Measuring Turbulent Water Vapor Fluxes Using a Tunable Diode Laser-Based Open-Path Gas Analyzer
Abstract
1. Introduction
2. Materials and Methods
2.1. Instrument Design
2.2. Signal Processing and Concentration Retrieval
2.3. Calibration
2.4. Analysis of Instrumental Noise
2.5. Eddy Covariance Measurements
2.6. Processing of Eddy Covariance Data
2.6.1. Flux Calculation
2.6.2. Flux Correction
2.6.3. Quality Control of Water Vapor Fluxes
2.6.4. Spectral Analysis
3. Results and Discussion
3.1. Instrumental Noise and Flux Detection Limit
3.2. Weather Conditions during Field Experiments
3.3. Water Vapor Density
3.4. Water Vapor Flux
3.5. Effects of Flux Corrections on Water Vapor Fluxes of HT1800
3.6. Spectral Characteristic
4. Conclusions
- (1)
- H2O densities measured using the three types of gas analyzers were in generally good agreement with the reference sensor (HMP155), but temporal drift existed in different directions and magnitudes.
- (2)
- Despite density deviations, H2O fluxes measured by HT1800 were remarkably consistent with those measured by LI-7500RS and IRGASON. Therefore, we are confident that HT1800 can obtain accurate H2O fluxes both at half-hourly and daily timescale. Through the field experiments, HT1800 was also proved to be suitable for EC application in terms of data availability, flux detection limit and response to the high-frequency turbulent variation.
- (3)
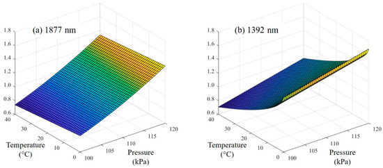
- The spectroscopic effect can cause much larger measurement bias in the 1392 nm laser-based analyzer than the 1877 nm one, but the corrected H2O fluxes only differed by 2% from the reference instrument (IRGASON). Considering the cost advantage in laser and photodetector, the HT1800 analyzer using a 1392 nm laser is a promising and economical solution for EC measurement studies of water vapor.
Author Contributions
Funding
Data Availability Statement
Acknowledgments
Conflicts of Interest
References
- IPCC. 2021 Climate Change 2021: The Physical Science Basis; Masson-Delmotte, V., Zhai, P., Pirani, A., Connors, S.L., Péan, C., Berger, S., Caud, N., Chen, Y., Goldfarb, L., Gomis, M.I., et al., Eds.; Contribution of Working Group I to the Sixth Assessment Report of the Intergovernmental Panel on Climate Change; Cambridge University Press: Cambridge, UK; New York, NY, USA, 2021. [Google Scholar]
- Katul, G.G.; Oren, R.; Manzoni, S.; Higgins, C.; Parlange, M.B. Evapotranspiration: A Process Driving Mass Transport and Energy Exchange in the Soil-Plant-Atmosphere-Climate System. Rev. Geophy. 2012, 50, RG3002. [Google Scholar] [CrossRef]
- Allen, R.G.; Pereira, L.S.; Raes, D.; Smith, M. Crop Evapotranspiration: Guidelines for Computing Crop Water Requirements; FAO Irrigation and Drainage Paper 56; FAO: Rome, Italy, 1998. [Google Scholar]
- Wang, K.; Dickinson, R.E. A Review of Global Terrestrial Evapotranspiration: Observation, Modeling, Climatology, and Climatic Variability. Rev. Geophys. 2012, 50, 2011RG000373. [Google Scholar] [CrossRef]
- Baldocchi, D.; Falge, E.; Gu, L.; Olson, R.; Hollinger, D.; Running, S.; Anthoni, P.; Bernhofer, C.; Davis, K.; Evans, R.; et al. FLUXNET: A New Tool to Study the Temporal and Spatial Variability of Ecosystem-Scale Carbon Dioxide, Water Vapor, and Energy Flux Densities. Bull. Am. Meteorol. Soc. 2001, 82, 2415–2434. [Google Scholar] [CrossRef]
- Heikinheimo, M.J.; Thurtell, G.W.; Kidd, G.E. An Open Path, Fast Response IR Spectrometer for Simultaneous Detection of CO2 and Water Vapor Fluctuations. J. Atmos. Ocean. Technol. 1989, 6, 624–636. [Google Scholar] [CrossRef]
