Sign in to use this feature.

Years

Between: -

Subjects

remove_circle_outline
remove_circle_outline
remove_circle_outline
remove_circle_outline
remove_circle_outline
remove_circle_outline
remove_circle_outline
remove_circle_outline
remove_circle_outline

Journals

remove_circle_outline
remove_circle_outline
remove_circle_outline
remove_circle_outline
remove_circle_outline
remove_circle_outline

Article Types

Countries / Regions

remove_circle_outline
remove_circle_outline
remove_circle_outline

Search Results (220)

Search Parameters:
Keywords = Single-Event Transient

Order results
Result details
Results per page
Select all
Export citation of selected articles as:
12 pages, 6028 KB  
Article
A Universal Deep Learning Model for Predicting Detection Performance and Single-Event Effects of SPAD Devices
by Yilei Chen, Jin Huang, Yuxiang Zeng, Yi Jiang, Shulong Wang, Shupeng Chen and Hongxia Liu
Micromachines 2026, 17(4), 452; https://doi.org/10.3390/mi17040452 - 7 Apr 2026
Abstract
Single-event effects (SEEs) present a significant challenge to the radiation reliability of integrated circuits. Conventional SEE analysis methods for single-photon avalanche diode (SPAD) devices primarily rely on Sentaurus Technology Computer-Aided Design (TCAD) numerical simulation, which is computationally intensive and time-consuming. In this study, [...] Read more.
Single-event effects (SEEs) present a significant challenge to the radiation reliability of integrated circuits. Conventional SEE analysis methods for single-photon avalanche diode (SPAD) devices primarily rely on Sentaurus Technology Computer-Aided Design (TCAD) numerical simulation, which is computationally intensive and time-consuming. In this study, we propose a generalized deep learning (DL) model, using a silicon-based SPAD device with a double-junction double-buried-layer (DJDB) structure fabricated in 180 nm CMOS process as the research subject. By incorporating key parameters that influence SEEs as model inputs, the proposed approach enables rapid prediction of critical parameter metrics, including transient current peaks and dark count rates. Experimental results show that the DL model achieves a prediction accuracy of 97.32% for transient current peaks and 99.87% for dark count rates, demonstrating extremely high prediction precision. To further validate the generalization capability of the proposed network, the model is applied to predict the detection performance of the DJDB-SPAD device. The prediction accuracies for four key performance parameters all exceed 97.5%, further confirming the accuracy and robustness of the developed model. Meanwhile, compared with the conventional Sentaurus TCAD simulation method, the proposed method achieves a 336-fold improvement in computational efficiency. Overall, this method realizes the dual advantages of high precision and high efficiency, which provides an efficient and accurate technical solution for the rapid characteristic analysis and reliability evaluation of SPAD devices under single-event effects (SEEs). Full article
Show Figures

