Sign in to use this feature.

Years

Between: -

Subjects

remove_circle_outline
remove_circle_outline
remove_circle_outline
remove_circle_outline
remove_circle_outline
remove_circle_outline
remove_circle_outline
remove_circle_outline
remove_circle_outline

Journals

remove_circle_outline
remove_circle_outline
remove_circle_outline
remove_circle_outline
remove_circle_outline
remove_circle_outline
remove_circle_outline
remove_circle_outline

Article Types

Countries / Regions

remove_circle_outline
remove_circle_outline
remove_circle_outline
remove_circle_outline

Search Results (724)

Search Parameters:
Keywords = Second Harmonic Generation

Order results
Result details
Results per page
Select all
Export citation of selected articles as:
14 pages, 383 KB  
Article
From Mathematics to Art: A Petri Net Representation of the Fibonacci Sequence and Its Fractal Geometry
by David Mailland and Iwona Grobelna
Fractal Fract. 2026, 10(1), 53; https://doi.org/10.3390/fractalfract10010053 - 13 Jan 2026
Viewed by 162
Abstract
Mathematics, as Bertrand Russell noted, possesses both truth and beauty. In this work, we revisit the classical Fibonacci recurrence thanks to a minimal Petri net. Starting from a minimal layered construction that mirrors the second-order additive rule [...] Read more.
Mathematics, as Bertrand Russell noted, possesses both truth and beauty. In this work, we revisit the classical Fibonacci recurrence thanks to a minimal Petri net. Starting from a minimal layered construction that mirrors the second-order additive rule Fn=Fn1+Fn2, we show that the marking dynamics of the associated net generate a combinatorial triangle whose parity structure reveals a self-similar, Sierpiński-like pattern. To the best of our knowledge, this oblique fractal geometry has never been formally documented. We provide a formal definition of the underlying Petri net, analyse its computational properties, and explore the emergence of higher-order harmonics when token markings are considered modulo primes. The study highlights how a classical recurrence gives rise to previously unnoticed geometric regularities at the intersection of mathematics and art. Beyond its mathematical interest, the construction illustrates how minimal Petri net dynamics can be used as formal specification patterns for distributed, event-driven systems. Full article
Show Figures

Figure 1

17 pages, 3179 KB  
Article
Collaborative Suppression Strategy for AC Asymmetric Faults in Offshore Wind Power MMC-HVDC Systems
by Xiang Lu, Chenglin Ren, Shi Jiao, Jie Shi, Weicheng Li and Hailin Li
Energies 2026, 19(2), 365; https://doi.org/10.3390/en19020365 - 12 Jan 2026
Viewed by 162
Abstract
When offshore wind power is connected to a grid via Modular multilevel converter-based High Voltage Direct Current (MMC-HVDC), the sending-end alternating current (AC) system is susceptible to asymmetrical faults. These faults lead to overcurrent surges, voltage drops, and second harmonic circulating currents, which [...] Read more.
When offshore wind power is connected to a grid via Modular multilevel converter-based High Voltage Direct Current (MMC-HVDC), the sending-end alternating current (AC) system is susceptible to asymmetrical faults. These faults lead to overcurrent surges, voltage drops, and second harmonic circulating currents, which seriously threaten the safe operation of the system. To quickly suppress fault current surges, achieve precise control of system variables, and improve fault ride-through capability, this study proposes a collaborative control strategy. This strategy integrates generalized virtual impedance current limiting, positive- and negative-sequence collaborative feedforward control, and model-predictive control-based suppression of arm energy and circulating currents. The positive- and negative-sequence components of the voltage and current are quickly separated by extending and decoupling the decoupled double synchronous reference frame phase-locked loop (DDSRF-PLL). A generalized virtual impedance with low positive-sequence impedance and high negative-sequence impedance was designed to achieve rapid current limiting. Simultaneously, negative-sequence current feedforward compensation and positive-sequence voltage adaptive support are introduced to suppress dynamic fluctuations. Finally, an arm energy and circulating current prediction model based on model predictive control (MPC) is established, and the second harmonic circulating currents are precisely suppressed through rolling optimization. Simulation results based on PSCAD/EMTDC show that the proposed control strategy can effectively suppress the negative-sequence current, significantly improve voltage stability, and greatly reduce the peak fault current. It significantly enhances the fault ride-through capability and operational reliability of offshore wind power MMC-HVDC-connected systems and holds significant potential for engineering applications. Full article
Show Figures

