Sign in to use this feature.

Years

Between: -

Subjects

remove_circle_outline
remove_circle_outline
remove_circle_outline
remove_circle_outline
remove_circle_outline
remove_circle_outline
remove_circle_outline

Journals

Article Types

Countries / Regions

Search Results (15)

Search Parameters:
Keywords = Transfer Component Analysis (TCA)

Order results
Result details
Results per page
Select all
Export citation of selected articles as:
20 pages, 3734 KB  
Review
Microbial Community and Metabolic Pathways in Anaerobic Digestion of Organic Solid Wastes: Progress, Challenges and Prospects
by Jiachang Cao, Chen Zhang, Xiang Li, Xueye Wang, Xiaohu Dai and Ying Xu
Fermentation 2025, 11(8), 457; https://doi.org/10.3390/fermentation11080457 - 7 Aug 2025
Cited by 8 | Viewed by 5468
Abstract
Anaerobic digestion (AD) is a sustainable and widely adopted technology for the treatment of organic solid wastes (OSWs). However, AD efficiency varies significantly across different substrates, primarily due to differences in the microbial community and metabolic pathways. This review provides a comprehensive summary [...] Read more.
Anaerobic digestion (AD) is a sustainable and widely adopted technology for the treatment of organic solid wastes (OSWs). However, AD efficiency varies significantly across different substrates, primarily due to differences in the microbial community and metabolic pathways. This review provides a comprehensive summary of the AD processes for four types of typical OSWs (i.e., sewage sludge, food waste, livestock manure, and straw), with an emphasis on their universal characteristics across global contexts, focusing mainly on the electron transfer mechanisms, essential microbial communities, and key metabolic pathways. Special attention was given to the mechanisms by which substrate-specific structural differences influence anaerobic digestion efficiency, with a focused analysis and discussion on how different components affect microbial communities and metabolic pathways. This study concluded that the hydrogenotrophic methanogenesis pathway, TCA cycle, and the Wood–Ljungdahl pathway serve as critical breakthrough points for enhancing methane production potential. This research not only provides a theoretical foundation for optimizing AD efficiency, but also offers crucial scientific insights for resource recovery and energy utilization of OSWs, making significant contributions to advancing sustainable waste management practices. Full article
(This article belongs to the Special Issue Feature Review Papers in Industrial Fermentation, 2nd Edition)
Show Figures

Figure 1

23 pages, 22866 KB  
Article
Transfer Learning Estimation and Transferability of LNC and LMA Across Different Datasets
by Yingbo Wang, Mengzhu He, Lin Sun, Yong He and Zengwei Zheng
Agriculture 2025, 15(1), 46; https://doi.org/10.3390/agriculture15010046 - 28 Dec 2024
Cited by 2 | Viewed by 1708
Abstract
Leaf mass per area (LMA) and leaf nitrogen concentration (LNC) are both essential parameters in plant ecology, which can reflect the growth status of plants. The features of LMA and LNC can be captured using spectral reflectance in a remote sensing approach. While [...] Read more.
Leaf mass per area (LMA) and leaf nitrogen concentration (LNC) are both essential parameters in plant ecology, which can reflect the growth status of plants. The features of LMA and LNC can be captured using spectral reflectance in a remote sensing approach. While the relationships between spectra and leaf trait variance across different species with estimation performance are unclear, the development of assessment and transferable models to predicate LMA and LNC are prevented. Hence, we analyzed the variance of raw spectra and spectral data difference with four pretreated approaches (SG—Savitzky–Golay filter, SNV—Standard Normalized Variate, MSC—Multiplicative Scatter Correction analysis, and normalize), LMA, and LNC over six remote sensing datasets by a transfer component analysis (TCA) approach. Spectra combined with the Successive Projections Algorithm (SPA) were also presented to extract wavelengths with higher important coefficients to minimize the redundancy of datasets. The variance of normalized spectra between different datasets showed a minor degree of variance, and LNC spectra variance was decreased by the SPA. The results also showed that a smaller LMA and LNC variance is presented over different datasets when the trait values with higher distribution probabilities are close to each other. The LNC and LMA estimation performance in transfer models established by partial least squares regression (PLS), support vector regression (SVR), extreme gradient boosting (XGB), and random forest regression (RFR) algorithms across different datasets were employed, in which the RFR transfer models performed good prediction results. The relationships between spectra and leaf trait variance and estimation performance in RFR transfer models over different datasets were evaluated. LMA distance has a significant influence on estimation performance in the transfer model, and the variance of spectra with all pretreated approaches showed a very significant effect on LNC accession performance. Furthermore, we proposed a weight coefficient of spectral data updating combined with the TCA and RFR approach (WDT-RFR) transfer model to improve transferability between datasets and promote estimation performance in the transfer model. Compared to the RFR transfer model using spectra without updating, the root mean square error (RMSE) of the WDT-RFR transfer model with 5% samples transferred to estimate LMA and LNC increased by 7.9% and 4.8% on average, respectively. The estimation results showed that our transfer model showed a superior estimation performance. Full article
(This article belongs to the Section Artificial Intelligence and Digital Agriculture)
Show Figures

