Laser Linewidth Analysis and Filtering/Fitting Algorithms for Improved TDLAS-Based Optical Gas Sensor
Abstract
1. Introduction
2. Operation Principle
2.1. Laser Spectrum and Linewidth
2.2. TDLAS with Harmonic Detection
3. TDLAS System and Laser Linewidth Analysis
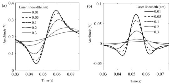
3.1. Modelling and Simulation
3.2. Laser Linewidth Analysis with Gas Absorption
4. Experimental Setup and Filtering/Fitting Algorithms
4.1. VMD-SG Filtering Algorithm
4.2. RBF Neural Network Fitting
5. Conclusions
Author Contributions
Funding
Institutional Review Board Statement
Informed Consent Statement
Data Availability Statement
Conflicts of Interest
References
- Duffin, K.; Mcgettrick, A.J.; Johnstone, W.; Stewart, G.; Moodie, D.G. Tunable Diode-Laser Spectroscopy with Wavelength Modulation: A Calibration-Free Approach to the Recovery of Absolute Gas Absorption Line Shapes. J. Light. Technol. 2007, 25, 3114–3125. [Google Scholar] [CrossRef]
- Sepman, A.; Gren, Y.; Qu, Z.; Wiinikka, H.; Schmidt, F.M. Real-time in situ multi-parameter TDLAS sensing in the reactor core of an entrained-flow biomass gasifier. Proc. Combust. Inst. 2016, 36, 4541–4548. [Google Scholar] [CrossRef]
- Chan, K.; Ito, H.; Inaba, H. Optical remote monitoring of CH4 gas using low-loss optical fiber link and InGaAsP light-emitting diode in 1.33-μm region. Appl. Phys. Lett. 1983, 43, 634–636. [Google Scholar] [CrossRef]
- Hinkley, E.D. High-Resolution Infrared Spectroscopy with a Tunable Diode Laser. Appl. Phys. Lett. 1970, 16, 351–354. [Google Scholar] [CrossRef]
- Deng, B.; Sima, C.; Xiao, Y.; Wang, X.; Ai, Y.; Li, T.; Lu, P.; Liu, D. Modified laser scanning technique in wavelength modulation spectroscopy for advanced TDLAS gas sensing. Opt. Lasers Eng. 2022, 151, 106906. [Google Scholar] [CrossRef]
- Peng, Z.; Du, Y.; Ding, Y. Highly sensitive, calibration-free WM-DAS method for recovering absorbance—Part I: Theoretical analysis. Sensors 2020, 20, 681. [Google Scholar] [CrossRef] [PubMed]
- Xiao, H.; Zhao, J.; Sima, C.; Lu, P.; Long, Y.; Ai, Y.; Zhang, W.; Pan, Y.; Zhang, J.; Liu, D. Ultra-sensitive ppb-level methane detection based on NIR all-optical photoacoustic spectroscopy by using differential fiber-optic microphones with gold-chromium composite nanomembrane. Photoacoustics 2022, 26, 100353. [Google Scholar] [CrossRef] [PubMed]
- Zhang, L.; Wang, Q.; Sun, P.; Pang, T.; Wu, B.; Xia, H.; Zhang, Z. Analysis of Interference Factors and Study of Temperature Correction Method in Gas Detection by Laser Absorption Spectroscopy. Spectrosc. Spectr. Anal. 2023, 43, 767–773. [Google Scholar]
- Li, S.; Xiao, B.; Li, K. The Simulation and Analysis of Gas Parameter Measurement System Based on TDLAS. Mod. Sci. Instrum. 2007, 4, 52–55. [Google Scholar]
- Zheng, C.-T.; Ye, W.-L.; Huang, J.-Q.; Cao, T.-S.; Lv, M.; Dang, J.-M.; Wang, Y.-D. Performance improvement of a near-infrared CH4 detection device using wavelet-denoising-assisted wavelength modulation technique. Sens. Actuators B Chem. 2014, 190, 249–258. [Google Scholar] [CrossRef]
- Li, H.; Li, Z.; Mo, W. A time varying filter approach for empirical mode decomposition. Signal Process. 2017, 138, 146–158. [Google Scholar] [CrossRef]
- Liu, T.; Luo, Z.; Huang, J.; Yan, S. A Comparative Study of Four Kinds of Adaptive Decomposition Algorithms and Their Applications. Sensors 2018, 18, 2120. [Google Scholar] [CrossRef] [PubMed]
- Banjade, T.P.; Liu, J.; Li, H.; Ma, J. Enhancing earthquake signal based on variational mode decomposition and SG filter. J. Seismol. 2021, 25, 41–54. [Google Scholar] [CrossRef]
- Yang, H.; Cheng, Y.; Li, G. A denoising method for ship radiated noise based on Spearman variational mode decomposition, spatial-dependence recurrence sample entropy, improved wavelet threshold denoising, and Savitzky-Golay filter. Alex. Eng. J. 2021, 60, 3379–3400. [Google Scholar] [CrossRef]
- Zhang, R.; Zhao, X.; Zhao, Y.; Wang, Z.; Wang, Y. Laser characteristic effect on the trace gas detection. Acta Phys. Sin. 2014, 64, 140701. [Google Scholar] [CrossRef]
- Sánchez, H.R. Seven derivations of the Beer-Lambert law. Spectrosc. Lett. 2021, 54, 133–139. [Google Scholar] [CrossRef]












| Parameter | LSM Fitting | RBF Fitting | 
|---|---|---|
| SSE | 289,600 | 1877.3 | 
| RMSE | 98.24 | 7.4307 | 
| R-square | 0.9987 | 0.9999 | 
| Disclaimer/Publisher’s Note: The statements, opinions and data contained in all publications are solely those of the individual author(s) and contributor(s) and not of MDPI and/or the editor(s). MDPI and/or the editor(s) disclaim responsibility for any injury to people or property resulting from any ideas, methods, instructions or products referred to in the content. | 
© 2023 by the authors. Licensee MDPI, Basel, Switzerland. This article is an open access article distributed under the terms and conditions of the Creative Commons Attribution (CC BY) license (https://creativecommons.org/licenses/by/4.0/).
Share and Cite
Tong, C.; Sima, C.; Chen, M.; Zhang, X.; Li, T.; Ai, Y.; Lu, P. Laser Linewidth Analysis and Filtering/Fitting Algorithms for Improved TDLAS-Based Optical Gas Sensor. Sensors 2023, 23, 5130. https://doi.org/10.3390/s23115130
Tong C, Sima C, Chen M, Zhang X, Li T, Ai Y, Lu P. Laser Linewidth Analysis and Filtering/Fitting Algorithms for Improved TDLAS-Based Optical Gas Sensor. Sensors. 2023; 23(11):5130. https://doi.org/10.3390/s23115130
Chicago/Turabian StyleTong, Chen, Chaotan Sima, Muqi Chen, Xiaohang Zhang, Tailin Li, Yan Ai, and Ping Lu. 2023. "Laser Linewidth Analysis and Filtering/Fitting Algorithms for Improved TDLAS-Based Optical Gas Sensor" Sensors 23, no. 11: 5130. https://doi.org/10.3390/s23115130
APA StyleTong, C., Sima, C., Chen, M., Zhang, X., Li, T., Ai, Y., & Lu, P. (2023). Laser Linewidth Analysis and Filtering/Fitting Algorithms for Improved TDLAS-Based Optical Gas Sensor. Sensors, 23(11), 5130. https://doi.org/10.3390/s23115130
 
        



 
       