Sign in to use this feature.

Years

Between: -

Subjects

remove_circle_outline
remove_circle_outline
remove_circle_outline
remove_circle_outline
remove_circle_outline
remove_circle_outline

Journals

Article Types

Countries / Regions

Search Results (28)

Search Parameters:
Keywords = TDLAS technique

Order results
Result details
Results per page
Select all
Export citation of selected articles as:
22 pages, 2172 KB  
Article
High-Precision Methane Emission Quantification Using UAVs and Open-Path Technology
by Donatello Fosco, Maurizio De Molfetta, Pietro Alexander Renzulli, Bruno Notarnicola and Francesco Astuto
Methane 2025, 4(3), 15; https://doi.org/10.3390/methane4030015 - 26 Jun 2025
Cited by 1 | Viewed by 1693
Abstract
Quantifying methane (CH4) emissions is essential for climate change mitigation; however, current estimation methods often suffer from substantial uncertainties, particularly at the site level. This study introduces a drone-based approach for measuring CH4 emissions using an open-path Tunable Diode Laser [...] Read more.
Quantifying methane (CH4) emissions is essential for climate change mitigation; however, current estimation methods often suffer from substantial uncertainties, particularly at the site level. This study introduces a drone-based approach for measuring CH4 emissions using an open-path Tunable Diode Laser Absorption Spectroscopy (TDLAS) sensor mounted parallel to the ground, rather than in the traditional nadir-pointing configuration. Controlled CH4 release experiments were conducted to evaluate the method’s accuracy, employing a modified mass-balance technique to estimate emission rates. Two wind data processing strategies were compared: a logarithmic wind profile (LW) and a constant scalar wind speed (SW). The LW approach yielded highly accurate results, with an average recovery rate of 98%, while the SW approach showed greater variability with increasing distance from the source, although it remained reliable in close proximity. The method demonstrated the ability to quantify emissions as low as 0.08 g s−1 with approximately 4% error, given sufficient sampling. These findings suggest that the proposed UAV-based system is a promising, cost-effective tool for accurate CH4 emission quantification in sectors, such as agriculture, energy, and waste management, where traditional monitoring techniques may be impractical or limited. Full article
Show Figures

Graphical abstract

25 pages, 8475 KB  
Article
Detection of Methane Emissive “Hot Spots” in Landfills: An Advanced Statistical Method for Processing UAV Data
by Maurizio Guerra, Maurizio De Molfetta, Antonio Diligenti, Marco Falconi, Vincenzo Fiano, Chiara Fiori, Donatello Fosco, Lucina Luchetti, Bruno Notarnicola, Pietro Alexander Renzulli, Enrico Sacchi, Nino Tarantino, Marcello Tognacci and Antonella Vecchio
Remote Sens. 2025, 17(11), 1890; https://doi.org/10.3390/rs17111890 - 29 May 2025
Cited by 1 | Viewed by 1402
Abstract
The effective management of landfills requires advancements in techniques for rapid data collection and analysis of gas emissions. This work aims to refine methane (CH4) emission data acquired from landfills by applying a robust geostatistical method to drone-collected measurements. Specifically, we [...] Read more.
The effective management of landfills requires advancements in techniques for rapid data collection and analysis of gas emissions. This work aims to refine methane (CH4) emission data acquired from landfills by applying a robust geostatistical method to drone-collected measurements. Specifically, we use UAV-mounted laser spectrophotometer technology (TDLAS-UAV) to gather rapid, high-resolution data, which can sometimes be noisy due to atmospheric variations and sensor drift. For data handling, the key innovation is the application of the local indicator of spatial association (LISA), a technique that typically provides p-values to assess the statistical significance of observed spatial clusters. This approach was applied both on an areal basis and on a linear basis, following the order of data acquisition, and it produced comparable results. Very low p-values are considered indicative of non-random clustering, suggesting the influence of an underlying spatial control factor. These results were subsequently validated through independent flux chamber surveys. This validation confirms the reliability and objectivity of our geostatistical method in improving drone-based methane emission assessments. The research highlights the need to optimize drone flight paths to ensure a uniform spatial distribution of data and reduce edge effects. It notes that many CH4 flux measurements often yield non-detectable results, suggesting a review of detection limits. Future work should refine UAV flight patterns and data processing with semi-controlled experiments—using known methane sources—to determine optimal acquisition parameters, such as flight height, sampling frequency, grid resolution, and wind influence. Full article
(This article belongs to the Special Issue Environmental Monitoring Using UAV and Mobile Mapping Systems)
Show Figures