Figure 1

17 pages, 1694 KB  
Article
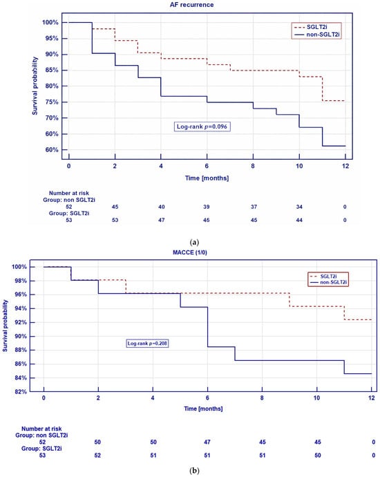
Effect of SGLT2 Inhibitors on the Efficacy of First-Time Pulmonary Vein Isolation and Clinical Course of Patients with Heart Failure with Preserved Ejection Fraction and Atrial Fibrillation
by Magdalena Balwierz-Podgórna, Bartosz Gruchlik, Katarzyna Mizia-Stec, Adriana Filak, Anna Hejmej, Piotr Paździora, Mikołaj Gołda, Aleksandra Spirkowicz, Karina Dzięcioł and Maciej Wybraniec
J. Cardiovasc. Dev. Dis. 2026, 13(4), 160; https://doi.org/10.3390/jcdd13040160 - 6 Apr 2026
Viewed by 20
Abstract
Background/Objectives: SGLT2 inhibitors (SGLT2i) became a cornerstone of heart failure with preserved ejection fraction (HFpEF) pharmacotherapy in the recent years However, their actual influence on pulmonary veins isolation (PVI) efficacy in this population remains unclear. The aim of the study was to [...] Read more.
Background/Objectives: SGLT2 inhibitors (SGLT2i) became a cornerstone of heart failure with preserved ejection fraction (HFpEF) pharmacotherapy in the recent years However, their actual influence on pulmonary veins isolation (PVI) efficacy in this population remains unclear. The aim of the study was to evaluate an impact of SGLT2i on one-year first-time PVI efficacy and clinical course of patients with HFpEF and atrial fibrillation (AF). Methods: This is a single-center retrospective study including 105 HFpEF and AF individuals, who underwent the first-time PVI (51 (48.6%) males; mean age at PVI: 65.2 ± 9.5 years). 53 patients treated with SGLT2i (hospitalized for PVI since 2023) and 52 patients without such a treatment (2020-mid-2023) were assessed according to the clinical presentation and hard endpoints. The primary endpoint was arrhythmia recurrence rate. The secondary endpoint was a composite of major adverse cardiovascular and cerebrovascular events (MACCE). Results: SGLT2i therapy was associated with greater symptom reduction after PVI (90.6% vs. 62.7%; p < 0.001). There was a statistical trend toward reduced all-cause mortality in SGLT2i (0% vs. 5.8%; p = 0.076). Although overall AF recurrence rates were similar between subgroups, Kaplan–Meier analysis showed a non-significant trend toward lower recurrence in the SGLT2i group (p = 0.096). The analysis did not reveal significant differences in terms of cardiovascular hospitalizations, stroke/transient ischemic attack (TIA) and MACCE incidence between the subgroups. Non-vitamin K antagonist oral anticoagulants (NOACs) administration was associated with a lower risk of AF recurrence (OR 0.27; 95% CI 0.096 to 0.77; p = 0.014). MACCE occurrence was predicted by higher CHA2DS2-VA (Congestive heart failure, Hypertension, Age ≥ 75, Diabetes, Stroke, Vascular disease, Age 65–74) (OR 5.63; 95% CI 1.57–20.12; p = 0.008), lower left ventricular ejection fraction (LVEF) (OR 0.74; 95% CI 0.57–0.99; p = 0.028) and (vitamin K antagonists) VKA use (OR 97.44; 95% CI 3.2–2962.57; p = 0.009). Conclusions: SGLT2i pharmacotherapy in the study population was linked to higher efficacy in symptom reduction, with a probability of AF recurrence and all-cause mortality reduction, which may suggest a potential beneficial role of SGLT2i in this cohort. Full article
(This article belongs to the Section Electrophysiology and Cardiovascular Physiology)
Show Figures

Figure 1

22 pages, 37583 KB  
Article
Moving-Skewness Preprocessing for Simple Power Analysis on Cryptosystems: Revealing Asymmetry in Leakage
by Zhen Li, Kexin Qiang, Yiming Yang, Zongyue Wang and An Wang
Cryptography 2026, 10(2), 23; https://doi.org/10.3390/cryptography10020023 - 3 Apr 2026
Viewed by 150
Abstract
In side-channel analysis, simple power analysis (SPA) is a widely used technique for recovering secret information by exploiting differences between operations in traces. However, in realistic measurement environments, SPA is often hindered by noise, temporal misalignment, and weak or transient leakage, which obscure [...] Read more.
In side-channel analysis, simple power analysis (SPA) is a widely used technique for recovering secret information by exploiting differences between operations in traces. However, in realistic measurement environments, SPA is often hindered by noise, temporal misalignment, and weak or transient leakage, which obscure secret-dependent features in single or very few power traces. In this paper, we provide a systematic analysis of moving-skewness-based trace preprocessing for enhancing asymmetric leakage characteristics relevant to SPA. The method computes local skewness within a moving window along the trace, transforming the original signal into a skewness trace that emphasizes distributional asymmetry while suppressing noise. Unlike conventional smoothing-based preprocessing techniques, the proposed approach preserves and can even amplify subtle leakage patterns and spike-like transient events that are often attenuated by low-pass filtering or moving-average methods. To further improve applicability under different leakage conditions, we introduce feature-driven window-selection strategies that align preprocessing parameters with various leakage characteristics. Both simulated datasets and real measurement traces collected from multiple cryptographic platforms are used to evaluate the effectiveness of the approach. The experimental results indicate that moving-skewness preprocessing improves leakage visibility and achieves higher SPA success rates compared to commonly used preprocessing methods. Full article
(This article belongs to the Section Hardware Security)
Show Figures