Figure 1

19 pages, 6342 KB  
Article
Modeling and Optimization of an Enhanced Soft Sensor for the Fermentation Process of Pichia pastoris
by Bo Wang, Ameng Yu, Haibo Wang and Jun Liu
Sensors 2024, 24(10), 3017; https://doi.org/10.3390/s24103017 - 9 May 2024
Cited by 1 | Viewed by 2361
Abstract
This paper proposes a novel soft sensor modeling approach, MIC-TCA-INGO-LSSVM, to address the decline in performance of soft sensor models during the fermentation process of Pichia pastoris, caused by changes in working conditions. Initially, the transfer component analysis (TCA) method is utilized [...] Read more.
This paper proposes a novel soft sensor modeling approach, MIC-TCA-INGO-LSSVM, to address the decline in performance of soft sensor models during the fermentation process of Pichia pastoris, caused by changes in working conditions. Initially, the transfer component analysis (TCA) method is utilized to minimize the differences in data distribution across various working conditions. Subsequently, a least squares support vector machine (LSSVM) model is constructed using the dataset adapted by TCA, and strategies for improving the northern goshawk optimization (INGO) algorithm are proposed to optimize the parameters of the LSSVM model. Finally, to further enhance the model’s generalization ability and prediction accuracy, considering the transfer of knowledge from multiple-source working conditions, a sub-model weighted ensemble scheme is proposed based on the maximum information coefficient (MIC) algorithm. The proposed soft sensor model is employed to predict cell and product concentrations during the fermentation process of Pichia pastoris. Simulation results indicate that the RMSE of the INGO-LSSVM model in predicting cell and product concentrations is reduced by 47.3% and 42.1%, respectively, compared to the NGO-LSSVM model. Additionally, TCA significantly enhances the model’s adaptability when working conditions change. Moreover, the soft sensor model based on TCA and the MIC-weighted ensemble method achieves a reduction of 41.6% and 31.3% in the RMSE for predicting cell and product concentrations, respectively, compared to the single-source condition transfer model TCA-INGO-LSSVM. These results demonstrate the high reliability and predictive performance of the proposed soft sensor method under varying working conditions. Full article
(This article belongs to the Special Issue Sensors-Based Biomarker Detection and Bioinformatics Analysis)
Show Figures

