Next Article in Journal
Full-Lifecycle Deterioration Characteristics and Remaining Life Prediction of ZnO Varistors Based on PSO-SVR and iForest
Previous Article in Journal
Multi-Feature Identification of Transformer Inrush Current Based on Adaptive Variational Mode Decomposition
Previous Article in Special Issue
Considering Moisture Intrusion Evolution Law of Insulation Performance of High-Voltage AC XLPE Cables
 
 
Font Type:
Arial Georgia Verdana
Font Size:
Aa Aa Aa
Line Spacing:
Column Width:
Background:
Article

Collaborative Suppression Strategy for AC Asymmetric Faults in Offshore Wind Power MMC-HVDC Systems

1
China Southern Power Grid Co., Ltd., Ultra-High Voltage Transmission Company, Guangzhou 510700, China
2
XJ Electric Co., Ltd., Xuchang 461000, China
3
College of Electrical and Information Engineering, Zhengzhou University of Light Industry, Zhengzhou 450002, China
*
Author to whom correspondence should be addressed.
Energies 2026, 19(2), 365; https://doi.org/10.3390/en19020365
Submission received: 12 December 2025 / Revised: 2 January 2026 / Accepted: 5 January 2026 / Published: 12 January 2026

Abstract

When offshore wind power is connected to a grid via Modular multilevel converter-based High Voltage Direct Current (MMC-HVDC), the sending-end alternating current (AC) system is susceptible to asymmetrical faults. These faults lead to overcurrent surges, voltage drops, and second harmonic circulating currents, which seriously threaten the safe operation of the system. To quickly suppress fault current surges, achieve precise control of system variables, and improve fault ride-through capability, this study proposes a collaborative control strategy. This strategy integrates generalized virtual impedance current limiting, positive- and negative-sequence collaborative feedforward control, and model-predictive control-based suppression of arm energy and circulating currents. The positive- and negative-sequence components of the voltage and current are quickly separated by extending and decoupling the decoupled double synchronous reference frame phase-locked loop (DDSRF-PLL). A generalized virtual impedance with low positive-sequence impedance and high negative-sequence impedance was designed to achieve rapid current limiting. Simultaneously, negative-sequence current feedforward compensation and positive-sequence voltage adaptive support are introduced to suppress dynamic fluctuations. Finally, an arm energy and circulating current prediction model based on model predictive control (MPC) is established, and the second harmonic circulating currents are precisely suppressed through rolling optimization. Simulation results based on PSCAD/EMTDC show that the proposed control strategy can effectively suppress the negative-sequence current, significantly improve voltage stability, and greatly reduce the peak fault current. It significantly enhances the fault ride-through capability and operational reliability of offshore wind power MMC-HVDC-connected systems and holds significant potential for engineering applications.

1. Introduction

Southeastern coastal areas of China are rich in wind energy. Driven by the goals of carbon peaking and carbon neutrality, the offshore wind power industry has experienced explosive growth and has become an important part of renewable energy. With the large-scale, clustered, and deep-sea development of offshore wind power, wind-power grid connection technology has become a prominent research focus [1,2,3]. MMC-HVDC technology has become the preferred solution for the grid connection of deep-sea wind farms because of its outstanding advantages such as low loss in long-distance power transmission, flexible power control, no need for reactive power compensation, no risk of commutation failure, and ease of building multiterminal DC networks [4,5,6,7]. The BorWin and HelWin projects in Germany, the BlockIsland wind farm in the United States, and the Rudong and Yangjiang flexible DC projects in Jiangsu and Yangjiang in Guangdong, China, are all successful practices of MMC-HVDC in the field of offshore wind power [8,9,10].
Submarine cables are vulnerable to corrosion by marine organisms, damage from anchor dragging, and the aging of insulation. As a result, the likelihood of asymmetrical faults, particularly single-phase grounding and two-phase short circuits, is markedly increased in offshore wind power MMC-HVDC systems, especially within the sending-end AC collection network [11,12,13,14]. When an asymmetrical fault occurs on the AC side, significant negative-sequence and zero-sequence components are introduced into the system. This influx leads to overcurrent in the MMC arms and wind turbine converters, thereby posing a substantial threat to the safety of the power electronic devices. This causes a significant drop in the sending-end AC bus voltage, which may lead to wind turbine disconnection from the grid. The interaction of positive and negative sequence components generates second harmonic power oscillation and circulating current, which aggravates the voltage fluctuation of submodule capacitors and device stress [15].
To further improve the fault ride-through capability of offshore wind power grid-connected systems, researchers globally have conducted extensive research on the fault characteristics of the system and proposed a series of fault suppression strategies. Rodriguez et al. [16] introduced the DDSRF-PLL technique, which facilitates a highly precise phase-locked operation and the segregation of positive and negative sequence components under asymmetric fault conditions. Moawwad et al. [17] proposed an innovative configuration and transient management scheme for integrating large wind farms with voltage source converter based HVDC (VSC-HVDC) systems. The proposed configuration optimally utilizes reconfigured HVDC converters under both steady state and fault conditions. Consequently, its objective is to leverage the available converter control capability to enhance the fault ride-through performance of the VSC-HVDC and ensure smooth power transitions to the grid. Mohammad Hossein Mousavi et al. [18] proposed a virtual synchronous generator control structure for unbalanced islanded microgrids based on DDSRF to compensate for the output voltage imbalance; however, their research scenario is limited to heavy-load unbalanced conditions and does not involve the coordinated control of the wind turbine side converter. Huang et al. [19] proposed a reference current generation scheme combining a notch filter and a DDSRF-PLL for delta-connected MMC-type active power regulators, which effectively improved the system’s ability to suppress negative sequences and harmonic currents but did not fully consider the special operating requirements of offshore wind power grid-connected environments. Li et al. [20] explored the phase-locked loop synchronization stability of full-size wind turbines connected to a grid through an MMC-HVDC system and analyzed the influence of the MMC-positive and negative-sequence current distribution on the transient synchronization performance of wind turbines under asymmetrical faults; however, its control method still has harmonic interference problems. Although the multilevel sequential network energy control proposed by Zhao [21] improves the ride capability of offshore converter stations under AC asymmetric faults, its control structure is complex. Li and Guo [22] designed a negative-sequence current suppression strategy based on phase-sequence decomposition. In addition to structural improvements, recent studies have also utilized intelligent optimization algorithms, such as the Walrus optimizer and Chaos Game Optimization, to refine control parameters and enhance the overall dynamic performance of offshore wind farms [23,24]. However, traditional positive and negative sequence separation methods introduce harmonic components under fault conditions, thereby affecting the control accuracy. Existing control strategies typically rely on fixed parameters or single-objective feedback loops. While effective for steady-state regulation, these methods exhibit inherent limitations during the transient evolution of a fault. Traditional Proportional-Integral (PI) based feedback suffers from bandwidth constraints and phase delays, often failing to curb the initial millisecond-level current surge. Conversely, aggressive current-limiting strategies often neglect voltage support, leading to potential wind turbine disconnection. Furthermore, the interaction between positive and negative sequence components induces complex harmonic ripples that standard controllers struggle to eliminate without compromising dynamic response speed.
To address the bottlenecks of traditional static control structures, this study proposes a time-sequence-based three-level collaborative control framework, the core innovation of which lies in the temporal decoupling of control objectives to match the transient evolution of a fault. This architecture orchestrates a seamless transition across distinct fault stages by dynamically shifting the dominance of three coordinated strategies: prioritizing equipment safety during the initial shock via generalized virtual impedance for microsecond-level current limiting; ensuring power stability during the transition phase through positive- and negative-sequence coordinated feedforward; and optimizing power quality in the recovery stage using MPC-based forward-looking suppression of arm circulating currents. By adaptively adjusting control parameters based on real-time transient information, the system achieves a collaborative primary-secondary role switching mechanism. This approach significantly reduces computational complexity while ensuring high-precision suppression, thereby striking an optimal balance between control efficiency and reliability throughout the entire fault ride-through process.