Figure 1

18 pages, 5464 KB  
Article
Research on Flame Temperature Measurement Technique Combining Spectral Analysis and Two-Color Pyrometry
by Pan Pei, Xiaojian Hao, Shenxiang Feng, Tong Wei and Chenyang Xu
Appl. Sci. 2025, 15(11), 5864; https://doi.org/10.3390/app15115864 - 23 May 2025
Cited by 1 | Viewed by 1334
Abstract
This work presents a method for measuring flame temperatures through an imaging technique that combines spectral analysis with two-color pyrometry. Initially, we employed Laser-Induced Breakdown Spectroscopy (LIBS) to analyze the radiation spectrum of nitrocellulose, selecting 694 nm and 768 nm as the two [...] Read more.
This work presents a method for measuring flame temperatures through an imaging technique that combines spectral analysis with two-color pyrometry. Initially, we employed Laser-Induced Breakdown Spectroscopy (LIBS) to analyze the radiation spectrum of nitrocellulose, selecting 694 nm and 768 nm as the two spectral lines for temperature measurement. Subsequently, we constructed a temperature measurement system utilizing two sCMOS cameras and conducted calibration within the range of 600 to 1000 °C, achieving a maximum temperature measurement uncertainty of 3.43%. Finally, we successfully performed two-dimensional temperature field detection and imaging of nitrocellulose flames of varying qualities, achieving a flame image resolution of 2048 (H) × 2048 (V). In comparison to traditional two-color infrared thermometers and Tunable Diode Laser Absorption Spectroscopy (TDLAS) technology, the maximum relative temperature measurement error was 2.1%. This work provides technical insights into the development of high-resolution, low-cost flame temperature imaging technology applicable across a wide range of fields. Full article
Show Figures

Graphical abstract

13 pages, 2314 KB  
Article
TDLAS-Based Rapid and Accurate Measurement of Near-Ambient Temperature Using Near-Infrared Vibrational Water Vapor Transitions
by Jiaao Zhang and Jiao Gao
Sensors 2025, 25(9), 2839; https://doi.org/10.3390/s25092839 - 30 Apr 2025
Cited by 1 | Viewed by 857
Abstract
Tunable diode laser absorption spectroscopy (TDLAS) of water vapor transitions has been used to effectively measure temperature under high temperature and pressure conditions. However, due to the weak variation in transmittance and low signal-to-noise ratio, applying the same technique to measure temperature in [...] Read more.
Tunable diode laser absorption spectroscopy (TDLAS) of water vapor transitions has been used to effectively measure temperature under high temperature and pressure conditions. However, due to the weak variation in transmittance and low signal-to-noise ratio, applying the same technique to measure temperature in near-ambient environments is difficult. This study reports the rapid and accurate measurement of near-ambient temperature through monitoring water vapor transitions with a three-point measurement method based on TDLAS. The transmission spectra of two selected water vibrational transitions at 1389.01 and 1389.89 nm are investigated, and the monotonic variations in the dip area are validated both theoretically and experimentally. The results show that by using the proper regression parameter (RatiodipA/RatiodipB)2, the temperature measurement time can be reduced to 40 s, with an uncertainty as low as 0.39 °C and a p-value as small as 1.98 × 10−13. This work contributes to rapid and accurate non-invasive temperature measurement in near-ambient complex environments. Full article
(This article belongs to the Special Issue Advanced Physical Sensors for Environmental Monitoring)
Show Figures