Figure 1

12 pages, 4146 KB  
Article
The Analyses of Radiation Effects on SiGe HBT Devices for High-Speed Mixed-Signal Processing in Aerospace
by Zhibin Qin, Changlei Feng, Yue Zhang, Fan Zhang, Chen Lyu, Shanshan Sun and Ji Zhou
Electronics 2026, 15(7), 1479; https://doi.org/10.3390/electronics15071479 - 2 Apr 2026
Viewed by 245
Abstract
This study presents a TCAD model of a SiGe HBT designed for high-speed data transfer, with a cutoff frequency of 246.5 GHz and a β-value up to 416.7. Comprehensive single-event transient (SET) irradiation simulations were performed by injecting charges at different junctions with [...] Read more.
This study presents a TCAD model of a SiGe HBT designed for high-speed data transfer, with a cutoff frequency of 246.5 GHz and a β-value up to 416.7. Comprehensive single-event transient (SET) irradiation simulations were performed by injecting charges at different junctions with various angles. The influence of SET on data transfer was further evaluated at circuit level by loading the SET model from TCAD simulation into a high-speed laser diode driver circuit. Hence, this work employed a collector dummy structure in the designed HBT to build radiation-hardened devices. Simulation results indicate significant mitigation of the single-event transient current, which could be reduced to 10%, compared with non-hardened devices. Full article
(This article belongs to the Special Issue Artificial Intelligence and Microsystems)
Show Figures

Figure 1

14 pages, 1140 KB  
Article
Time-Resolved Repair of Clustered DNA Damage in γ-Irradiated Yeast Cells
by Ana G. Sánchez and Deborah J. Keszenman
DNA 2026, 6(2), 17; https://doi.org/10.3390/dna6020017 - 1 Apr 2026
Viewed by 130
Abstract
Background/Objectives: Exposure of cells to ionizing radiation induces isolated DNA lesions, including single-strand breaks, apurinic/apyrimidinic sites, and oxidized bases, as well as clustered damages of different complexity. The latter types of damage are difficult to repair, and the failure to process them accurately [...] Read more.
Background/Objectives: Exposure of cells to ionizing radiation induces isolated DNA lesions, including single-strand breaks, apurinic/apyrimidinic sites, and oxidized bases, as well as clustered damages of different complexity. The latter types of damage are difficult to repair, and the failure to process them accurately and efficiently is related to the induction of mutagenesis, genomic instability, cancer, and aging. Since various types of clustered lesions may occur simultaneously after radiation exposure, leading to a complex architecture of DNA damage, the study of the concomitant formation and the removal kinetics of clustered DNA damage is important to determine the mutagenic and, consequently, the carcinogenic potential of ionizing radiation. Methods: With the aim of capturing real-time coexisting lesion types and assessing the repair kinetics of clustered damages, the simultaneous determination of double-strand breaks, apurinic/apyrimidinic site clusters, and oxypurine clusters induced by γ-irradiation of Saccharomyces cerevisiae yeast cells was performed immediately after exposure and at time intervals during incubation in Liquid Holding Recovery conditions. Results: Ionizing radiation induced lethal and mutagenic events, leading to a dose-dependent linear increase in double-strand breaks, apurinic/apyrimidinic site clusters, and oxypurine clusters. The kinetic study showed that double-strand break frequencies declined during Liquid Holding Recovery, although a transient increase was detected at early time points. At 160 Gy, apurinic/apyrimidinic site clusters repair was evident, whereas at 400 Gy the frequency of damage increased before returning to the initial value at 24 h. In contrast, oxypurine clusters showed no net increase in repaired lesions over 24 h. Conclusions: The complex nature and topological characteristics of ionizing radiation-induced clustered DNA damage may influence lesion processing. Also, ionizing radiation may disrupt redox cellular homeostasis, leading to DNA damage and delayed effects. Full article
Show Figures