- Auble, D.L.; Meyers, T.P. An Open Path, Fast Response Infrared Absorption Gas Analyzer for H2O and CO2. Bound.-Layer Meteorol. 1992, 59, 243–256. [Google Scholar] [CrossRef]
- Billesbach, D.P.; Fischer, M.L.; Torn, M.S.; Berry, J.A. A Portable Eddy Covariance System for the Measurement of Ecosystem–Atmosphere Exchange of CO2, Water Vapor, and Energy. J. Atmos. Ocean. Technol. 2004, 21, 639–650. [Google Scholar] [CrossRef]
- Haslwanter, A.; Hammerle, A.; Wohlfahrt, G. Open-Path vs. Closed-Path Eddy Covariance Measurements of the Net Ecosystem Carbon Dioxide and Water Vapour Exchange: A Long-Term Perspective. Agric. For. Meteorol. 2009, 149, 291–302. [Google Scholar] [CrossRef]
- Polonik, P.; Chan, W.S.; Billesbach, D.P.; Burba, G.; Li, J.; Nottrott, A.; Bogoev, I.; Conrad, B.; Biraud, S.C. Comparison of Gas Analyzers for Eddy Covariance: Effects of Analyzer Type and Spectral Corrections on Fluxes. Agric. For. Meteorol. 2019, 272, 128–142. [Google Scholar] [CrossRef]
- Liu, A.; Wolf, P.; Lott, J.A.; Bimberg, D. Vertical-cavity surface-emitting lasers for data communication and sensing. Photon. Res. 2019, 7, 121–136. [Google Scholar] [CrossRef]
- May, R.D. Open-Path, Near-Infrared Tunable Diode Laser Spectrometer for Atmospheric Measurements of H2O. J. Geophys. Res. 1998, 103, 19161–19172. [Google Scholar] [CrossRef]
- Zondlo, M.A.; Paige, M.E.; Massick, S.M.; Silver, J.A. Vertical Cavity Laser Hygrometer for the National Science Foundation Gulfstream-V Aircraft. J. Geophys. Res. 2010, 115, D20309. [Google Scholar] [CrossRef]
- Novak, J.L.; Magryta, P.; Stacewicz, T.; Malinowski, S.P. Fast Optoelectronic Sensor of Water Concentration. Opt. Appl. 2016, 46, 607–618. [Google Scholar]
- Buchholz, B.; Afchine, A.; Klein, A.; Ebert, V.; Kramer, M.; Ebert, V. HAI, a New Airborne, Absolute, Twin Dual-Channel, Multi-Phase TDLAS-Hygrometer: Background, Design, Setup, and First Flight Data. Atmos. Meas. Tech. 2017, 10, 35–57. [Google Scholar] [CrossRef]
- Witt, F.; Nwaboh, J.; Bohlius, H.; Lampert, A.; Ebert, V. Towards a Fast, Open-Path Laser Hygrometer for Airborne Eddy Covariance Measurements. Appl. Sci. 2021, 11, 5189. [Google Scholar] [CrossRef]
- Li, M.; Kan, R.; He, Y.; Liu, J.; Xu, Z.; Chen, B.; Lu, Y.; Ruan, J.; Huang, X.; Deng, H.; et al. Development of a Laser Gas Analyzer for Fast CO2 and H2O Flux Measurements Utilizing Derivative Absorption Spectroscopy at a 100 Hz Data Rate. Sensors 2021, 21, 3392. [Google Scholar] [CrossRef] [PubMed]
- Gu, M.; Chen, J.; Mei, J.; Tan, T.; Wang, G.; Liu, K.; Liu, G.; Gao, X. Open-Path Anti-Pollution Multi-Pass Cell-Based TDLAS Sensor for the Online Measurement of Atmospheric H2O and CO2 Fluxes. Opt. Express 2022, 30, 43961. [Google Scholar] [CrossRef]
- Burba, G.; Anderson, T.; Komissarov, A. Accounting for Spectroscopic Effects in Laser-Based Open-Path Eddy Covariance Flux Measurements. Glob. Chang. Biol. 2019, 25, 2189–2202. [Google Scholar] [CrossRef]
- Burch, D.E.; Singleton, E.B.; Williams, D. Absorption Line Broadening in the Infrared. Appl. Opt. 1962, 1, 359–363. [Google Scholar] [CrossRef]
- Pan, D.; Benedict, K.B.; Golston, L.M.; Wang, R.; Collett, J.L.; Tao, L.; Sun, K.; Guo, X.; Ham, J.; Prenni, A.J.; et al. Ammonia Dry Deposition in an Alpine Ecosystem Traced to Agricultural Emission Hotpots. Environ. Sci. Technol. 2021, 55, 7776–7785. [Google Scholar] [CrossRef]
- Green, A.E.; Kohsiek, W. A Fast Response, Open Path, Infrared Hygrometer, Using a Semiconductor Source. Bound.-Layer Meteorol. 1995, 74, 353–370. [Google Scholar] [CrossRef]