Figure 1

13 pages, 5306 KB  
Article
Use of Artificial Intelligence-Assisted Histopathology for Evaluation of Sex-Specific Progression and Regression of Hepatocellular Carcinoma Related to Metabolic Dysfunction-Associated Fatty Liver Disease
by Ke Yin, Yuyun Song, Ran Fei, Xu Cong, Baiyi Liu, Zilong Wang, Xin Ai, Minjun Liao, Yayun Ren, Kutbuddin Akbary, Wei Wang, Qiang Yang, Xiao Teng, Nan Wu, Huiying Rao, Xiaoxiao Wang and Feng Liu
Diagnostics 2026, 16(2), 234; https://doi.org/10.3390/diagnostics16020234 - 11 Jan 2026
Viewed by 171
Abstract
Background/Objectives: Sex-specific differences in metabolic dysfunction-associated fatty liver disease (MAFLD)-related hepatocellular carcinoma (HCC) remain poorly understood. This study aimed to clarify sex-associated disparities in disease progression and recovery using a diethylnitrosamine (DEN) plus Western diet/fructose-induced murine model combined with artificial intelligence (AI)-assisted histological [...] Read more.
Background/Objectives: Sex-specific differences in metabolic dysfunction-associated fatty liver disease (MAFLD)-related hepatocellular carcinoma (HCC) remain poorly understood. This study aimed to clarify sex-associated disparities in disease progression and recovery using a diethylnitrosamine (DEN) plus Western diet/fructose-induced murine model combined with artificial intelligence (AI)-assisted histological analysis. Methods: Male and female C57BL/6J mice received a single diethylnitrosamine injection and were fed a Western diet/fructose regimen for 38 weeks, followed by an 8-week recovery period on standard chow. Serum biochemical parameters were measured, and liver histology was assessed using second harmonic generation/two-photon excitation fluorescence (SHG/TPEF) microscopy. Steatosis and fibrosis were quantified within tumor and adjacent non-tumor regions using AI-based image analysis. Results: Male mice developed more severe disease phenotypes, including greater tumor burden and higher serum alanine aminotransferase levels, compared with females. Following dietary recovery, female mice showed substantial reductions in tumor number and hepatic steatosis, particularly in non-tumor regions; in contrast, male mice demonstrated only minimal improvement. AI-assisted quantification confirmed considerable regression of both steatosis and fibrosis in females and moderate fibrosis improvement in both sexes. Conclusions: These findings indicate sexual dimorphism in the progression and regression of MAFLD-related HCC, with females exhibiting enhanced metabolic and histological recovery. The results underscore the importance of considering sex as a biological variable in preclinical metabolic dysfunction–associated fatty liver disease-related hepatocellular carcinoma research and highlight the value of AI-enhanced imaging for precise, objective evaluation of liver histology. Full article
(This article belongs to the Section Machine Learning and Artificial Intelligence in Diagnostics)
Show Figures

