Sign in to use this feature.

Years

Between: -

Subjects

remove_circle_outline
remove_circle_outline
remove_circle_outline
remove_circle_outline
remove_circle_outline
remove_circle_outline
remove_circle_outline
remove_circle_outline
remove_circle_outline

Journals

Article Types

Countries / Regions

Search Results (324)

Search Parameters:
Keywords = Samsung Electronics

Order results
Result details
Results per page
Select all
Export citation of selected articles as:
14 pages, 9751 KB  
Article
Improving the Efficiency of a 10 MHz Voltage Regulator Using a PCB-Embedded Inductor
by GiWon Kim, Jisoo Hwang and SoYoung Kim
Electronics 2025, 14(18), 3732; https://doi.org/10.3390/electronics14183732 - 21 Sep 2025
Viewed by 349
Abstract
This study presents the design and experimental evaluation of a 10 MHz voltage regulator module (VRM) that incorporates a solenoid inductor embedded within a printed circuit board (PCB). To verify the performance of the inductor, a test PCB was fabricated and characterized using [...] Read more.
This study presents the design and experimental evaluation of a 10 MHz voltage regulator module (VRM) that incorporates a solenoid inductor embedded within a printed circuit board (PCB). To verify the performance of the inductor, a test PCB was fabricated and characterized using a vector network analyzer (VNA), with measurement data processed through 2x-thru de-embedding technique. A 10 MHz VRM was then implemented to assess the impact of the embedded inductor on system efficiency. Comparative measurements were conducted between two VRMs—one employing a surface-mounted (SMT) inductor and the other a PCB-embedded inductor. The SMT-based system achieved a peak efficiency of 65.24% at a load current of 800 mA, whereas the PCB-embedded inductor version reached 70.43% at 900 mA, reflecting an improvement of 5.19%. The VRM with an embedded inductor experienced less efficiency degradation under heavy load conditions, demonstrating superior energy delivery stability. These findings confirm the practical benefits of integrating solenoid inductors within a PCB for high-frequency, high-efficiency power conversion. Full article
Show Figures

Figure 1

18 pages, 13021 KB  
Article
EMPhone: Electromagnetic Covert Channel via Silent Audio Playback on Smartphones
by Yongjae Kim, Hyeonjun An and Dong-Guk Han
Sensors 2025, 25(18), 5900; https://doi.org/10.3390/s25185900 - 21 Sep 2025
Viewed by 455
Abstract
Covert channels enable hidden communication that poses significant security risks, particularly when smartphones are used as transmitters. This paper presents the first end-to-end implementation and evaluation of an electromagnetic (EM) covert channel on modern Samsung Galaxy S21, S22, and S23 smartphones (Samsung Electronics [...] Read more.
Covert channels enable hidden communication that poses significant security risks, particularly when smartphones are used as transmitters. This paper presents the first end-to-end implementation and evaluation of an electromagnetic (EM) covert channel on modern Samsung Galaxy S21, S22, and S23 smartphones (Samsung Electronics Co., Ltd., Suwon, Republic of Korea). We first demonstrate that a previously proposed method relying on zero-volume playback is no longer effective on these devices. Through a detailed analysis of EM emissions in the 0.1–2.5 MHz range, we discovered that consistent, volume-independent signals can be generated by exploiting the hardware’s recovery delay after silent audio playback. Based on these findings, we developed a complete system comprising a stealthy Android application for transmission, a time-based modulation scheme, and a demodulation technique designed around the characteristics of the generated signals to ensure reliable reception. The channel’s reliability and robustness were validated through evaluations of modulation time, probe distance, and message length. Experimental results show that the maximum error-free bit rate (bits per second, bps) reached 0.558 bps on Galaxy S21 and 0.772 bps on Galaxy S22 and Galaxy S23. Reliable communication was feasible up to 0.5 cm with a near-field probe, and a low alignment-aware bit error rate (BER) was maintained even for 100-byte messages. This work establishes a practical threat, and we conclude by proposing countermeasures to mitigate this vulnerability. Full article
(This article belongs to the Section Electronic Sensors)
Show Figures