Graphical abstract

20 pages, 2865 KB  
Article
Dercum Disease: Exploratory Therapeutic Approaches in the Absence of Standardized Medical Treatment—A Single Center Case Series
by Alessandro Magnatta, Alice Verdelli, Virginia Corti, Luca Sanna, Manfredi Magliulo, Valentina Ruffo di Calabria, Elisabetta Magnaterra, Elena Biancamaria Mariotti, Simone Landini, Rachel Daher, Irene Bonanni, Marta Donati, Francesca Gorini, Alessio Coi, Ilaria Di Donato, Cinzia Pupilli and Marzia Caproni
Life 2026, 16(4), 582; https://doi.org/10.3390/life16040582 - 1 Apr 2026
Viewed by 303
Abstract
Dercum’s disease (DD) is a rare chronic disorder characterized by painful subcutaneous lipomas, mostly affecting overweight or obese middle-aged women. The etiology remains unclear, and evidence for medical treatments is limited. Surgical approaches may reduce pain but are associated with frequent relapses and [...] Read more.
Dercum’s disease (DD) is a rare chronic disorder characterized by painful subcutaneous lipomas, mostly affecting overweight or obese middle-aged women. The etiology remains unclear, and evidence for medical treatments is limited. Surgical approaches may reduce pain but are associated with frequent relapses and are difficult to implement in extensive clinical pictures. We investigated the outcomes of multiple medical and surgical therapeutic strategies. Particularly, we explored immunomodulators (methotrexate and infliximab), used alone or combined with glucagon-like peptide-1 receptor agonists (GLP-1 RAs) such as semaglutide, as well as the dual GIP (glucose-dependent insulinotropic polypeptide)/GLP-1 RAs tirzepatide. Five patients with DD were included in this retrospective single-center case series. Baseline clinical data, medical history, and longitudinal information on Dermatology Life Quality Index (DLQI), Visual Analogue Scale (VAS) for pain, and body mass index (BMI) were collected from existing medical records and scheduled follow-up visits conducted since 2021. Clinical trajectories differed across patients and regimens. Methotrexate and infliximab coincided with variable and often transient improvements in pain and quality of life. Combination regimens including GLP-1 RAs were accompanied by weight reduction and, in selected patients, by sustained improvements in pain and DLQI. In other cases, the benefit was limited or absent. Adverse events were manageable and consistent with the known safety profiles of these drugs. In this small real-world case series, therapeutic responses in DD were highly individualized, underscoring the absence of standardized medical treatment and the need for patient-tailored strategies. The observed patterns suggest that immunomodulatory and incretin-based therapies may represent exploratory options in selected patients, especially when surgery is not feasible. However, controlled studies are needed to clarify their role. Full article
Show Figures

Figure 1

16 pages, 312 KB  
Review
Botulinum Toxin Type A Injections in the Bladder Wall—An Effective Treatment for Urinary Incontinence with Low Long-Term Adherence
by Francisco Cruz, Martin C. Michel and Yasuhiko Igawa
Toxins 2026, 18(4), 170; https://doi.org/10.3390/toxins18040170 - 1 Apr 2026
Viewed by 243
Abstract
Botulinum toxin type A (BoNT/A) injection into the bladder wall is a milestone in the treatment of urinary incontinence in patients with neurogenic detrusor overactivity (NDOi) or overactive bladder syndrome (OABi) who are refractory to or unable to tolerate oral or transdermal therapies. [...] Read more.
Botulinum toxin type A (BoNT/A) injection into the bladder wall is a milestone in the treatment of urinary incontinence in patients with neurogenic detrusor overactivity (NDOi) or overactive bladder syndrome (OABi) who are refractory to or unable to tolerate oral or transdermal therapies. However, the efficacy of BoNT/A is hampered by the low long-term adherence of patients to a treatment that requires repeated bladder injections under cystoscopy control. The discontinuation is particularly evident among incontinent patients with spontaneous voluntary voiding, regardless of whether the cause is NDOi or OABi, although clearly more marked among the latter group. In addition to the bother and pain associated with repeated cystoscopies, these patients show low tolerance to the high incidence of urinary tract infections (UTIs) and transient urinary retention, the two most common adverse events. Fewer injection points may render treatments less painful, apparently without reducing efficacy, but will not avoid the need for repeated cystoscopies, and no studies have demonstrated that such modification increases adherence. Eventually, accessing the bladder wall for BoNT/A administration via a transabdominal approach, under real-time ultrasound guidance, may overcome trans-urethral limitations, but the technique’s reproducibility remains unknown. An intensive investigation is ongoing to identify aids that facilitate the passage of the large, fragile BoNT/A molecule across the urothelium to reach the bladder nerves without injections. Electromotive Drug Administration (EMDA) of BoNT/A demonstrated efficacy and safety over a 6-year follow-up in NDOi patients at a single center, but the results were not reproduced at other institutions. The application of shock waves to the bladder using shock waves generated by Extracorporeal Shock Wave Lithotripsy (ESWL) machines to tear the urothelium and facilitate the passage of BoNT/A instilled in the bladder is ingenious, but the experience is very limited. Dimethyl sulfoxide, liposomes, and thermal-reversal hydrogel to deliver the toxin failed in pilot trials. BoNT/A in nano-formulations has high heat stability, resistance to pH changes, and to enzymatic degradation. Extended efficacy in dermal and intramuscular pilot applications is promising but needs to be replicated in the bladder. Full article
21 pages, 2932 KB  
Article
Recurring Bleeding Events Requiring Red Blood Cell Transfusion After Left Atrial Appendage Closure Are Associated with Increased Mortality
by Manuella Bogdan, Balázs Polgár, Előd János Zsigmond, Jusztina Bencze, Kamilla Luca Dávid, Zalán Gulyás, Nikolett Vigh, Róbert Gábor Kiss, Emese Tóth-Zsámboki and Gábor Zoltán Duray
J. Clin. Med. 2026, 15(7), 2626; https://doi.org/10.3390/jcm15072626 - 30 Mar 2026
Viewed by 296
Abstract
Background: Left atrial appendage closure (LAAC) is an established alternative to oral anticoagulation for stroke prevention in patients with nonvalvular atrial fibrillation who are at high risk of thromboembolic events or bleeding complications. Methods: In this single-center retrospective study, we analyzed 70 consecutive [...] Read more.
Background: Left atrial appendage closure (LAAC) is an established alternative to oral anticoagulation for stroke prevention in patients with nonvalvular atrial fibrillation who are at high risk of thromboembolic events or bleeding complications. Methods: In this single-center retrospective study, we analyzed 70 consecutive patients who underwent successful LAAC with the Watchman™ device between 2012 and 2024. Acute procedural outcomes, long-term thromboembolic and bleeding events, transfusion requirements and mortality were evaluated. Mean follow-up duration was 1210 days. Results: Procedural success was achieved in 98.6% of cases with a low periprocedural complication rate. Ischemic stroke/transient ischemic attack occurred in 2.8% of patients; no hemorrhagic strokes or stroke-related deaths were observed. LAAC resulted in a significant reduction in both the number (144 vs. 56 events; 2.36 vs. 1.55 events per patient, p < 0.05) and severity of bleeding events. Nonetheless, 42.9% of patients required bleeding-related hospitalization after implantation, predominantly within the first 6 months during dual antiplatelet therapy. Overall mortality was 40% with a 12% yearly mortality rate; heart failure and infections were leading causes of death. Pre- and postprocedural transfusion requirements were independently associated with a six-fold increase in mortality risk (HR = 5.97). Conventional risk scores (CHA2DS2-VASc, HAS-BLED) failed to predict transfusion needs; atrial enlargement, right ventricular dysfunction, smoking and alcohol consumption were associated with higher risk. Conclusions: LAAC is a safe and effective alternative to long-term anticoagulation, significantly reducing bleeding burden without increasing thromboembolic mortality. Persistent postprocedural bleeding remains a major determinant of long-term prognosis, underscoring the need for individualized, multidisciplinary post-implant management. Full article
(This article belongs to the Section Cardiology)
Show Figures

