A Universal Deep Learning Model for Predicting Detection Performance and Single-Event Effects of SPAD Devices
Abstract
1. Introduction
2. Experimental
2.1. Device Structure
2.2. Dataset
3. Results and Discussion
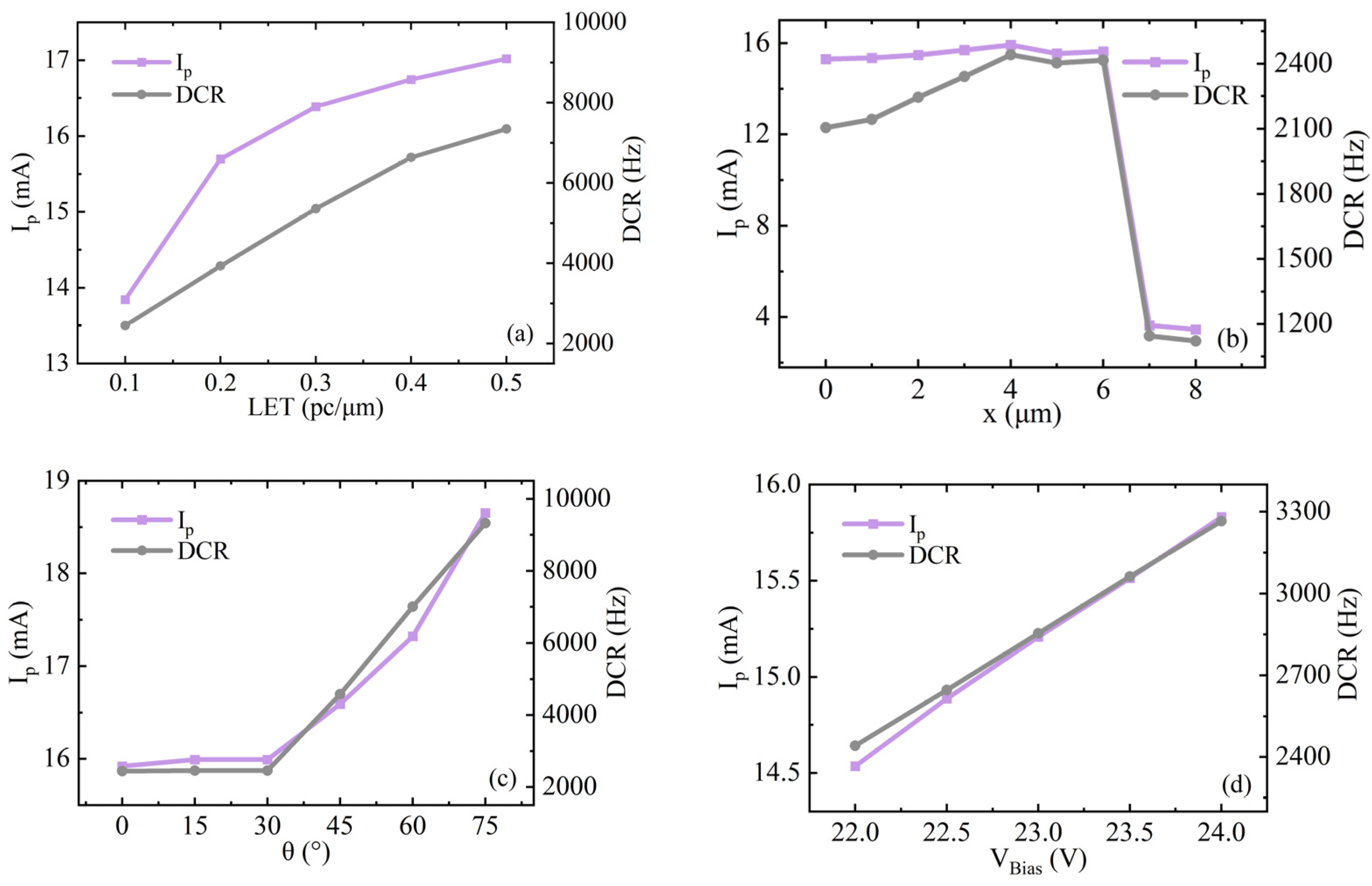
3.1. Prediction of Transient Current Peak and DCR
3.2. Prediction of Detection Performance for Double-Junction Double-Buried-Layer SPAD
4. Conclusions
Author Contributions
Funding
Institutional Review Board Statement
Informed Consent Statement
Data Availability Statement
Conflicts of Interest
References
- Ryder, L.D.; Carstens, T.A.; Phan, A.M.; Seidlick, C.M.; Campola, M.J. Single Event Effects Testing of a Vertical Optocoupler with Unmodified Packaging. In Proceedings of the 2021 IEEE Radiation Effects Data Workshop (REDW), Ottawa, ON, Canada, 17–23 July 2021; pp. 1–4. [Google Scholar] [CrossRef]
- Melinger, J.; Buchner, S.; McMorrow, D.; Stapor, W.; Weatherford, T.; Campbell, A.; Eisen, H. Critical evaluation of the pulsed laser method for single event effects testing and fundamental studies. IEEE Trans. Nucl. Sci. 1994, 41, 2574–2584. [Google Scholar] [CrossRef]
- Atkinson, N.M.; Ahlbin, J.R.; Witulski, A.F.; Gaspard, N.J.; Holman, W.T.; Bhuva, B.L.; Zhang, E.X.; Chen, L.; Massengill, L.W. Effect of Transistor Density and Charge Sharing on Single-Event Transients in 90-nm Bulk CMOS. IEEE Trans. Nucl. Sci. 2011, 58, 2578–2584. [Google Scholar] [CrossRef]
- Kumar, M.V.; Kumar, S.; Cheng, C.; Asokan, K.; Kumar, A.; Shobha, V.; Karanth, S.P.; Krishnaveni, S. Influence of High Dose Gamma Irradiation on Electrical Characteristics of Si Photo Detectors. ECS J. Solid State Sci. Technol. 2017, 6, Q132. [Google Scholar] [CrossRef]
- Ni, T.; Guo, B.; Yang, C. Design of Ultrasonic Testing System for Defects of Composite Material Bonding Structure Based on Deep Learning Technology. In Proceedings of the International Conference on Virtual Reality and Intelligent Systems (ICVRIS), Zhangjiajie, China, 18–19 July 2020; pp. 263–266. [Google Scholar] [CrossRef]
- Tang, L.; Li, X.; Lin, H.-N.; Liu, L. Model-independently Calibrating the Luminosity Correlations of Gamma-Ray Bursts Using Deep Learning. Astrophys. J. 2021, 907, 121. [Google Scholar] [CrossRef]
- Chen, Q.; Shao, T.; Xing, Y.; Zhou, Z. Machine Learning-Based Damage Predicion Method for the Micro/Nano Structures Fabricated by Helium Focused Ion Beam. In Proceedings of the 21st International Conference on Solid-State Sensors, Actuators and Microsystems (Transducers), Orlando, FL, USA, 20–24 June 2021; pp. 1052–1055. [Google Scholar] [CrossRef]
- Tang, Y.; Kojima, K.; Koike-Akino, T.; Wang, Y.; Parsons, K. Nano-Optic Broadband Power Splitter Design via Cycle-Consistent Adversarial Deep Learning. In Proceedings of the Conference on Lasers and Electro-Optics (CLEO), San Jose, CA, USA, 9–14 May 2021; pp. 1–2. [Google Scholar]
- Li, C.; Yang, Y.; Liang, H.; Wu, B. Learning Quantum Drift-Diffusion Phenomenon by Physics-Constraint Machine Learning. IEEE/ACM Trans. Netw. 2022, 30, 2090–2101. [Google Scholar] [CrossRef]