Figure 1

11 pages, 2291 KB  
Article
Transparent and Fine Film Stencils with Functional Coating for Advanced Surface Mount Technology
by Byoung-Hoon Kang, Wonsoon Park, Kyungjun Park, Hunjoong Lee, Junjong Yoo, Namsun Park and Chulyong Jung
Micromachines 2025, 16(9), 969; https://doi.org/10.3390/mi16090969 - 22 Aug 2025
Viewed by 589
Abstract
Technological advancements for the miniaturization of electronic components highlight a critical role of thin and durable stencils in advanced surface mount technology. Here, we report a transparent and fine film stencil consisting of a clear polyimide film and a functional diamond-like carbon coating [...] Read more.
Technological advancements for the miniaturization of electronic components highlight a critical role of thin and durable stencils in advanced surface mount technology. Here, we report a transparent and fine film stencil consisting of a clear polyimide film and a functional diamond-like carbon coating layer for the fine-pitch surface mount technology process. High-quality and burr-free apertures in the thin film result from the thermally stable laser-cut process using a repetitive and low-power irradiation of nanosecond pulse laser, enhancing the printing accuracy of solder paste with fewer solder joint defects. The carbon coating layer with an electrostatic discharge composition facilitates smooth and robust surfaces and sidewalls of the apertures for the high solder paste release and high mechanical durability of the fine film stencil. The low-cost and easy fabrication of the fine film stencil accelerates the potential industrial replacement of the conventional metal stencils at a reduced thickness and further open a new opportunity for the mass production of the fine-pitch surface mount technology process. Full article
(This article belongs to the Special Issue Microfabrication and Nanotechnology in Manufacturing Systems)
Show Figures

Figure 1

16 pages, 711 KB  
Article
Investigating the Association Between Central Sensitization and Breathing Pattern Disorders
by Hyunmo Lim, Yongwook Lee, Yechan Cha, Juhee Hwang, Hyojung Han, Huijin Lee, Jaeho Yang, Woobin Jeong, Yujin Lim, Donggeun Lee and Hyunjoong Kim
Biomedicines 2025, 13(8), 1982; https://doi.org/10.3390/biomedicines13081982 - 15 Aug 2025
Viewed by 1577
Abstract
Background/Objectives: Central sensitization (CS) is identified as a cause of pain in various musculoskeletal diseases, and breathing pattern disorders (BPDs) are reported to be correlated with chronic pain. This study aimed to analyze the relationship between CS and BPDs through regression analysis. Methods: [...] Read more.
Background/Objectives: Central sensitization (CS) is identified as a cause of pain in various musculoskeletal diseases, and breathing pattern disorders (BPDs) are reported to be correlated with chronic pain. This study aimed to analyze the relationship between CS and BPDs through regression analysis. Methods: A cross-sectional study was designed according to the strengthening the reporting of observational studies in epidemiology (STROBE) guidelines. Forty participants with moderate to extreme CS (central sensitization inventory for Koreans; CSI-K ≥ 40) were enrolled, and their respiratory motion (manual assessment of respiratory motion; MARM), respiratory function (self-evaluation of breathing questionnaire; SEBQ), respiratory muscle strength (maximal inspiratory pressure; MIP, maximal expiratory pressure; MEP), pain intensity (numeric pain rating scale; NPRS), pain cognition (Korean version of pain catastrophizing scale; K-PCS), muscle tone and stiffness were measured. Results: Among participants with moderate to extreme CS, 82.5% showed BPDs and 42.5% reported severe pain intensity. Regression analysis revealed significant relationships between respiratory and pain variables. K-PCS demonstrated significant negative relationships with MARM area (β = −0.437, R2 = 0.191) and positive relationships with SEBQ (β = 0.528, R2 = 0.279). In the subgroup with BPDs, strong regression relationships were found between MARM area and NPRS usual pain (β = −0.486, R2 = 0.237) and K-PCS (β = −0.605, R2 = 0.366). Multiple regression analysis showed that MARM area and SEBQ together explained 41.2% of variance in pain catastrophizing. The comprehensive muscle stiffness prediction model using CSI-K, K-PCS, and muscle tone showed remarkably high explanatory power (R2 = 0.978). Conclusions: In individuals with moderate to extreme CS, respiratory dysfunction was prevalent and significantly predictable through regression models with pain intensity and pain cognition. These quantitative regression relationships between breathing mechanics, pain measures, and muscle properties provide clinical prediction tools and suggest the importance of assessing breathing patterns in CS management. Full article
(This article belongs to the Section Molecular and Translational Medicine)
Show Figures