Figure 1

15 pages, 7045 KB  
Article
Reconstruction Algorithm of Absorption Spectral Field Distribution Based on a Priori Constrained Bivariate Polynomial Model
by Chuge Chen, Dingfeng Shi, An Huang, Suman Ai, Rantong Niu, Ting Jiao and Zhenyu Xu
Photonics 2025, 12(4), 394; https://doi.org/10.3390/photonics12040394 - 18 Apr 2025
Viewed by 503
Abstract
Computed Tomography–Tunable Diode Laser Absorption Spectroscopy (CT-TDLAS) is an effective diagnostic method for analyzing combustion flow fields within engines. This study proposes an adaptive reconstruction algorithm utilizing constrained polynomial fitting within the CT-TDLAS framework. Based on existing polynomial fitting models, the proposed algorithm [...] Read more.
Computed Tomography–Tunable Diode Laser Absorption Spectroscopy (CT-TDLAS) is an effective diagnostic method for analyzing combustion flow fields within engines. This study proposes an adaptive reconstruction algorithm utilizing constrained polynomial fitting within the CT-TDLAS framework. Based on existing polynomial fitting models, the proposed algorithm integrates physical boundary constraints on temperature and concentration fields, optimizing integrated absorbance errors. This method significantly enhances reconstruction accuracy and computational efficiency, while also lowering computational complexity. The adaptive strategy dynamically adjusts the polynomial order, effectively mitigating issues of overfitting or underdetermination typically associated with fixed polynomial orders. Numerical simulations demonstrate reduced temperature reconstruction errors of 2%, 1.6%, and 2% for single-peak, dual-peak, and mixed distribution flow fields, respectively. Corresponding concentration errors were 2%, 1.8%, and 2.6%, which are all improvements over those achieved by the Algebraic Reconstruction Technique (ART). Experimental results using a McKenna flat-flame burner revealed an average reconstruction error of only 0.3% compared to thermocouple measurements for high-temperature regions (>1000 K), with a minimal central temperature difference of 6 K. For lower-temperature peripheral regions, the average error was 188 K, illustrating the practical applicability of the proposed algorithm. Full article
Show Figures

Figure 1

18 pages, 5582 KB  
Article
Extending Sensing Range by Physics Constraints in Multiband-Multiline Absorption Spectroscopy for Flame Measurement
by Tengfei Jiao, Sheng Kou, Liuhao Ma, Kin-Pang Cheong and Wei Ren
Sensors 2025, 25(7), 2317; https://doi.org/10.3390/s25072317 - 5 Apr 2025
Cited by 1 | Viewed by 743
Abstract
The present numerical study proposes a technique to extend the sensing range of tunable diode laser absorption spectroscopy (TDLAS) for flame measurement by involving physics constraints on both gas condition and spectroscopic parameters in the interpretation of spectra from multiple bands. A total [...] Read more.
The present numerical study proposes a technique to extend the sensing range of tunable diode laser absorption spectroscopy (TDLAS) for flame measurement by involving physics constraints on both gas condition and spectroscopic parameters in the interpretation of spectra from multiple bands. A total of 24 major spectral lines for 2 spectral segments 4029–4031 cm−1 and 7185–7186 cm−1 are determined by specially designed detection function and contribution filtering. Numerical tests on uniform and complicated combustion fields prove the high accuracy, strong robustness to noise, wide sensing range, and good compatibility with tomography. The present study provides a strong technique for future complex combustion detection with advanced laser sources of broad spectrum. Full article
(This article belongs to the Special Issue Advances in Optical Sensing, Instrumentation and Systems: 2nd Edition)
Show Figures

Figure 1

9 pages, 3472 KB  
Article
Enhancement of Methane Detection in Tunable Diode Laser Absorption Spectroscopy Using Savitzky–Golay Filtering
by Shichao Chen, Xing Tian, Tong Mu, Jun Yuan, Xile Cao and Gang Cheng
Photonics 2025, 12(1), 2; https://doi.org/10.3390/photonics12010002 - 24 Dec 2024
Cited by 3 | Viewed by 1531
Abstract
In order to enhance gas absorption efficiency and improve the detection sensitivity of methane, a gas absorption cell with an effective optical path length of 29.37 m was developed, employing tunable diode laser absorption spectroscopy (TDLAS) and a distributed feedback (DFB) laser with [...] Read more.
In order to enhance gas absorption efficiency and improve the detection sensitivity of methane, a gas absorption cell with an effective optical path length of 29.37 m was developed, employing tunable diode laser absorption spectroscopy (TDLAS) and a distributed feedback (DFB) laser with a center wavelength of 1.654 μm as the light source. However, despite these advancements, the detection accuracy was still limited by potential signal interference and noise. To address these challenges, the Savitzky–Golay (S-G) filtering technique was implemented to optimize the TDLAS detection signal. Experimental results indicated a significant enhancement in detection performance. For a methane concentration of 92 ppm, the application of the S-G filter improved the signal-to-noise ratio by a factor of 1.84, resulting in a final device detection accuracy of 0.53 ppm. This improvement demonstrates the effectiveness of the S-G filter in enhancing detection sensitivity, supporting high-precision methane monitoring for atmospheric analysis and various industrial applications. Full article
(This article belongs to the Special Issue Optical Sensing Technologies, Devices and Their Data Applications)
Show Figures

