Sign in to use this feature.

Years

Between: -

Subjects

remove_circle_outline
remove_circle_outline
remove_circle_outline
remove_circle_outline
remove_circle_outline
remove_circle_outline
remove_circle_outline
remove_circle_outline
remove_circle_outline

Journals

remove_circle_outline
remove_circle_outline
remove_circle_outline
remove_circle_outline
remove_circle_outline
remove_circle_outline
remove_circle_outline
remove_circle_outline
remove_circle_outline
remove_circle_outline
remove_circle_outline
remove_circle_outline
remove_circle_outline
remove_circle_outline
remove_circle_outline

Article Types

Countries / Regions

remove_circle_outline
remove_circle_outline
remove_circle_outline
remove_circle_outline
remove_circle_outline

Search Results (2,111)

Search Parameters:
Keywords = SHA

Order results
Result details
Results per page
Select all
Export citation of selected articles as:
19 pages, 1680 KB  
Article
An Improved DQN Framework with Dual Residual Horizontal Feature Pyramid for Autonomous Fault Diagnosis in Strong-Noise Scenarios
by Sha Li, Tong Wang, Xin Xu, Weiting Gan, Kun Chen, Xinyan Fan and Xueming Xu
Sensors 2025, 25(24), 7639; https://doi.org/10.3390/s25247639 - 16 Dec 2025
Abstract
Fault diagnosis methods based on deep learning have made certain progress in recent years. However, in actual industrial scenarios, there are severe strong background noise and limited computing resources, which poses challenges to the practical application of fault diagnosis models. In response to [...] Read more.
Fault diagnosis methods based on deep learning have made certain progress in recent years. However, in actual industrial scenarios, there are severe strong background noise and limited computing resources, which poses challenges to the practical application of fault diagnosis models. In response to the above issues, this paper proposes a novel noise-resistant and lightweight fault diagnosis framework with nonlinear timestep degenerative greedy strategy (NTDGS) and dual residual horizontal feature pyramid (DRHFPN) for fault diagnosis in strong noise scenarios. This method takes advantage of the strong fitting ability of deep learning methods to model the agent in reinforcement learning by the ways of parameterization, fully leveraging the advantages of both deep learning and reinforcement learning methods. NTDGS is further developed to adaptively adjust the action sampling strategy of the agent at different training stages, improving the convergence speed of the network. To enhance the noise resistance of the network, DRHFPN is constructed, which can filter out interference noise at the feature map level by fusing local feature details and global semantic information. Furthermore, the feature map weighting attention mechanism (FMWAM) is designed to enhance the weak feature extraction ability of the network through adaptive weighting of the feature maps. Finally, the performance of the proposed method is evaluated in different datasets and strong noise environments. Experiments show that in various fault diagnosis scenarios, the proposed method has better noise resistance, higher fault diagnosis accuracy, and fewer parameters compared to other methods. Full article
(This article belongs to the Special Issue Smart Sensors for Machine Condition Monitoring and Fault Diagnosis)
12 pages, 1227 KB  
Article
Outcomes of Liver Transplantation in Incidental Intrahepatic Cholangiocarcinoma and Combined Hepatocellular-Cholangiocarcinoma: An Exceptional Perspective from a Single-Center Experience
by Lijie Ma, Qiang Xia and Meng Sha
J. Clin. Med. 2025, 14(24), 8857; https://doi.org/10.3390/jcm14248857 - 15 Dec 2025
Abstract
Background/Objectives: Intrahepatic cholangiocarcinoma (ICC) and combined hepatocellular-cholangiocarcinoma (CHC) have historically been considered a contraindication for liver transplantation (LT) due to poor prognosis. However, incidental ICC/CHC has been reported in small amounts of patients undergoing LT. Methods: A retrospective cohort study was [...] Read more.
Background/Objectives: Intrahepatic cholangiocarcinoma (ICC) and combined hepatocellular-cholangiocarcinoma (CHC) have historically been considered a contraindication for liver transplantation (LT) due to poor prognosis. However, incidental ICC/CHC has been reported in small amounts of patients undergoing LT. Methods: A retrospective cohort study was conducted to analyze patients undergoing LT with incidental ICC/CHC at our center between January 2010 and December 2021. Results: 28 patients including 12 incidental ICCs and 16 CHCs on explant were identified. Median follow-up after LT was 63 months and 13 patients died due to tumor recurrence. The 1-, 3-, and 5-year survival rates for the whole group were 85.7%, 64.3%, and 53.3%, respectively. There was no significant difference in survival rates between the ICC and CHC groups. RFS and OS in the group with tumors less than 3 cm at 1, 3, and 5 years were 85.7%, 78.6%, and 70.7% and 92.9%, 78.6%, and 64.3%, respectively, which were significantly higher than those with tumors over 3 cm (p = 0.029 and 0.089, respectively). Additionally, patients within the Milan criteria also had a superior RFS (p = 0.032) and OS trend (p = 0.097) when compared with those beyond the Milan criteria. Conclusions: These results suggest that LT could be an option for highly selected patients with an early stage of ICC/CHC. Full article
Show Figures