Figure 1

12 pages, 2884 KB  
Article
High-Detectivity Organic Photodetector with InP Quantum Dots in PTB7-Th:PC71BM Ternary Bulk Heterojunction
by Eunki Baek, Sung-Yoon Joe, Hyunbum Kang, Chanho Jeong, Hyunjong Lee, Insung Choi, Sohee Kim, Sangjun Park, Dongwook Kim, Jaehoon Park, Jae-Hyeon Ko, Gae Hwang Lee and Youngjun Yun
Polymers 2025, 17(16), 2214; https://doi.org/10.3390/polym17162214 - 13 Aug 2025
Viewed by 939
Abstract
Organic photodetectors (OPDs) offer considerable promise for low-power, solution-processable biosensing and imaging applications; however, their performance remains limited by spectral mismatch and interfacial trap states. In this study, a highly sensitive polymer photodiode was developed via trace incorporation (0.8 wt%) of InP/ZnSe/ZnS quantum [...] Read more.
Organic photodetectors (OPDs) offer considerable promise for low-power, solution-processable biosensing and imaging applications; however, their performance remains limited by spectral mismatch and interfacial trap states. In this study, a highly sensitive polymer photodiode was developed via trace incorporation (0.8 wt%) of InP/ZnSe/ZnS quantum dots (QDs) into a PTB7-Th:PC71BM bulk heterojunction (BHJ) matrix. This QD doping approach enhanced the external quantum efficiency (EQE) across the 540–660 nm range and suppressed the dark current density at −2 V by passivating interface trap states. Despite a slight decrease in optical absorption at the optimized composition, the internal quantum efficiency (IQE) increased significantly from ~80% to nearly 95% resulting in a net EQE improvement. This suggests that QD incorporation improved charge transport without compromising charge separation efficiency. As a result, the device achieved a specific detectivity (D*) of 1.8 × 1013 Jones, representing a 93% improvement over binary BHJs, along with an ultra-low dark current density of 7.76 × 10−10 A/cm2. Excessive QD loading, however, led to optical losses and increased dark current, underscoring the need for precise compositional control. Furthermore, the enhanced detectivity led to a 4 dB improvement in the signal-to-noise ratio (SNR) of photoplethysmography (PPG) signals in the target wavelength range, enabling more reliable biophotonic sensing without increased power consumption. This work demonstrates that QD-based spectral and interfacial engineering offers an effective and scalable route for advancing the performance of OPDs, with broad applicability to low-power biosensors and high-resolution polymer–QD imaging systems. Full article
(This article belongs to the Special Issue Polymer Semiconductors for Flexible Electronics)
Show Figures

Graphical abstract

15 pages, 2458 KB  
Article
Removal of Metal Ions in Spin-on Hardmask Using Functionalized Porous Silica Adsorbents
by Won Kim, Kiseok Lee, Hyosik Kim, Mingi Choi, Suk-Koo Hong and Ji Eun Lee
Appl. Sci. 2025, 15(13), 7185; https://doi.org/10.3390/app15137185 - 26 Jun 2025
Viewed by 474
Abstract
The ongoing miniaturization of semiconductor devices necessitates continuous advancements in lithographic processes, which are critical for high-precision circuit formation. To prevent substrate damage during the etching step, a spin-on hardmask (SOH) layer is often introduced between the photoresist (PR) and the substrate. However, [...] Read more.
The ongoing miniaturization of semiconductor devices necessitates continuous advancements in lithographic processes, which are critical for high-precision circuit formation. To prevent substrate damage during the etching step, a spin-on hardmask (SOH) layer is often introduced between the photoresist (PR) and the substrate. However, residual metal ions in SOH solutions can adversely affect integrated circuit performance, underscoring the need for efficient and chemically compatible removal strategies. This study investigates the adsorption of metal ions (Al3+, Cr3+, Cu2+, Fe3+, Ni2+, and Ti4+) from SOH solutions using mesoporous silica materials—MCM-41 and SBA-15—functionalized with various groups (–OH, –NH2, –SH, and –CH3). Adsorption performance was evaluated under solvent-only, monomer-containing, and polymer-containing conditions. Among the tested materials, amine-functionalized mesoporous silica exhibited the highest adsorption efficiency, with SBA-15-NH2 showing relatively effective and uniform performance in polymer-containing systems. Isotherm analysis supported a monolayer chemical adsorption mechanism, suggesting the significance of surface functional groups in the adsorption process. These findings demonstrate the potential of functionalized mesoporous silica as a promising candidate for trace metal ion removal in semiconductor manufacturing, offering enhanced yield and improved process reliability. Full article
Show Figures