Figure 1

14 pages, 1685 KB  
Article
Metabolic Fingerprint in Childhood Acute Lymphoblastic Leukemia
by Maria T. Papadopoulou, Paraskevi Panagopoulou, Efstathia Paramera, Alexandros Pechlivanis, Christina Virgiliou, Eugenia Papakonstantinou, Maria Palabougiouki, Maria Ioannidou, Eleni Vasileiou, Athanasios Tragiannidis, Evangelos Papakonstantinou, Georgios Theodoridis, Emmanuel Hatzipantelis and Athanasios Evangeliou
Diagnostics 2024, 14(7), 682; https://doi.org/10.3390/diagnostics14070682 - 24 Mar 2024
Cited by 6 | Viewed by 2494
Abstract
Introduction: Acute lymphoblastic leukemia (ALL) is the most prevalent childhood malignancy. Despite high cure rates, several questions remain regarding predisposition, response to treatment, and prognosis of the disease. The role of intermediary metabolism in the individualized mechanistic pathways of the disease is unclear. [...] Read more.
Introduction: Acute lymphoblastic leukemia (ALL) is the most prevalent childhood malignancy. Despite high cure rates, several questions remain regarding predisposition, response to treatment, and prognosis of the disease. The role of intermediary metabolism in the individualized mechanistic pathways of the disease is unclear. We have hypothesized that children with any (sub)type of ALL have a distinct metabolomic fingerprint at diagnosis when compared: (i) to a control group; (ii) to children with a different (sub)type of ALL; (iii) to the end of the induction treatment. Materials and Methods: In this prospective case–control study (NCT03035344), plasma and urinary metabolites were analyzed in 34 children with ALL before the beginning (D0) and at the end of the induction treatment (D33). Their metabolic fingerprint was defined by targeted analysis of 106 metabolites and compared to that of an equal number of matched controls. Multivariate and univariate statistical analyses were performed using SIMCAP and scripts under the R programming language. Results: Metabolomic analysis showed distinct changes in patients with ALL compared to controls on both D0 and D33. The metabolomic fingerprint within the patient group differed significantly between common B-ALL and pre-B ALL and between D0 and D33, reflecting the effect of treatment. We have further identified the major components of this metabolic dysregulation, indicating shifts in fatty acid synthesis, transfer and oxidation, in amino acid and glycerophospholipid metabolism, and in the glutaminolysis/TCA cycle. Conclusions: The disease type and time point-specific metabolic alterations observed in pediatric ALL are of particular interest as they may offer potential for the discovery of new prognostic biomarkers and therapeutic targets. Full article
(This article belongs to the Special Issue Diagnosis and Management of Pediatric Leukemia)
Show Figures

Figure 1

26 pages, 6773 KB  
Article
Cross-Condition Fault Diagnosis of an Aircraft Environmental Control System (ECS) by Transfer Learning
by Lilin Jia, Cordelia Mattuvarkuzhali Ezhilarasu and Ian K. Jennions
Appl. Sci. 2023, 13(24), 13120; https://doi.org/10.3390/app132413120 - 9 Dec 2023
Cited by 6 | Viewed by 1987
Abstract
Fault diagnosis models based on machine learning are often subjected to degradation in performance when dealing with data that are differently distributed than the training data. Such an occasion is common in reality because machines usually operate under various conditions. Transfer learning is [...] Read more.
Fault diagnosis models based on machine learning are often subjected to degradation in performance when dealing with data that are differently distributed than the training data. Such an occasion is common in reality because machines usually operate under various conditions. Transfer learning is a solution for the performance degradation of cross-condition fault diagnosis problems. This paper studies how transfer learning algorithms transfer component analysis (TCA) and joint distribution alignment (JDA) improve the cross-condition fault diagnosis accuracy of an aircraft environmental control system (ECS). Both methods work by transforming the source and target domain data into a feature space where their distributions are aligned to allow a uniform classifier to act accurately in both domains. This paper discovered that both TCA and JDA produce significantly more accurate results than traditional methods on target domains with unlabelled ECS data taken at different operating conditions than the source domain. Additionally, when dealing with unlabelled data from unknown conditions bearing a different composition of classes in the target domain, TCA is found to be more robust and accurate, generating an average predictive accuracy of 95.22%, which demonstrates the ability of transfer learning in solving similar problems in the real-world application of fault diagnosis. Full article
Show Figures

Figure 1

15 pages, 3870 KB  
Article
Vortex-Induced Vibration Recognition for Long-Span Bridges Based on Transfer Component Analysis
by Jiale Hou, Sugong Cao, Hao Hu, Zhenwei Zhou, Chunfeng Wan, Mohammad Noori, Puyu Li and Yinan Luo
Buildings 2023, 13(8), 2012; https://doi.org/10.3390/buildings13082012 - 7 Aug 2023
Cited by 6 | Viewed by 2648
Abstract
Bridge vortex-induced vibration (VIV) refers to the vertical resonance phenomenon that occurs in a bridge when pulsating wind passes over it and causes vortices to detach. In recent years, VIV events have been observed in numerous long-span bridges, leading to fatigue damage to [...] Read more.
Bridge vortex-induced vibration (VIV) refers to the vertical resonance phenomenon that occurs in a bridge when pulsating wind passes over it and causes vortices to detach. In recent years, VIV events have been observed in numerous long-span bridges, leading to fatigue damage to the bridge structure and posing risks to driving safety. The advancement of technologies such as structural health monitoring (SHM), machine learning, and big data has opened up new research avenues for the intelligent identification of VIV in bridges. Machine learning algorithms can accurately identify the VIV events from historical data accumulated by SHM systems, thus providing an effective method for VIV recognition. Nevertheless, the existing identification methods have limitations, particularly in their applicability to bridges lacking historical VIV data. This study introduces an adaptive VIV recognition method in the main girders of long-span suspension bridges based on Transfer Component Analysis (TCA). The method can accurately identify VIV patterns in real-time or in historical data, even when specific VIV data are not available for the target bridge. The proposed method exhibits suitability for multiple long-span bridges. Experimental validation is performed using the SHM datasets from two long-span suspension bridges. The results show that the proposed VIV identification method can recognize more VIV samples compared to the benchmark model. When using sensor 1 data of bridge B as the source domain to identify the VIV of the L-section of bridge A, the F1 score of the TCA-based method is 0.836, while the F1 score of the benchmark model is 0.165. In the other 11 cases, the F1 score of the proposed model is higher than 0.8, which demonstrates the method’s robust generalization capabilities. Full article
(This article belongs to the Section Construction Management, and Computers & Digitization)
Show Figures