Figure 1

27 pages, 14936 KB  
Article
Experimentally Validated Discrete Phase Model for PM2.5 and PM10 with Numerical Transport Mapping
by Ren Paulo Estaquio, Ma Kevina Canlas, Neil Astrologo, Job Immanuel Encarnacion, Joshua Agar, Ken Bryan Fernandez, Julius Rhoan Lustro and Joseph Gerard Reyes
Fluids 2026, 11(4), 90; https://doi.org/10.3390/fluids11040090 - 29 Mar 2026
Viewed by 374
Abstract
Indoor exposure to particulate matter (PM) depends on ventilation-driven transport, yet sensor placement in real rooms is often based on limited point data. This study develops and experimentally validates a transient CFD framework, using RANS airflow coupled with Lagrangian discrete phase tracking, to [...] Read more.
Indoor exposure to particulate matter (PM) depends on ventilation-driven transport, yet sensor placement in real rooms is often based on limited point data. This study develops and experimentally validates a transient CFD framework, using RANS airflow coupled with Lagrangian discrete phase tracking, to map PM2.5 and PM10 in a full-scale 2.0 × 3.0 × 2.5 m bedroom with a fixed, non-oscillating pedestal fan and an open window. Airflow was verified by grid independence and validated against 10-point velocity measurements (RMSE = 0.108 m·s−1). Incense experiments (≈31 min burn) provided PM time series over the first 60 min at 16 locations on two heights; emission rate, burning time, and air-change rate (1.96–5.39 ACH) were calibrated so that accepted models achieved aggregate R2 > 0.90. Spatial mapping on a 0.5 m grid shows that PM behavior is governed primarily by airflow-defined accumulation pockets rather than by source proximity alone. A near-source region consistently captured strong early-time peaks, whereas remote low-exchange pockets remained elevated during the decay phase. For PM2.5, the most persistent hotspot is a ceiling-adjacent recirculation pocket, while for PM10, gravitational settling shifted the dominant hotspots toward floor-layer, low-velocity regions. An exposure score combining normalized peak and time-averaged concentrations, interpreted together with particle-track persistence metrics, distinguished transiently traversed regions from true retention pockets. The results show that sensor placement should follow the monitoring objective: near-source regions are more responsive to peak events, ceiling pockets are more suitable for persistent PM2.5 monitoring, and floor hotspots are more critical for PM10. No single fixed sensor location adequately represents both particle sizes in the present bedroom and ventilation configuration. Full article
(This article belongs to the Special Issue CFD Applications in Environmental Engineering)
Show Figures