Figure 1

23 pages, 4580 KB  
Article
Integrated Cascade Control and Gaussian Process Regression–Based Fault Detection for Roll-to-Roll Textile Systems
by Ahmed Neaz, Eun Ha Lee, Mitul Asif Noman, Kwanghyun Cho and Kanghyun Nam
Machines 2025, 13(7), 548; https://doi.org/10.3390/machines13070548 - 24 Jun 2025
Viewed by 519
Abstract
Roll-to-roll (R2R) manufacturing processes demand precise control of web or yarn velocity and tension, alongside robust mechanisms for handling system failures. This paper presents an integrated approach combining high-performance control with reliable fault detection for an experimental R2R system. A model-based cascade control [...] Read more.
Roll-to-roll (R2R) manufacturing processes demand precise control of web or yarn velocity and tension, alongside robust mechanisms for handling system failures. This paper presents an integrated approach combining high-performance control with reliable fault detection for an experimental R2R system. A model-based cascade control strategy is designed, incorporating system identification, radius compensation for varying roll diameters, and a Kalman filter to mitigate load sensor noise, ensuring accurate regulation of yarn velocity and tension under normal operating conditions. In parallel, a data-driven fault detection layer uses Gaussian Process Regression (GPR) models, trained offline on healthy operating data, to predict yarn tension and motor speeds. During operation, discrepancies between measured and GPR-predicted values that exceed predefined thresholds trigger an immediate shutdown of the system, preventing material loss and equipment damage. Experimental trials demonstrate tension regulation within ±0.02 N and velocity errors below ±5 rad/s across varying roll diameters, while yarn-break and motor-fault scenarios are detected within a single sampling interval (<100 milliseconds) with zero false alarms. This study validates the integrated system’s capability to enhance both the operational precision and resilience of R2R processes against critical failures. Full article
Show Figures

Figure 1

33 pages, 5057 KB  
Article
Exploring Preferential Ring-Based Gesture Interaction Across 2D Screen and Spatial Interface Environments
by Hoon Yoon, Hojeong Im, Seonha Chung and Taeha Yi
Appl. Sci. 2025, 15(12), 6879; https://doi.org/10.3390/app15126879 - 18 Jun 2025
Viewed by 1280
Abstract
As gesture-based interactions expand across traditional 2D screens and immersive XR platforms, designing intuitive input modalities tailored to specific contexts becomes increasingly essential. This study explores how users cognitively and experientially engage with gesture-based interactions in two distinct environments: a lean-back 2D television [...] Read more.
As gesture-based interactions expand across traditional 2D screens and immersive XR platforms, designing intuitive input modalities tailored to specific contexts becomes increasingly essential. This study explores how users cognitively and experientially engage with gesture-based interactions in two distinct environments: a lean-back 2D television interface and an immersive XR spatial environment. A within-subject experimental design was employed, utilizing a gesture-recognizable smart ring to perform tasks using three gesture modalities: (a) Surface-Touch gesture, (b) mid-air gesture, and (c) micro finger-touch gesture. The results revealed clear, context-dependent user preferences; Surface-Touch gestures were preferred in the 2D context due to their controlled and pragmatic nature, whereas mid-air gestures were favored in the XR context for their immersive, intuitive qualities. Interestingly, longer gesture execution times did not consistently reduce user satisfaction, indicating that compatibility between the gesture modality and the interaction environment matters more than efficiency alone. This study concludes that successful gesture-based interface design must carefully consider the contextual alignment, highlighting the nuanced interplay among user expectations, environmental context, and gesture modality. Consequently, these findings provide practical considerations for designing Natural User Interfaces (NUIs) for various interaction contexts. Full article
Show Figures