- Huang, G.; Hu, J.; He, Y.; Liu, J.; Ma, M.; Shen, Z.; Wu, J.; Xu, Y.; Zhang, H.; Zhong, K.; et al. Machine learning for electronic design automation: A survey. ACM Trans. Des. Autom. Electron. Syst. (TODAES) 2021, 26, 40. [Google Scholar] [CrossRef]
- Bankapalli, Y.S.; Wong, H.Y. TCAD Augmented Machine Learning for Semiconductor Device Failure Troubleshooting and Reverse Engineering. In Proceedings of the International Conference on Simulation of Semiconductor Processes and Devices, SISPAD, Udine, Italy, 4–6 September 2019. [Google Scholar]
- Woo, S.; Jeon, J.; Kim, S. Prediction of Device Characteristics of Feedback Field-Effect Transistors Using TCAD-Augmented Machine Learning. Micromachines 2023, 14, 504. [Google Scholar] [CrossRef]
- Mamun, K.M.; Pala, N.; Shawkat, M.S.A. A Comprehensive Review of Machine Learning Approaches for Semiconductor Device Modeling and Simulation. IEEE Access 2025, 13, 162969–162991. [Google Scholar] [CrossRef]
- Wang, Z.; Li, L.; Leon, R.C.C.; Yang, J.; Shi, J.; van der Laan, T.; Usman, M. Improving Semiconductor Device Modeling for Electronic Design Automation by Machine Learning Techniques. IEEE Trans. Electron Devices 2024, 71, 263–271. [Google Scholar] [CrossRef]
- Kim, B.; Shin, M. A novel neural-network device modeling based on physics-informed machine learning. IEEE Trans. Electron Devices 2023, 70, 6021–6025. [Google Scholar] [CrossRef]
- Chen, J.; Alawieh, M.B.; Lin, Y.; Zhang, M.; Zhang, J.; Guo, Y.; Pan, D.Z. Powernet: SOI Lateral Power Device Breakdown Prediction With Deep Neural Networks. IEEE Access 2020, 8, 25372–25382. [Google Scholar] [CrossRef]
- Akbar, C.; Li, Y.; Sung, W.-L. Deep Learning Approach to Inverse Grain Pattern of Nanosized Metal Gate for Multichannel Gate-All-Around Silicon Nanosheet MOSFETs. IEEE Trans. Semicond. Manuf. 2021, 34, 513–520. [Google Scholar] [CrossRef]
- Hirtz, T.; Huurman, S.; Tian, H.; Yang, Y.; Ren, T.-L. Framework for TCAD augmented machine learning on multi-I-V characteristics using convolutional neural network and multiprocessing. J. Semicond. (Engl. Version) 2021, 42, 124101. [Google Scholar]
- Padilla, W.J.; Nadell, C.C.; Huang, B.; Malof, J. Accelerated Terahertz Metasurface Design with Deep Learning. In Proceedings of the IEEE International Conference on Plasma Science (ICOPS), Singapore, 6–10 December 2020. [Google Scholar] [CrossRef]
- Wang, L.; Xia, Y. Artificial intelligence brain. In Proceedings of the 2021 International Conference on Computer Engineering and Artificial Intelligence (ICCEAI), Shanghai, China, 27–29 August 2021; IEEE: New York, NY, USA, 2021; pp. 266–270. [Google Scholar]
- Tang, H.; Liu, H.; Xiao, W.; Sebe, N. When Dictionary Learning Meets Deep Learning: Deep Dictionary Learning and Coding Network for Image Recognition With Limited Data. IEEE Trans. Neural Netw. Learn. Syst. 2021, 32, 2129–2141. [Google Scholar] [CrossRef]