Figure 1

21 pages, 1151 KB  
Article
Edge-Enabled Hybrid Encryption Framework for Secure Health Information Exchange in IoT-Based Smart Healthcare Systems
by Norjihan Abdul Ghani, Bintang Annisa Bagustari, Muneer Ahmad, Herman Tolle and Diva Kurnianingtyas
Sensors 2025, 25(24), 7583; https://doi.org/10.3390/s25247583 - 14 Dec 2025
Viewed by 57
Abstract
The integration of the Internet of Things (IoT) and edge computing is transforming healthcare by enabling real-time acquisition, processing, and exchange of sensitive patient data close to the data source. However, the distributed nature of IoT-enabled smart healthcare systems exposes them to severe [...] Read more.
The integration of the Internet of Things (IoT) and edge computing is transforming healthcare by enabling real-time acquisition, processing, and exchange of sensitive patient data close to the data source. However, the distributed nature of IoT-enabled smart healthcare systems exposes them to severe security and privacy risks during health information exchange (HIE). This study proposes an edge-enabled hybrid encryption framework that combines elliptic curve cryptography (ECC), HMAC-SHA256, and the Advanced Encryption Standard (AES) to ensure data confidentiality, integrity, and efficient computation in healthcare communication networks. The proposed model minimizes latency and reduces cloud dependency by executing encryption and verification at the network edge. It provides the first systematic comparison of hybrid encryption configurations for edge-based HIE, evaluating CPU usage, memory consumption, and scalability across varying data volumes. Experimental results demonstrate that the ECC + HMAC-SHA256 + AES configuration achieves high encryption efficiency and strong resistance to attacks while maintaining lightweight processing suitable for edge devices. This approach provides a scalable and secure solution for protecting sensitive health data in next-generation IoT-enabled smart healthcare systems. Full article
(This article belongs to the Special Issue Edge Artificial Intelligence and Data Science for IoT-Enabled Systems)
19 pages, 21643 KB  
Article
Elucidating the Molecular Network Underpinning Hypoxia Adaptation in the Liver of Silver Carp (Hypophthalmichthys molitrix) via Transcriptome Analysis
by Xiaohui Li, Long Ding, Nannan Feng, Hang Sha, Guiwei Zou and Hongwei Liang
Animals 2025, 15(24), 3577; https://doi.org/10.3390/ani15243577 - 12 Dec 2025
Viewed by 155
Abstract
The fish liver serves as a crucial metabolic organ, integral to detoxification, nutrient storage, and energy regulation, thereby playing a pivotal role in enabling organisms to adapt to environmental fluctuations. The silver carp (Hypophthalmichthys molitrix), an important species in Chinese freshwater [...] Read more.
The fish liver serves as a crucial metabolic organ, integral to detoxification, nutrient storage, and energy regulation, thereby playing a pivotal role in enabling organisms to adapt to environmental fluctuations. The silver carp (Hypophthalmichthys molitrix), an important species in Chinese freshwater aquaculture, demonstrates limited tolerance to hypoxic conditions. Nevertheless, the alterations in gene expression patterns within the liver of silver carp under hypoxic stress are not yet fully elucidated. In this study, we exposed silver carp to hypoxic conditions using a natural oxygen depletion method and utilized RNA sequencing to investigate transcriptional regulation in the liver across varying levels of hypoxic stress. We identified a total of 628 differentially expressed genes (DEGs), with 42 being common across all stress conditions. These DEGs were classified into four groups based on their expression trends and subjected to GO enrichment analysis, which revealed significant enrichment in terms associated with the endoplasmic reticulum, cell proliferation, myofibrils, and sterol metabolic processes. The KEGG enrichment analysis identified nine pathways that were consistently and significantly enriched across all stress levels, six of which encompass the maintenance of cellular homeostasis, metabolic regulation, and immune modulation. The elucidation of the molecular network associated with hypoxia adaptation in the liver of silver carp presented in this study provides crucial theoretical insights into the mechanisms underlying hypoxia tolerance in fish. Full article
(This article belongs to the Special Issue Developmental Genetics of Adaptation in Aquatic Animals)
Show Figures