1.1. Structure and Asymmetric Fault Characteristics of Offshore Wind Power Flexible Direct Transmission System

System Topology and Control Strategy

Figure 1 shows a typical topology for the grid connection of an offshore wind farm and an onshore main grid via an MMC-HVDC system. The system consists of five core components: an offshore wind farm, AC collection lines, offshore converter station, DC transmission lines, and onshore grid. The electricity generated by the offshore wind farm is first collected by the AC collection lines to the sending-end AC bus, rectified into DC power by the offshore MMC, and transmitted over long distances to the shore through DC transmission lines. Finally, it was inverted into AC power using an onshore converter station and integrated into the onshore main grid. In the converter station topology design, both the rectifier and inverter sides of the flexible DC transmission system are equipped with the same specifications as the half-bridge modular MMCs.
Figure 2 shows the control flow of the wind power grid connection via the MMC. The wind turbine-side MMC acts as the main AC voltage source, directly establishing stable voltage and frequency support for the passive network of the wind farm by providing the given amplitude and frequency reference values. The grid-side MMC acts as a controlled current source, achieving DC voltage stabilization and reactive power regulation through an outer loop control. In the inner-current loop control, the system compares the current command output from the outer loop with the measured feedback value. After passing through the PI regulator and the feedforward and decoupling compensation, a voltage reference signal in the dq rotating coordinate system was generated. This signal was converted into a three-phase sinusoidal modulated wave using the inverse Park transform. Finally, the nearest-level approximation modulation strategy combined with the capacitor voltage sorting algorithm generates switching pulses to drive each submodule, thereby accurately synthesizing the required voltage waveform on the AC side and ultimately achieving a stable collection and controllable grid connection of the wind power.

1.2. System Asymmetric Fault Characteristics

When an asymmetrical fault occurs in the AC power grid, the AC bus voltage of the converter station generates unbalanced components such as negative and zero sequences. This unbalanced voltage induces a significant negative-sequence current on the MMC valve side. This negative-sequence current, combined with the normal positive-sequence current and DC component in the arm circulating current, can easily lead to a sharp increase in the current stress on the submodule power devices, far exceeding their safe operating capacity and seriously threatening the safety of the MMC. Therefore, under this operating condition, the core control objective of the MMC changes from simple power control to precise suppression of the negative sequence current on the valve side. To achieve this objective, the control system typically establishes positive-sequence current inner loops and negative-sequence current inner loops in a synchronously rotating coordinate system. By reasonably setting the reference value of the negative-sequence current and rapidly and accurately generating the corresponding compensation voltage through the negative-sequence current inner loop, the influence of the unbalanced voltage is offset, ultimately suppressing the generation of the negative-sequence current at its source and ensuring that the current stress of the MMC remains within safe limits during the fault period.
Using a single-phase ground fault as an example, the evolution of the current sequence component under the fault was observed, as shown in Figure 3. At the moment of the fault, the discharge of the system’s energy storage components causes a sharp increase in the fault current, posing a serious threat to the safety of the power devices. As the converter control strategy gradually intervenes, the positive-sequence current gradually stabilizes to maintain the system power transmission, whereas the negative-sequence current becomes the main factor causing voltage drop and current imbalance. At this point, it is necessary to quickly suppress the negative-sequence component and strengthen the voltage support to avoid exacerbating dynamic fluctuations of the system. When the system entered a quasi-steady state, the interaction between the positive- and negative-sequence components excited the second harmonic circulating current in the MMC arm. This circulating current continuously exacerbates the arm current stress and the submodule capacitor voltage fluctuations. Therefore, precise control methods are needed to suppress the circulating current and ensure long-term reliable operation of the equipment.

2. Design of Collaborative Composite Control Strategy

The AC asymmetric fault in offshore wind power MMC-HVDC systems exhibits a third-order evolutionary characteristic: strong initial impact, significant dynamic fluctuations, and persistent circulating current in the steady-state phase. The consequences of this fault are closely related to the operational requirements of the offshore wind power. This study proposes a three-level collaborative composite control strategy to address core issues at different fault stages: rapid overcurrent suppression during the initial impact stage, voltage support and suppression of negative-sequence components during the dynamic stage, and precise circulating current control during the steady-state phase. The three levels of control are complementary in function and sequentially linked, forming a complete control system covering the entire fault process and effectively improving the fault ride-through capability and operational reliability of the system.