Figure 1

16 pages, 4508 KB  
Article
Action Potential Dynamics During Spreading Depolarization
by Daria Vinokurova, Bulat Mingazov, Gulshat Burkhanova-Zakirova, Roustem Khazipov and Azat Nasretdinov
Cells 2026, 15(7), 602; https://doi.org/10.3390/cells15070602 - 28 Mar 2026
Viewed by 314
Abstract
Spreading depolarizations (SDs) are major pathophysiological events in several brain diseases, including migraine, brain ischemia, trauma, and epilepsy. However, the electrophysiological detection of SDs remains challenging. In this study, we examined changes in spikes (action potentials (APs) and action currents (ACs)) in layer [...] Read more.
Spreading depolarizations (SDs) are major pathophysiological events in several brain diseases, including migraine, brain ischemia, trauma, and epilepsy. However, the electrophysiological detection of SDs remains challenging. In this study, we examined changes in spikes (action potentials (APs) and action currents (ACs)) in layer 5 neurons of the somatosensory cortex of anesthetized rats during transient excitation at the onset of high-potassium-induced SDs. During whole-cell recordings, spike amplitude progressively decreased while spike duration increased during gradual neuronal depolarization at SD onset, culminating in depolarization block. A similar decrease in spike amplitude and increase in spike duration were observed during the pre-SD excitation phase in loose cell-attached recordings from single neurons and in cluster analysis of extracellular spikes. Multiple (non-clustered) unit activity also showed decrease in spike amplitude and spike broadening during pre-SD excitation. These findings suggest that dynamic changes in spike amplitude and duration at SD onset could serve as markers for SD detection. Full article
Show Figures

Figure 1

11 pages, 1811 KB  
Article
LetibotulinumtoxinA for Rosacea: A Pilot Study
by Agnieszka Bańka-Wrona, Witold Wrona and Wioletta Barańska-Rybak
Toxins 2026, 18(4), 162; https://doi.org/10.3390/toxins18040162 - 28 Mar 2026
Viewed by 679
Abstract
Rosacea-associated erythema and flushing often remain inadequately controlled by standard therapies. Intradermal botulinum toxin A has emerged as a potential treatment targeting the neurovascular component of rosacea. This pilot study aimed to evaluate the safety and preliminary efficacy of intradermal letibotulinumtoxinA for persistent [...] Read more.
Rosacea-associated erythema and flushing often remain inadequately controlled by standard therapies. Intradermal botulinum toxin A has emerged as a potential treatment targeting the neurovascular component of rosacea. This pilot study aimed to evaluate the safety and preliminary efficacy of intradermal letibotulinumtoxinA for persistent erythema and flushing in rosacea. Eleven patients with refractory erythematotelangiectatic rosacea received a single session of intradermal letibotulinumtoxinA (20 U total dose). Outcomes at 2 weeks included clinician- and patient-rated erythema severity, patient-reported flushing, skin hydration, sebum, elasticity, and Dermatology Life Quality Index (DLQI). Safety assessments included adverse events and pain. Two weeks post-treatment, 73% of patients showed improvement in Clinician’s Erythema Assessment score and 100% reported reduced flushing. Median hydration and elasticity increased, while the level of sebum decreased. Median DLQI improved from 9 to 2. No serious adverse effects occurred; mild, transient cheek heaviness and dryness were noted in three cases. Intradermal letibotulinumtoxinA was well tolerated, with few reported side effects/complications. The treatment demonstrated preliminary efficacy in reducing rosacea erythema and flushing, and improving skin physiology and quality of life; however, these require confirmation in a larger, controlled study. Full article
(This article belongs to the Special Issue Study on Botulinum Toxin in Facial Diseases and Aesthetics)
Show Figures