Figure 1

26 pages, 8324 KB  
Article
Two-Stage Harmonic Optimization-Gram Based on Spectral Amplitude Modulation for Rolling Bearing Fault Diagnosis
by Qihui Feng, Qinge Dai, Jun Wang, Yongqi Chen, Jiqiang Hu, Linqiang Wu and Rui Qin
Machines 2026, 14(1), 83; https://doi.org/10.3390/machines14010083 - 9 Jan 2026
Viewed by 200
Abstract
To address the challenge of effectively extracting early-stage failure features in rolling bearings, this paper proposes a two-stage harmonic optimization-gram method based on spectral amplitude modulation (SAM-TSHOgram). The method first employs amplitude spectra with varying weighting exponents to preprocess the signal, performing nonlinear [...] Read more.
To address the challenge of effectively extracting early-stage failure features in rolling bearings, this paper proposes a two-stage harmonic optimization-gram method based on spectral amplitude modulation (SAM-TSHOgram). The method first employs amplitude spectra with varying weighting exponents to preprocess the signal, performing nonlinear adjustments to the vibration signal’s spectrum to enhance weak periodic impact characteristics. Subsequently, a two-stage evaluation strategy based on spectral coherence (SCoh) was designed to adaptively identify the optimal frequency band (OFB). The first stage employs the Periodic Harmonic Correlation Strength (PHCS) metric, based on autocorrelation, to coarsely screen candidate bands with strong periodic structures. The second stage utilizes the Sparse Harmonic Significance (SHS) metric, based on spectral negative entropy, to refine the candidate set, selecting bands with the most prominent harmonic features. Finally, SCoh is integrated over the selected OFB to generate an Improved Envelope Spectrum (IES). The proposed method was validated using both simulated and experimental vibration signals from bearings and gearboxes. The results demonstrate that SAM-TSHOgram significantly outperforms conventional approaches such as EES, Fast Kurtogram, and IESFOgram in terms of signal-to-noise ratio (SNR) enhancement, harmonic clarity, and diagnostic robustness. These findings confirm its potential for reliable early fault detection in rolling bearings. Full article
(This article belongs to the Section Machines Testing and Maintenance)
Show Figures

Figure 1

13 pages, 4256 KB  
Article
Aqua Regia-Free Removal of Cr-Pt Hard Masks Using Thin Ag or Au Sacrificial Layers for High-Fidelity LiTaO3 Metasurfaces
by Zhuoqun Wang, Yufeng Zang, Yuechen Jia and Ning Lu
Nanomaterials 2026, 16(1), 59; https://doi.org/10.3390/nano16010059 - 31 Dec 2025
Viewed by 295
Abstract
For the method of focused ion beam (FIB) milling to fabricate lithium tantalate (LiTaO3) metasurfaces, the use of a Cr-Pt mask can enhance imaging contrast and enable superior drift correction. However, removing the Pt component necessitates the volatile and toxic etchant [...] Read more.
For the method of focused ion beam (FIB) milling to fabricate lithium tantalate (LiTaO3) metasurfaces, the use of a Cr-Pt mask can enhance imaging contrast and enable superior drift correction. However, removing the Pt component necessitates the volatile and toxic etchant aqua regia, presenting considerable safety risks. This work introduces a novel lift-off strategy that incorporates thin Ag or Au sacrificial layers (≤30 nm) between the LiTaO3 substrate and Cr-Pt mask. Systematic evaluation identifies Ag or Au as optimal candidates due to their high sputtering yield for efficient FIB patterning and compatibility with a low-toxicity KI + I2 etchant. Experiments showed complete mask removal within 60 s while preserving structural fidelity: atomic force microscopy (AFM) results reveal a surface roughness comparable to conventional aqua regia processing, and scanning microscope (SEM) imaging confirms intact sidewall angles (10–11°). The second-harmonic generation (SHG) measurements reveal comparable optical performance upon the introduction of Ag or Au sacrificial layers. This approach eliminates hazardous etchant and maintains process precision, offering a scalable and safer fabrication route for LiTaO3-based photonic devices. Full article
(This article belongs to the Section Nanofabrication and Nanomanufacturing)
Show Figures

