Sign in to use this feature.

Years

Between: -

Subjects

remove_circle_outline
remove_circle_outline
remove_circle_outline
remove_circle_outline
remove_circle_outline
remove_circle_outline
remove_circle_outline
remove_circle_outline
remove_circle_outline

Journals

remove_circle_outline
remove_circle_outline
remove_circle_outline
remove_circle_outline
remove_circle_outline
remove_circle_outline
remove_circle_outline
remove_circle_outline
remove_circle_outline
remove_circle_outline
remove_circle_outline
remove_circle_outline
remove_circle_outline

Article Types

Countries / Regions

remove_circle_outline
remove_circle_outline
remove_circle_outline
remove_circle_outline
remove_circle_outline

Search Results (677)

Search Parameters:
Keywords = SDG 3

Order results
Result details
Results per page
Select all
Export citation of selected articles as:
20 pages, 13507 KB  
Article
Waste Valorization and Water Remediation via Green Pd, Cu, and Pd–Cu/Hydrochar Nanocatalyst: 4-Nitrophenol Reduction, Antibacterial Activity, and Biofilm Formation
by Awal Adava Abdulsalam, Ayobamiji Charles Idowu, Sabina Khabdullina, Zhamilya Sairan, Yersain Sarbassov, Madina Pirman, Dilnaz Amrasheva, Elizabeth Arkhangelsky, Tri Thanh Pham and Stavros G. Poulopoulos
ChemEngineering 2026, 10(4), 50; https://doi.org/10.3390/chemengineering10040050 - 17 Apr 2026
Abstract
In this study, a waste-to-resource route for water remediation is presented by supporting Pd and Cu nanoparticles (NPs) on hydrochar (HC) derived from spent coffee grounds (SCG). Unlike conventional noble-metal catalysts, HC was first produced via hydrothermal carbonization of SCG, followed by a [...] Read more.
In this study, a waste-to-resource route for water remediation is presented by supporting Pd and Cu nanoparticles (NPs) on hydrochar (HC) derived from spent coffee grounds (SCG). Unlike conventional noble-metal catalysts, HC was first produced via hydrothermal carbonization of SCG, followed by a completely green, tannic acid-assisted reduction step that simultaneously deposits Pd and Cu NPs without toxic reductants or organic solvents. The resulting catalysts were evaluated for catalytic reduction of 4-nitrophenol (4-NP) and for antibacterial activity against Escherichia coli (E. coli; BL21) and Staphylococcus aureus (S. aureus), including biofilm inhibition. Among formulations, the bimetallic catalyst containing approximately equal proportions of Pd and Cu (HC@Pd0.5Cu0.5) achieved the fastest 4-NP reduction, completing the reaction in ~3 min, with an apparent first-order rate constant of 1.35 min−1 and a total turnover frequency of 483.6 h−1. Notably, Cu incorporation enhanced antibacterial performance, with the Cu-rich variant (HC@Pd0.25Cu0.75) achieving the strongest inhibition (MICs of 1.25 mg/mL against E. coli and 2.5 mg/mL against S. aureus) and effective biofilm suppression. This dual-action catalyst, derived entirely from waste through green methods, advances circular-economy principles and green chemistry by simultaneously tackling chemical pollutants and microbial contaminants in water, thereby contributing to SDG 6 (Clean Water and Sanitation). Full article
Show Figures