Figure 1

17 pages, 4341 KB  
Article
Single-Event Burnout Mitigation in Silicon VDMOS Power Devices: An Electro-Thermal TCAD Study
by Eusebio Rodrigo, José Rebollo, Xavier Jordà, José Camps, Llorenç Latorre and Miquel Vellvehi
Electronics 2026, 15(6), 1201; https://doi.org/10.3390/electronics15061201 - 13 Mar 2026
Viewed by 280
Abstract
Single-Event Burnout (SEB) is one of the most critical failure mechanisms in silicon power MOSFETs operating in radiation environments, particularly under heavy-ion irradiation, and often limits device operation through excessive voltage derating. In this work, SEB robustness of a silicon VDMOS power device [...] Read more.
Single-Event Burnout (SEB) is one of the most critical failure mechanisms in silicon power MOSFETs operating in radiation environments, particularly under heavy-ion irradiation, and often limits device operation through excessive voltage derating. In this work, SEB robustness of a silicon VDMOS power device is investigated using detailed electro-thermal transient simulations. The study evaluates two complementary device-level modifications: the introduction of a buffer layer between the epitaxial layer and the substrate, which has been reported in the past, and a new approach considering the incorporation of a novel highly doped boron BOX implant within the P-body region. Heavy-ion impacts are simulated using a physically based model implemented in SENTAURUS TCAD, accounting for ion energy deposition, impact position, and thermal effects. The results show that the buffer layer increases the second breakdown voltage and can suppress high-current operating points, while the BOX implant raises the parasitic BJT activation threshold by reducing the P-body resistance. When combined, both modifications lead to a significant reduction in the peak temperature reached during after-impact transients, without introducing measurable degradation of static electrical characteristics. These results demonstrate that combining buffer layer engineering with localized P-body resistance reduction is an effective strategy to improve SEB robustness in silicon VDMOS power devices without relying on excessive derating. Full article
Show Figures

Figure 1

22 pages, 2624 KB  
Review
From Population Averaging to Single Event Resolution: Evolution of Sensing Platforms for Membrane Fusion
by Yazhuo Feng, Xuanzhu Zhao, Zhangbao Sun, Zhangrong Lou and Sheng Zhang
Sensors 2026, 26(5), 1669; https://doi.org/10.3390/s26051669 - 6 Mar 2026
Viewed by 334
Abstract
Membrane fusion is fundamental to intracellular transport and signal transduction, with its dysregulation implicated in various diseases. Deciphering its transient, microscale dynamics requires advanced sensing technologies. This review systematically evaluates optical and electrochemical sensing platforms for in vitro studies of membrane fusion. Optical [...] Read more.
Membrane fusion is fundamental to intracellular transport and signal transduction, with its dysregulation implicated in various diseases. Deciphering its transient, microscale dynamics requires advanced sensing technologies. This review systematically evaluates optical and electrochemical sensing platforms for in vitro studies of membrane fusion. Optical sensing platforms provide greater intuitive readout of membrane fusion events, whereas electrochemical sensing platforms enable label-free, single-event resolution. We revisit classical fluorescence resonance energy transfer (FRET) strategies for lipid and content mixing, tracing their evolution from ensemble measurements to real-time, multiparameter, single-vesicle analysis. We further examine electrochemical platforms based on nanodisc-black lipid membranes (ND-BLMs) and solid-supported lipid bilayers (SLBs), highlighting their unique capabilities in characterizing fusion pore kinetics and virus–host membrane fusion. ND-BLM-based systems are irreplaceable for probing fusion pore kinetics, owing to their sub-millisecond temporal resolution and being essentially free from ion saturation and depletion effects. Meanwhile, SLB-based electrochemical sensing platforms excel at high-throughput detection of viral membrane fusion events by virtue of their excellent compatibility and facile integration. These sensors provide powerful tools for elucidating the molecular mechanisms underlying SNARE-mediated membrane fusion and viral fusion processes. Finally, this review outlines future directions centered on the integration of multimodal sensing and the construction of physiomimetic membranes, emphasizing the critical role of cross-scale, multiparameter sensing in bridging molecular mechanisms with biological functions and advancing the diagnosis and treatment of membrane fusion-related diseases. Full article
(This article belongs to the Section Optical Sensors)
Show Figures