Graphical abstract

18 pages, 5486 KB  
Article
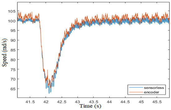
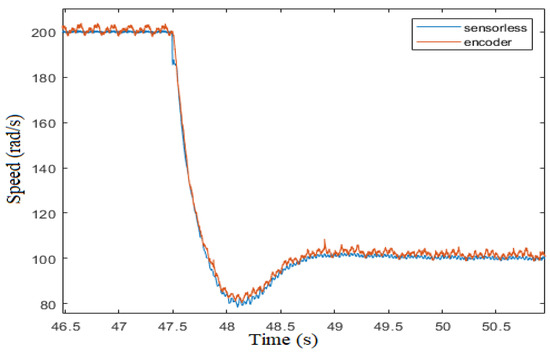
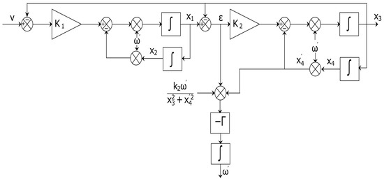
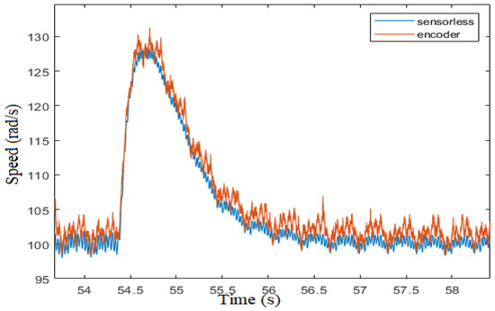
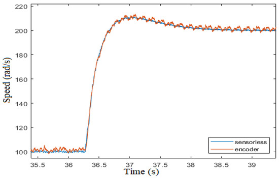
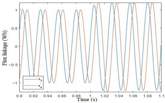
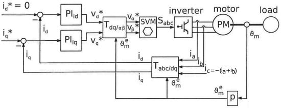
Sensorless Control of SPM Motor for e-Bike Applications Using Second-Order Integrator Flux Observer
by Abdin Abdin and Nicola Bianchi
Designs 2026, 10(1), 2; https://doi.org/10.3390/designs10010002 - 22 Dec 2025
Viewed by 255
Abstract
The aim of this research is to present both a sensorless control and a torque derating algorithm in the overload region of a permanent magnet motor for e-bikes. First, the theoretical backgrounds and the field-oriented control are presented. Then, a sensorless control is [...] Read more.
The aim of this research is to present both a sensorless control and a torque derating algorithm in the overload region of a permanent magnet motor for e-bikes. First, the theoretical backgrounds and the field-oriented control are presented. Then, a sensorless control is designed based on the back-emf estimation with a second-order generalized integral flux observer for the permanent magnet motor. The second-order generalized integral flux observer is an adaptive filter which can eliminate the DC offset and strongly attenuate the harmonics of the estimated rotor flux. The algorithms have been simulated and then validated by means of tests on a permanent magnet motor for e-bikes. Full article
Show Figures

Figure 1

23 pages, 1499 KB  
Article
Energy Input–Output Meta-Analysis Reveals Algal Diesel Struggles to Break Even
by Michelle M. Arnold, David J. R. Murphy and Christopher L. Lant
Energies 2025, 18(24), 6572; https://doi.org/10.3390/en18246572 - 16 Dec 2025
Viewed by 281
Abstract
Algal biofuels have been investigated as an alternative to fossil fuels and first-generation biofuels for transportation in the United States since the 1970s. Yet after five decades of development, scalability and implementation remain limited—largely due to persistent barriers such as low biomass productivity, [...] Read more.
Algal biofuels have been investigated as an alternative to fossil fuels and first-generation biofuels for transportation in the United States since the 1970s. Yet after five decades of development, scalability and implementation remain limited—largely due to persistent barriers such as low biomass productivity, modest lipid yields, and energy-intensive processing methods. These technical challenges significantly constrain the feasibility of large-scale commercialization despite substantial research and investment. To evaluate progress toward commercial viability, this study harmonized energy inputs and outputs across 508 observations on the production of algal biofuel energy return on energy investment (EROEI) in the United States. While bioethanol achieves an EROEI of (2.8) and oil (8.7), the analysis produced a mean EROEI of 1.01—essentially the break-even point—irrespective of system boundaries. Life-cycle analysis results showed that hydrothermal liquefaction in algal diesel production yielded a slightly higher mean EROEI (0.67) than transesterification (0.51), yet both showed net energy losses. Co-products were found to increase EROEI values, particularly when recycled into production processes. Collectively, these findings indicate that research and development to date has not produced a technology with net energy gains sufficient for commercial viability. For this reason, algal biofuels show little potential to alleviate the ongoing decline in the EROEI of petroleum and are not a promising renewable energy option for reducing greenhouse gas emissions from the transportation sector. They also show little promise for alleviating the land use, food vs. fuel and other controversies that have plagued first and second-generation biofuels. Full article
Show Figures