Figure 1

15 pages, 2466 KB  
Article
Impact of Coenzyme Q10 Supplementation on Skeletal Muscle Respiration, Antioxidants, and the Muscle Proteome in Thoroughbred Horses
by Marisa L. Henry, Lauren T. Wesolowski, Joe D. Pagan, Jessica L. Simons, Stephanie J. Valberg and Sarah H. White-Springer
Antioxidants 2023, 12(2), 263; https://doi.org/10.3390/antiox12020263 - 24 Jan 2023
Cited by 5 | Viewed by 6118
Abstract
Coenzyme Q10 (CoQ10) is an essential component of the mitochondrial electron transfer system and a potent antioxidant. The impact of CoQ10 supplementation on mitochondrial capacities and the muscle proteome is largely unknown. This study determined the effect of CoQ10 supplementation on muscle CoQ10 [...] Read more.
Coenzyme Q10 (CoQ10) is an essential component of the mitochondrial electron transfer system and a potent antioxidant. The impact of CoQ10 supplementation on mitochondrial capacities and the muscle proteome is largely unknown. This study determined the effect of CoQ10 supplementation on muscle CoQ10 concentrations, antioxidant balance, the proteome, and mitochondrial respiratory capacities. In a randomized cross-over design, six Thoroughbred horses received 1600 mg/d CoQ10 or no supplement (control) for 30-d periods separated by a 60-d washout. Muscle samples were taken at the end of each period. Muscle CoQ10 and glutathione (GSH) concentrations were determined using mass spectrometry, antioxidant activities by fluorometry, mitochondrial enzyme activities and oxidative stress by colorimetry, and mitochondrial respiratory capacities by high-resolution respirometry. Data were analyzed using mixed linear models with period, supplementation, and period × supplementation as fixed effects and horse as a repeated effect. Proteomics was performed by tandem mass tag 11-plex analysis and permutation testing with FDR < 0.05. Concentrations of muscle CoQ10 (p = 0.07), GSH (p = 0.75), and malondialdehyde (p = 0.47), as well as activities of superoxide dismutase (p = 0.16) and catalase (p = 0.66), did not differ, whereas glutathione peroxidase activity (p = 0.003) was lower when horses received CoQ10 compared to no supplement. Intrinsic (relative to citrate synthase activity) electron transfer capacity with complex II (ECII) was greater, and the contribution of complex I to maximal electron transfer capacity (FCRPCI and FCRPCIG) was lower when horses received CoQ10 with no impact of CoQ10 on mitochondrial volume density. Decreased expression of subunits in complexes I, III, and IV, as well as tricarboxylic acid cycle (TCA) enzymes, was noted in proteomics when horses received CoQ10. We conclude that with CoQ10 supplementation, decreased expression of TCA cycle enzymes that produce NADH and complex I subunits, which utilize NADH together with enhanced electron transfer capacity via complex II, supports an enhanced reliance on substrates supplying complex II during mitochondrial respiration. Full article
(This article belongs to the Special Issue Advances in Mitochondrial Redox Biology)
Show Figures

