The Allelopathic Inhibition of Submerged Macrophytes (Ceratophyllum demersum and Myriophyllum spicatum) in Response to Toxic and Non-Toxic Microcystis aeruginosa
Abstract
1. Introduction
2. Materials and Methods
2.1. Experimental Materials
2.2. Experimental Design
2.3. Samples Collection and Determination
2.4. Data Analysis
3. Results
3.1. Removal of TDN and TDP by Submerged Plants
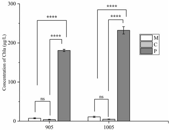
3.2. Removal of Chlorophyll a (Chl a) by Submerged Plants
3.3. Removal and Absorption of MC-LR (Microcystins-LR) by Submerged Plants
3.4. Antioxidant Response of Submerged Macrophytes to Toxic or Non-Toxic M. aeruginosa
3.5. The Response of Microorganisms to Toxic and Non-Toxic M. aeruginosa
4. Discussion
4.1. Removal Efficiency of Nutrients and Chl a Content by Submerged Plants
4.2. The Removal and Absorption of MC-LR by Submerged Macrophytes
4.3. Antioxidant Response of the Submerged Macrophytes to Toxic and Non-Toxic M. aeruginosa
4.4. Response of Attached Microorganisms of the Plants to Microcystis
Author Contributions
Funding
Institutional Review Board Statement
Informed Consent Statement
Data Availability Statement
Conflicts of Interest
References
- Paerl, H.W.; Paul, V.J. Climate change: Links to global expansion of harmful cyanobacteria. Water Res. 2012, 46, 1349–1363. [Google Scholar] [CrossRef]
- De Figueiredo, D.R.; Azeiteiro, U.M.; Esteves, S.M.; Gonalves, F.J.; Pereira, M.J. Microcystin-producing blooms-a serious global public health issue. Ecotoxicol. Environ. Saf. 2004, 59, 151–163. [Google Scholar] [CrossRef]
- Omidi, A.; Esterhuizen-Londt, M.; Pflugmacher, S. Still challenging: The ecological function of the cyanobacterial toxin microcystin—What we know so far. Toxin Rev. 2018, 37, 87–105. [Google Scholar] [CrossRef]
- Pham, T.L.; Utsumi, M. An overview of the accumulation of microcystins in aquatic ecosystems. J. Environ. Manag. 2018, 213, 520–529. [Google Scholar] [CrossRef] [PubMed]
- Park, J.; Church, J.; Son, Y.; Kim, K.T.; Lee, W.H. Recent advances in ultrasonic treatment: Challenges and field applications for controlling harmful algal blooms (HABs). Ultrason. Sonochemistry 2017, 38, 326–334. [Google Scholar] [CrossRef] [PubMed]
- Jančula, D.; Maršálek, B. Critical review of actually available chemical compounds for prevention and management of cyanobacterial blooms. Chemosphere 2011, 85, 1415–1422. [Google Scholar] [CrossRef] [PubMed]
- Bittencourt-Oliveira, M.D.C.; Chia, M.A.; Oliveira, H.S.B.D.; Araújo, M.K.C.; Molica, R.J.R.; Dias, C.T.S. Allelopathic interactions between microcystin-producing and non-microcystin-producing cyanobacteria and green microalgae: Implications for microcystins production. J. Appl. Phycol. 2015, 27, 275–284. [Google Scholar] [CrossRef]
- Amorim, C.A.; Moura, A.N. Effects of the manipulation of submerged macrophytes, large zooplankton, and nutrients on a cyanobacterial bloom: A mesocosm study in a tropical shallow reservoir. Environ. Pollut. 2020, 265, 114997. [Google Scholar] [CrossRef]
- Li, B.; Yin, Y.; Kang, L.; Feng, L.; Liu, Y.; Du, Z.; Tian, Y.; Zhang, L. A review: Application of allelochemicals in water ecological restoration—Algal inhibition. Chemosphere 2021, 267, 128869. [Google Scholar] [CrossRef]
- Wang, D.; Gan, X.; Wang, Z.; Jiang, S.; Zheng, X.; Zhao, M.; Zhang, Y.; Fan, C.; Wu, S.; Du, L. Research status on remediation of eutrophic water by submerged macrophytes: A review. Process Saf. Environ. Prot. 2023, 169, 671–684. [Google Scholar] [CrossRef]