Figure 1

17 pages, 1233 KB  
Review
Sulfated Hyaluronan in Dermatology: What’s New? Overview of Evidence in Specific Dermatological Diseases
by Giovanni Pellacani, Simone Michelini, Federica Trovato, Alessandra Rallo, Giuseppe Gemma, Camilla Chello, Mauro Pavan, Cristian Guarise and Alberto Giuseppe Passi
Pharmaceutics 2025, 17(12), 1600; https://doi.org/10.3390/pharmaceutics17121600 - 12 Dec 2025
Viewed by 157
Abstract
Background/Objectives: Sulfated hyaluronic acid (sHA) is a chemically modified derivative of native hyaluronic acid (HA), characterized by enhanced physicochemical stability and increased biological activity. Glycosaminoglycans (GAGs), including HA, are key regulators of skin structure, hydration, and immune homeostasis. This review aims to critically [...] Read more.
Background/Objectives: Sulfated hyaluronic acid (sHA) is a chemically modified derivative of native hyaluronic acid (HA), characterized by enhanced physicochemical stability and increased biological activity. Glycosaminoglycans (GAGs), including HA, are key regulators of skin structure, hydration, and immune homeostasis. This review aims to critically summarize current knowledge on the structural and functional properties of GAGs—particularly HA and its sulfated forms—and to explore their potential dermatological applications in skin aging and inflammatory diseases such as atopic dermatitis, psoriasis, and acne. Methods: A narrative literature review was conducted using PubMed and Scopus databases up to June 2025, including experimental, preclinical, and clinical studies investigating the biological effects, mechanisms of action, and dermatological uses of sHA compared with native HA and other HA derivatives. Results: Compared with HA, sHA demonstrates increased enzymatic resistance, higher charge density, and improved water-binding and antioxidant capacity. These properties contribute to the restoration of skin barrier function, modulation of oxidative stress and inflammation, and promotion of extracellular matrix remodeling. Preclinical evidence supports the efficacy of sHA in reducing dryness, irritation, and inflammatory responses in atopic dermatitis, psoriasis, and acne. Preliminary findings also suggest potential benefits in wound healing and skin barrier repair. Conclusions: sHA represents a promising multifunctional molecule in dermatology and cosmetology, capable of reducing inflammation and supporting tissue regeneration. However, current evidence remains limited to preliminary studies. Future controlled clinical trials are required to confirm efficacy, optimize formulations, and establish standardized treatment protocols. Full article
(This article belongs to the Special Issue Hyaluronic Acid-Based Drug Delivery Systems)
Show Figures

Graphical abstract

15 pages, 2333 KB  
Article
A High-Precision Segmentation Method for Photovoltaic Modules Integrating Transformer and Improved U-Net
by Kesheng Jin, Sha Gao, Hui Yu and Ji Zhang
Processes 2025, 13(12), 4013; https://doi.org/10.3390/pr13124013 - 11 Dec 2025
Viewed by 142
Abstract
To address the challenges of insufficient robustness and limited feature extraction in photovoltaic module image segmentation under complex scenarios, we propose a high-precision PV module segmentation model (Pv-UNet) that integrates Transformer and improved U-Net architecture. The model introduces a MultiScale Transformer in the [...] Read more.
To address the challenges of insufficient robustness and limited feature extraction in photovoltaic module image segmentation under complex scenarios, we propose a high-precision PV module segmentation model (Pv-UNet) that integrates Transformer and improved U-Net architecture. The model introduces a MultiScale Transformer in the encoding path to achieve cross-scale feature correlation and semantic enhancement, combines residual structure with dynamic channel adaptation mechanism in the DoubleConv module to improve feature transfer stability, and incorporates an Attention Gate module in the decoding path to suppress complex background interference. Experimental data were obtained from UAV visible light images of a photovoltaic power station in Yuezhe Town, Qiubei County, Yunnan Province. Compared with U-Net, BatchNorm-UNet, and Seg-UNet, Pv-UNet achieved significant improvements in IoU, Dice, and Precision metrics to 97.69%, 93.88%, and 97.99% respectively, while reducing the Loss value to 0.0393. The results demonstrate that our method offers notable advantages in both accuracy and robustness for PV module segmentation, providing technical support for automated inspection and intelligent monitoring of photovoltaic power stations. Full article
(This article belongs to the Section Environmental and Green Processes)
Show Figures