Figure 1

16 pages, 791 KB  
Article
Phase-Specific Changes in Vital Signs and Electrocardiogram Findings During Hyperbaric Oxygen Therapy in Hemodynamically Stable Patients: A Prospective Observational Study
by Seon Tae Kim, Jeong Mi Lee and Jeong Woo Choi
J. Clin. Med. 2026, 15(5), 1725; https://doi.org/10.3390/jcm15051725 - 25 Feb 2026
Viewed by 358
Abstract
Background/Objectives: Physiological changes during hyperbaric oxygen therapy (HBOT) are not well characterized, particularly in non-emergent patients receiving HBOT as part of a repeated or maintenance treatment course, in whom understanding physiological responses during individual sessions is important for clinical monitoring. This study [...] Read more.
Background/Objectives: Physiological changes during hyperbaric oxygen therapy (HBOT) are not well characterized, particularly in non-emergent patients receiving HBOT as part of a repeated or maintenance treatment course, in whom understanding physiological responses during individual sessions is important for clinical monitoring. This study evaluated changes in vital signs and electrocardiographic (ECG) findings across the pre-compression, compression, maintenance, decompression, and post-treatment phases and evaluated clinical symptoms. Methods: This prospective observational study enrolled 50 hemodynamically stable non-emergent patients undergoing HBOT at a single tertiary center. Changes in vital signs and ECG findings were recorded across all phases. Repeated vital sign measurements were analyzed using linear mixed models; ECG abnormalities were assessed using generalized linear mixed models. Results: Heart rate decreased significantly across all HBOT phases compared with baseline. Blood pressure (BP) remained stable during compression and maintenance but increased significantly during decompression and post-treatment. Respiratory rate decreased during treatment and then returned to baseline. Oxygen saturation remained within normal ranges throughout all phases. Transient ECG rhythm abnormalities were observed in 10.0% of patients, primarily during compression and maintenance phases. One patient developed brief clinical symptoms accompanied by supraventricular tachycardia immediately after decompression, which resolved spontaneously without intervention. No significant oxygen toxicity or serious adverse events were observed. Conclusions: HBOT in hemodynamically stable non-emergent patients induces predictable, largely transient physiological changes and is well tolerated under standard protocols. Blood pressure elevation was most pronounced during decompression and the post-treatment phase, whereas transient ECG abnormalities were observed primarily during the compression and maintenance phases, with a single episode of supraventricular tachycardia occurring immediately after decompression. These findings provide foundational clinical data for understanding phase-specific physiological responses during HBOT and inform future studies in higher-risk patient populations. Full article
(This article belongs to the Section Emergency Medicine)
Show Figures

Figure 1

19 pages, 848 KB  
Article
Hybrid Adaptive Segmentation and Morphology-Based Classification of EOG for Automated Detection of Phasic and Tonic REM Sleep
by Tomáš Nagy, Marek Piorecký, Karolína Janků and Václava Piorecká
Sensors 2026, 26(4), 1389; https://doi.org/10.3390/s26041389 - 23 Feb 2026
Viewed by 452
Abstract
Rapid eye movement (REM) sleep is increasingly understood as a heterogeneous state composed of two neurophysiologically distinct microstates: tonic REM and phasic REM. Phasic REM, defined by brief clusters of saccadic eye movements and transient cortical activation, has been linked to emotional memory [...] Read more.
Rapid eye movement (REM) sleep is increasingly understood as a heterogeneous state composed of two neurophysiologically distinct microstates: tonic REM and phasic REM. Phasic REM, defined by brief clusters of saccadic eye movements and transient cortical activation, has been linked to emotional memory consolidation, sensorimotor integration, and autonomic modulation. Despite its importance, automated quantification of phasic versus tonic REM remains uncommon, mainly because existing electrooculography (EOG) methods rely on fixed thresholds or generic wavelet families that do not accurately capture real saccade morphology in clinical polysomnography (PSG). This study introduces a fully automated framework for detecting phasic REM based on hybrid adaptive segmentation of a single EOG channel. The segmentation algorithm fuses median absolute deviation (MAD) amplitude-change detection with a morphology score derived from a custom saccade kernel built from manually verified EyeCon recordings. Segment boundaries are refined using local derivative extrema to improve temporal alignment. A supervised support vector machine (SVM) classifier further refines segment labels using features based on saccade morphology, including correlations with custom log-sigmoid templates and a morphology similarity measure. All segmentation and classification hyperparameters were optimized exclusively on controlled EyeCon datasets with precise ground-truth event markers. The final model was then applied without modification to 21 full-night clinical PSG recordings. Event-level analysis on EyeCon yielded 92.9% correct detections, with 5.3% fragmentation and 1.8% missed events. When aggregated into saccadic bursts, the resulting REM microstructure was physiologically consistent: phasic REM accounted for 31.8 ± 3.5% of REM duration, and tonic REM for 68.2 ± 3.5%. Additional EEG analysis confirmed increased beta and gamma power during phasic REM, supporting physiological validity. The proposed framework provides an interpretable, morphology-aware, and computationally efficient tool for large-scale REM microstructure research. Its single-channel design and external validation on clinical PSG recordings make it suitable for both retrospective analyses and future clinical applications. Full article
(This article belongs to the Special Issue Sleep, Neuroscience, EEG and Sensors)
Show Figures

Figure 1

Back to TopTop