Figure 1

15 pages, 1109 KB  
Article
Automated Segmentation of Digital Artifacts in Intraoral Photostimulable Phosphor Radiographs
by Ceyda Gizem Topal, Osman Yalçın, Hatice Tetik, Murat Ünal, Necla Bandirmali Erturk and Cemile Özlem Üçok
Diagnostics 2026, 16(8), 1194; https://doi.org/10.3390/diagnostics16081194 - 16 Apr 2026
Viewed by 136
Abstract
Background/Objectives: Intraoral radiographs acquired using photostimulable phosphor (PSP) plates are inherently susceptible to a wide spectrum of artifacts that can compromise diagnostic reliability and lead to unnecessary repeat exposures. Although structured taxonomies describing these artifacts have been proposed, automated methods capable of [...] Read more.
Background/Objectives: Intraoral radiographs acquired using photostimulable phosphor (PSP) plates are inherently susceptible to a wide spectrum of artifacts that can compromise diagnostic reliability and lead to unnecessary repeat exposures. Although structured taxonomies describing these artifacts have been proposed, automated methods capable of detecting and localizing multiple artifact types at the pixel level remain limited, particularly under realistic multi-class conditions. In this study, we address the problem of fine-grained, multi-class PSP artifact segmentation by systematically evaluating a deep learning-based framework and establishing a realistic baseline for this inherently challenging task. Methods: A retrospective, multi-center dataset comprising 1497 intraoral PSP radiographs (bitewing and periapical) collected from three institutions was analyzed. Pixel-level annotations were generated by expert oral and maxillofacial radiologists according to a standardized taxonomy consisting of four major artifact groups and 29 artifact classes, together with a background class. A 2D nnU-Net v2 architecture was employed as a baseline segmentation model. Model development was performed using 5-fold cross-validation, and performance was evaluated on an independent test set using Dice coefficient, Intersection over Union (IoU), Precision, and Recall. Results: Across all classes, the model achieved a mean Dice score of 0.0894 ± 0.0084 in cross-validation and 0.0952 on the independent test set, reflecting the intrinsic complexity of the task. Class-wise analysis revealed substantial variability, with higher performance in larger and visually distinctive artifacts, whereas small-scale, low-contrast, and underrepresented classes exhibited markedly reduced performance. Notably, several artifact categories were absent from the training data, resulting in a zero-shot scenario that directly constrained model generalization. Furthermore, segmentation performance demonstrated a strong dependency on class frequency, measured in terms of pixel distribution, underscoring the impact of severe class imbalance. Group-based evaluation showed relatively higher performance for pre-exposure and exposure-related artifacts compared to post-exposure and scanner-related categories. Conclusions: These findings demonstrate that large-scale, multi-class pixel-level segmentation of PSP artifacts represents a fundamentally challenging problem shaped by the combined effects of class imbalance, small object size, heterogeneous artifact morphology, and incomplete training representation. While the proposed framework confirms the feasibility of automated artifact localization, its current performance suggests greater immediate value as a quality control or screening support tool rather than a fully autonomous diagnostic system. By providing a comprehensive baseline and systematic analysis, this study establishes a benchmark for future research and highlights the critical need for imbalance-aware learning strategies, hierarchical modeling, and data-centric approaches to advance this field. Full article
33 pages, 2448 KB  
Article
Sustainable Inventory Management for Perishable Dairy Products: A Circular-Economy Approach Integrating Environmental Costs
by Olena Pavlova, Maryna Nagara, Oksana Liashenko, Kostiantyn Pavlov, Rafał Rumin, Viktoriia Marhasova, Oksana Drebot and Karolina Jakóbik
Sustainability 2026, 18(8), 3975; https://doi.org/10.3390/su18083975 - 16 Apr 2026
Viewed by 143
Abstract
The transition toward sustainable food systems requires innovative approaches to managing perishable products, where inefficient inventory practices contribute significantly to global food loss and environmental degradation. This study develops a circular-economy-oriented inventory optimisation framework for dairy supply chains that integrates environmental externalities and [...] Read more.
The transition toward sustainable food systems requires innovative approaches to managing perishable products, where inefficient inventory practices contribute significantly to global food loss and environmental degradation. This study develops a circular-economy-oriented inventory optimisation framework for dairy supply chains that integrates environmental externalities and waste valorisation pathways into operational decision-making. Departing from traditional linear “produce–consume–dispose” models, this study embeds three core sustainability mechanisms into a stochastic dynamic-programming framework: (1) progressive environmental cost internalisation aligned with EU Emissions-Trading System carbon pricing, capturing both waste-related emissions and cold-chain energy footprints; (2) circular-economy value-recovery channels that redirect near-expiry products to secondary applications (animal feed, biogas production, industrial processing) rather than disposal; and (3) deterioration-aware demand management that minimises resource throughput while maintaining service levels. Empirical calibration using Ukrainian dairy industry data demonstrates that sustainability-integrated inventory policies reduce waste generation by 4.8–10% relative to conventional approaches, with high-deterioration products showing the greatest potential for improvement. The authors identify a critical threshold in the circular economy: when salvage recovery rates exceed 35%, waste becomes an economic and ecological asset, fundamentally altering the sustainability calculus of inventory decisions. Environmental costs account for 4.6% of total operating expenses at current carbon prices, a share projected to increase substantially as climate regulations tighten. The findings provide actionable guidance for dairy supply chain stakeholders pursuing the Sustainable Development Goals (SDGs 2, 12, 13): processors should establish circular-economy partnerships that achieve salvage rates above 35%, implement product-specific policies for high-deterioration items, and proactively integrate carbon pricing into inventory optimisation. The framework bridges sustainable operations theory and circular economy practice, offering a replicable model for transitioning perishable food supply chains toward closed-loop, low-waste configurations that simultaneously reduce environmental impact and enhance economic performance. Full article
