds are proposed as novel putative PBP2a transpeptidase inhibitors. Further characterization of compounds extracted from Tribulus terrestris may aid in identifying novel PBP2a inhibitory agents for managing MRSE infections. Full article
(This article belongs to the Special Issue Biochemical Composition and Activity of Medicinal Plants and Food)
Show Figures

Figure 1

17 pages, 4465 KB  
Article
Anxiolytic and Antidepressant Effects of Tribulus terrestris Ethanolic Extract in Scopolamine-Induced Amnesia in Zebrafish: Supported by Molecular Docking Investigation Targeting Monoamine Oxidase A
by Salwa Bouabdallah, Mona H. Ibrahim, Ion Brinza, Razvan Stefan Boiangiu, Iasmina Honceriu, Amr Amin, Mossadok Ben-Attia and Lucian Hritcu
Pharmaceuticals 2024, 17(9), 1208; https://doi.org/10.3390/ph17091208 - 13 Sep 2024
Cited by 8 | Viewed by 3917
Abstract
Plants of the genus Tribulus have been used in folk medicine for wound healing, alleviating liver, stomach, and rheumatism pains, and as cognitive enhancers, sedatives, antiseptics, tonics, and stimulants. The present work aimed to evaluate whether Tribulus terrestris (Tt) administered for 15 days [...] Read more.
Plants of the genus Tribulus have been used in folk medicine for wound healing, alleviating liver, stomach, and rheumatism pains, and as cognitive enhancers, sedatives, antiseptics, tonics, and stimulants. The present work aimed to evaluate whether Tribulus terrestris (Tt) administered for 15 days attenuated cognitive deficits and exhibited anxiolytic and antidepressant profiles in scopolamine-induced amnesia in zebrafish. Animals were randomly divided into six groups (eight animals per group): (1)–(3) Tt treatment groups (1, 3 and 6 mg/L), (4) control, (5) scopolamine (SCOP, 0.7 mg/kg), and (6) galantamine (Gal, 1 mg/L). Exposure to SCOP (100 µM) resulted in anxiety in zebrafish, as assessed by the novel tank diving test (NTT) and novel approach test (NAT). When zebrafish were given SCOP and simultaneously given Tt (1, 3, and 6 mg/L once daily for 10 days), the deficits were averted. Molecular interactions of chemical compounds from the Tt fractions with the monoamine oxidase A (MAO-A) were investigated via molecular docking experiments. Using behavioral experiments, we showed that administration of Tt induces significant anxiolytic-antidepressant-like effects in SCOP-treated zebrafish. Our result indicated that flavonoids of Tt, namely kaempferol, quercetin, luteolin, apigetrin, and epigallocatechin, could act as promising phytopharmaceuticals for improving anxiety-related disorders. Full article
Show Figures

Figure 1

11 pages, 743 KB  
Article
Tribulus terrestris and Sport Performance: A Quantitative and Qualitative Evaluation of Its Advertisement and Availability via Online Shopping in Six Different Countries
by Juan F. Garcia, Jesús Seco-Calvo, Soledad Arribalzaga, Raquel Díez, Cristina Lopez, M. Nelida Fernandez, Juan J. Garcia, M. Jose Diez, Raul de la Puente, Matilde Sierra and Ana M. Sahagún
Nutrients 2024, 16(9), 1320; https://doi.org/10.3390/nu16091320 - 28 Apr 2024
Cited by 5 | Viewed by 14009
Abstract
Dietary supplements are commonly used among athletes, and the Internet may be an easy source of these products. Tribulus terrestris is an herbal supplement with multiple properties. Of interest to athletes are reports that its consumption can lead to muscle mass gain and [...] Read more.
Dietary supplements are commonly used among athletes, and the Internet may be an easy source of these products. Tribulus terrestris is an herbal supplement with multiple properties. Of interest to athletes are reports that its consumption can lead to muscle mass gain and a faster recovery process. The objective of this cross-sectional study was to determine the availability of Tribulus terrestris via the Internet in six countries (Canada, Puerto Rico, Russia, Spain, Ukraine, and the United States of America) via a specifically designed computer program. The characteristics of the websites selling this substance, the country from which it can be purchased, the route of administration, and recommendations for its use were analyzed. The results of the study show that this supplement is marketed mainly in Russia, Ukraine, and Spain on many websites that are mostly dedicated to sports products. Just over half of the webpages (59.14%) identified only distribute this supplement within the same country. The main claims for its consumption refer to sports performance benefits, but there are also claims that it may improve male hormone levels and sexual function. Athletes should be encouraged to seek professional advice prior to ingesting this supplement to ensure that it is suitable for their specific training and sports objectives. Full article
(This article belongs to the Special Issue Exercise and Nutrition for Human Health)
Show Figures