- Le Barbu, T.; Vinogradov, I.; Durry, G.; Korablev, O.; Chassefière, E.; Bertaux, J.L. TDLAS a Laser Diode Sensor for the in Situ Monitoring of H2O, CO2 and Their Isotopes in the Martian Atmosphere. Adv. Space Res. 2006, 38, 718–725. [Google Scholar] [CrossRef]
- Rothman, L.S.; Barbe, A.; Chris Benner, D.; Brown, L.R.; Camy-Peyret, C.; Carleer, M.; Carleer, K.C.M.R.; Clerbaux, C.; Dana, V.; Devi, V.M.; et al. The HITRAN Molecular Spectroscopic Database: Edition of 2000 Including Updates through 2001. J. Quant. Spectrosc. Radiat. 2003, 82, 5–44. [Google Scholar] [CrossRef]
- Werle, P.; Slemr, F. Signal-To-Noise Ratio Analysis in Laser Absorption Spectrometers Using Optical Multipass Cells. Appl. Opt. 1991, 30, 430–434. [Google Scholar] [CrossRef] [PubMed]
- Dong, L.; Yu, Y.; Li, C.; So, S.; Tittel, F.K. Ppb-Level Formaldehyde Detection Using a CW Room-Temperature Interband Cascade Laser and a Miniature Dense Pattern Multipass Gas Cell. Opt. Express 2015, 23, 19821. [Google Scholar] [CrossRef]
- Werle, P.; Mücke, R.; Slemr, F. The Limits of Signal Averaging in Atmospheric Trace-Gas Monitoring by Tunable Diode-Laser Absorption Spectroscopy (TDLAS). Appl. Phys. B 1993, 57, 131–139. [Google Scholar] [CrossRef]
- Kljun, N.; Calanca, P.; Rotach, M.W.; Schmid, H.P. A Simple Two-Dimensional Parameterisation for Flux Footprint Prediction (FFP). Geosci. Model Dev. 2015, 8, 3695–3713. [Google Scholar] [CrossRef]
- Aubinet, M.; Grelle, A.; Ibrom, A.; Rannik, Ü.; Moncrieff, J.; Foken, T.; Kowalski, A.S.; Martin, P.H.; Berbigier, P.; Bernhofer, C.; et al. Estimates of the annual net carbon and water exchange of European forests: The EUROFLUX methodology. Adv. Ecol. Res. 2000, 30, 113–175. [Google Scholar]
- Webb, E.K.; Pearman, G.I.; Leuning, R. Correction of Flux Measurements for Density Effects due to Heat and Water Vapour Transfer. Q. J. R. Meteorol. Soc. 1980, 106, 85–100. [Google Scholar] [CrossRef]
- Moncrieff, J.B.; Massheder, J.M.; de Bruin, H.; Ebers, J.; Friborg, T.; Heusinkveld, B.; Kabat, P.; Scott, S.; Soegaard, H.; Verhoef, A. A System to Measure Surface Fluxes of Momentum, Sensible Heat, Water Vapor and Carbon Dioxide. J. Hydrol. 1997, 188–189, 589–611. [Google Scholar] [CrossRef]
- Moncrieff, J.B.; Clement, R.; Finnigan, J.; Meyers, T. Averaging, Detrending and Filtering of Eddy Covariance Time Series. In Handbook of Micrometeorology: A Guide for Surface Flux Measurements; Lee, X., Massman, W., Law, B., Eds.; Kluwer Academic Publishers: Dordrecht, The Netherlands, 2004; pp. 7–31. [Google Scholar]
- Wang, K.; Kang, P.; LU, Y.; Zheng, X.; Liu, M.; Lin, T.; Butterbach-Bahl, K.; Wang, Y. An Open-Path Ammonia Analyzer for Eddy Covariance Flux Measurement. Agric. For. Meteorol. 2021, 308–309, 108570. [Google Scholar] [CrossRef]
- Mauder, M.; Foken, T. Documentation and Instruction Manual of the Eddy-Covariance Software Package TK3 (Update); Arbeitsergebnisse; Universität Bayreuth, Abteilung Mikrometeorologie: Bayreuth, Germany, 2015. [Google Scholar]
- Stull, R.B. An Introduction to Boundary Layer Meteorology. In Atmospheric Science Library; Kluwer Academic Publishers: Dordrecht, The Netherlands, 2009; p. 666. [Google Scholar]
- Kaimal, J.C.; Wyngaard, J.C.; Izumi, Y.; Coté, O.R. Spectral Characteristics of Surface-Layer Turbulence. Q. J. R. Meteorol. Soc. 1972, 98, 563–589. [Google Scholar]
- Wang, D.; Wang, K.; Zheng, X.; Butterbach-Bahl, K.; Díaz-Pinés, E.; Chen, H. Applicability of a Gas Analyzer with Dual Quantum Cascade Lasers for Simultaneous Measurements of N2O, CH4 and CO2 Fluxes from Cropland Using the Eddy Covariance Technique. Sci. Total Environ. 2020, 729, 138784. [Google Scholar] [CrossRef] [PubMed]