Figure 1

21 pages, 5802 KB  
Article
Retrieval of the Leaf Area Index from Visible Infrared Imaging Radiometer Suite (VIIRS) Surface Reflectance Based on Unsupervised Domain Adaptation
by Juan Li, Zhiqiang Xiao, Rui Sun and Jinling Song
Remote Sens. 2022, 14(8), 1826; https://doi.org/10.3390/rs14081826 - 10 Apr 2022
Cited by 10 | Viewed by 2649
Abstract
Several global leaf area index (LAI) products were generated using neural networks, but the training dataset for the neural networks was sensor specific, and the construction of the training dataset was time consuming. In this paper, an unsupervised domain adaptation-based method was proposed [...] Read more.
Several global leaf area index (LAI) products were generated using neural networks, but the training dataset for the neural networks was sensor specific, and the construction of the training dataset was time consuming. In this paper, an unsupervised domain adaptation-based method was proposed to estimate LAI from the Visible Infrared Imaging Radiometer Suite (VIIRS) surface reflectance dataset based on a training dataset constructed from the Moderate Resolution Imaging Spectroradiometer (MODIS) surface reflectance dataset. A transfer component analysis (TCA) algorithm was first utilized to map the MODIS and VIIRS surface reflectance into the same subspace to reduce the distribution discrepancies between the MODIS and VIIRS surface reflectance. Then, the embedded data obtained from MODIS surface reflectance dataset, along with the LAI values produced by fusing the MODIS and the Carbon cYcle and Change in Land Observational Products from an Ensemble of Satellites (CYCLOPES) products, were employed to train general regression neural networks (GRNNs). Finally, for retrieving the LAI values, the embedded data acquired from the VIIRS surface reflectance dataset was input into the trained GRNNs. For multiple field sites with different biome types, we used this developed method to retrieve LAI values based on the VIIRS surface reflectance dataset. The results indicate that, based on the training dataset built from MODIS surface reflectance dataset, the domain adaptation-based retrieval method can effectively estimate LAI values from VIIRS surface reflectance dataset. By comparison with the VIIRS and MODIS LAI products, the retrieved LAI values with TCA are more consistent with the reference LAI values acquired from high-resolution remote sensing images. The coefficient of determination (R2) and root mean square error (RMSE) of the retrieved LAI values with TCA at all selected sites are 0.88 and 0.68, respectively. Furthermore, the accuracy of the retrieved LAI values with TCA is higher than the retrieved LAI values without TCA with the R2 0.81 and the RMSE 0.79. Full article
Show Figures

Figure 1

13 pages, 2901 KB  
Article
A Standard-Free Calibration Transfer Strategy for a Discrimination Model of Apple Origins Based on Near-Infrared Spectroscopy
by Lisha Li, Bin Li, Xiaogang Jiang and Yande Liu
Agriculture 2022, 12(3), 366; https://doi.org/10.3390/agriculture12030366 - 4 Mar 2022
Cited by 5 | Viewed by 4114
Abstract
The nondestructive discrimination model based on near-infrared is usually established by detected spectra and chemometric methods. However, the inherent differences between instruments prevent the model from being used universally, and calibration transfer is often used to solve these problems. Standard-sample calibration transfer requires [...] Read more.
The nondestructive discrimination model based on near-infrared is usually established by detected spectra and chemometric methods. However, the inherent differences between instruments prevent the model from being used universally, and calibration transfer is often used to solve these problems. Standard-sample calibration transfer requires additional standard samples to build a mathematical mapping between instruments. Thus, standard-free calibration transfer is a research hotspot in this field. Based on near-infrared spectroscopy (NIRS), the new combined strategy of wavelength selection and standard-free calibration transfer was proposed to transfer the model between two portable near-infrared spectrometers. Three transfer learning (TL) algorithms—transferred component analysis (TCA), balanced distribution adaptation (BDA), and manifold embedded distribution alignment (MEDA)—were applied to achieve standard-free calibration transfer. Moreover, this paper presents a relative error analysis (REA) method to select wavelength. To select the optimal model, the parameters of accuracy, precision, and recall were examined to evaluate the discriminatory capacities of each model. The findings show that the MEDA-REA model is capable of higher prediction accuracy (accuracy = 94.54%) than the other transferring models (TCA, BDA, MEDA, TCA-REA, and BDA-REA), and it is demonstrated that the new strategy has good transmission performance. Moreover, REA shows the potential to filter wavebands for calibration transfer and simplify the transferable model. Full article
(This article belongs to the Section Agricultural Technology)
Show Figures