Figure 1

32 pages, 21022 KB  
Article
Impact of Coal Mining on Growth and Distribution of Sabina vulgaris Shrublands in Mu Us Sandy Land: Evidence from Multi-Temporal Gaofen-1 Remote Sensing Data
by Jia Li, Huanwei Sha, Xiaofan Gu, Gang Qiao, Shuhan Wang, Boyuan Li and Min Yang
Forests 2025, 16(12), 1849; https://doi.org/10.3390/f16121849 - 11 Dec 2025
Viewed by 87
Abstract
Sabina vulgaris is a keystone shrub species endemic to arid northwestern China, renowned for its exceptional drought tolerance, sand fixation capabilities, and critical role in desert ecosystem stability. This study investigates the impact of coal mining activities on the spatiotemporal dynamics of S. [...] Read more.
Sabina vulgaris is a keystone shrub species endemic to arid northwestern China, renowned for its exceptional drought tolerance, sand fixation capabilities, and critical role in desert ecosystem stability. This study investigates the impact of coal mining activities on the spatiotemporal dynamics of S. vulgaris shrublands in the ecologically fragile Mu Us Sandy Land, focusing on the Longde Coal Mine adjacent to the Shenmu S. vulgaris Nature Reserve. Utilizing seven periods (2013–2025) of 2 m resolution Gaofen-1 (GF-1) satellite imagery spanning 12 years of mining operations, we implemented a deep learning approach combining UAV-derived hyperspectral ground truth data and the SegU-Net semantic segmentation model to map shrub distribution via GF-1 data with high precision. Classification accuracy was rigorously validated through confusion matrix analysis (incorporating the Kappa coefficient and overall accuracy metrics). Results reveal contrasting trends: while the S. vulgaris Protection Area exhibited substantial expansion (e.g., Southern Section coverage grew from 2.6 km2 in 2013 to 7.88 km2 in 2025), mining panels experienced significant degradation. Within Panel 202, coverage declined by 15.4% (58.4 km2 to 49.5 km2), and Panel 203 showed a 18.5% decrease (3.16 km2 to 2.57 km2) over the study period. These losses correlate spatially and temporally with mining-induced groundwater depletion and land subsidence, disrupting the shrub’s shallow-root water access strategy. The study demonstrates that coal mining drives fragmentation and coverage reduction in S. vulgaris communities through mechanisms including (1) direct vegetation destruction, (2) aquifer disruption impairing drought adaptation, and (3) habitat fragmentation. These findings underscore the necessity for targeted ecological restoration strategies integrating groundwater management and progressive reclamation in mining-affected arid regions. Full article
Show Figures

Figure 1

12 pages, 853 KB  
Communication
Targeted NanoBiT Screening Identifies a Novel Interaction Between SNAPIN and Influenza A Virus M1 Protein
by Xiaoxuan Zhang, Huanhuan Wang, Conghui Zhao, Wenjun Shi, Faxin Wen, Haoxi Qiang, Sha Liu, Peilin Li, Xinhui Chen, Chunping Zhang, Jiacheng Huang, Yang Wang, Ziyi Zhang and Shujie Ma
Biology 2025, 14(12), 1770; https://doi.org/10.3390/biology14121770 - 11 Dec 2025
Viewed by 179
Abstract
Influenza A virus (IAV) poses a significant threat due to its rapid evolution through gene mutations and reassortments. Understanding host–virus protein interactions is vital for developing countermeasures. In this study, we developed a live-cell screening platform using the NanoBiT system for rapid discovery [...] Read more.
Influenza A virus (IAV) poses a significant threat due to its rapid evolution through gene mutations and reassortments. Understanding host–virus protein interactions is vital for developing countermeasures. In this study, we developed a live-cell screening platform using the NanoBiT system for rapid discovery of host–virus protein–protein interactions (PPIs). Novel interactions between the host factor SNAPIN and the viral M1, M2 and NS2 were identified using this system. We confirmed the platform’s reliability by validating the SNAPIN-M1 interaction using independent methods including co-immunoprecipitation (Co-IP) and glutathione S-transferase (GST) pull-down assays. These results demonstrate the robustness of the PPI screening system and provide a basis for studying the role of SNAPIN in regulating IAV replication. Full article
(This article belongs to the Special Issue Zoonotic Diseases)
Show Figures

Figure 1

15 pages, 4016 KB  
Article
Exploring the Genome of Bacillus mojavensis Bai2-32 Against Root Rot Disease in Lycium barbarum L.
by Yuexia Sha, Qingchao Zeng, Yanan Zhao and Bo Yang
Agronomy 2025, 15(12), 2832; https://doi.org/10.3390/agronomy15122832 - 9 Dec 2025
Viewed by 166
Abstract
The root rot of Lycium barbarum represents the most severe soil-borne disease that impedes its production. The management of this disease primarily relies on chemical agents, which pose risk to both the environment and human health. In this study, we isolated Bacillus strains [...] Read more.
The root rot of Lycium barbarum represents the most severe soil-borne disease that impedes its production. The management of this disease primarily relies on chemical agents, which pose risk to both the environment and human health. In this study, we isolated Bacillus strains as potential biological control agents. Bai2-32 exhibited the strongest antagonistic activity against all five Fusarium species and demonstrated broad-spectrum antifungal activities. Field experiments further displayed that Bai2-32 provided excellent biocontrol efficacy. To understand the possible genetic determinants for biocontrol traits, we performed genome sequencing. The genome of B. mojavensis Bai2-32 consists of a 4,055,438 bp circular chromosome with a GC content of 43.67%, containing 3986 protein-coding genes. Phylogenetic analysis of Bacillus strains, utilizing a single core-genome approach, clearly placed the strain Bai2-32 within the B. mojavensis clade. Predictive analysis revealed that the genome encoded lipopeptides such as surfactin and fengycin, in addition to several active metabolite synthesis gene clusters. The results further support the potential of B. mojavensis Bai2-32 for application in agricultural production and suggest that it may be a promising biocontrol agent for further studies. Full article
(This article belongs to the Section Pest and Disease Management)
Show Figures