Figure 1

22 pages, 4216 KB  
Article
Development of an Adapted Water Quality Index for the Danube River Using Objective Weighting Methods
by Atila Bezdan and Jovana Bezdan
Hydrology 2025, 12(12), 329; https://doi.org/10.3390/hydrology12120329 - 11 Dec 2025
Viewed by 546
Abstract
The Danube River is one of Europe’s largest transboundary rivers, characterized by substantial spatial heterogeneity in environmental conditions, monitoring practices, and water management frameworks. Developing a harmonized approach for basin-wide surface-water quality assessment is therefore essential. This study presents the development and application [...] Read more.
The Danube River is one of Europe’s largest transboundary rivers, characterized by substantial spatial heterogeneity in environmental conditions, monitoring practices, and water management frameworks. Developing a harmonized approach for basin-wide surface-water quality assessment is therefore essential. This study presents the development and application of an adapted Water Quality Index (Danube WQI) for assessing and monitoring water quality along the Danube River, one of Europe’s largest and most complex transboundary systems. The Danube WQI is based on established WQI methodologies and integrates two objective weighting approaches—the Entropy Weight Method (EWM) and the CRITIC (Criteria Importance Through Inter-Criteria Correlation) method—to minimize subjectivity and improve the robustness of parameter weighting. Long-term water quality data from the TransNational Monitoring Network (TNMN) of the International Commission for the Protection of the Danube River (ICPDR) were used, covering 42 stations across nine countries (1996–2022). Nine parameters were selected: dissolved oxygen (DO), biochemical oxygen demand (BOD5), total nitrogen (TN), nitrate (NO3), ammonium (NH4), total phosphorus (TP), orthophosphate (PO4), electrical conductivity (EC), and pH. During the formation of sub-indices and rating curves, national water quality standards from the Danube countries were harmonized to ensure consistent parameter classification. Results indicate that the Danube River generally exhibits very good water quality, with most sections belonging to the first and second quality classes. Comparison with the Canadian Water Quality Index (CWQI) confirmed similar results but demonstrated higher seasonal sensitivity of the Danube WQI. Additionally, rankings obtained using the PROMETHEE II multicriteria method showed strong agreement with the Danube WQI classifications, further confirming the robustness of the proposed index. The proposed index provides a harmonized and transferable framework that can support integrated water management and policy evaluation across the Danube River Basin and within the EU Water Framework Directive context. Full article
Show Figures

Figure 1

31 pages, 8797 KB  
Article
Influence of the Nd3+ Dopant Content in Bi3TeBO9 Powders on Their Optical Nonlinearity
by Maciej Chrunik, Alexej Bubnov, Roman Minikayev, Anastasiia Lysak, Damian Włodarczyk, Marek Nowicki, Adrian Chlanda, Marta Michalska-Domańska, Barbara Szczęśniak and Mateusz Gratzke
Materials 2025, 18(24), 5545; https://doi.org/10.3390/ma18245545 - 10 Dec 2025
Viewed by 323
Abstract
Second harmonic generation measurements for neodymium-doped bismuth–tellurium borate (Bi3TeBO9:Nd3+) powders are shown for the first time. Using undoped and low-content Nd3+-doped samples associated with the strongest nonlinear optical response, studies of temperature-dependent second-harmonic generation near [...] Read more.
Second harmonic generation measurements for neodymium-doped bismuth–tellurium borate (Bi3TeBO9:Nd3+) powders are shown for the first time. Using undoped and low-content Nd3+-doped samples associated with the strongest nonlinear optical response, studies of temperature-dependent second-harmonic generation near the absorption edge were conducted. Spectroscopic measurements of the investigated powders revealed characteristic Nd3+ absorption bands and helped to estimate the corresponding energy band gaps for the chosen samples. The influence of low Nd3+-content on the absorption edge shift, as well as on the enhancement of second-harmonic generation and its temperature attenuation, is discussed. Temperature-dependent X-ray diffraction measurements enabled researchers to calculate the thermal expansion coefficients for undoped and Nd3+-doped Bi3TeBO9 and to assess the impact of this phenomenon on its acentricity. Thermogravimetric studies demonstrated the absence of phase transitions for the chosen samples up to their incongruent melting points. Energy Dispersive X-ray Spectroscopy measurements verified the uniformity of Nd3+ distribution in doped Bi3TeBO9 powders. The suitability of polycrystalline Bi3TeBO9:Nd3+ as media for the self-frequency doubling devices for potential optoelectronic and biomedical applications was assessed. The finest fractions of deagglomerated and suspended powders were extracted and demonstrated near-nanostructural morphology of separated particles, as revealed by means of atomic force microscopy. Full article
(This article belongs to the Special Issue Physico-Chemical Modification of Materials for Biomedical Application)
Show Figures