Figure 1

9 pages, 531 KB  
Article
Icarifil® in Association with Daily Use of Tadalafil (5 mg) versus Standard Tadalafil Daily Dose (5 mg) or Alone: Results from a Controlled, Randomized Clinical Trial
by Tommaso Cai, Fabrizio Palumbo, Carlos Miacola, Carlo Ceruti, Michele Rizzo, Giovanni Liguori, Luca Gallelli and Alessandro Palmieri
J. Clin. Med. 2024, 13(9), 2564; https://doi.org/10.3390/jcm13092564 - 26 Apr 2024
Viewed by 8840
Abstract
Background: The management of erectile dysfunction (ED) shows several grey zones and new treatments are required to reduce the percentage of patients discontinuing treatment. Here, we aim to evaluate the role of a natural mixture named Icarifil® (L-Citrulline, L-Carnitine, Eruca vesicaria, [...] Read more.
Background: The management of erectile dysfunction (ED) shows several grey zones and new treatments are required to reduce the percentage of patients discontinuing treatment. Here, we aim to evaluate the role of a natural mixture named Icarifil® (L-Citrulline, L-Carnitine, Eruca vesicaria, Panax ginseng, Tribulus terrestris, Turnera diffusa, Taurine, Vitamin E, Zinc) in the management of patients with ED. Methods: From September 2022 to March 2023, all patients attending 3 urological institutions due to ED were randomized to receive the following for 3 months: Icarifil® 1 sachet every 24 h (Group 1) or Icarifil® 1 sachet + tadalafil 5 mg 1 tablet every 24 h (Group 2) or tadalafil 5 mg 1 tablet daily (Group 3). All patients underwent urologic visits and dedicated questionnaires (IIEF-5, SEP-2, SEP-3) at enrollment and at the follow-up evaluation (3 months). Patient-Reported Outcomes (PROs) at the follow-up evaluation were used. The primary endpoint was the difference in the questionnaires at the follow-up visit compared to the one at enrollment among the study groups. Results: In the per-protocol analysis, 52 patients in Group 1, 55 in Group 2 and 57 in Group 3 were analyzed. At the follow-up evaluation, IIEF-5 scores improved in all the 3 groups between enrollment and the follow-up evaluation, but a statistically significant difference was reported between Group 2 (+7.4) and Group 1 (+4.1) or Group 3 (+5.1), (p < 0.001; p < 0.001). Moreover, 47 patients (94.0%) in Group 2 showed an improvement in the SEP questionnaires, when compared with the baseline, while 29 in Group 1 (56.9%) and 42 in Group 3 (82.3%) showed a statistically significant difference (p = 0.004; p = 0.003) among the groups. The PRO analysis reported better efficacy and patient satisfaction in Group 2 when compared with Group 1 or Group 3. Conclusions: In conclusion, Icarifil® is able to improve penile erectile function in mild–moderate ED and significantly improve the clinical efficacy of daily used tadalafil 5 mg. Icarifil® could represent an interesting alternative treatment in patients experiencing adverse effects or with contraindications for chronic treatment with PDE5-is. Full article
(This article belongs to the Section Reproductive Medicine & Andrology)
Show Figures