- Blindow, I.; Hargeby, A.; Hilt, S. Facilitation of clear-water conditions in shallow lakes by macrophytes: Differences between charophyte and angiosperm dominance. Hydrobiologia 2014, 737, 99–110. [Google Scholar] [CrossRef]
- Hilt, S.; Gross, E.M. Can allelopathically active submerged macrophytes stabilise clear-water states in shallow lakes? Basic Appl. Ecol. 2008, 9, 422–432. [Google Scholar] [CrossRef]
- Zhou, Y.; Zhou, X.; Han, R.; Xu, X.; Wang, G.; Liu, X.; Bi, F.; Feng, D. Reproduction capacity of Potamogeton crispus fragments and its role in water purification and algae inhibition in eutrophic lakes. Sci. Total Environ. 2017, 580, 1421–1428. [Google Scholar] [CrossRef]
- Chao, C.; Wang, L.; Li, Y.; Yan, Z.; Liu, H.; Yu, D.; Liu, C. Response of sediment and water microbial communities to submerged vegetations restoration in a shallow eutrophic lake. Sci. Total Environ. 2021, 801, 149701. [Google Scholar] [CrossRef]
- Nakai, S.; Inoue, Y.; Hosomi, M.; Murakami, A. Myriophyllum spicatum-released allelopathic polyphenols inhibiting growth of blue-green algae Microcystis aeruginosa. Water Res. 2000, 34, 3026–3032. [Google Scholar] [CrossRef]
- Jiang, M.; Zhou, Y.; Wang, N.; Xu, L.; Zheng, Z.; Zhang, J. Allelopathic effects of harmful algal extracts and exudates on biofilms on leaves of Vallisneria natans. Sci. Total Environ. 2019, 655, 823–830. [Google Scholar] [CrossRef] [PubMed]
- Dong, J.; Dai, D.; Yang, Y.; Wang, F.; Zhang, Y.; Zhang, M.; Gao, Y.; Gao, X.; Li, X. Growth and morphological responses of Scenedesmus obliquus to submerged macrophyte Egeria densa. Aquat. Ecol. 2023, 57, 127–138. [Google Scholar] [CrossRef]
- Shao, J.; Wu, Z.; Yu, G.; Peng, X.; Li, R. Allelopathic mechanism of pyrogallol to Microcystis aeruginosa PCC7806 (Cyanobacteria): From views of gene expression and antioxidant system. Chemosphere 2009, 75, 924–928. [Google Scholar] [CrossRef]
- Zhu, J.; Liu, B.; Wang, J.; Gao, Y.; Wu, Z. Study on the mechanism of allelopathic influence on cyanobacteria and chlorophytes by submerged macrophyte (Myriophyllum spicatum) and its secretion. Aquat. Toxicol. 2010, 98, 196–203. [Google Scholar] [CrossRef]
- Xian, Q.; Chen, H.; Liu, H.; Zou, H.; Yin, D. Isolation and identification of antialgal compounds from the leaves of Vallisneria spiralis L. by activity-guided fractionation (5 pp). Environ. Sci. Pollut. Res. 2006, 13, 233–237. [Google Scholar] [CrossRef] [PubMed]
- Dong, J.; Yang, Y.; Dai, D.; Wang, F.; Zhang, Y.; Chen, Y.; Yuan, J.; Guo, C.; Zhang, M.; Gao, X.; et al. Response of submerged macrophyte Ceratophyllum demersum to the exponential phase (EP) and declining phase (DP) of toxic Microcystis aeruginosa. Hydrobiologia 2022, 849, 3581–3596. [Google Scholar] [CrossRef]
- Huang, X.F.; Chen, W.; Cai, Q. Survey, Observation and Analysis of Lake Ecosystem; China Standards Press: Beijing, China, 2000. [Google Scholar]
- Cai, Q. Protocols for Standard Observation and Measurement in Aquatic Ecosystems; Chinese Environmental Science Press: Beijing, China, 2007. [Google Scholar]
- Lichtenthaler, H.K.; Buschmann, C. Extraction of phtosynthetic tissues: Chlorophylls and carotenoids. Curr. Protoc. Food Anal. Chem. 2001, 1, F4.-2.1–F4.-2.6. [Google Scholar] [CrossRef]