Figure 1

19 pages, 8287 KB  
Article
Vertical Distribution Mapping for Methane Fugitive Emissions Using Laser Path-Integral Sensing in Non-Cooperative Open Paths
by Di Wang, Yushuang Li, Yu Pu, Yan Lv, Mingji Wang, Hui Yang, Xuefeng Zhao and Dong Li
Sensors 2024, 24(4), 1307; https://doi.org/10.3390/s24041307 - 18 Feb 2024
Cited by 1 | Viewed by 2244
Abstract
Observing the vertical diffusion distribution of methane fugitive emissions from oil/gas facilities is significant for predicting the pollutant’s spatiotemporal transport and quantifying the random emission sources. A method is proposed for methane’s vertical distribution mapping by combining the laser path-integral sensing in non-non-cooperative [...] Read more.
Observing the vertical diffusion distribution of methane fugitive emissions from oil/gas facilities is significant for predicting the pollutant’s spatiotemporal transport and quantifying the random emission sources. A method is proposed for methane’s vertical distribution mapping by combining the laser path-integral sensing in non-non-cooperative open paths and the computer-assisted tomography (CAT) techniques. It uses a vertical-plume-mapping optical path configuration and adapts the developed dynamic relaxation and simultaneous algebraic reconstruction technique (DR-SART) into methane-emission-distribution reconstruction. A self-made miniaturized TDLAS telemetry sensor provides a reliable path to integral concentration information in non-non-cooperative open paths, with Allan variance analysis yielding a 3.59 ppm·m sensitivity. We employed a six-indexes system for the reconstruction performance analysis of four potential optical path-projection configurations and conducted the corresponding validation experiment. The results have shown that that of multiple fan-beams combined with parallel-beam modes (MFPM) is better than the other optical path-projection configurations, and its reconstruction similarity coefficient (ε) is at least 22.4% higher. For the different methane gas bag-layout schemes, the reconstruction errors of maximum concentration (γm) are consistently around 0.05, with the positional errors of maximum concentration (δ) falling within the range of 0.01 to 0.025. Moreover, considering the trade-off between scanning duration and reconstruction accuracy, it is recommended to appropriately extend the sensor measurement time on a single optical path to mitigate the impact of mechanical vibrations induced by scanning motion. Full article
(This article belongs to the Special Issue Optical Sensing for Environmental Monitoring—2nd Edition)
Show Figures