2.1. Generalized Virtual Impedance Control

This study proposes a generalized virtual impedance control strategy to address the current suppression problem in offshore wind power MMC-HVDC systems during the AC asymmetric fault impact phase. This strategy aims to effectively limit the current peak at the moment of fault occurrence through a microsecond-level rapid response, thereby providing a critical buffer time for the subsequent control stages.
To address the shortcomings of traditional fixed-parameter virtual impedance in balancing the current-limiting effectiveness and operational efficiency, this study designs a generalized virtual impedance structure with low positive-sequence impedance and high negative-sequence impedance to achieve frequency-domain differentiated control of positive and negative-sequence currents. As shown in Table 1, the positive-sequence impedance uses a low inductive reactance to minimize the impact on the active power transmission and maintain a stable positive-sequence voltage at the point of common coupling. To limit the fault current magnitude at the source, a high inductive reactance is employed to increase the path impedance of the negative-sequence current. This approach effectively reduces the stress on the bridge arm current and prevents excessive damage to the insulated-gate bipolar transistor (IGBT).
As shown in Figure 4, when an asymmetrical fault is detected, the positive- and negative-sequence components of the three-phase AC current are collected and separated. The voltage drops generated by the positive-and negative-sequence virtual impedances are then calculated.
v v + = Z v + s i dq +
v v = Z v s i dq
These two voltage components are combined to form a compensation signal for voltage support and current suppression. This signal is then superimposed on the inner-loop controller output and modulated by pulse width modulation (PWM) to generate a switching signal. Based on the determination of the operating condition, the virtual impedance returns to zero during normal system operation without affecting the transmission efficiency.

2.2. Positive and Negative Sequence Cooperative Feedforward Control

This section investigates the prerequisites for dynamic stability during the fault-transition phase. The primary aim is to actively mitigate negative-sequence disturbances and accurately support the Point of Common Coupling (PCC) voltage, thereby facilitating the rapid mitigation of system voltage and current fluctuations. This approach seeks to address issues related to excessive voltage sags and the increased risk of wind turbine disconnection due to response delays inherent in traditional feedback control mechanisms. In offshore wind farms, the PCC voltage sag is a critical factor contributing to wind turbine disconnection. When the voltage sag is excessively large or prolonged, the low-voltage ride-through protection of the wind turbine is activated, leading to widespread turbine disconnections and resulting in substantial power and economic losses. Concurrently, traditional control strategies exhibit response delays in suppressing negative-sequence currents, complicating the swift resolution of dynamic system fluctuations and further elevating the risk of turbine disconnection. Consequently, it is imperative to design a coordinated control mechanism that integrates rapid sequence-component separation, adaptive voltage support, and feedforward negative-sequence suppression to achieve prompt system stability during the transition phase.

2.2.1. Extending DDSRF-PLL

To address the issue of delayed negative-sequence component separation in a conventional DDSRF-PLL under asymmetrical faults, an optimized enhancement was proposed.
First, the collected three-phase current signals are transformed into a two-phase stationary coordinate system via Clark transformation, yielding the components i α and i β . The transformation formula is as follows:
i α i β = 2 3 1 1 2 1 2 0 3 2 3 2 i a i b i c
Next, i α and i β undergo a negative-sequence Park transformation, converting them into the negative-sequence synchronous rotating coordinate system d q , yielding the original negative-sequence current component i d   i q . This transformation uses the negative-sequence rotation angle θ , expressed as
i d i q = cos ( θ ) sin ( θ ) sin ( θ ) cos ( θ ) i α i β
Under asymmetrical faults, i d   i q not only contains DC components but is also coupled with a 100 Hz second harmonic ripple generated by the positive-sequence component rotating in the negative-sequence coordinate system. To quickly extract the amplitude and phase information of the negative-sequence component, the conventional approach uses a low-pass filter to eliminate this double-frequency ripple, however, this introduces an additional phase delay.
To reduce this delay, the enhanced method superimposes a bandpass filter with a center frequency of 100 Hz after the negative-sequence Park transformation. This filter is designed to rapidly attenuate low-frequency DC components and high-frequency noise while allowing high transmission of components around its 100 Hz center frequency. Its transfer function can adopt a second-order band-pass form:
H ( s ) = ω n s s 2 + ω n s + ω 0 2
where ω n = 2 π × 100   rad / s and ω n are bandwidth parameters. By appropriately designing ω n , the filter can establish a stable output for the 100 Hz component.
The filter output of i d f a s t i q f a s t is a fast approximation of the negative-sequence current amplitude and phase information. Because the filter directly extracts the 100 Hz oscillatory component, whose amplitude and phase correspond directly to the original negative-sequence component information, it bypasses the long delay associated with conventional low-pass filters.

2.2.2. Positive Sequence Voltage Active Support

Considering the voltage sensitivity of offshore wind turbines, an adaptive voltage sag compensation term is introduced into the d-axis of the MMC current inner loop. The formula for calculating the reference current is as follows:
i d + * = i d 0 + * + k p U p c c , N U P C C , a c t
where I d 0 * is the reference value of the positive-sequence d-axis current under normal operating conditions; U P C C , N is the rated voltage at the PCC; U P C C , a c t is the actual voltage at the PCC; and k p is the adaptive gain.
The adaptive gain design fully considers the dynamic characteristics of offshore wind power faults. Based on the sum signal quickly extracted by I d f a s t   I q f a s t using the extended DDSRF-PLL, the approximate amplitude of the positive sequence current is first calculated as follows:
I + ( ( i d f a s t ) 2 + i q f a s t ) 2
The value I + is dynamically adjusted based on the calculated k p values. When I + > 1.5 p u a severe fault is identified, a value of k p 1.2 to 1.5 is used to inject reactive current into the grid through strong reactive power support, raising the PCC voltage. When 0.8 p u I + 1.5 p u a moderate fault is identified, k p a value of 1.0 is used to provide stable voltage support. When I + < 0.8 p u a minor fault is identified or the system is in the recovery phase, k p the value is reduced to 0.8 to avoid overcompensation causing voltage overshoot or oscillation, while simultaneously creating a stable operating environment for the third-level MPC circulating current suppression control.

