From Mathematics to Art: A Petri Net Representation of the Fibonacci Sequence and Its Fractal Geometry
Abstract
1. Introduction
- We introduce a Petri net representation of the Fibonacci recurrence that mirrors the second-order additive structure of the sequence.
- We show that the associated marking dynamics naturally generate a combinatorial triangle whose parity pattern exhibits a self-similar structure reminiscent of Sierpiński-type fractals.
- We provide a visual and computational study of this pattern, including its behaviour modulo higher primes, and discuss its aesthetic and structural properties.
2. Theoretical Background
2.1. Notation
- The Fibonacci sequence is defined by:Its first terms are
- Parentheses are used to denote binomial coefficients, defined in the usual way as:This expression corresponds to the number of possible combinations of k elements chosen from n, without regard to order.
- The notations introduced above will be used consistently throughout the paper. In particular, the Fibonacci sequence provides the numerical reference for the analysis, while the triangular arrayserves as a discrete representation of the recurrence. The sum of all terms in each horizontal layer of this array is a Fibonacci number,The first rows of the triangular array are shown below:The sums correspond to the Fibonacci sequence . Thus, each horizontal layer represents one iteration of the recurrence , which will be later structurally reproduced by the Petri net model.
2.2. Modelling Frameworks
2.3. Petri Nets
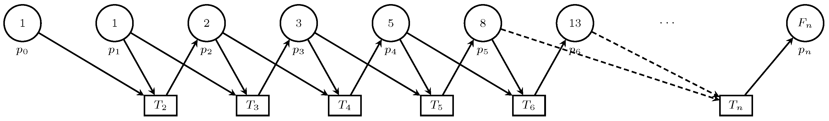
3. When Order Becomes Pattern: A Petri Net for the Fibonacci Sequence
4. Emergence of the Sierpiński Triangle
4.1. Petri Net Model of the Fibonacci Triangle
- bounded—each place contains a finite number of tokens equal to the corresponding coefficient ;
- acyclic—transitions connect only consecutive layers, ensuring no backward arcs;
- not live—transitions become disabled once their input places are empty;
- not reversible—it is impossible to return to the initial marking.
4.2. Token Counts
- Places. In each diagonal layer ℓ, the Fibonacci triangle contains places. Hence, the total number of places up to depth n satisfies
- Transitions. For , each place is produced by exactly one transition . Thus, the total number of transitions up to depth n is
- Number of tokens. The number of tokens in layer n is . Consequently, the cumulative number of tokens up to depth n is
4.3. Parity and Token Colouring
5. Study of the Observed Pattern
5.1. Specificity of the Proposed Construction
- 1.
- Structural specificity. Unlike Pascal’s triangle or Hosoya’s triangle, which are symmetric with respect to a vertical axis, the lattice generated by our model is obliquely organised in the natural coordinates induced by the layered construction. The two-step dependency introduces a phase delay in the propagation of information, which breaks the central symmetry observed in the classical triangular arrays.
- 2.
- Dynamic specificity.When interpreted as a Petri net, the model reveals a two-layer dependency structure: tokens propagate through both immediate and delayed transitions. This provides a dynamic viewpoint that is not emphasised in the classical presentations of Pascal’s or Hosoya’s arrays, which are typically described by local single-step update rules.
- 3.
- Geometric specificity under modular colouring. Under modular visualisation, especially modulo 2 or modulo a prime p, the second-order propagation produces an oblique, self-similar geometry in the representation, with systematic diagonal displacement bands across layers. We use the term “delayed fractality” as a descriptive label for this visually consistent displacement effect, which reflects the temporal lag of the second-order dependency when represented spatially in the layered array.