- Togacar, M.; Ergen, B.; Ozyurt, F. Deep learning activities on remote sensed hyperspectral images. In Proceedings of the International Conference on Artificial Intelligence and Data Processing (IDAP), Malatya, Turkey, 28–30 September 2018; pp. 1–4. [Google Scholar] [CrossRef]
- Roy, S.; Menapace, W.; Oei, S.; Luijten, B.; Fini, E.; Saltori, C.; Huijben, I.; Chennakeshava, N.; Mento, F.; Sentelli, A.; et al. Deep Learning for Classification and Localization of COVID-19 Markers in Point-of-Care Lung Ultrasound. IEEE Trans. Med. Imaging 2020, 39, 2676–2687. [Google Scholar] [CrossRef] [PubMed]
- Lai, C.; Gao, Q.; Zheng, Z.; Yuan, D.; Zhou, B.; Hong, R. Research on Head-up and Down Behavior Computer Detection by Deep Learning and Artificial Intelligence. In Proceedings of the IEEE 3rd International Conference on Civil Aviation Safety and Information Technology (ICCASIT), Changsha, China, 20–22 October 2021; pp. 597–600. [Google Scholar] [CrossRef]
- Guha, R. Improving the Performance of an Artificial Intelligence Recommendation Engine with Deep Learning Neural Nets. In Proceedings of the 6th International Conference for Convergence in Technology (I2CT), Maharashtra, India, 2–4 April 2021; pp. 1–7. [Google Scholar] [CrossRef]
- Huang, J.; Zhao, R.; Wang, S.; Yan, X.; Zhou, H.; Li, L.; Chen, S.; Liu, H. Prediction of Single Event Effect in Inverter Circuit Based on Deep Learning. IEEE J. Electron Devices Soc. 2025, 13, 431–438. [Google Scholar] [CrossRef]
- Vibhu, V.; Mittal, S.; Kumar, V. Machine learning-based model for single event upset current prediction in 14 nm FinFETs. In Proceedings of the 2023 36th International Conference on VLSI Design and 2023 22nd International Conference on Embedded Systems (VLSID), Hyderabad, India, 8–12 January 2023; IEEE: New York, NY, USA, 2023; pp. 1–6. [Google Scholar]
- Liu, H.; Wang, S.; Zhao, R.; Ma, H.; Ma, L.; Liu, S.; Chen, S.; Liu, H. Prediction of single event effects in FinFET devices based on deep learning. IEEE J. Electron Devices Soc. 2023, 11, 539–545. [Google Scholar] [CrossRef]
- Radu, M.D.; Costea, I.M.; Stan, V.A. Automatic traffic sign recognition artificial inteligence-deep learning algorithm. In Proceedings of the 2020 12th International Conference on Electronics, Computers and Artificial Intelligence (ECAI), Bucharest, Romania, 25–27 June 2020; IEEE: New York, NY, USA, 2020; pp. 1–4. [Google Scholar]
- Kollias, D.; Zafeiriou, S.P. Exploiting Multi-CNN Features in CNN-RNN Based Dimensional Emotion Recognition on the OMG in-the-Wild Dataset. IEEE Trans. Affect. Comput. 2021, 12, 595–606. [Google Scholar] [CrossRef]
- Li, Z.; Li, H.; Meng, L. Model Compression for Deep Neural Networks: A Survey. Computers 2023, 12, 60. [Google Scholar] [CrossRef]
- Gabor, M.; Zdunek, R. Reduced storage direct tensor ring decomposition for convolutional neural networks compression. Neural Netw. 2025, 193, 107994. [Google Scholar] [CrossRef]