Figure 1

8 pages, 837 KB  
Case Report
Successful Surgical Excision of a Chronic Abscess in a Hawksbill Turtle (Eretmochelys imbricata): A Case Report
by Da Sol Park, Hee Jun Ko, Jiho Park, Sib Sankar Giri, Mae Hyun Hwang, Jae Hong Park, Eun Jae Park and Se Chang Park
Vet. Sci. 2025, 12(12), 1172; https://doi.org/10.3390/vetsci12121172 - 9 Dec 2025
Viewed by 91
Abstract
In sea turtles, soft tissue abscesses typically present with a solid, caseous consistency and respond poorly to pharmacological treatment. A hawksbill turtle (Eretmochelys imbricata) exhibited a chronic subcutaneous mass near the cloacal region that had persisted for three years. Histopathological examination [...] Read more.
In sea turtles, soft tissue abscesses typically present with a solid, caseous consistency and respond poorly to pharmacological treatment. A hawksbill turtle (Eretmochelys imbricata) exhibited a chronic subcutaneous mass near the cloacal region that had persisted for three years. Histopathological examination confirmed the existence of an abscess composed of concentric necrotic layers and chronic inflammatory cell infiltration, with no detectable pathogens. The lesion was surgically excised under local anesthesia with a radiofrequency electrosurgical unit, minimizing bleeding and operation time. Postoperative management consisted of oral antibiotic administration to minimize handling stress. The turtle recovered uneventfully, with no complications or recurrence during the two-month follow-up period. This case highlights that chronic abscesses in sea turtles require surgical excision as the most effective therapeutic approach and provides practical insights for marine reptile medicine. Full article
Show Figures

Figure 1

20 pages, 2027 KB  
Review
The Molecular Mechanisms of Muscle–Adipose Crosstalk: Myokines, Adipokines, Lipokines and the Mediating Role of Exosomes
by An Li, Zili Zhou, Dandan Li, Peiran Sha, Hanzhuo Hu, Yaqiu Lin, Binglin Yue, Jian Li and Yan Xiong
Cells 2025, 14(24), 1954; https://doi.org/10.3390/cells14241954 - 9 Dec 2025
Viewed by 367
Abstract
Adipose tissue and skeletal muscle are the foremost energy depots and locomotor organs; they orchestrate metabolic homeostasis through the secretion of cytokines via autocrine, paracrine, and endocrine pathways. This intricate interplay is pivotal in the pathogenesis of numerous metabolic disorders, encompassing obesity and [...] Read more.
Adipose tissue and skeletal muscle are the foremost energy depots and locomotor organs; they orchestrate metabolic homeostasis through the secretion of cytokines via autocrine, paracrine, and endocrine pathways. This intricate interplay is pivotal in the pathogenesis of numerous metabolic disorders, encompassing obesity and muscle atrophy, as well as influencing meat quality in animal production. Despite its significance, unraveling the molecular mechanisms underlying muscle–adipose crosstalk remains a major challenge. Recent advancements in multi-omics technologies have facilitated the identification of a multitude of cytokines derived from adipose tissue and muscle, including adipokines, lipokines, myokines, and myogenic exosomes and adipose-derived exosomes containing various biomolecules. The functional roles of these cytokines have been elucidated through meticulous studies employing trans-well cultures and recombinant proteins. In this comprehensive review, we summarize the bidirectional roles of adipokines and myokines in key biological processes—such as muscle satellite cell differentiation, mitochondrial thermogenesis, insulin sensitivity, and lipid metabolism. By synthesizing these findings, we aim to provide novel insights into the treatment of metabolic diseases and the improvement of animal production. Full article
(This article belongs to the Section Cell Signaling)
Show Figures