5.2. Brief Discussion on the Fractal Dimension
5.3. Study of Higher Moduli
5.4. Added Value of the Petri Net Representation
6. Conclusions
Author Contributions
Funding
Institutional Review Board Statement
Informed Consent Statement
Data Availability Statement
Conflicts of Interest
References
- Horadam, A. A generalized Fibonacci sequence. Am. Math. Mon. 1961, 68, 455–459. [Google Scholar] [CrossRef]
- Sinha, S. The Fibonacci numbers and its amazing applications. Int. J. Eng. Sci. Invent. 2017, 6, 7–14. [Google Scholar]
- Zeina, M.A.; Ahmed, A. The Golden ratio and its impact on Architectural design. Int. Des. J. 2022, 12, 77–90. [Google Scholar] [CrossRef]
- Prusinkiewicz, P.; Lindenmayer, A. The Algorithmic Beauty of Plants; Springer: Berlin/Heidelberg, Germany, 1990. [Google Scholar]
- Mougkogiannis, P.; Adamatzky, A. On the response of proteinoid ensembles to fibonacci sequences. ACS Omega 2025, 10, 10401–10424. [Google Scholar] [CrossRef]
- Sawicki, P.; Maksymovych, V.; Harasymchuk, O.; Lupenko, S.; Shabatura, M.; Marczak, K.; Shevchuk, R.; Karpinski, M. Optimization of Additive Fibonacci Generators Based on Primitive Polynomials Over GF (p). IEEE Access 2025, 13, 149901–149910. [Google Scholar] [CrossRef]
- Chen, T.L.; Cheng, C.H.; Teoh, H.J. Fuzzy time-series based on Fibonacci sequence for stock price forecasting. Phys. A Stat. Mech. Its Appl. 2007, 380, 377–390. [Google Scholar] [CrossRef]
- Reisig, W. Petri Nets: An Introduction; EATCS Monographs on Theoretical Computer Science; Springer: Berlin/Heidelberg, Germany, 1985. [Google Scholar]
- Grobelna, I.; Wiśniewski, R.; Grobelny, M.; Wiśniewska, M. Design and Verification of Real-Life Processes With Application of Petri Nets. IEEE Trans. Syst. Man, Cybern. Syst. 2017, 47, 2856–2869. [Google Scholar] [CrossRef]
- Grobelna, I.; Szcześniak, P. Interpreted Petri Nets Applied to Autonomous Components within Electric Power Systems. Appl. Sci. 2022, 12, 4772. [Google Scholar] [CrossRef]
- Grobelna, I.; Karatkevich, A. Challenges in Application of Petri Nets in Manufacturing Systems. Electronics 2021, 10, 2305. [Google Scholar] [CrossRef]
- Gaucherel, C.; Pommereau, F. Using discrete systems to exhaustively characterize the dynamics of an integrated ecosystem. Methods Ecol. Evol. 2019, 10, 1615–1627. [Google Scholar] [CrossRef]
- Koch, I. Petri nets—A mathematical formalism to analyze chemical reaction networks. Mol. Inform. 2010, 29, 838–843. [Google Scholar] [CrossRef]
- Mailland, D.; Grobelna, I. A Novel Approach to the Collatz Conjecture with Petri Nets. Information 2025, 16, 745. [Google Scholar] [CrossRef]
- Mailland, D.; Grobelna, I. From Mathematics to Art: Modelling the Pascal’s Triangle with Petri Nets. Symmetry 2025, 17, 2181. [Google Scholar] [CrossRef]
- Nazish, M.; Banday, M.T. A novel fibonacci-sequence-based chaotification model for enhancing chaos in one-dimensional maps. IEEE Internet Things J. 2024, 24, 40268–40277. [Google Scholar] [CrossRef]
- Sun, J.; Du, S.; Alexandris, C.; Du, J. Towards the Data Analysis of Fibonacci Sequence During SSE 50ETF Options Trading in China. In Proceedings of the International Conference on Human-Computer Interaction, Gothenburg, Sweden, 22–27 June 2025; Springer: Berlin/Heidelberg, Germany, 2025; pp. 298–313. [Google Scholar] [CrossRef]
- Wang, T.; Selmi, B.; Li, Z. The descriptive set theoretic properties of multifractal topological entropy and its applications. Chaos Solitons Fractals 2025, 200, 117058. [Google Scholar] [CrossRef]
- Li, Z.; Selmi, B.; Zyoudi, H. A comprehensive approach to multifractal analysis. Expo. Math. 2025, 43, 125690. [Google Scholar] [CrossRef]
- Osseweijer, Z.F.; Eek, L.; Moustaj, A.; Fremling, M.; Morais Smith, C. Haldane model on the Sierpiński gasket. Phys. Rev. B 2024, 110, 245405. [Google Scholar] [CrossRef]