Graphical abstract

21 pages, 4904 KB  
Article
Development of a Diagnostic Method for Open/Short Circuit Faults in a Vienna Rectifier Based on the THD Method Using SOGI FLL
by Keval Prakash Desai, José Matas and Josep M. Guerrero
Appl. Sci. 2025, 15(23), 12836; https://doi.org/10.3390/app152312836 - 4 Dec 2025
Viewed by 447
Abstract
The increasing demand for reliable DC fast-charging stations in electric vehicle (EV) infrastructure necessitates efficient fault detection mechanisms to ensure operational stability and user safety. This paper will present the development of a diagnostic method for identifying open-circuit faults and short-circuit faults in [...] Read more.
The increasing demand for reliable DC fast-charging stations in electric vehicle (EV) infrastructure necessitates efficient fault detection mechanisms to ensure operational stability and user safety. This paper will present the development of a diagnostic method for identifying open-circuit faults and short-circuit faults in DC charging stations by leveraging Total Harmonic Distortion (THD) analysis combined with a Second-Order Generalized Integrator (SOGI). The proposed approach uses the THD method to detect anomalies in the current and voltage waveforms, while the Frequency Locked Loop (FLL) serves to track the frequency of the grid and keep the SOGI tuned to it, and SOGI-FLL provides the rectifier with the capability of tracking the frequency, amplitude, voltage, and phase of the grid and monitoring these parameters of the grid. The ability to measure the THD is the kernel of the detection of faults. Detailed simulation confirms the method’s high sensitivity and robustness in detecting open/short circuit faults with minimal false positives. This technique offers a cost-effective, non-invasive diagnostic solution suitable for modern DC charging systems, contributing to improved reliability and efficiency of EV charging infrastructure. Full article
(This article belongs to the Special Issue Insulation Monitoring and Diagnosis of Electrical Equipment)
Show Figures

Figure 1

26 pages, 6618 KB  
Article
A Multi-Mode Oscillation Suppression Strategy for Grid-Connected Inverter Systems Based on Amplitude–Phase Reconstruction
by Haibin Sun, Guobin Fu, Xuebin Wang, Yuxin Gan, Yujie Ding, Shangde Sun and Tong Wang
Electronics 2025, 14(23), 4761; https://doi.org/10.3390/electronics14234761 - 3 Dec 2025
Viewed by 356
Abstract
As the primary interface for integrating renewable energy sources such as wind and solar power into the grid, inverters are prone to inducing sub-/super-synchronous or medium-to-high-frequency oscillations during grid-connected operation under weak grid conditions. Optimizing the control structure of a single wind turbine [...] Read more.
As the primary interface for integrating renewable energy sources such as wind and solar power into the grid, inverters are prone to inducing sub-/super-synchronous or medium-to-high-frequency oscillations during grid-connected operation under weak grid conditions. Optimizing the control structure of a single wind turbine inverter struggles to address multi-mode resonance issues comprehensively. Therefore, a cooperative control strategy for parallel-coupled inverters is proposed. First, a frequency-domain impedance reconstruction method for parallel wind turbines is proposed based on the phase-neutralizing characteristics and damping variation patterns of parallel-coupled impedances. Second, the damping characteristics of inverters are enhanced through the design of an additional damping controller, while the phase-frequency characteristics of wind turbines are improved using active damping based on notch filters. Finally, simulation models based on 2.5 MW permanent magnet synchronous generator (PMSG) units validate the effectiveness of the control strategy. Research results demonstrate that this cooperative control strategy effectively suppresses sub-/super-synchronous and medium-to-high-frequency oscillations: In the 0~300 Hz key oscillation band, the amplitude suppression rate of oscillating current reaches ≥60%, the total harmonic distortion (THD) of the 5th harmonic at the grid connection point decreases from 4.465% to 3.518%. Full article
Show Figures