- Li, Q.; Gu, P.; Zhang, C.; Luo, X.; Zhang, H.; Zhang, J.; Zheng, Z. Combined toxic effects of anatoxin-a and microcystin-LR on submerged macrophytes and biofilms. J. Hazard. Mater. 2020, 389, 122053. [Google Scholar] [CrossRef]
- Li, Q.; Gu, P.; Zhang, H.; Luo, X.; Zhang, J.; Zheng, Z. Response of submerged macrophytes and leaf biofilms to the decline phase of Microcystis aeruginosa: Antioxidant response, ultrastructure, microbial properties, and potential mechanism. Sci. Total Environ. 2020, 699, 134325. [Google Scholar] [CrossRef]
- Sha, Y.; Zhang, S.; Dong, J.; Gao, X.; Yuan, H.; Zhang, J.; Gao, Y.; Li, X. Effects of Toxic and Non-Toxic Microcystis aeruginosa on the Defense System of Ceratophyllum demersum–Scenedesmus obliquus. Microorganisms 2024, 12, 2261. [Google Scholar] [CrossRef] [PubMed]
- Zhang, S.; Sha, Y.; Tang, Y.; Li, L.; Wang, F.; Dong, J.; Li, X.; Gao, Y.; Gao, X.; Yuan, H.; et al. Laboratory-simulated inhibitory effects of the floating-bed plants on Microcystis aeruginosa and their microbial communities’ responses to microcystins. Microorganisms 2024, 12, 2035. [Google Scholar] [CrossRef] [PubMed]
- Mohamed, Z.A. Macrophytes-cyanobacteria allelopathic interactions and their implications for water resources management—A review. Limnologica 2017, 63, 122–132. [Google Scholar] [CrossRef]
- Li, W.; Zhang, Z.; Ashraf, M. Allelopathic effects of various aquatic plants in eutrophic water areas. J. Coast. Res. 2018, 82, 137–142. [Google Scholar] [CrossRef]
- Rojo, C.; Segura, M.; Cortés, F.; Rodrigo, M.A. Allelopathic effects of microcystin-LR on the germination, growth and metabolism of five charophyte species and a submerged angiosperm. Aquat. Toxicol. 2013, 144, 1–10. [Google Scholar] [CrossRef] [PubMed]
- Loise de Morais Calado, S.; Esterhuizen-Londt, M.; Cristina Silva de Assis, H.; Pflugmacher, S. Phytoremediation: Green technology for the removal of mixed contaminants of a water supply reservoir. Int. J. Phytoremediation 2019, 21, 372–379. [Google Scholar] [CrossRef]
- Dong, J.; Dai, D.; Yang, Y.; Wang, F.; Li, X.; Yuan, J.; Chen, Y.; Gao, Y.; Zhang, M.; Gao, X.; et al. Responses of submerged macrophyte Ceratophyllum demersum to the gradient concentrations of microcystin-LR (MC-LR). Environ. Sci. Pollut. Res. 2022, 29, 71257–71269. [Google Scholar] [CrossRef]
- Nene, T.; Yadav, M.; Yadav, H.S. Plant catalase in silico characterization and phylogenetic analysis with structural modeling. J. Genet. Eng. Biotechnol. 2022, 20, 125. [Google Scholar] [CrossRef]
- Kumar, A.; Prasad, A.; Sedlářová, M.; Pospíšil, P. Malondialdehyde enhances PsbP protein release during heat stress in Arabidopsis. Plant Physiol. Biochem. 2023, 202, 107984. [Google Scholar] [CrossRef] [PubMed]
- Wang, Y.; Branicky, R.; Noë, A.; Hekimi, S. Superoxide dismutases: Dual roles in controlling ROS damage and regulating ROS signaling. J. Cell Biol. 2018, 217, 1915–1928. [Google Scholar] [CrossRef] [PubMed]
- Ge, J.; Li, J.; Zhang, J.; Yang, Z. Time-dependent oxidative stress responses of submerged macrophyte Vallisneria natans seedlings exposed to ammonia in combination with microcystin under laboratory conditions. Bull. Environ. Contam. Toxicol. 2012, 89, 67–72. [Google Scholar] [CrossRef]
- Jin, J.; Gu, X.; Song, R.; Wang, X.; Yang, L. Microcystin-LR induced oxidative stress and ultrastructural alterations in mesophyll cells of submerged macrophyte Vallisneria natans (Lour.). Hara. J. Hazard. Mater. 2011, 190, 188–196. [Google Scholar]