Figure 1

10 pages, 6226 KB  
Article
8-W 2-Stage GaN Doherty Power Amplifier Module on 7 × 7 QFN for the 5G N78 Band
by Sooncheol Bae, Kuhyeon Kwon, Hyeongjin Jeon, Young Chan Choi, Soohyun Bin, Kyungdong Bae, Hyunuk Kang, Woojin Choi, Youngyun Woo and Youngoo Yang
Electronics 2025, 14(12), 2398; https://doi.org/10.3390/electronics14122398 - 12 Jun 2025
Viewed by 754
Abstract
This paper presents a 2-stage GaN Doherty power amplifier module (DPAM) on a compact 7×7 quad flat no-lead (QFN) package, designed for the needs of 5G massive MIMO base transceiver systems. The interstage and input matching networks employ high-quality factor integrated [...] Read more.
This paper presents a 2-stage GaN Doherty power amplifier module (DPAM) on a compact 7×7 quad flat no-lead (QFN) package, designed for the needs of 5G massive MIMO base transceiver systems. The interstage and input matching networks employ high-quality factor integrated passive devices (IPDs) to achieve a small form factor. This multi-chip module consists of three GaN-HEMT bare dies used for the driver stage, carrier amplifier, and peaking amplifier. Additionally, two IPD dies are included for the interstage and input matching networks. The external load network is developed using a printed circuit board (PCB). Utilizing a 5G NR signal of 100 MHz bandwidth and a 9.3 dB PAPR within the 3.4–3.8 GHz band, the developed DPAM demonstrated a power gain exceeding 26.8 dB and a power-added efficiency (PAE) greater than 37.8% at a 39 dBm average output power. Full article
Show Figures

Figure 1

10 pages, 28452 KB  
Article
Highly Linear 2.6 GHz Band InGaP/GaAs HBT Power Amplifier IC Using a Dynamic Predistorter
by Hyeongjin Jeon, Jaekyung Shin, Woojin Choi, Sooncheol Bae, Kyungdong Bae, Soohyun Bin, Sangyeop Kim, Yunhyung Ju, Minseok Ahn, Gyuhyeon Mun, Keum Cheol Hwang, Kang-Yoon Lee and Youngoo Yang
Electronics 2025, 14(11), 2300; https://doi.org/10.3390/electronics14112300 - 5 Jun 2025
Viewed by 665
Abstract
This paper presents a highly linear two-stage InGaP/GaAs power amplifier integrated circuit (PAIC) using a dynamic predistorter for 5G small-cell applications. The proposed predistorter, based on a diode-connected transistor, utilizes a supply voltage to accurately control the linearization characteristics by adjusting its dc [...] Read more.
This paper presents a highly linear two-stage InGaP/GaAs power amplifier integrated circuit (PAIC) using a dynamic predistorter for 5G small-cell applications. The proposed predistorter, based on a diode-connected transistor, utilizes a supply voltage to accurately control the linearization characteristics by adjusting its dc current. It is connected in parallel with an inter-stage of the two-stage PAIC through a series configuration of a resistor and an inductor, and features a shunt capacitor at the base of the transistor. These passive components have been optimized to enhance the linearization performance by managing the RF signal’s coupling to the diode. Using these optimized components, the AM−AM and AM−PM nonlinearities arising from the nonlinear resistance and capacitance in the diode can be effectively used to significantly flatten the AM−AM and AM−PM characteristics of the PAIC. The proposed predistorter was applied to the 2.6 GHz two-stage InGaP/GaAs HBT PAIC. The IC was tested using a 5 × 5 mm2 module package based on a four-layer laminate. The load network was implemented off-chip on the laminate. By employing a continuous-wave (CW) signal, the AM−AM and AM−PM characteristics at 2.55–2.65 GHz were improved by approximately 0.05 dB and 3°, respectively. When utilizing the new radio (NR) signal, based on OFDM cyclic prefix (CP) with a signal bandwidth of 100 MHz and a peak-to-average power ratio (PAPR) of 9.7 dB, the power-added efficiency (PAE) reached at least 11.8%, and the average output power was no less than 24 dBm, achieving an adjacent channel leakage power ratio (ACLR) of −40.0 dBc. Full article
(This article belongs to the Section Microwave and Wireless Communications)
Show Figures