Figure 1

17 pages, 12152 KB  
Article
Measuring Turbulent Water Vapor Fluxes Using a Tunable Diode Laser-Based Open-Path Gas Analyzer
by Kai Wang, Li Huang, Jingting Zhang, Xiaojie Zhen, Linlin Shi, Ting-Jung Lin, Xunhua Zheng and Yin Wang
Water 2024, 16(2), 307; https://doi.org/10.3390/w16020307 - 17 Jan 2024
Cited by 1 | Viewed by 2903
Abstract
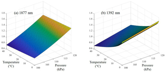
The reliable observation and accurate estimates of land–atmosphere water vapor (H2O) flux is essential for ecosystem management and the development of Earth system models. Currently, the most direct measurement method for H2O flux is eddy covariance (EC), which depends [...] Read more.
The reliable observation and accurate estimates of land–atmosphere water vapor (H2O) flux is essential for ecosystem management and the development of Earth system models. Currently, the most direct measurement method for H2O flux is eddy covariance (EC), which depends on the development of fast-response H2O sensors. In this study, we presented a cost-efficient open-path H2O analyzer (model: HT1800) based on the tunable diode laser absorption spectroscopy (TDLAS) technique, and investigated its applicability for measuring atmospheric turbulent flux of H2O using the EC method. We prepared two HT1800 analyzers with lasers that operate at wavelengths of 1392 nm and 1877 nm, respectively. The field performance of the two analyzers was evaluated through inter-comparative experiments with LI-7500RS and IRGASON, two of the most commonly used H2O analyzers in the EC community. Water vapor densities measured by the three types of analyzers had high overall agreement with the reference sensor; however, they all experienced drift. The mean density drifts of HT1800, LI-7500 and IRGASON were 3.7–5.2%, 4.0% and 3.8%, respectively. Even so, the half-hourly H2O fluxes measured by HT1800 were highly consistent with those by LI-7500RS and IRGASON (with a difference of less than 2%), suggesting that HT1800 can obtain H2O fluxes with high confidence. The HT1800 was also proved to be suitable for EC application in terms of data availability, flux detection limit and response to the high-frequency turbulent variation. Furthermore, we investigated how the spectroscopic effect influences the measurements of H2O density and flux. Despite the fact that the 1392 nm laser was much more susceptible to the spectroscopic effect, the fluxes after correcting for this bias showed excellent agreement with the IRGASON fluxes. Considering the cost advantage in laser and photodetector, the HT1800 analyzer using a 1392 nm infrared laser is a promising and economical solution for EC measurement studies of water vapor. Full article
Show Figures

Figure 1

10 pages, 3284 KB  
Article
Flame Imaging Technology Based on 64-Pixel Area Array Sensor
by Xiaodong Huang, Xiaojian Hao, Baowu Pan, Xiaodong Liang, Zheng Wang, Shenxiang Feng, Pan Pei and Heng Zhang
Micromachines 2024, 15(1), 44; https://doi.org/10.3390/mi15010044 - 25 Dec 2023
Cited by 2 | Viewed by 1729
Abstract
High-resolution flame temperature images are essential indicators for evaluating combustion conditions. Tunable diode laser absorption spectroscopy (TDLAS) is an effective combustion diagnostic method. In actual engineering, due to the limitation of line-of-sight (LOS) measurement, TDLAS technology has the problems of small data volume [...] Read more.
High-resolution flame temperature images are essential indicators for evaluating combustion conditions. Tunable diode laser absorption spectroscopy (TDLAS) is an effective combustion diagnostic method. In actual engineering, due to the limitation of line-of-sight (LOS) measurement, TDLAS technology has the problems of small data volume and low dimensionality in measuring combustion fields, which seriously limits the development of TDLAS in combustion diagnosis. This article demonstrates a TDLAS imaging method based on a 64-pixel area array sensor to reconstruct the two-dimensional temperature field of the flame. This paper verifies the robustness of the Algebraic Reconstruction Technique (ART) algorithm through numerical simulation and studies the effects of temperature, concentration, and pressure on the second harmonic intensity based on the HITRAN database. The two-dimensional temperature field of the flame was reconstructed, and reconstruction accuracy was verified using thermocouples. The maximum relative error was 3.71%. The TDLAS detection system based on a 64-pixel area array sensor provides a way to develop high-precision, high-complexity flame temperature measurement technology. Full article
Show Figures