Figure 1

2 pages, 797 KB  
Correction
Correction: Abbas et al. Bioactive Compounds, Antioxidant, Anti-Inflammatory, Anti-Cancer, and Toxicity Assessment of Tribulus terrestris—In Vitro and In Vivo Studies. Antioxidants 2022, 11, 1160
by Malik Waseem Abbas, Mazhar Hussain, Saeed Akhtar, Tariq Ismail, Muhammad Qamar, Zahid Shafiq and Tuba Esatbeyoglu
Antioxidants 2024, 13(4), 471; https://doi.org/10.3390/antiox13040471 - 17 Apr 2024
Cited by 2 | Viewed by 1490
Abstract
In the original publication [...] Full article
Show Figures

Figure 2

18 pages, 3841 KB  
Article
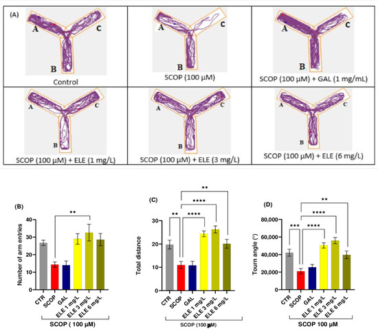
The Effect of a Tribulus-Based Formulation in Alleviating Cholinergic System Impairment and Scopolamine-Induced Memory Loss in Zebrafish (Danio rerio): Insights from Molecular Docking and In Vitro/In Vivo Approaches
by Salwa Bouabdallah, Ion Brinza, Razvan Stefan Boiangiu, Mona H. Ibrahim, Iasmina Honceriu, Amna Al-Maktoum, Oana Cioanca, Monica Hancianu, Amr Amin, Mossadok Ben-Attia and Lucian Hritcu
Pharmaceuticals 2024, 17(2), 200; https://doi.org/10.3390/ph17020200 - 2 Feb 2024
Cited by 16 | Viewed by 3768
Abstract
Tribulus terrestris L. (Tt) has been recently gaining attention for its pharmacological value, including its neuroprotective activities. In this study, we explore the neuroprotective effects of a Tribulus terrestris extract in a zebrafish (Danio rerio) model of scopolamine (SCOP)-induced memory impairment [...] Read more.
Tribulus terrestris L. (Tt) has been recently gaining attention for its pharmacological value, including its neuroprotective activities. In this study, we explore the neuroprotective effects of a Tribulus terrestris extract in a zebrafish (Danio rerio) model of scopolamine (SCOP)-induced memory impairment and brain oxidative stress. SCOP, an anticholinergic drug, was employed to replicate fundamental aspects of Alzheimer’s disease (AD) in animal models. The fish were treated with ethanolic leaf extract (ELE) from Tt (1, 3, and 6 mg/L) for 15 days. SCOP (100 µM) was administered 30 min before behavioral tests were conducted. Molecular interactions of the major compounds identified via UPLC-PDA/MS in Tt fractions with the active site of acetylcholinesterase (AChE) were explored via molecular docking analyses. Terrestrosin C, protodioscin, rutin, and saponin C exhibited the most stable binding. The spatial memory performance was assessed using the Y-maze test, and memory recognition was examined using a novel object recognition (NOR) test. Tt extract treatment reversed the altered locomotion patterns that were caused by SCOP administration. Biochemical analyses also verified Tt’s role in inhibiting AChE, improving antioxidant enzyme activities, and reducing oxidative stress markers. The present findings pave the way for future application of Tt as a natural alternative to treat cognitive disorders. Full article
(This article belongs to the Section Natural Products)
Show Figures