2.2.3. Negative-Sequence Feedforward Compensation Stage

To overcome the inherent delay in traditional feedback control, a negative-sequence feedforward path is introduced directly into the voltage modulation stage. The compensation voltage is expressed as:
v f f = Z HPF ( i d q f a s t )
where Z is the negative sequence impedance, and high-pass filter (HPF) is a high-pass filter with a cutoff frequency of 5 Hz, used to filter out steady-state deviations and only to quickly compensate for dynamic negative sequence disturbances caused by faults.
The control system for the positive- and negative-sequence coordinated feedforward control is shown in Figure 5. These three components form a collaborative control architecture through signal interaction, which ensures the stable operation of the system during fault transition.

2.3. MPC Arm Energy-Circulation Predictive Control

As the system enters the quasi-steady state, the second harmonic circulating current becomes a critical factor affecting the long-term safe operation of an MMC. Traditional PI controllers, which depend on error feedback, exhibit response delays, demonstrate sensitivity to variations in model parameters, and encounter challenges in managing the constraints. This paper introduces model predictive control after the system enters the quasi-state phase. This method predicts future dynamics based on the system model and solves for the optimal control variable in real time through rolling optimization, thereby achieving forward-looking and precise suppression of circulating current.
For the topology and operating characteristics of offshore wind power MMCs, arm circulation i c i r c and total arm energy W a r m were selected as state variables. The arm circulation i c i r c directly reflects the suppression target, and its calculation formula is as follows i c i r c = i a r m p + i a r m n 2 ; the total arm energy reflects the operating state of the MMC, and its calculation formula is as follows:
W a r m = 1 2 C s m k = 1 N ( u s m k p ) 2 + 1 2 C s m k = 1 N ( u s m k n ) 2
where C s m is the capacitance value of the submodule, u s m k p and u s m k n are the capacitor voltages of the upper and lower bridge arm submodules, respectively, and N is the number of individual bridge arm submodules. The selection of i c i r c and W a r m prioritizes dynamic decoupling and computational efficiency. Unlike total arm current, using i c i r c isolates internal circulation from AC power output to prevent control interference. Unlike individual submodule voltages, using W a r m avoids high-dimensional computation by aggregating submodule dynamics. Crucially, these variables directly capture the fault-induced second harmonic energy ripples, enabling precise MPC suppression using a simplified low-order model.
Damping voltage u d a m p was selected as the control input, and measurable negative-sequence current i d q was selected as the disturbance input. By linearizing the differential equations of the MMC at the operating point to eliminate the influence of nonlinear factors and then using a discretization method to convert the continuous system model into a discrete state-space model, the final result is
x k + 1 = A x k + B u k + D d k
y k = C x k
where x k = [ i c i r c k ; W a r m k ] T is the state variable, u = u d a m p is the control input, d = I d q is the disturbance input, y = i c i r c is the output variable A, B, C, D, and are the system matrices that reflect the dynamic evolution of the MMC bridge arm circulation and energy.
At each sampling time, the MPC controller solves for the optimal control variable through rolling optimization. The specific process is as follows:
Obtain the current system status x k and d k disturbances.
Based on the established discrete state-space prediction model, the system’s state and output trajectory are predicted under different control sequences U = u k , u k + 1 , , u k + N c 1 within future N p steps.
Solve a constrained optimization problem to find the optimal control sequence U * .
min U j = 1 N p i c i r c ( k + j | k ) i c i r c Q 2 + j = 0 N c 1 Δ u ( k + j | k ) R 2 s . t . x ( k + j + 1 | k ) = A x ( k + j | k ) + B u ( k + j | k ) + D d ( k + j | k ) u m i n u ( k + j | k ) u m a x Δ u m i n Δ u ( k + j | k ) Δ u m a x
where N p is the prediction time domain, N c is the control time domain ( N c N p ). U = u k , u k + 1 , , u k + N c 1 is the control sequence to be optimized. Q and R are weight matrices used to balance the accuracy of circulation tracking with the aggressiveness of control actions. The constraints ensure that the control input and its rate of change are within physically permissible limits.
The first element of the optimal sequence, u * k , is considered to be the damping voltage at the current moment and superimposed on the original modulation wave to suppress the circulating current. At the next sampling moment, k + 1 , the above measurement, prediction, and optimization processes were repeated to achieve rolling control. The flow of the MPC controller is shown in Figure 6.
The MPC controller demonstrated advantages in terms of circulating-current suppression. The model-based look-ahead characteristic significantly accelerates the dynamic response, effectively suppresses overshoot, and accelerates the convergence process. The controller exhibits strong robustness to variations in the system parameters and adapts to operational fluctuations in offshore wind power systems. Furthermore, the method possesses constraint-handling capabilities, explicitly coordinating constraints between control inputs and state variables to enhance system safety. Based on these advantages, the MPC controller can achieve stable suppression of second harmonic circulating currents, significantly improve the arm stress and capacitor voltage fluctuations, and enhance the long-term operational reliability of the system.
As shown in Figure 7, the proposed three-level cooperative control strategy is synchronously activated upon detecting an asymmetric fault and dynamically adjusts the dominance and control parameters according to the transient evolution of the fault. In the initial stage of the fault, the generalized virtual impedance dominates owing to its microsecond-level response characteristics. Its negative-sequence impedance adaptively increases with the rate of change of the fault current to enhance the current-limiting effect, while maintaining a low positive-sequence impedance to sustain power transmission. Upon entering the dynamic transition stage, positive and negative-sequence cooperative feedforward control gradually becomes the core: the positive-sequence voltage support gain is dynamically adjusted based on the real-time voltage drop depth to achieve a seamless transition from strong excitation to stable recovery; the negative-sequence feedforward channel optimizes the high-pass filtering characteristics in real-time based on the voltage imbalance to ensure rapid compensation for dynamic disturbances. After the fault enters the quasi-steady-state stage, model predictive control becomes dominant. Its cost function weight matrix is reconstructed online based on the circulating current amplitude and its gradient, enhancing the suppression capabilities when the circulating current is significant, and ensuring control smoothness when the system stabilizes.
This parameter-adaptive mechanism enables three-level control to automatically switch between primary and secondary roles according to the time sequence, but also to optimize control performance in real time based on system dynamics. This achieves a full-process coordination of fault current suppression, transient voltage stabilization, and steady-state circulating current management, significantly improving the ride-through capability and operational reliability of the system under asymmetrical faults.