Figure 1

17 pages, 3213 KB  
Article
Cross-Day EEG-Based Emotion Recognition Using Transfer Component Analysis
by Zhongyang He, Ning Zhuang, Guangcheng Bao, Ying Zeng and Bin Yan
Electronics 2022, 11(4), 651; https://doi.org/10.3390/electronics11040651 - 19 Feb 2022
Cited by 18 | Viewed by 5573
Abstract
EEG-based emotion recognition can help achieve more natural human-computer interaction, but the temporal non-stationarity of EEG signals affects the robustness of EEG-based emotion recognition models. Most existing studies use the emotional EEG data collected in the same trial to train and test models, [...] Read more.
EEG-based emotion recognition can help achieve more natural human-computer interaction, but the temporal non-stationarity of EEG signals affects the robustness of EEG-based emotion recognition models. Most existing studies use the emotional EEG data collected in the same trial to train and test models, once this kind of model is applied to the data collected at different times of the same subject, its recognition accuracy will decrease significantly. To address the problem of EEG-based cross-day emotion recognition, this paper has constructed a database of emotional EEG signals collected over six days for each subject using the Chinese Affective Video System and self-built video library stimuli materials, and the database is the largest number of days collected for a single subject so far. To study the neural patterns of emotions based on EEG signals cross-day, the brain topography has been analyzed in this paper, which show there is a stable neural pattern of emotions cross-day. Then, Transfer Component Analysis (TCA) algorithm is used to adaptively determine the optimal dimensionality of the TCA transformation and match domains of the best correlated motion features in multiple time domains by using EEG signals from different time (days). The experimental results show that the TCA-based domain adaptation strategy can effectively improve the accuracy of cross-day emotion recognition by 3.55% and 2.34%, respectively, in the classification of joy-sadness and joy-anger emotions. The emotion recognition model and brain topography in this paper, verify that the database can provide a reliable data basis for emotion recognition across different time domains. This EEG database will be open to more researchers to promote the practical application of emotion recognition. Full article
(This article belongs to the Topic Machine and Deep Learning)
Show Figures

Figure 1

20 pages, 5258 KB  
Article
Localization with Transfer Learning Based on Fine-Grained Subcarrier Information for Dynamic Indoor Environments
by Yuqing Yin, Xu Yang, Peihao Li, Kaiwen Zhang, Pengpeng Chen and Qiang Niu
Sensors 2021, 21(3), 1015; https://doi.org/10.3390/s21031015 - 2 Feb 2021
Cited by 11 | Viewed by 3476
Abstract
Indoor localization provides robust solutions in many applications, and Wi-Fi-based methods are considered some of the most promising means for optimizing indoor fingerprinting localization accuracy. However, Wi-Fi signals are vulnerable to environmental variations, resulting in data across different times being subjected to different [...] Read more.
Indoor localization provides robust solutions in many applications, and Wi-Fi-based methods are considered some of the most promising means for optimizing indoor fingerprinting localization accuracy. However, Wi-Fi signals are vulnerable to environmental variations, resulting in data across different times being subjected to different distributions. To solve this problem, this paper proposes an across-time indoor localization solution based on channel state information (CSI) fingerprinting via multi-domain representations and transfer component analysis (TCA). We represent the format of CSI readings in multiple domains, extending the characterization of fine-grained information. TCA, a domain adaptation method in transfer learning, is applied to shorten the distribution distances among several CSI readings, which overcomes various CSI distribution problems at different time periods. Finally, we present a modified Bayesian model averaging approach to integrate the multi-domain outcomes and give the estimated positions. We conducted test-bed experiments in three scenarios on both personal computer (PC) and smartphone platforms in which the source and target fingerprinting data were collected across different days. The experimental results showed that our method outperforms state-of-the-art methods in localization accuracy. Full article
(This article belongs to the Section Internet of Things)
Show Figures