- Moro, M.; Were, A.; Villagarcía, L.; Cantón, Y.; Domingo, F. Dew Measurement by Eddy Covariance and Wetness Sensor in a Semiarid Ecosystem of SE Spain. J. Hydrol. 2007, 335, 295–302. [Google Scholar] [CrossRef]
- Novick, K.; Oren, R.; Stoy, P.; Siqueira, M.; Katul, G. Nocturnal Evapotranspiration in Eddy-Covariance Records from Three Co-Located Ecosystems in the Southeastern U.S.: Implications for Annual Fluxes. Agric. For. Meteorol. 2009, 149, 1491–1504. [Google Scholar] [CrossRef]
- Guo, X.; Zha, T.; Jia, X.; Wu, B.; Feng, W.; Xie, J.; Gong, J.; Zhang, Y.; Peltola, H. Dynamics of Dew in a Cold Desert-Shrub Ecosystem and Its Abiotic Controls. Atmosphere 2016, 7, 32. [Google Scholar] [CrossRef]
- Rai, A.C.; Kumar, P.; Pilla, F.; Skouloudis, A.N.; Di Sabatino, S.; Ratti, C.; Ansar Yasar, A.; Rickerby, D. End-User Perspective of Low-Cost Sensors for Outdoor Air Pollution Monitoring. Sci. Total Environ. 2017, 607, 691–705. [Google Scholar] [CrossRef]
- McDermitt, D.; Burba, G.; Xu, L.; Anderson, T.; Komissarov, A.; Riensche, B.; Schedlbauer, J.; Starr, G.; Zona, D.; Oechel, W.; et al. A New Low-Power, Open-Path Instrument for Measuring Methane Flux by Eddy Covariance. Appl. Phys. 2010, 102, 391–405. [Google Scholar] [CrossRef]










| Instruments | P-1 | P-2 | |
|---|---|---|---|
| Anemometer | Manufacturer | METEK | CSI |
| Model | u-Sonic3 Cage MP | CSAT-3 | |
| Height | 2.0 m | 1.95 m | |
| North offset a | 0° | 135° | |
| H2O analyzer 1 | Manufacturer | HealthyPhoton | HealthyPhoton |
| Model b | HT1800 | HT1800 | |
| Height | 1.95 m | 1.95 m | |
| Spatial separation c | 25 cm | 26 cm | |
| H2O analyzer 2 | Manufacturer | LI-COR | CSI |
| Model | LI-7500RS | EC150 | |
| Height | 1.96 m | 1.96 m | |
| Spatial separation | 24 cm | 1 cm |
Disclaimer/Publisher’s Note: The statements, opinions and data contained in all publications are solely those of the individual author(s) and contributor(s) and not of MDPI and/or the editor(s). MDPI and/or the editor(s) disclaim responsibility for any injury to people or property resulting from any ideas, methods, instructions or products referred to in the content. |
© 2024 by the authors. Licensee MDPI, Basel, Switzerland. This article is an open access article distributed under the terms and conditions of the Creative Commons Attribution (CC BY) license (https://creativecommons.org/licenses/by/4.0/).
Share and Cite
Wang, K.; Huang, L.; Zhang, J.; Zhen, X.; Shi, L.; Lin, T.-J.; Zheng, X.; Wang, Y. Measuring Turbulent Water Vapor Fluxes Using a Tunable Diode Laser-Based Open-Path Gas Analyzer. Water 2024, 16, 307. https://doi.org/10.3390/w16020307
Wang K, Huang L, Zhang J, Zhen X, Shi L, Lin T-J, Zheng X, Wang Y. Measuring Turbulent Water Vapor Fluxes Using a Tunable Diode Laser-Based Open-Path Gas Analyzer. Water. 2024; 16(2):307. https://doi.org/10.3390/w16020307
Chicago/Turabian StyleWang, Kai, Li Huang, Jingting Zhang, Xiaojie Zhen, Linlin Shi, Ting-Jung Lin, Xunhua Zheng, and Yin Wang. 2024. "Measuring Turbulent Water Vapor Fluxes Using a Tunable Diode Laser-Based Open-Path Gas Analyzer" Water 16, no. 2: 307. https://doi.org/10.3390/w16020307
APA StyleWang, K., Huang, L., Zhang, J., Zhen, X., Shi, L., Lin, T.-J., Zheng, X., & Wang, Y. (2024). Measuring Turbulent Water Vapor Fluxes Using a Tunable Diode Laser-Based Open-Path Gas Analyzer. Water, 16(2), 307. https://doi.org/10.3390/w16020307