2.4. Fault Detection and Stage Transition Logic

To ensure the synchronized activation of the proposed three-level strategy, a logic-based fault detection and state machine mechanism is employed to continuously monitor the three-phase AC voltage at the Point of Common Coupling. The detection algorithm is explicitly designed to capture the voltage asymmetry characteristic of the grid. Unlike symmetric fault detection approaches that rely solely on voltage magnitude dips, this strategy prioritizes the identification of unbalance by calculating the negative-sequence voltage component in real time. An asymmetric fault state is confirmed and flagged at the initial moment t 0 when the amplitude of the negative-sequence voltage exceeds a distinct threshold set to 0.1 per unit, thereby isolating asymmetric incidents from balanced voltage sags or normal grid operations.
Upon the confirmation of an asymmetric fault, the transition between the three cooperative control levels is governed by a time-sequence state machine. The initial impact stage is triggered immediately at t 0 , where the generalized virtual impedance is instantly enabled to suppress the surge current. This phase persists for a duration determined by the convergence speed of the extended DDSRF-PLL, typically lasting 10 ms, which ensures equipment safety before accurate sequence separation is available. Once the DDSRF-PLL achieves stable locking and sequence separation at time t 1 , the system transitions to the dynamic stage where the positive- and negative-sequence collaborative feedforward control is activated to provide adaptive voltage support. The final transition to the quasi-steady stage occurs when the transient DC offset in the fault current has sufficiently decayed. This condition is detected when the rate of change of the circulating current falls below a predefined stability threshold. In this study, control dominance is handed over to the MPC algorithm at approximately 60 ms after fault inception, denoted as time t 2 , to precisely eliminate second harmonic ripples for the remainder of the fault duration.

3. Simulation Verification and Result Analysis

To verify the control performance of the proposed three-level collaborative composite control strategy under AC asymmetric faults in an offshore wind power MMC-HVDC system, a complete grid-connected system simulation model was developed based on PSCAD/EMTDC. The system topology strictly follows the typical architecture shown in Figure 1, and the key parameters of the converter station main circuit are listed in Table 2.
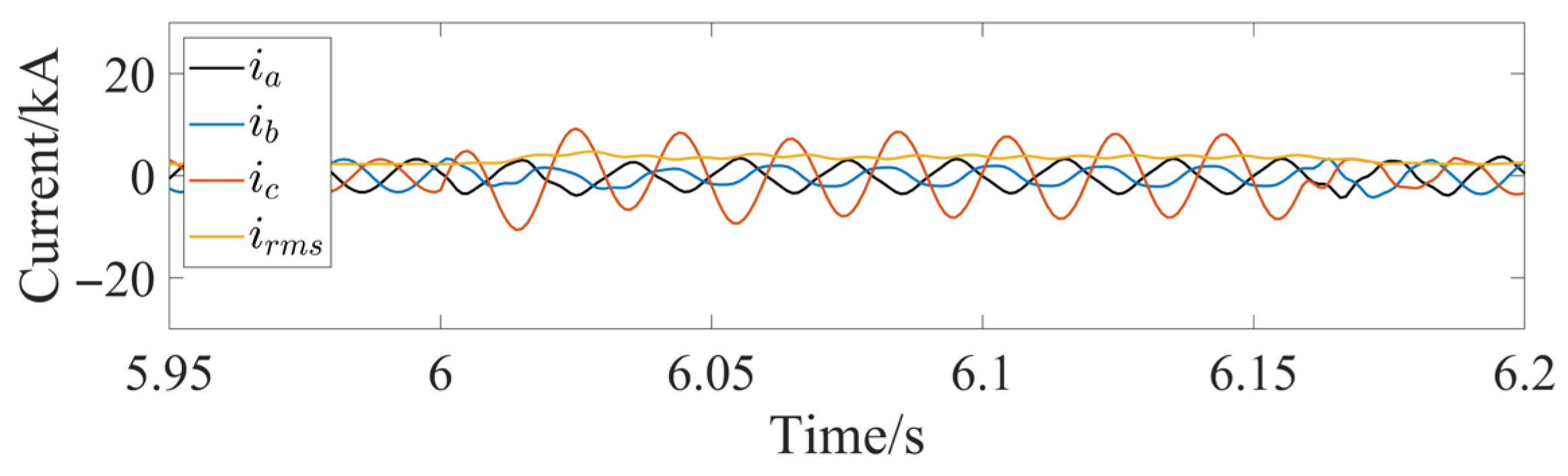
At time 6.0 s, a metallic C-phase-to-ground fault was initiated at the sending-end AC busbar, resulting in a complete voltage collapse on the faulty phase for a duration of 0.5 s. It should be explicitly noted that all waveform data presented in Figure 8, Figure 9, Figure 10, Figure 11, Figure 12, Figure 13 and Figure 14 were obtained through PSCAD/EMTDC simulation modeling. Figure 8, Figure 11 and Figure 12 represent the system response under the traditional control strategy, serving as a baseline benchmark; in contrast, Figure 9 and Figure 13 illustrate the performance of the proposed cooperative suppression strategy under identical fault conditions, highlighting the comparative improvement in suppression capability. Figure 8 and Figure 9 show the simulated waveforms of the AC voltage and current, respectively, for the two control strategies. The comparison shows that after a single-phase ground fault, the voltage of the faulty phase drops to zero, and the voltage of the non-faulty phases also shows significant distortion. At the moment of fault, the effective value of the current rapidly increases. The peak value of the fault current was extremely high, and the three-phase current exhibited severe imbalance over a considerable period. After the fault disappeared, the three-phase voltage and current exhibited asymmetrical fluctuations for a certain period. In contrast, the proposed coordinated control strategy effectively suppresses the voltage rise and distortion of the non-faulty phases, allowing them to quickly restore symmetry. The peak value of the fault current is also significantly limited, and the three-phase current can recover its balance in a very short time after the fault is cleared.
Figure 11, Figure 12, Figure 13 and Figure 14 compare the arm circulating current and second harmonic component under asymmetrical fault conditions using two control strategies. Under the traditional control strategy, a high-amplitude second-harmonic circulating current emerges between the converter arms, exhibiting significant ripple even during steady-state operation after fault clearance. This circulating current couples with the system power oscillations, further causing large fluctuations in the DC-side voltage and severely impacting the stability of the DC transmission. The strategy proposed in this study fundamentally improves circulating current suppression performance. By introducing advanced control methods, the second-harmonic circulating current is stably suppressed to a low level, with no overshoot throughout the dynamic process, minimal steady-state ripple, and effective suppression of DC voltage fluctuations, thereby significantly improving the operational stability and reliability of the system.
To verify the robustness and versatility of the strategy, two-phase short circuit and two-phase-to-ground short circuit faults were tested at the same locations. The results are summarized in Table 3. It can be seen that the proposed three-level control strategy can accurately suppress the overcurrent, voltage dips, and arm circulating currents under various operating conditions and asymmetrical faults.
In scenarios involving asymmetric faults on the sending-end AC side, such as single-phase grounding, two-phase short circuits, and two-phase-to-ground short circuits, the proposed three-level cooperative composite control strategy demonstrated its effectiveness. Simulation results indicate that, in comparison with traditional control strategies, this approach can rapidly suppress the peak value of the fault current to a safe range following a fault, achieving a suppression rate exceeding 90% and significantly reducing the current stress on power devices. During the fault period, the coordinated positive- and negative-sequence feedforward, combined with adaptive positive-sequence voltage support, effectively mitigated voltage distortion in the non-faulted phases. This enables the system voltage to regain symmetry swiftly after the fault is cleared, while limiting the voltage dip to within 10%. For circulating current suppression, the model predictive control-based strategy achieves stable suppression of the second harmonic circulating current, with no overshoot during the dynamic process and minimal steady-state ripple, thereby markedly improving the submodule capacitor voltage fluctuation and arm current stress. Furthermore, under various types of asymmetric faults, this strategy consistently maintains excellent performance in terms of the negative-sequence suppression rate, voltage sag rate, and circulating current magnitude, demonstrating strong robustness and adaptability to different scenarios. In summary, the simulation results indicate that the proposed three-level coordinated control strategy shows strong potential in enhancing the asymmetric fault ride-through capability of offshore wind power flexible DC grid-connected systems from the perspectives of dynamic response, steady-state accuracy, and multi-fault adaptability, indicating a clear engineering application value.