Graphical abstract

18 pages, 2536 KB  
Article
The Allelopathic Inhibition of Submerged Macrophytes (Ceratophyllum demersum and Myriophyllum spicatum) in Response to Toxic and Non-Toxic Microcystis aeruginosa
by Yuanyuan Tang, Shuwen Zhang, Jing Dong, Yuanpu Sha, Guiyu Chen, Xuejun Li, Xiaofei Gao, Huatao Yuan, Jingxiao Zhang, Penghui Zhu and Yunni Gao
Microorganisms 2025, 13(12), 2797; https://doi.org/10.3390/microorganisms13122797 - 8 Dec 2025
Viewed by 149
Abstract
The present study systematically explored the purification effects and response of submerged plants, Ceratophyllum demersum and Myriophyllum spicatum, on toxic and non-toxic strains of Microcystis aeruginosa via indoor co-culture experiments. The results showed that: (1) Both plants significantly inhibited the growth of [...] Read more.
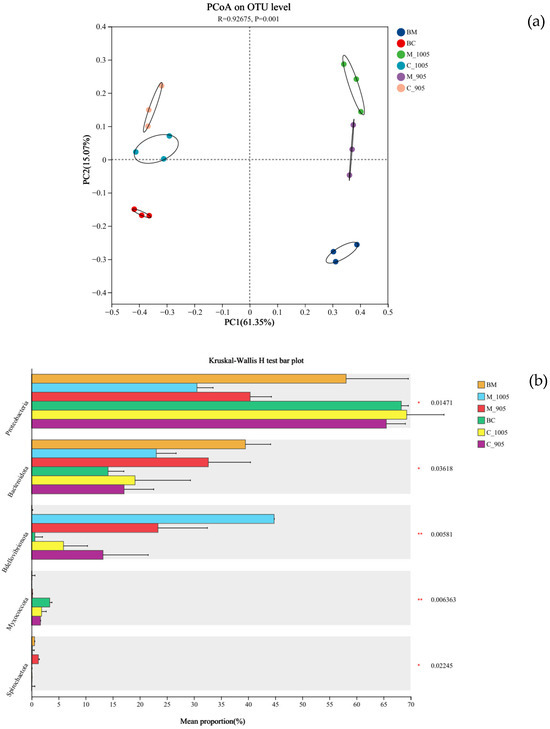
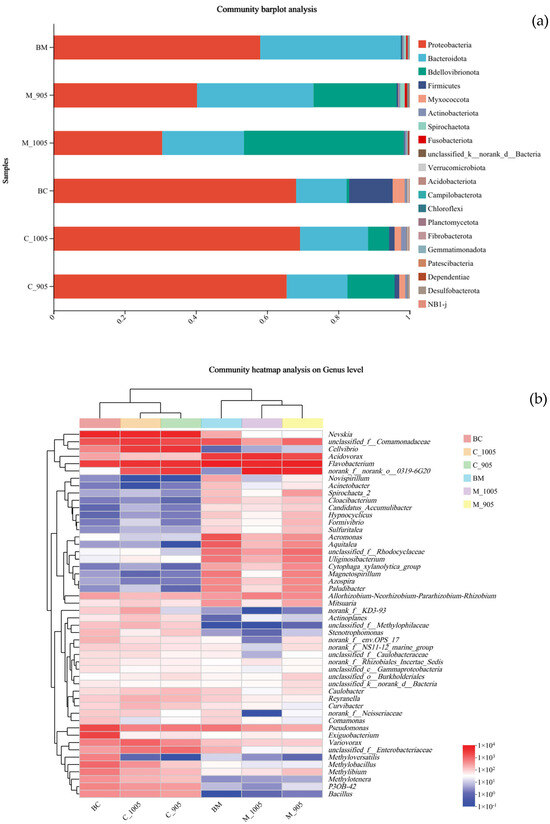
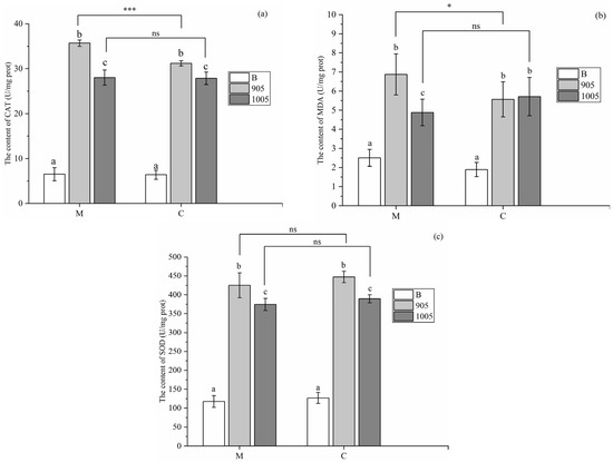
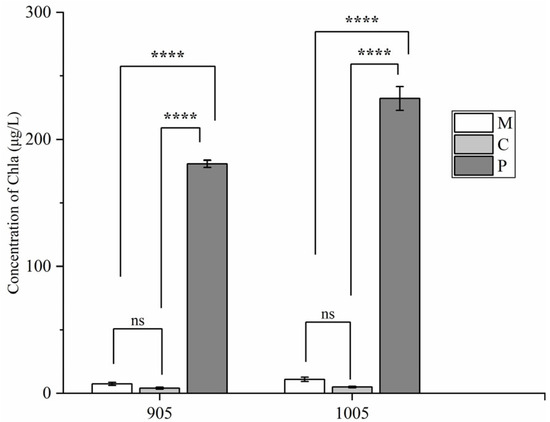
The present study systematically explored the purification effects and response of submerged plants, Ceratophyllum demersum and Myriophyllum spicatum, on toxic and non-toxic strains of Microcystis aeruginosa via indoor co-culture experiments. The results showed that: (1) Both plants significantly inhibited the growth of Microcystis and reduced the concentration of chlorophyll-a (Chla) in the water by rapidly absorbing nutrients such as nitrogen and phosphorus, with no significant differences in the inhibition between toxic and non-toxic strains, indicating that nutrient competition might be the dominant mechanism for algal suppression. (2) C. demersum had higher nitrogen and phosphorus removal efficiency than M. spicatum, but the microcystins (MCs) released by toxic M. aeruginosa inhibited the nutrient removal capacity of both plants. (3) The plants promoted cell lysis of toxic M. aeruginosa and reduced extracellular MCs in the water while accumulating MCs internally, with C. demersum showing stronger MC accumulation and removal ability. (4) Microcystis stress activated the plants’ antioxidant defense systems, increased activities of SOD (Superoxide Dismutase) and CAT (Catalase), and caused membrane lipid peroxidation, increased content of MDA (Malondialdehyde), with toxic M. aeruginosa inducing stronger oxidative stress, and M. spicatum being more severely affected. (5) Plant species and algal toxicity jointly drove changes in the attached microbial community structure. The rhizosphere of M. spicatum specifically enriched Bdellovibrionota, suggesting a potential microbial predation pathway for algal suppression, while C. demersum was more associated with Bacillus and other microbes with allelopathic potential. In summary, C. demersum performed better in nutrient removal, toxin accumulation, and physiological tolerance. This study provides further theoretical support for using submerged plants to regulate cyanobacterial blooms and remediate eutrophic water bodies. Full article
(This article belongs to the Collection Biodegradation and Environmental Microbiomes)
Show Figures