Figure 1

10 pages, 5279 KB  
Communication
Laser Linewidth Analysis and Filtering/Fitting Algorithms for Improved TDLAS-Based Optical Gas Sensor
by Chen Tong, Chaotan Sima, Muqi Chen, Xiaohang Zhang, Tailin Li, Yan Ai and Ping Lu
Sensors 2023, 23(11), 5130; https://doi.org/10.3390/s23115130 - 27 May 2023
Cited by 19 | Viewed by 3932
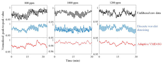
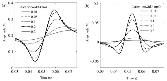
Abstract
Tunable Diode Laser Absorption Spectroscopy (TDLAS) has been widely applied in in situ and real-time monitoring of trace gas concentrations. In this paper, an advanced TDLAS-based optical gas sensing system with laser linewidth analysis and filtering/fitting algorithms is proposed and experimentally demonstrated. The [...] Read more.
Tunable Diode Laser Absorption Spectroscopy (TDLAS) has been widely applied in in situ and real-time monitoring of trace gas concentrations. In this paper, an advanced TDLAS-based optical gas sensing system with laser linewidth analysis and filtering/fitting algorithms is proposed and experimentally demonstrated. The linewidth of the laser pulse spectrum is innovatively considered and analyzed in the harmonic detection of the TDLAS model. The adaptive Variational Mode Decomposition-Savitzky Golay (VMD-SG) filtering algorithm is developed to process the raw data and could significantly eliminate the background noise variance by about 31% and signal jitters by about 12.5%. Furthermore, the Radial Basis Function (RBF) neural network is also incorporated and applied to improve the fitting accuracy of the gas sensor. Compared with traditional linear fitting or least squares method (LSM), the RBF neural network brings along the enhanced fitting accuracy within a large dynamic range, achieving an absolute error of below 50 ppmv (about 0.6%) for the maximum 8000 ppmv methane. The proposed technique in this paper is universal and compatible with TDLAS-based gas sensors without hardware modification, allowing direct improvement and optimization for current optical gas sensors. Full article
(This article belongs to the Section Optical Sensors)
Show Figures

Figure 1

9 pages, 833 KB  
Communication
Diode Laser Overtone Spectroscopy of Methyl Iodide at 850 nm
by Alessandro Lucchesini
Spectrosc. J. 2023, 1(1), 28-36; https://doi.org/10.3390/spectroscj1010003 - 12 Apr 2023
Viewed by 1961
Abstract
Using Tunable Diode Laser Absorption Spectroscopy (TDLAS), 82 CH3I overtone absorption lines were detected for the first time in the range between 11,660 and 11,840 cm1 (844–857 nm), with strengths estimated around 1027–1026 cm/molecule. [...] Read more.
Using Tunable Diode Laser Absorption Spectroscopy (TDLAS), 82 CH3I overtone absorption lines were detected for the first time in the range between 11,660 and 11,840 cm1 (844–857 nm), with strengths estimated around 1027–1026 cm/molecule. The lines were measured utilizing commercial heterostructure F–P type diode lasers, multipass cells, and wavelength modulation spectroscopy with the second harmonic detection technique. A high modulation amplitude approach was adopted for the analysis of the line shapes. Self-broadening coefficients were obtained for two lines. Full article
Show Figures

Figure 1

17 pages, 3533 KB  
Article
Temperature Measurements by Wavelength Modulation Diode Laser Absorption Spectroscopy with Logarithmic Conversion and 1f Signal Detection
by Vladimir Liger, Vladimir Mironenko, Yury Kuritsyn and Mikhail Bolshov
Sensors 2023, 23(2), 622; https://doi.org/10.3390/s23020622 - 5 Jan 2023
Cited by 3 | Viewed by 2564
Abstract
A new version of a sensor for temperature measurements in the case of strong laser intensity fluctuation was developed. It was based on tunable diode laser absorption spectroscopy (TDLAS) with wavelength modulation, logarithmic conversion of the absorption signal, and detection of the first [...] Read more.
A new version of a sensor for temperature measurements in the case of strong laser intensity fluctuation was developed. It was based on tunable diode laser absorption spectroscopy (TDLAS) with wavelength modulation, logarithmic conversion of the absorption signal, and detection of the first harmonic of the modulation frequency. The efficiency of the technique was demonstrated under experimental conditions with excess multiplicative noise. Temperature was evaluated from the ratio of integrated absorbance of two lines of the water molecule with different lower energy levels. Two algorithms of data processing were tested, simultaneous fitting of two spectral ranges with selected absorption lines and independent fitting of two absorption lines profiles. The correctness of the gas temperature evaluation was verified by simultaneous measurements with a commercial thermocouple. An error in temperature evaluation of less than 40 at 1000 K was achieved even when processing a single scan of the diode lasers. Full article
(This article belongs to the Special Issue Recent Trends and Advances in Laser Spectroscopy and Sensing)
Show Figures