4. Conclusions and Outlook

This study proposes a three-level collaborative composite control strategy designed to meet the rigorous safety and stability requirements of offshore wind power MMC-HVDC systems under AC asymmetric fault conditions. The proposed architecture achieves temporal decoupling of control objectives: it utilizes generalized virtual impedance for rapid current limiting during the initial fault impact, employs positive- and negative-sequence collaborative feedforward to support voltage during the transition phase, and leverages MPC to precisely suppress second harmonic circulating currents during the quasi-steady state. Simulation results in PSCAD/EMTDC verify that the proposed strategy can effectively curb fault current peaks, mitigate voltage sags, and reduce circulating current amplitudes. However, these findings are based on idealized models which may not fully reflect physical hardware constraints such as measurement noise and the computational burden of MPC. Consequently, future research will prioritize hardware-in-the-loop verification and adaptive parameter optimization to address these implementation challenges and bridge the gap to engineering application.

Author Contributions

Conceptualization, W.L.; methodology, S.J.; investigation, J.S.; data curation, C.R.; writing—original draft preparation, X.L.; writing—review and editing, H.L. All authors have read and agreed to the published version of the manuscript.

Funding

This study was supported by China Southern Power Grid Co., Ltd. Science and Technology Project (2307RDQ33566N).

Data Availability Statement

The original contributions presented in this study are included in the article. Further inquiries can be directed to the corresponding author.

Conflicts of Interest

Authors Xiang Lu, Chenglin Ren and Shi Jiao were employed by the China Southern Power Grid Co., Ltd., Ultra-High Voltage Transmission Company. Authors Jie Shi and Weicheng Li were employed by the XJ Electric Co., Ltd. The remaining authors declare that the research was conducted in the absence of any commercial or financial relationships that could be construed as a potential conflict of interest.