Figure 1

20 pages, 4423 KB  
Article
A Small-Molecular-Weight Bacteriocin-like Inhibitory Substance (BLIS) UI-11 Produced by Lactobacillus plantarum HYH-11 as an Antimicrobial Agent for Aeromonas hydrophila
by Yinghui He, Donghui Tang, Jiarui Lin, Jiayue Zhang, Wanli Sha and Wenlong Dong
Vet. Sci. 2025, 12(12), 1165; https://doi.org/10.3390/vetsci12121165 - 7 Dec 2025
Viewed by 144
Abstract
Aeromonas hydrophila is a typical pathogen that causes fish diseases and can easily infect different fish species. This study investigated the antibacterial activity, physicochemical properties and antibacterial mechanism of the BLIS UI-11 produced by Lactobacillus plantarum HYH-11, isolated from traditional kimchi in Hebei, [...] Read more.
Aeromonas hydrophila is a typical pathogen that causes fish diseases and can easily infect different fish species. This study investigated the antibacterial activity, physicochemical properties and antibacterial mechanism of the BLIS UI-11 produced by Lactobacillus plantarum HYH-11, isolated from traditional kimchi in Hebei, China. It was found that BLIS UI-11 showed excellent inhibitory effect on the growth of A. hydrophila, and it also had a good antibacterial effect on various pathogens such as Vagococcus fluvialis, Listeria monocytogenes, Aeromonas dhakensis, Aeromonas salmonicida, Salmonella Typhimurium, Escherichia coli and Staphylococcus aureus. By measuring growth kinetics, it was found that the maximum antibacterial activity was reached after 30 h of culture, and both the optical density value at 600 nm (OD600) and pH basically entered the stable phase after 20 h. Whole-genome analysis and gene cluster prediction identified a RiPP-like biosynthetic gene cluster, which comprises genes encoding precursor peptides, modification enzymes, and transport/immunity components. The molecular weight of the antimicrobial active substance was detected by dialysis and Tricine-SDS-PAGE, and it was shown to be an ultra-small molecular substance (<1 kDa). BLIS UI-11 was sensitive to protease K, but its antibacterial activity remained stable after treatment with acidic environment (pH 3.0–6.0), high-temperature treatment (121 °C for 30 min), and ultraviolet irradiation (4 h). After the sub-live cell assay (PI/SYTO9) and scanning electron microscopy (SEM), BLIS UI-11 inhibited the growth of bacteria by destroying the cell membrane of A. hydrophila to deform, collapse, and form holes that lead to accounting leakage. The hemolysis assay indicated that BLIS UI-11 exhibited incomplete hemolysis, suggesting its safety for application. The results showed that BLIS UI-11 produced by strain HYH-11 has great potential as an antimicrobial agent against A. hydrophila infection. Full article
(This article belongs to the Special Issue Advances in Zoo, Aquatic, and Wild Animal Medicine)
Show Figures