Figure 1

65 pages, 2654 KB  
Review
From Semantic Modeling to Precision Radiotherapy: An AI Framework Linking Radiobiology, Oncology, and Public Health Integration
by Fernando Gomes de Souza Jr., José Maria Aliaga Jr., Paulo C. Duarte Jr., Shirley Crispilho, Carolina Delfino, Daniele Brandão and Fernando Zamprogno e Silva
Biomedicines 2025, 13(12), 2862; https://doi.org/10.3390/biomedicines13122862 - 24 Nov 2025
Viewed by 1429
Abstract
Background/Objectives: Radiotherapy, radiobiology, and oncology have evolved rapidly over the past six decades. This progress has generated vast but fragmented bodies of scientific evidence. The present study aimed to systematically map and interpret their conceptual and temporal development using artificial intelligence (AI)-based methods. [...] Read more.
Background/Objectives: Radiotherapy, radiobiology, and oncology have evolved rapidly over the past six decades. This progress has generated vast but fragmented bodies of scientific evidence. The present study aimed to systematically map and interpret their conceptual and temporal development using artificial intelligence (AI)-based methods. It highlights the integration between molecular mechanisms, clinical applications, and technological innovation within a precision radiotherapy framework. Methods: A corpus of 3343 unique articles (1964–2025) was retrieved from Scopus, PubMed, and Web of Science. Records were harmonized through deduplication, lemmatization, and metadata normalization. Topic modeling using Latent Dirichlet Allocation (LDA) and co-occurrence network analysis were applied to identify dominant research axes. Semantic and temporal analyses were conducted to reveal patterns, emerging trends, and translational connections across decades. Results: Three historical phases were identified. The first was a period of limited production (1964–1990). The second showed moderate growth (1991–2010). The third, from 2011 to 2024, represented exponential expansion, with publication peaks in 2020 and 2023. LDA revealed two principal axes. The first, a clinical–anatomical axis, focused on cancer sites, treatment modalities, and prognosis. The second, a mechanistic–molecular axis, centered on DNA repair, radiosensitivity, and biomarkers. Case synthesis from 2014–2025 defined five operational classes: DNA repair and molecular response; precision oncology and genomic modeling; individual radiosensitivity; mechanisms of radioresistance; and advanced technologies such as FLASH radiotherapy and optimized brachytherapy. Conclusions: AI-driven semantic and temporal analyses showed that radiotherapy has matured into an interconnected and interdisciplinary domain. The derived Precision Radiotherapy Implementation Plan translates molecular and computational insights into clinically actionable strategies. These approaches can enhance survival, reduce toxicity, and inform equitable health policies for advanced cancer care. Full article
(This article belongs to the Special Issue New Insights in Radiotherapy: Bridging Radiobiology and Oncology)
Show Figures

Graphical abstract

10 pages, 2053 KB  
Article
A Terahertz Dual-Band Transmitter in 40 nm CMOS for a Wideband Sparse Synthetic Bandwidth Radar
by Aguan Hong, Lina Su, Yanjun Wang and Xiang Yi
Electronics 2025, 14(22), 4392; https://doi.org/10.3390/electronics14224392 - 11 Nov 2025
Viewed by 409
Abstract
This paper presents a terahertz (THz) dual-band transmitter for a wideband sparse synthetic bandwidth radar. The transmitter employs an innovative single-path-reuse dual-band architecture. This architecture utilizes a proposed quad-transformer-coupled voltage-controlled oscillator (VCO) as an on-chip local oscillator source. It also incorporates an innovative [...] Read more.
This paper presents a terahertz (THz) dual-band transmitter for a wideband sparse synthetic bandwidth radar. The transmitter employs an innovative single-path-reuse dual-band architecture. This architecture utilizes a proposed quad-transformer-coupled voltage-controlled oscillator (VCO) as an on-chip local oscillator source. It also incorporates an innovative dual-harmonic generator and a dual-band antenna, which work together within the single signal path to generate both the fundamental frequency and its second harmonic, thereby creating the dual bands required for a sparse synthetic bandwidth radar. Fabricated in a TSMC 40 nm CMOS technology, measurement results show that the transmitter achieves a peak equivalent isotropically radiated power (EIRP) of −7.95 dBm in the low-frequency band (121.34∼126.85 GHz) and −7.86 dBm in the high-frequency band (242.68∼253.7 GHz), validating the proposed architecture’s capability to generate dual-band signals simultaneously. The entire chip occupies a compact area of only 0.54 × 0.62 mm2 and consumes 136 mW of DC power. Full article
Show Figures