- Xie, K.; Liu, C.; Wang, X.; Li, X.; Xie, G.; Wen, J.; Li, K. Neural network compression based on tensor ring decomposition. IEEE Trans. Neural Netw. Learn. Syst. 2024, 36, 5388–5402. [Google Scholar] [CrossRef] [PubMed]








| Parameters | Values |
|---|---|
| P-buried layer depth (Tp) | 1.6 μm |
| N-buried layer radius (Rbn) | 4 μm |
| P-buried layer doping concentration (Nbp) | 3.1 × 1017 cm−3 |
| N-buried layer doping concentration (Nbn) | 4.8 × 1017 cm−3 |
| P substrate doping concentration | 1 × 1019 cm−3 |
| P-epitaxial layer doping concentration | 5 × 1014 cm−3 |
| P-well doping concentration | 1 × 1017 cm−3 |
| N-well doping concentration | 1 × 1017 cm−3 |
| N-isolation layer doping concentration | 5 × 1016 cm−3 |
| Input Parameters | Range/Step |
|---|---|
| Linear transmission energy (LET) | [0.05, 0.5]/0.05 (pc/μm) |
| The incident position of the particle (x) | [0, 8]/1 (μm) |
| The incident angle of the particle (θ) | [0, 75]/15 (°) |
| The excess bias voltage (Vex) | [3, 5]/0.5 (V) |
| Input Parameters | Values |
|---|---|
| The input vector incorporated P-buried layer depth (Tp) | 1.1, 1.2, 1.3, 1.4, 1.5, 1.6, 1.7, 1.8 (μm) |
| P-buried layer doping concentration (Nbp) | 2.0, 2.5, 3.0, 3.5, 4.0 (×1017 cm−3) |
| Deep P-well doping (Ndp) | 6, 8, 10, 13, 15 (×1016 cm−3) |
| The N-buried layer radius (Rbn) | 2, 3, 4, 5, 6 (μm) |
| N-buried layer doping concentration (Nbn) | 2.5, 5.0, 7.5, 10.0, 12.5 (×1017 cm−3) |
Disclaimer/Publisher’s Note: The statements, opinions and data contained in all publications are solely those of the individual author(s) and contributor(s) and not of MDPI and/or the editor(s). MDPI and/or the editor(s) disclaim responsibility for any injury to people or property resulting from any ideas, methods, instructions or products referred to in the content. |
© 2026 by the authors. Licensee MDPI, Basel, Switzerland. This article is an open access article distributed under the terms and conditions of the Creative Commons Attribution (CC BY) license.
Share and Cite
Chen, Y.; Huang, J.; Zeng, Y.; Jiang, Y.; Wang, S.; Chen, S.; Liu, H. A Universal Deep Learning Model for Predicting Detection Performance and Single-Event Effects of SPAD Devices. Micromachines 2026, 17, 452. https://doi.org/10.3390/mi17040452
Chen Y, Huang J, Zeng Y, Jiang Y, Wang S, Chen S, Liu H. A Universal Deep Learning Model for Predicting Detection Performance and Single-Event Effects of SPAD Devices. Micromachines. 2026; 17(4):452. https://doi.org/10.3390/mi17040452
Chicago/Turabian StyleChen, Yilei, Jin Huang, Yuxiang Zeng, Yi Jiang, Shulong Wang, Shupeng Chen, and Hongxia Liu. 2026. "A Universal Deep Learning Model for Predicting Detection Performance and Single-Event Effects of SPAD Devices" Micromachines 17, no. 4: 452. https://doi.org/10.3390/mi17040452
APA StyleChen, Y., Huang, J., Zeng, Y., Jiang, Y., Wang, S., Chen, S., & Liu, H. (2026). A Universal Deep Learning Model for Predicting Detection Performance and Single-Event Effects of SPAD Devices. Micromachines, 17(4), 452. https://doi.org/10.3390/mi17040452