Figure 1

13 pages, 2510 KB  
Article
How to Use Redundancy for Memory Reliability: Replace or Code?
by Hyosang Ju, Dong-Hyun Kong, Kijun Lee, Myung-Kyu Lee, Sunghye Cho and Sang-Hyo Kim
Electronics 2025, 14(9), 1812; https://doi.org/10.3390/electronics14091812 - 29 Apr 2025
Viewed by 966
Abstract
Modern digital systems rely on DRAM as main memory and flash-based SSDs for storage, forming the backbone of today’s computing infrastructure. As demands for faster processing and larger data services increase, the memory subsystems have become denser, pushing technologies to their physical limits [...] Read more.
Modern digital systems rely on DRAM as main memory and flash-based SSDs for storage, forming the backbone of today’s computing infrastructure. As demands for faster processing and larger data services increase, the memory subsystems have become denser, pushing technologies to their physical limits and increasing susceptibility to faults. To ensure data integrity, two complementary approaches are employed: replacement-based techniques, which map defective cells to redundant areas, and error-correcting code (ECC) methods, which dynamically detect and correct errors. This paper theoretically investigates the most efficient use of redundancy for DRAM reliability by categorizing detects into hard faults and soft errors. Each scenario is evaluated in terms of required redundancy and residual error rate, using finite-length channel coding capacity. We compare the ECC schemes with BCH codes, which are widely favored in on-die ECC applications due to their low latency and decoding complexity. Full article
(This article belongs to the Section Circuit and Signal Processing)
Show Figures

Figure 1

16 pages, 4985 KB  
Article
Maximum Harvesting Power Algorithm in Magnetic Energy Harvester Considering Different Temperatures
by Yujun Shin and Bumjin Park
Electronics 2025, 14(6), 1085; https://doi.org/10.3390/electronics14061085 - 10 Mar 2025
Viewed by 1083
Abstract
A major challenge for practical magnetic energy harvesting (MEH) applications is achieving stable harvested power with high power density under a wide range of temperature variation. The amount of power harvested from the MEH is sensitive to ambient temperature because the characteristics of [...] Read more.
A major challenge for practical magnetic energy harvesting (MEH) applications is achieving stable harvested power with high power density under a wide range of temperature variation. The amount of power harvested from the MEH is sensitive to ambient temperature because the characteristics of the magnetic material are greatly affected by temperature. From a practical point of view, previous studies have limitations because they do not consider thermal effects at all. In this paper, a novel control algorithm form maximum harvesting power in MEH is proposed by considering dynamic changes in temperature for the first time. In order to tackle this problem, a temperature-dependent B-H curve model is proposed, which considers the effect of temperature variation on the magnetic core. This study is the first to integrate thermal effects at the design stage of MEH. Theoretical analysis using the proposed B-H curve model demonstrates that the nonlinear behavior of magnetic materials can be accurately predicted under varying temperature conditions. Based on the above analysis, it was possible to extract the maximum harvested power while predicting shifts in the magnetic saturation point across a wide temperature range. Experimental results validate the effectiveness of the proposed design method, achieving a 26.5% higher power density compared to conventional methods that neglect thermal effects. Full article
(This article belongs to the Special Issue Energy Harvesting and Energy Storage Systems, 3rd Edition)
Show Figures

Figure 1

12 pages, 3003 KB  
Article
Construction of CPW Pogo Pin Probes for RFIC Measurements
by K. M. Lee, J. S. Kim, S. Ahn, E. Park, J. Myeong and M. Kim
Sensors 2025, 25(6), 1677; https://doi.org/10.3390/s25061677 - 8 Mar 2025
Viewed by 1838
Abstract
A new radio frequency (RF) probe using pogo pin tips for integrated chip (IC) measurement up to 50 GHz is proposed. It offers high durability due to the pogo pins and meets three key design criteria for general IC measurement: (1) a 45° [...] Read more.
A new radio frequency (RF) probe using pogo pin tips for integrated chip (IC) measurement up to 50 GHz is proposed. It offers high durability due to the pogo pins and meets three key design criteria for general IC measurement: (1) a 45° tilted shape with a 70 μm tip protrusion for easy microscope inspection, (2) linear pogo pin alignment for commercial chip pad contact, and (3) a 250 μm pitch compatible with standard IC pad pitches. This design is distinct from traditional pogo pin probe cards which place pogo pins in vertical form, in a diagonal arrangement, and at wide intervals. The probe exhibits a low insertion loss of 1.6 dB at 45 GHz. A printed circuit board (PCB)-based calibration standard for the calibration of the designed probe is constructed, which is adjusted to inductance and capacitance values using a simulation to form the Vector Network Analyzer (VNA) calibration set. The measurements of a commercial amplifier IC using this probe show a nearly identical performance to commercial RF probes, confirming its accuracy and reliability. Full article
(This article belongs to the Special Issue Intelligent Circuits and Sensing Technologies: Second Edition)
Show Figures