Figure 1

11 pages, 2525 KB  
Article
Tunable Diode Laser Absorption Spectroscopy Based Temperature Measurement with a Single Diode Laser Near 1.4 μm
by Xiaonan Liu and Yufei Ma
Sensors 2022, 22(16), 6095; https://doi.org/10.3390/s22166095 - 15 Aug 2022
Cited by 79 | Viewed by 6825
Abstract
The rapidly changing and wide dynamic range of combustion temperature in scramjet engines presents a major challenge to existing test techniques. Tunable diode laser absorption spectroscopy (TDLAS) based temperature measurement has the advantages of high sensitivity, fast response, and compact structure. In this [...] Read more.
The rapidly changing and wide dynamic range of combustion temperature in scramjet engines presents a major challenge to existing test techniques. Tunable diode laser absorption spectroscopy (TDLAS) based temperature measurement has the advantages of high sensitivity, fast response, and compact structure. In this invited paper, a temperature measurement method based on the TDLAS technique with a single diode laser was demonstrated. A continuous-wave (CW), distributed feedback (DFB) diode laser with an emission wavelength near 1.4 μm was used for temperature measurement, which could cover two water vapor (H2O) absorption lines located at 7153.749 cm−1 and 7154.354 cm−1 simultaneously. The output wavelength of the diode laser was calibrated according to the two absorption peaks in the time domain. Using this strategy, the TDLAS system has the advantageous of immunization to laser wavelength shift, simple system structure, reduced cost, and increased system robustness. The line intensity of the two target absorption lines under room temperature was about one-thousandth of that under high temperature, which avoided the measuring error caused by H2O in the environment. The system was tested on a McKenna flat flame burner and a scramjet model engine, respectively. It was found that, compared to the results measured by CARS technique and theoretical calculation, this TDLAS system had less than 4% temperature error when the McKenna flat flame burner was used. When a scramjet model engine was adopted, the measured results showed that such TDLAS system had an excellent dynamic range and fast response. The TDLAS system reported here could be used in real engine in the future. Full article
(This article belongs to the Special Issue State-of-the-Art Optical Sensors Technology in China)
Show Figures

Figure 1

12 pages, 3748 KB  
Article
Experimental Investigation on Self-Excited Thermoacoustic Instability in a Rijke Tube
by Liezhao Luo, Ting Li, Jiangge Deng, Runzhou Zhao, Jinkui Wang and Lijun Xu
Appl. Sci. 2022, 12(16), 8046; https://doi.org/10.3390/app12168046 - 11 Aug 2022
Cited by 8 | Viewed by 2489
Abstract
The experimental investigations into the thermoacoustic instability in a Rijke tube are presented. In order to capture the dynamics of the temperature, a single-ended tunable diode laser absorption spectroscopy (TDLAS) technique was developed, with a measurement rate of 5 kHz. The temperature was [...] Read more.
The experimental investigations into the thermoacoustic instability in a Rijke tube are presented. In order to capture the dynamics of the temperature, a single-ended tunable diode laser absorption spectroscopy (TDLAS) technique was developed, with a measurement rate of 5 kHz. The temperature was found to fluctuate periodically at a dominant frequency of 230 Hz, corresponding to the fundamental frequency of the Rijke tube used in the experiment. The flame chemiluminescence was detected by a high-speed camera to demonstrate flame response to thermoacoustic instability. It was evident that the flame front stretched regularly and had jagged edges. To quantitate the fluctuations of chemiluminescence intensity, the relative area was defined. According to the result, the intensity also oscillated at 230 Hz. Furthermore, the same feature was found in regard to pressure at the exit of the Rijke tube. Compared with temperature and chemiluminescent intensity, the pressure oscillations presented the most approximate standard waveform, as they suffered the least disruptions. The results indicated that the dominant frequencies of temperature, chemiluminescent intensity and pressure were consistent, in accordance with the fundamental frequency of the Rijke tube in the experiment. In addition, etalon effects on the TDLAS signals were mitigated efficiently by a lowpass filter. Full article
Show Figures

Figure 1

Back to TopTop