References

  1. Tan, Z.; Ngan, H.W.; Wu, Y.; Zhang, H.; Song, Y.; Yu, C. Potential and policy issues for sustainable development of wind power in China. J. Mod. Power Syst. Clean Energy 2013, 1, 200–211. [Google Scholar] [CrossRef]
  2. Zhao, X.Z.; Wu, H.D.; Yang, D.Q.; Wei, J.; Li, Z.; Guo, Z.; Zhang, S. Residual Magnetism Elimination Method for Large Power Transformers Based on Energy Storage Oscillation. IEEE Trans. Power Deliv. 2025, 40, 2759–2768. [Google Scholar] [CrossRef]
  3. Fu, Y.; Liu, Y.; Huang, L.L.; Ying, F.; Li, F. Collection System Topology for Deep-Sea Offshore Wind Farms Considering Wind Characteristics. IEEE Trans. Energy Convers. 2022, 37, 631–642. [Google Scholar] [CrossRef]
  4. Xiang, W.; Yang, M.; Wen, J. DR-MMC Hub Based Hybrid AC/DC Collection and HVDC Transmission System for Large-Scale Offshore Wind Farms. J. Mod. Power Syst. Clean Energy 2025, 13, 452–461. [Google Scholar] [CrossRef]
  5. Chaudhary, S.K.; Teodorescu, R.; Rodriguez, P.; Kjaer, P.C.; Gole, A.M. Negative Sequence Current Control in Wind Power Plants With VSC-HVDC Connection. IEEE Trans. Sustain. Energy 2012, 3, 535–544. [Google Scholar] [CrossRef]
  6. Yan, J.; Lin, L.; Li, Y.; Shi, X.; Hu, J.; Lin, C.; Li, F.; Zhu, J. Overcurrent Suppression Method for Multiple Wind Farms Connected to MMC-HVDC. IEEE Trans. Circuits Syst. II 2022, 69, 4473–4477. [Google Scholar] [CrossRef]
  7. Rahman, S.; Khan, I.; Alkhammash, H.I.; Nadeem, M.F. A Comparison Review on Transmission Mode for Onshore Integration of Offshore Wind Farms: HVDC or HVAC. Electronics 2021, 10, 1489. [Google Scholar] [CrossRef]
  8. Li, J.K.; Yin, J.Y.; Guan, Y.G.; Wang, Z.; Niu, T.; Zhen, H.; Han, Z.; Guo, X. A Review on Topology, Operating and Control Methods of HVDC Transmission System for Offshore Wind Farms. E3S Web Conf. 2020, 165, 06012. [Google Scholar] [CrossRef]
  9. Hines, E.M.; Baxter, C.D.; Ciochetto, D.; Song, M.; Sparrevik, P.; Meland, H.J.; Strout, J.M.; Bradshaw, A.; Hu, S.-L.; Basurto, J.R.; et al. Structural instrumentation and monitoring of the Block Island Offshore Wind Farm. Renew. Energy 2023, 202, 1032–1045. [Google Scholar] [CrossRef]
  10. Raza, M.W.; Raza, M.; Badia, J.G.; Prieto-Araujo, E.; Gomis-Bellmunt, O. Fault Handling Capabilities of Grid-Forming Wind Turbines in Offshore Wind Farms Connected With MMC HVDC System. IEEE Access 2024, 12, 36404–36414. [Google Scholar] [CrossRef]
  11. Sun, X.F.; Yang, X.; Cai, J.F.; Jiang, X. Transient Protection Schemes for Transmission Lines Used in Offshore Wind Farm: A State-of-the-Art Review. Front. Energy Res. 2022, 10, 923168. [Google Scholar] [CrossRef]
  12. Zhao, X.Z.; Wu, G.; Yang, D.Q.; Xu, G.; Xing, Y.; Yao, C.; Abu-Siada, A. Enhanced detection of power transformer winding faults through 3D FRA signatures and image processing techniques. Electr. Power Syst. Res. 2025, 242, 111433. [Google Scholar] [CrossRef]
  13. Chen, L.; Wang, Z.; Ye, B.; Lu, P. Suppression strategy for asymmetric faults in the receiving-end grid of offshore wind power via VSC-HVDC system. Electr. Mach. Control Appl. 2023, 50, 70–77+84. [Google Scholar]
  14. Yu, H. Offshore Wind Power Grid Connection Modeling and Fault Ride-Through Technology, 2nd ed.; China Electric Power Press: Beijing, China, 2021. [Google Scholar]
  15. Zheng, L.; Jia, K.; Bi, T.; Hou, L.; Fang, Y. Fault characteristics of the AC side of offshore wind power connected to flexible DC system and its impact on protection. In Proceedings of the 2025 10th Asia Conference on Power and Electrical Engineering (ACPEE), Beijing, China, 15–19 April 2025; pp. 1692–1697. [Google Scholar]
  16. Rodriguez, P.; Pou, J.; Bergas, J.; Candela, J.I.; Burgos, R.P.; Boroyevich, D. Decoupled Double Synchronous Reference Frame PLL for Power Converters Control. IEEE Trans. Power Electron. 2007, 22, 584–592. [Google Scholar] [CrossRef]
  17. Moawwad, A.; El Moursi, M.S.; Xiao, W. Advanced Fault Ride-Through Management Scheme for VSC-HVDC Connecting Offshore Wind Farms. IEEE Trans. Power Syst 2016, 31, 4923–4934. [Google Scholar] [CrossRef]
  18. Mousavi, M.H.; CheshmehBeigi, H.M.; Ahmadi, M. A DDSRF-based VSG control scheme in islanded microgrid under unbalanced load conditions. Electr. Eng. 2023, 105, 4321–4337. [Google Scholar] [CrossRef]
  19. Huang, H.; Zhang, L.; Oghorada, O.; Mao, M. A delta-connected MMCC-based active power conditioner for unbalanced load compensation and harmonic elimination. Int. J. Electr. Power Energy Syst. 2020, 118, 105811. [Google Scholar] [CrossRef]
  20. Li, F.; Lin, L.; Li, Y.; Shi, X.; Hu, J.; Zhu, J. Synchronization Stability of the MMC-Connected Wind Farm Under Severe Asymmetrical Faults. IEEE J. Emerg. Sel. Top. Circuits Syst. 2023, 13, 680–691. [Google Scholar] [CrossRef]
  21. Zhao, H.Y.; Zhou, H.; Yao, W.; Zong, Q.; Wen, J. Multi-Stage Sequential Network Energy Control for offshore AC asymmetric fault ride-through of MMC-HVDC system integrated offshore wind farms. Int. J. Electr. Power Energy Syst. 2023, 151, 109180. [Google Scholar] [CrossRef]
  22. Li, H.; Guo, L. A Control Strategy for Ground Fault on the AC Side of MMC-HVDC System. Comput. Intell. Neurosci. 2022, 2022, 1776209. [Google Scholar] [CrossRef]
  23. Shaheen, M.A.M.; Hasanien, H.M.; Mekhamer, S.F.; Talaat, H.E.A. Walrus optimizer-based optimal fractional order PID control for performance enhancement of offshore wind farms. Sci. Rep. 2024, 1, 17636. [Google Scholar] [CrossRef] [PubMed]
  24. Shaheen, M.A.; Hasanien, H.M.; Mekhamer, S.; Talaat, H.E. A chaos game optimization algorithm-based optimal control strategy for performance enhancement of offshore wind farms. Renew. Energy Focus 2024, 49, 100578. [Google Scholar] [CrossRef]
Figure 1. Topology of offshore wind power MMC-HVDC grid-connected system.
Figure 1. Topology of offshore wind power MMC-HVDC grid-connected system.
Energies 19 00365 g001
Figure 2. Block diagram of wind power grid-connected MMC controller.
Figure 2. Block diagram of wind power grid-connected MMC controller.
Energies 19 00365 g002
Figure 3. Current under asymmetrical fault. (a) AC bus current; (b) positive and negative sequence components of current; (c) second harmonic component of current circulation.
Figure 3. Current under asymmetrical fault. (a) AC bus current; (b) positive and negative sequence components of current; (c) second harmonic component of current circulation.
Energies 19 00365 g003
Figure 4. Generalized Virtual Impedance Superposition Controller.
Figure 4. Generalized Virtual Impedance Superposition Controller.
Energies 19 00365 g004
Figure 5. Positive and negative sequence cooperative feedforward control.
Figure 5. Positive and negative sequence cooperative feedforward control.
Energies 19 00365 g005
Figure 6. MPC Control Flow.
Figure 6. MPC Control Flow.
Energies 19 00365 g006
Figure 7. Three-level Coordination Control.
Figure 7. Three-level Coordination Control.
Energies 19 00365 g007
Figure 8. Simulation results under single-phase ground fault using traditional control strategy. (a) AC voltage; (b) AC current.
Figure 8. Simulation results under single-phase ground fault using traditional control strategy. (a) AC voltage; (b) AC current.
Energies 19 00365 g008
Figure 9. AC current under the cooperative suppression strategy.
Figure 9. AC current under the cooperative suppression strategy.
Energies 19 00365 g009
Figure 10. Comparison of fault current amplitudes.
Figure 10. Comparison of fault current amplitudes.
Energies 19 00365 g010
Figure 11. Circulating current components of the bridge arm in the traditional control strategy.
Figure 11. Circulating current components of the bridge arm in the traditional control strategy.
Energies 19 00365 g011
Figure 12. Second harmonic component of bridge arm circulating current in traditional control strategy.
Figure 12. Second harmonic component of bridge arm circulating current in traditional control strategy.
Energies 19 00365 g012
Figure 13. Bridge arm circulation components under the cooperative suppression strategy.
Figure 13. Bridge arm circulation components under the cooperative suppression strategy.
Energies 19 00365 g013
Figure 14. Second harmonic components of the bridge arm circulation under the cooperative suppression strategy.
Figure 14. Second harmonic components of the bridge arm circulation under the cooperative suppression strategy.
Energies 19 00365 g014
Table 1. Design of Generalized Virtual Impedance Parameters.
Table 1. Design of Generalized Virtual Impedance Parameters.
ParameterImpedance ExpressionFault Parameter Values
(per Unit Value)
Positive sequence impedance Z v + s = R v + + s L v + R v + = 0.1 R 0 ,
  L v + = 0.05 L 0
Negative sequence impedance Z v s = R v + s L v R v = 0.8 R 0 ,
  L v = 0.3 L 0 .
Table 2. Parameters of the main circuit of the converter station.
Table 2. Parameters of the main circuit of the converter station.
Main Circuit ParametersParameter
Rated capacity of converter950 MVA
AC bus voltage on the grid side230 kV
Rated DC voltage320 kV
Number of submodules on a single bridge arm76
Capacitors of submodules2.5 mF
Bridge arm reactor50 mH
Line smoothing reactance100 mH
Table 3. Strategy Performance in Multi-Fault Scenarios.
Table 3. Strategy Performance in Multi-Fault Scenarios.
Fault TypeNegative-Sequence Suppression RateVoltage DropCirculating Current Amplitude
Single-phase grounding92%9%96.0%
Two-phase short circuit90%11%95.5%
Two-phase grounding91%10%94.2%
Disclaimer/Publisher’s Note: The statements, opinions and data contained in all publications are solely those of the individual author(s) and contributor(s) and not of MDPI and/or the editor(s). MDPI and/or the editor(s) disclaim responsibility for any injury to people or property resulting from any ideas, methods, instructions or products referred to in the content.