Figure 1

19 pages, 4069 KB  
Article
Hybrid DNN-Based Flight Power Estimation Framework for Unmanned Aerial Vehicles
by Minsu Kim, Minji Kim, Yukai Chen, Jaemin Kim and Donkyu Baek
Drones 2025, 9(2), 104; https://doi.org/10.3390/drones9020104 - 31 Jan 2025
Cited by 1 | Viewed by 1052
Abstract
Unmanned Aerial Vehicles (UAVs) have been widely used in logistics and communication, though they were initially used for military purposes. However, because the motor must always be rotated, the flight range of an UAV is limited, which, in turn, restricts the scope of [...] Read more.
Unmanned Aerial Vehicles (UAVs) have been widely used in logistics and communication, though they were initially used for military purposes. However, because the motor must always be rotated, the flight range of an UAV is limited, which, in turn, restricts the scope of UAV applications. Of course, if UAV power consumption is predicted using AI, it is possible to effectively plan UAV operations by deriving optimal energy-efficient flight paths during the simulation phase. However, when using deep neural networks (DNNs) to build a UAV power consumption model, it is difficult to make accurate inferences based solely on flight velocity data. For precise predictions, random vibration acceleration data, as a result of thrust and resistance, are also required. Unfortunately, such information cannot be obtained during the simulation phase and can only be acquired through the actual flight environment. In this paper, we propose the first hybrid DNN-based power model that combines a DNN-based power consumption model and a data-driven random vibration acceleration model that derives UAV random vibration acceleration information based on flight velocity and environment. The proposed modeling framework was evaluated with flight experiments, demonstrating a 6.12% root mean squared percentage error (RMSPE), which is 39.45% more accurate when compared with a conventional DNN-only power model. In addition, we performed case studies to show that it is possible to find energy-efficient flight paths. Full article
Show Figures

Figure 1

16 pages, 2534 KB  
Article
SNR-Based Receiver-Type Decision Using Deep Learning for Multiple-Input Multiple-Output Detection
by Sanggeun Lee and Dongkyu Sim
Electronics 2025, 14(2), 335; https://doi.org/10.3390/electronics14020335 - 16 Jan 2025
Viewed by 912
Abstract
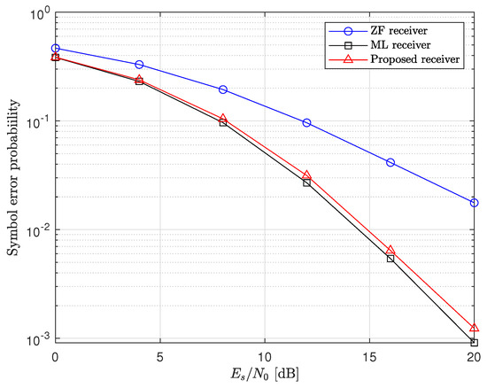
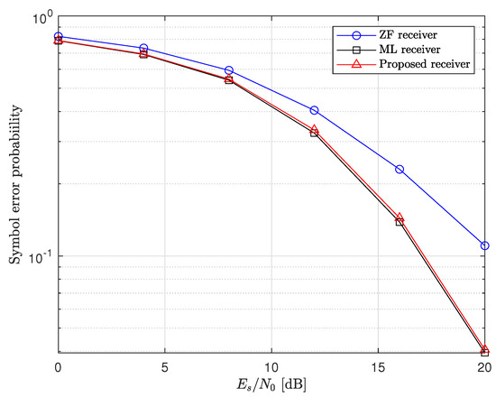
In this paper, we propose a multiple-input multiple-output receiver with deep learning. To obtain the high performance of the maximum likelihood receiver while maintaining the low computational complexity of the linear receiver, we apply a signal-to-noise ratio-based receiver-type decision method. Specifically, the criterion [...] Read more.
In this paper, we propose a multiple-input multiple-output receiver with deep learning. To obtain the high performance of the maximum likelihood receiver while maintaining the low computational complexity of the linear receiver, we apply a signal-to-noise ratio-based receiver-type decision method. Specifically, the criterion and threshold, which are based on the ratio between the symbol error probabilities of both receivers, to decide the receiver type are presented. For this, we analyze the signal-to-noise ratio gain of the zero-forcing receiver and exploit it as an input feature of the DNN. The simulation results demonstrate that the proposed receiver achieves a symbol error rate performance nearly identical to that of the maximum likelihood receiver with low computational complexity. Full article
(This article belongs to the Section Microwave and Wireless Communications)
Show Figures

Figure 1

Back to TopTop