- Liu, J.; Li, J.; Wang, X.; Zhang, Q.; Littleton, H. Rapid aerobic granulation in an SBR treating piggery wastewater by seeding sludge from a municipal WWTP. J. Environ. Sci. 2017, 51, 332–341. [Google Scholar] [CrossRef]
- Martínez-Martínez, J.G.; Rosales-Loredo, S.; Hernández-Morales, A.; Arvizu-Gómez, J.L.; Carranza-Álvarez, C.; Macías-Pérez, J.R.; Rolón-Cárdenas, G.A.; Pacheco-Aguilar, J.R. Bacterial communities associated with the roots of Typha spp. and its relationship in phytoremediation processes. Microorganisms 2023, 11, 1587. [Google Scholar] [CrossRef] [PubMed]
- Lidbury, I.D.E.; Borsetto, C.; Murphy, A.R.J.; Bottrill, A.; Jones, A.M.E.; Bending, G.D.; Hammond, J.P.; Chen, Y.; Wleeington, E.M.H.; Scanlan, D.J. Niche-adaptation in plant-associated Bacteroidetes favours specialisation in organic phosphorus mineralisation. ISME J. 2021, 15, 1040–1055. [Google Scholar] [CrossRef]
- Jones, G.J.; Orr, P.T. Release and degradation of microcystin following algicide treatment of a Microcystis aeruginosa bloom in a recreational lake, as determined by HPLC and protein phosphatase inhibition assay. Water Res. 1994, 28, 871–876. [Google Scholar] [CrossRef]
- Jin, L.; Ko, S.R.; Ahn, C.Y.; Lee, H.G.; Oh, H.M. Rhizobacter profundi sp. nov., isolated from freshwater sediment. Int. J. Syst. Evol. Microbiol. 2016, 66, 1926–1931. [Google Scholar] [CrossRef] [PubMed]









Disclaimer/Publisher’s Note: The statements, opinions and data contained in all publications are solely those of the individual author(s) and contributor(s) and not of MDPI and/or the editor(s). MDPI and/or the editor(s) disclaim responsibility for any injury to people or property resulting from any ideas, methods, instructions or products referred to in the content. |
© 2025 by the authors. Licensee MDPI, Basel, Switzerland. This article is an open access article distributed under the terms and conditions of the Creative Commons Attribution (CC BY) license (https://creativecommons.org/licenses/by/4.0/).
Share and Cite
Tang, Y.; Zhang, S.; Dong, J.; Sha, Y.; Chen, G.; Li, X.; Gao, X.; Yuan, H.; Zhang, J.; Zhu, P.; et al. The Allelopathic Inhibition of Submerged Macrophytes (Ceratophyllum demersum and Myriophyllum spicatum) in Response to Toxic and Non-Toxic Microcystis aeruginosa. Microorganisms 2025, 13, 2797. https://doi.org/10.3390/microorganisms13122797
Tang Y, Zhang S, Dong J, Sha Y, Chen G, Li X, Gao X, Yuan H, Zhang J, Zhu P, et al. The Allelopathic Inhibition of Submerged Macrophytes (Ceratophyllum demersum and Myriophyllum spicatum) in Response to Toxic and Non-Toxic Microcystis aeruginosa. Microorganisms. 2025; 13(12):2797. https://doi.org/10.3390/microorganisms13122797
Chicago/Turabian StyleTang, Yuanyuan, Shuwen Zhang, Jing Dong, Yuanpu Sha, Guiyu Chen, Xuejun Li, Xiaofei Gao, Huatao Yuan, Jingxiao Zhang, Penghui Zhu, and et al. 2025. "The Allelopathic Inhibition of Submerged Macrophytes (Ceratophyllum demersum and Myriophyllum spicatum) in Response to Toxic and Non-Toxic Microcystis aeruginosa" Microorganisms 13, no. 12: 2797. https://doi.org/10.3390/microorganisms13122797
APA StyleTang, Y., Zhang, S., Dong, J., Sha, Y., Chen, G., Li, X., Gao, X., Yuan, H., Zhang, J., Zhu, P., & Gao, Y. (2025). The Allelopathic Inhibition of Submerged Macrophytes (Ceratophyllum demersum and Myriophyllum spicatum) in Response to Toxic and Non-Toxic Microcystis aeruginosa. Microorganisms, 13(12), 2797. https://doi.org/10.3390/microorganisms13122797