Figure 1

14 pages, 302 KB  
Article
Effect of Puncture Vine on Growth Performance, Carcass and Meat Traits, Metabolic and Immunological Blood Indicators, and Selected Cecal Microbiota in Broiler Chickens
by Hani H. Al-Baadani, Abdulrahman S. Alharthi, Saleh Al-Ghamdi and Ibrahim A. Alhidary
Animals 2023, 13(23), 3708; https://doi.org/10.3390/ani13233708 - 29 Nov 2023
Cited by 2 | Viewed by 2141
Abstract
This study investigated the effects of puncture vine (Tribulus Terrestris) addition on the performance, carcass and meat characteristics, selected metabolic and immunological blood indicators, some microbiota, and short-chain fatty acids. A total of 252 1-day-old broilers were distributed to three treatments [...] Read more.
This study investigated the effects of puncture vine (Tribulus Terrestris) addition on the performance, carcass and meat characteristics, selected metabolic and immunological blood indicators, some microbiota, and short-chain fatty acids. A total of 252 1-day-old broilers were distributed to three treatments with 12 cages as replicates per treatment (T1 = 0.0%, T2 = 0.08%, and T3 = 0.16% puncture vine). Performance parameters and metabolic and immunological serum indicators were measured in each feeding phase, while carcass characteristics, meat quality, cecal microflora, and short-chain fatty acids were measured at 35 days. Results showed that live weight, weight gain, production efficiency, and meat component color were lower in initial and ultimate at T3, while the percentages of the legs and gizzard were higher at T2 than T1. The relative weight of cooking loss was higher in T2 and T3, but the myofibril fragmentation index was lower than T1. Total protein and globulin were higher in T2 and T3 (14 days old), and the glucose level was lower in T2 (35 days old) than at T1. Interleukins (IL-4, IL-6, and IL-10) and tumor necrosis factor-α (TNF-α) were higher in T2 than T1 and T3 (35 days old). Puncture vine has antimicrobial activity against Escherichia coli and Salmonella spp., while Lactobacillus spp. was higher in T2. The total short-chain fatty acid content was higher in chickens fed puncture vine. These results indicate that the use of puncture vine powder as a natural alternative at a dosage of 0.08% has a safe effect on the performance, carcass and meat characteristics, and health of broilers. Full article
(This article belongs to the Special Issue Feed Additives in Broiler Nutrition)
12 pages, 1554 KB  
Article
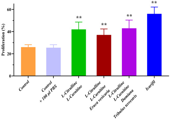
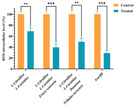
Icarifil, a Natural Mixture Based on L-Citrulline and L-Carnitine as a Novel Multicomponent Nutraceutical to Modulate ROS and PDE5
by Chiara Amante, Chiara De Soricellis, Gianni Luccheo, Anna Di Vernieri, Luigi Luccheo, Giovanni Falcone and Pasquale Del Gaudio
Appl. Sci. 2023, 13(22), 12358; https://doi.org/10.3390/app132212358 - 15 Nov 2023
Cited by 2 | Viewed by 18346
Abstract
Erectile dysfunction (ED) is a pathology that affects both an individual’s life and their partner’s, representing an increasing health concern. Currently, phosphodiesterase type 5 inhibitors (PDE5i) remain the first-line therapy for erectile dysfunction, and no other drugs are approved. However, the high cost [...] Read more.
Erectile dysfunction (ED) is a pathology that affects both an individual’s life and their partner’s, representing an increasing health concern. Currently, phosphodiesterase type 5 inhibitors (PDE5i) remain the first-line therapy for erectile dysfunction, and no other drugs are approved. However, the high cost of these drugs and related adverse events limit their use. Since the concept of nutraceuticals has been extended from health promotion to the treatment of diseases, in this work, a novel mixture of different natural substances named Icarifil (L-Citrulline, L-Carnitine, Eruca vesicaria, Panax ginseng, Tribulus terrestris, Turnera diffusa, Taurine, Vitamin E, Zinc) was studied to verify its ability to increase the proliferation of muscle epithelium cells and cell turgor, as well as, due to containing antioxidants, its ability to reduce the amount of ROS that are mediators in the pathophysiological process of ED. Moreover, Icarifil showed efficacy in inhibiting PDE5 levels higher than 65% compared to the control and 35% compared to the mixture of L-Citrulline and L-Carnitine, the major components of the formulation. In association with the low dosage of a phosphodiesterase (PDE) inhibitor (tadalafil), the inhibitory capacity of tadalafil was significantly increased and comparable to high-dosage drug response, promoting the possibility of reducing the daily dosage of the drug and consequently its adverse effects. Full article
(This article belongs to the Section Food Science and Technology)
Show Figures

Figure 1

Back to TopTop