Figure 1

17 pages, 860 KB  
Article
InstanceEasyTL: An Improved Transfer-Learning Method for EEG-Based Cross-Subject Fatigue Detection
by Hong Zeng, Jiaming Zhang, Wael Zakaria, Fabio Babiloni, Borghini Gianluca, Xiufeng Li and Wanzeng Kong
Sensors 2020, 20(24), 7251; https://doi.org/10.3390/s20247251 - 17 Dec 2020
Cited by 27 | Viewed by 4523
Abstract
Electroencephalogram (EEG) is an effective indicator for the detection of driver fatigue. Due to the significant differences in EEG signals across subjects, and difficulty in collecting sufficient EEG samples for analysis during driving, detecting fatigue across subjects through using EEG signals remains a [...] Read more.
Electroencephalogram (EEG) is an effective indicator for the detection of driver fatigue. Due to the significant differences in EEG signals across subjects, and difficulty in collecting sufficient EEG samples for analysis during driving, detecting fatigue across subjects through using EEG signals remains a challenge. EasyTL is a kind of transfer-learning model, which has demonstrated better performance in the field of image recognition, but not yet been applied in cross-subject EEG-based applications. In this paper, we propose an improved EasyTL-based classifier, the InstanceEasyTL, to perform EEG-based analysis for cross-subject fatigue mental-state detection. Experimental results show that InstanceEasyTL not only requires less EEG data, but also obtains better performance in accuracy and robustness than EasyTL, as well as existing machine-learning models such as Support Vector Machine (SVM), Transfer Component Analysis (TCA), Geodesic Flow Kernel (GFK), and Domain-adversarial Neural Networks (DANN), etc. Full article
(This article belongs to the Collection Deep Learning in Biomedical Informatics and Healthcare)
Show Figures

Figure 1

19 pages, 3739 KB  
Article
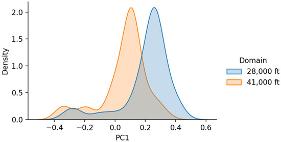
TCANet for Domain Adaptation of Hyperspectral Images
by Alberto S. Garea, Dora B. Heras and Francisco Argüello
Remote Sens. 2019, 11(19), 2289; https://doi.org/10.3390/rs11192289 - 30 Sep 2019
Cited by 9 | Viewed by 4180
Abstract
The use of Convolutional Neural Networks (CNNs) to solve Domain Adaptation (DA) image classification problems in the context of remote sensing has proven to provide good results but at high computational cost. To avoid this problem, a deep learning network for DA in [...] Read more.
The use of Convolutional Neural Networks (CNNs) to solve Domain Adaptation (DA) image classification problems in the context of remote sensing has proven to provide good results but at high computational cost. To avoid this problem, a deep learning network for DA in remote sensing hyperspectral images called TCANet is proposed. As a standard CNN, TCANet consists of several stages built based on convolutional filters that operate on patches of the hyperspectral image. Unlike the former, the coefficients of the filter are obtained through Transfer Component Analysis (TCA). This approach has two advantages: firstly, TCANet does not require training based on backpropagation, since TCA is itself a learning method that obtains the filter coefficients directly from the input data. Second, DA is performed on the fly since TCA, in addition to performing dimensional reduction, obtains components that minimize the difference in distributions of data in the different domains corresponding to the source and target images. To build an operating scheme, TCANet includes an initial stage that exploits the spatial information by providing patches around each sample as input data to the network. An output stage performing feature extraction that introduces sufficient invariance and robustness in the final features is also included. Since TCA is sensitive to normalization, to reduce the difference between source and target domains, a previous unsupervised domain shift minimization algorithm consisting of applying conditional correlation alignment (CCA) is conditionally applied. The results of a classification scheme based on CCA and TCANet show that the DA technique proposed outperforms other more complex DA techniques. Full article
(This article belongs to the Special Issue Hyperspectral Imagery for Urban Environment)
Show Figures