Share and Cite

MDPI and ACS Style

Lu, X.; Ren, C.; Jiao, S.; Shi, J.; Li, W.; Li, H. Collaborative Suppression Strategy for AC Asymmetric Faults in Offshore Wind Power MMC-HVDC Systems. Energies 2026, 19, 365. https://doi.org/10.3390/en19020365

AMA Style

Lu X, Ren C, Jiao S, Shi J, Li W, Li H. Collaborative Suppression Strategy for AC Asymmetric Faults in Offshore Wind Power MMC-HVDC Systems. Energies. 2026; 19(2):365. https://doi.org/10.3390/en19020365

Chicago/Turabian Style

Lu, Xiang, Chenglin Ren, Shi Jiao, Jie Shi, Weicheng Li, and Hailin Li. 2026. "Collaborative Suppression Strategy for AC Asymmetric Faults in Offshore Wind Power MMC-HVDC Systems" Energies 19, no. 2: 365. https://doi.org/10.3390/en19020365

APA Style

Lu, X., Ren, C., Jiao, S., Shi, J., Li, W., & Li, H. (2026). Collaborative Suppression Strategy for AC Asymmetric Faults in Offshore Wind Power MMC-HVDC Systems. Energies, 19(2), 365. https://doi.org/10.3390/en19020365

Note that from the first issue of 2016, this journal uses article numbers instead of page numbers. See further details here.

Article Metrics

Article metric data becomes available approximately 24 hours after publication online.
Back to TopTop