Figure 1

33 pages, 11428 KB  
Article
Two-Dimensional Coupling-Enhanced Cubic Hyperchaotic Map with Exponential Parameters: Construction, Analysis, and Application in Hierarchical Significance-Aware Multi-Image Encryption
by Wei Feng, Zixian Tang, Xiangyu Zhao, Zhentao Qin, Yao Chen, Bo Cai, Zhengguo Zhu, Kun Qian and Heping Wen
Axioms 2025, 14(12), 901; https://doi.org/10.3390/axioms14120901 - 6 Dec 2025
Viewed by 155
Abstract
As digital images proliferate across open networks, securing them against unauthorized access has become imperative. However, many recent image encryption algorithms are limited by weak chaotic dynamics and inadequate cryptographic design. To overcome these, we propose a new 2D coupling-enhanced cubic hyperchaotic map [...] Read more.
As digital images proliferate across open networks, securing them against unauthorized access has become imperative. However, many recent image encryption algorithms are limited by weak chaotic dynamics and inadequate cryptographic design. To overcome these, we propose a new 2D coupling-enhanced cubic hyperchaotic map with exponential parameters (2D-CCHM-EP). By incorporating exponential terms and strengthening interdependence among state variables, the 2D-CCHM-EP exhibits strict local expansiveness, effectively suppresses periodic windows, and achieves robust hyperchaotic behavior, validated both theoretically and numerically. It outperforms several recent chaotic maps in key metrics, yielding significantly higher Lyapunov exponents and Kolmogorov–Sinai entropy, and passes all NIST SP 800-22 randomness tests. Leveraging the 2D-CCHM-EP, we further develop a hierarchical significance-aware multi-image encryption algorithm (MIEA-CPHS). The core of MIEA-CPHS is a hierarchical significance-aware encryption strategy that decomposes input images into high-, medium-, and low-significance layers, which undergo three, two, and one round of vector-level adaptive encryption operations. An SHA-384-based hash of the fused data dynamically generates a 48-bit adaptive control parameter, enhancing plaintext sensitivity and enabling integrity verification. Comprehensive security analyses confirm the exceptional performance of MIEA-CPHS: near-zero inter-pixel correlation (<0.0016), near-ideal Shannon entropy (>7.999), and superior plaintext sensitivity (NPCR 99.61%, UACI 33.46%). Remarkably, the hierarchical design and vectorized operations achieve an average encryption throughput of 87.6152 Mbps, striking an outstanding balance between high security and computational efficiency. This makes MIEA-CPHS highly suitable for modern high-throughput applications such as secure cloud storage and real-time media transmission. Full article
(This article belongs to the Special Issue Nonlinear Dynamical System and Its Applications)
Show Figures

Figure 1

19 pages, 2977 KB  
Article
Integrative Genomics and Multi-Tissue Transcriptomics Identify Key Loci and Pathways for Hypoxia Tolerance in Grass Carp
by Wenwen Wang, Mengyang Chang, Suxu Tan, Yiming Hu, Xinlu Ren, Hongtao Xue, Lizheng Gao, Xiao Cao, Ya Wang, Qiyu Li and Zhenxia Sha
Animals 2025, 15(24), 3518; https://doi.org/10.3390/ani15243518 - 5 Dec 2025
Viewed by 168
Abstract
Hypoxia is a critical environmental stressor in aquaculture, significantly affecting the survival and growth performance of cultured fish. To explore the genetic basis of hypoxia tolerance in grass carp (Ctenopharyngodon idella), we integrated genome-wide association analysis (GWAS) and multi-tissue transcriptome profiling. [...] Read more.
Hypoxia is a critical environmental stressor in aquaculture, significantly affecting the survival and growth performance of cultured fish. To explore the genetic basis of hypoxia tolerance in grass carp (Ctenopharyngodon idella), we integrated genome-wide association analysis (GWAS) and multi-tissue transcriptome profiling. A total of 2000 grass carp were subjected to hypoxic stress, from which the 150 most hypoxia-intolerant (HI) and 150 most hypoxia-tolerant (HT) individuals were selected based on the time to loss of equilibrium (LOE). GWAS using 3,730,919 SNPs and 851,595 InDels identified 21 SNPs and 6 InDels associated with hypoxia tolerance. Two SNPs on chromosomes 10 and 13 reached genome-wide significance, accounting for 2.7% and 4.8% of the phenotypic variance explained (PVE), respectively. Validation of identified SNPs was performed using kompetitive allele-specific PCR (KASP) analysis. Candidate genes within ±50 kb of these variants were enriched in steroid biosynthesis, insulin signaling, and glycosphingolipid biosynthesis pathways. Transcriptomic analysis of six tissues (brain, gill, intestine, kidney, liver, and spleen) revealed 1620, 1221, 796, 246, 210, and 58 differentially expressed genes (DEGs) in the HT group compared to the HI group, respectively. DEGs in the brain were primarily enriched in steroid metabolic processes and angiogenesis regulation, while those in kidney and spleen DEGs were associated with oxygen transport and erythrocyte development. Integrated analysis of GWAS and transcriptome data identified 16 shared genes, including usf1 and trpv4. These findings reveal key genomic loci and molecular pathways underlying hypoxia tolerance in grass carp, providing valuable markers for future selective breeding programs. Full article
(This article belongs to the Special Issue Advances in Research on Functional Genes and Economic Traits in Fish)
Show Figures

Figure 1

Back to TopTop