Figure 1

21 pages, 2828 KB  
Article
A Dual-Source Converter for Optimal Cell Utilisation in Electric Vehicle Applications
by Ashraf Bani Ahmad, Mohammad Alathamneh, Haneen Ghanayem, R. M. Nelms, Omer Ali and Chanuri Charin
Energies 2025, 18(22), 5895; https://doi.org/10.3390/en18225895 - 9 Nov 2025
Viewed by 409
Abstract
Electric vehicles (EVs) are experiencing rapid global adoption driven by environmental concerns and fuel security. This article presents a new dual-source converter based on a hybrid modular multilevel configuration (DCHMMC) designed for optimal cell utilisation in EV battery systems. Contrary to conventional converters [...] Read more.
Electric vehicles (EVs) are experiencing rapid global adoption driven by environmental concerns and fuel security. This article presents a new dual-source converter based on a hybrid modular multilevel configuration (DCHMMC) designed for optimal cell utilisation in EV battery systems. Contrary to conventional converters that can either charge or discharge the cells using a single source, thereby leaving several cells/modules (Ms) idle during each time step, the proposed converter enables the integration of two sources that can utilise the cells simultaneously. This dual source feature minimises idle cells/Ms, enhances energy efficiency, and supports flexible bidirectional power flow. The proposed converter operates in three distinct modes. The first involves dual-source charging for fast charging and improved vehicle availability. The second involves one source charging while the other discharges for dynamic operation. Finally, the last involves dual-source discharging for maximum power delivery and support vehicle-to-grid (V2G) operation. The simulation results demonstrated smooth multilevel sinusoidal output voltages (Vout_a and Vout_b), each with a peak of 350 V, generated simultaneously using 132 cells (six cells per M, 22 Ms). The total harmonic distortion (THD) values for Vout_a and Vout_b were 0.42% and 2.25%, respectively, confirming the high-quality performance. Furthermore, only 0–36 cells and 0–6 Ms were idle during operation, showing improved cell utilisation. Full article
Show Figures

Figure 1

18 pages, 1502 KB  
Article
Multi-Resource Coordinated Optimization for Harmonic and Voltage Compensation in Microgrids
by Hao Bai, Ruotian Yao, Tong Liu, Yiyong Lei and Yawen Zheng
Energies 2025, 18(22), 5884; https://doi.org/10.3390/en18225884 - 8 Nov 2025
Viewed by 482
Abstract
To address the problem of uncoordinated operation between distributed generation (DG) inverters and dedicated power quality devices, this paper proposes a coordinated optimization model for harmonic and voltage compensation in microgrids. The model considers the capacity constraints of DG inverters and compensation devices, [...] Read more.
To address the problem of uncoordinated operation between distributed generation (DG) inverters and dedicated power quality devices, this paper proposes a coordinated optimization model for harmonic and voltage compensation in microgrids. The model considers the capacity constraints of DG inverters and compensation devices, aiming to realize efficient utilization of multi-resource compensation capabilities. A dual-objective optimization framework is established, which simultaneously minimizes total economic cost and enhances overall power quality performance. The first objective function reflects investment and operational costs, while the second quantifies system performance through total harmonic distortion (THD) and average voltage deviation (AVD). The Normal–Normal Constraint (NNC) method is adopted to ensure optimization stability and feasible trade-offs between the two objectives. The proposed approach is validated on the IEEE 33-bus microgrid system, and its results are compared with traditional heuristic algorithms such as PSO. Simulation results show that the proposed method effectively reduces total operating cost while significantly improving harmonic and voltage compensation performance. This study provides a practical reference for coordinated power quality management in microgrids. Full article
(This article belongs to the Special Issue Modeling, Stability Analysis and Control of Microgrids)
Show Figures

Figure 1

Back to TopTop