Graphical abstract

16 pages, 1960 KB  
Article
Combined Treatment with L-Carnitine and Nicotinamide Riboside Improves Hepatic Metabolism and Attenuates Obesity and Liver Steatosis
by Kanita Salic, Eveline Gart, Florine Seidel, Lars Verschuren, Martien Caspers, Wim van Duyvenvoorde, Kari E. Wong, Jaap Keijer, Ivana Bobeldijk-Pastorova, Peter Y. Wielinga and Robert Kleemann
Int. J. Mol. Sci. 2019, 20(18), 4359; https://doi.org/10.3390/ijms20184359 - 5 Sep 2019
Cited by 40 | Viewed by 7527
Abstract
Obesity characterized by adiposity and ectopic fat accumulation is associated with the development of non-alcoholic fatty liver disease (NAFLD). Treatments that stimulate lipid utilization may prevent the development of obesity and comorbidities. This study evaluated the potential anti-obesogenic hepatoprotective effects of combined treatment [...] Read more.
Obesity characterized by adiposity and ectopic fat accumulation is associated with the development of non-alcoholic fatty liver disease (NAFLD). Treatments that stimulate lipid utilization may prevent the development of obesity and comorbidities. This study evaluated the potential anti-obesogenic hepatoprotective effects of combined treatment with L-carnitine and nicotinamide riboside, i.e., components that can enhance fatty acid transfer across the inner mitochondrial membrane and increase nicotinamide adenine nucleotide (NAD+) levels, which are necessary for β-oxidation and the TCA cycle, respectively. Ldlr −/−.Leiden mice were treated with high-fat diet (HFD) supplemented with L-carnitine (LC; 0.4% w/w), nicotinamide riboside (NR; 0.3% w/w) or both (COMBI) for 21 weeks. L-carnitine plasma levels were reduced by HFD and normalized by LC. NR supplementation raised its plasma metabolite levels demonstrating effective delivery. Although food intake and ambulatory activity were comparable in all groups, COMBI treatment significantly attenuated HFD-induced body weight gain, fat mass gain (−17%) and hepatic steatosis (−22%). Also, NR and COMBI reduced hepatic 4-hydroxynonenal adducts. Upstream-regulator gene analysis demonstrated that COMBI reversed detrimental effects of HFD on liver metabolism pathways and associated regulators, e.g., ACOX, SCAP, SREBF, PPARGC1B, and INSR. Combination treatment with LC and NR exerts protective effects on metabolic pathways and constitutes a new approach to attenuate HFD-induced obesity and NAFLD. Full article
Show Figures

Graphical abstract

14 pages, 2521 KB  
Article
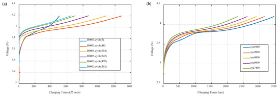
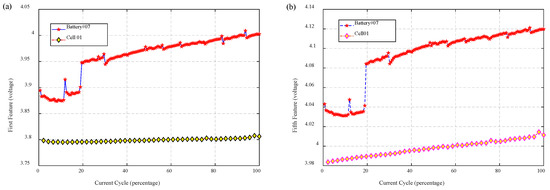
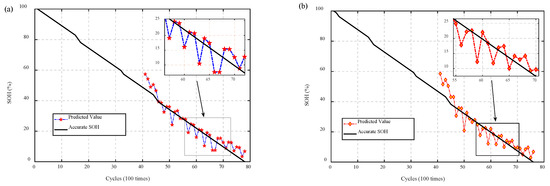
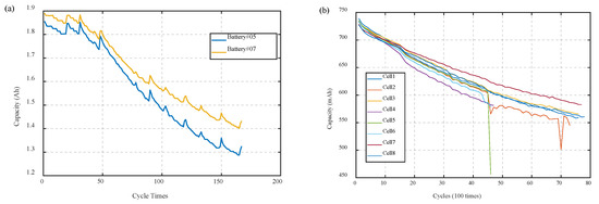
A State of Health Estimation Framework for Lithium-Ion Batteries Using Transfer Components Analysis
by Bowen Jia, Yong Guan and Lifeng Wu
Energies 2019, 12(13), 2524; https://doi.org/10.3390/en12132524 - 30 Jun 2019
Cited by 33 | Viewed by 4469
Abstract
As different types of lithium batteries are increasingly employed in various devices, it is crucial to predict the state of health (SOH) of lithium batteries. There are plenty of methods for SOH estimation of a lithium-ion battery. However, existing technologies often have computational [...] Read more.
As different types of lithium batteries are increasingly employed in various devices, it is crucial to predict the state of health (SOH) of lithium batteries. There are plenty of methods for SOH estimation of a lithium-ion battery. However, existing technologies often have computational complexity. Furthermore, it is difficult to use least the previous 30% of data of the battery degradation process to predict the SOH variation of the entire degradation process. To address this problem, in this paper, the SOH of the target battery is estimated based on the transfer of different battery data sets. Firstly, according to importance sampling (IS), valid features are extracted from cycles of charging voltage in both the source and target battery. Secondly, transfer component analysis (TCA) is used to map the source data set to the target data set. Moreover, an extreme learning machine (ELM) algorithm is employed to train a single hidden layer feed forward neural network (SLFN) for its fast training speed and facile to set up. Finally, validation experiments and the comparisons on the results are conducted. The results showed that the proposed framework has a good capability of predicting the SOH of lithium batteries. Full article
(This article belongs to the Section F: Electrical Engineering)
Show Figures

Figure 1

Back to TopTop