- iCasas, F.; Pau, M.C.; Casanovas, J. Representing Fibonacci function through cellular automata using Specification and Description Language. In Proceedings of the 2010 Summer Simulation Multiconference, Ottawa, ON, Canada, 11–14 July 2010. [Google Scholar]
- Claussen, J.C. Time evolution of the rule 150 cellular automaton activity from a Fibonacci iteration. J. Math. Phys. 2008, 49, 062701. [Google Scholar] [CrossRef]
- Kamikawa, N.; Umeo, H. A design of algorithms for real-time generation of linear-recursive sequences on cellular automata. In Proceedings of the 14th International Symposium on Artificial Life and Robotics, Beppu, Japan, 5–7 February 2009; pp. 281–286. [Google Scholar]
- Zarezadeh, Z. Cellular automaton-based pseudorandom number generator. Complex Syst. 2017, 26, 373–389. [Google Scholar] [CrossRef]
- Davidrajuh, R. Colored Petri Nets for Modeling of Discrete Systems; Springer: Singapore, 2023. [Google Scholar] [CrossRef]
- Van Der Aalst, W.M. Learning Colored Petri Nets Using Object-Centric Event Data (OCED2CPN). In Proceedings of the 2023 7th IEEE Congress on Information Science and Technology (CiSt), Agadir-Essaouira, Morocco, 16–22 December 2023; IEEE: New York, NY, USA, 2023; pp. 1–6. [Google Scholar] [CrossRef]
- Petri, C.A. Kommunikation mit Automaten; Institut für Instrumentelle Mathematik, Universität Bonn: Bonn, Germany, 1962. [Google Scholar]
- Moser, B.A. A novel Fibonacci pattern in Pascal’s triangle. arXiv 2018, arXiv:1811.02085. [Google Scholar] [CrossRef]
- Kimberling, C. Pascal, Fibonacci, and Sierpiński. Fibonacci Q. 1997, 35, 314–319. [Google Scholar]
- Hosoya, H. Fibonacci Triangle. Fibonacci Q. 1972, 10, 173–183. [Google Scholar] [CrossRef]
- Lucas, É. Théorie des Fonctions Numériques Simplement Périodiques. Am. J. Math. 1878, 1, 184–240. [Google Scholar] [CrossRef]
- Wilson, B. The Fibonacci Triangle Modulo p. Fibonacci Q. 1998, 36, 194–203. [Google Scholar] [CrossRef]
- Debellevue, M.; Kryuchkova, E. Fractal Behavior of the Fibonomial Triangle Modulo Prime p, Where the Rank of Apparition of p Is p+1. Fibonacci Q. 2018, 56, 113–120. [Google Scholar] [CrossRef]
- Southwick, J. A Conjecture concerning the Fibonomial Triangle. arXiv 2016, arXiv:1604.04775. [Google Scholar] [CrossRef]
- Taylor, T. Using Triangle Sierpinski Relatives to Visualize Subgroups of the Symmetries of the Square. In Proceedings of the Bridges 2023: Mathematics, Art, Music, Architecture, Education, Culture, Halifax, NS, Canada, 27–31 July 2023; Bridges Organization: Kansas, MO, USA, 2023; pp. 141–148. [Google Scholar]







Disclaimer/Publisher’s Note: The statements, opinions and data contained in all publications are solely those of the individual author(s) and contributor(s) and not of MDPI and/or the editor(s). MDPI and/or the editor(s) disclaim responsibility for any injury to people or property resulting from any ideas, methods, instructions or products referred to in the content. |
© 2026 by the authors. Licensee MDPI, Basel, Switzerland. This article is an open access article distributed under the terms and conditions of the Creative Commons Attribution (CC BY) license.
Share and Cite
Mailland, D.; Grobelna, I. From Mathematics to Art: A Petri Net Representation of the Fibonacci Sequence and Its Fractal Geometry. Fractal Fract. 2026, 10, 53. https://doi.org/10.3390/fractalfract10010053
Mailland D, Grobelna I. From Mathematics to Art: A Petri Net Representation of the Fibonacci Sequence and Its Fractal Geometry. Fractal and Fractional. 2026; 10(1):53. https://doi.org/10.3390/fractalfract10010053
Chicago/Turabian StyleMailland, David, and Iwona Grobelna. 2026. "From Mathematics to Art: A Petri Net Representation of the Fibonacci Sequence and Its Fractal Geometry" Fractal and Fractional 10, no. 1: 53. https://doi.org/10.3390/fractalfract10010053
APA StyleMailland, D., & Grobelna, I. (2026). From Mathematics to Art: A Petri Net Representation of the Fibonacci Sequence and Its Fractal Geometry. Fractal and Fractional, 10(1), 53. https://doi.org/10.3390/fractalfract10010053