36 pages, 1318 KB  
Article
A Three-Step System (Biochar and Sand Filtration with Chlorination) for Handwashing Wastewater Treatment and Possible Water Reuse in Rural Schools
by Jhonny I. Bautista Quispe, Luiza C. Campos, Ondrej Masek and Anna Bogush
Sustainability 2026, 18(8), 3964; https://doi.org/10.3390/su18083964 - 16 Apr 2026
Viewed by 166
Abstract
School handwashing facilities in rural areas without piped water and drainage systems often discharge wastewater directly into the ground, leading to environmental contamination and loss of a valuable water resource, particularly in water-scarce regions. This study evaluates a decentralised three-stage handwashing wastewater treatment [...] Read more.
School handwashing facilities in rural areas without piped water and drainage systems often discharge wastewater directly into the ground, leading to environmental contamination and loss of a valuable water resource, particularly in water-scarce regions. This study evaluates a decentralised three-stage handwashing wastewater treatment system combining biochar and sand filtration with chlorination. The integrated system effectively improved water quality by reducing turbidity, colour, suspended solids, nutrients, organic matter, and microbial contamination. While biochar and sand filtration provided substantial physicochemical treatment, chlorination was essential to ensure complete microbial inactivation. The treated water met several water quality standards for potable use (handwashing only) set by the World Health Organization (WHO) and the United States Environmental Protection Agency (USEPA) standards. Additionally, it complied with international guidelines for greywater reuse in toilet flushing, irrigation, and floor washing. This innovative water treatment strategy could help clean and reuse handwashing wastewater on-site. This could provide rural schools with clean water to support water needs in water shortage periods, such as hand hygiene, garden irrigation, toilet flushing, and floor washing. Overall, integrating biochar and sand filtration with disinfection could help remote rural schools recover water, advancing towards the achievement of the Sustainable Development Goals (SDG) for good health (SDG 3), clean water and sanitation (SDG 6), and sustainable communities (SDG 11). Full article
30 pages, 5122 KB  
Article
CT-Malaria Detection via Adaptive-Weighted Deep Learning Models
by Karim Gasmi, Moez Krichen, Afrah Alanazi, Sahar Almenwer, Sarah Almaghrabi and Samia Yahyaoui
Biomedicines 2026, 14(4), 898; https://doi.org/10.3390/biomedicines14040898 - 15 Apr 2026
Viewed by 199
Abstract
Context: In numerous low- and middle-income nations, malaria remains a significant issue due to the challenges associated with diagnosing it through thin blood smears. The appearance of images can vary significantly depending on the microscope type, magnification, lighting conditions, slide preparation methods, and [...] Read more.
Context: In numerous low- and middle-income nations, malaria remains a significant issue due to the challenges associated with diagnosing it through thin blood smears. The appearance of images can vary significantly depending on the microscope type, magnification, lighting conditions, slide preparation methods, and staining techniques. Due to the delicate morphology of parasites, false negatives might adversely affect patient care. Objective: To achieve optimal outcomes from validation, it is essential to construct a robust and easily replicable process. This pipeline should integrate the optimal elements of classical machine learning and end-to-end deep learning, enhance reliability by pairwise ensembling, and select ensemble weights in a logical, data-driven manner. Method: To achieve our objective, we propose two tracks. The initial track encompasses real-time augmentation, convolution-based feature extraction, and the training of calibrated classical classifiers. The second module focuses on training many convolutional networks from inception to completion. Subsequently, we construct paired ensembles and employ a hybrid methodology to select convex weights for combining the findings. This method initially evaluates a set of candidate weights and then refines them to maximise validation accuracy. Results: The precision of the two-track architecture consistently improves, transitioning from conventional baselines to end-to-end models. Optimal and consistent enhancements are achieved through weighted ensembling. Utilising optimised fusion reduces the incidence of false negatives for subtle parasites and false positives caused by staining artefacts. This yields an accuracy of 96.35% on the reserved data and reduced variance across folds. Conclusions: The integration of augmentation, multiple modelling tracks, and optimal pairwise ensembling yields the highest accuracy in categorising malaria smears. It facilitates further enhancements by incorporating supplementary models, multi-class extensions, and operating-point calibration. Full article
23 pages, 1209 KB  
Article
Understanding Farm Households’ Tolerance Toward Asian Elephants in China: Evidence from 873 Households in Yunnan Province
by Junfeng Chen, Yi Xie, Mengyuan Zhang, Weiming Lin and Jie Yang
Animals 2026, 16(8), 1195; https://doi.org/10.3390/ani16081195 - 14 Apr 2026
Viewed by 163
Abstract
Improved conservation efforts in China have contributed to the recovery and range expansion of the Asian elephant, increasing spatial overlap between humans and elephants and intensifying the pressure of human–elephant coexistence. Understanding human tolerance toward Asian elephants has therefore become an important pathway [...] Read more.
Improved conservation efforts in China have contributed to the recovery and range expansion of the Asian elephant, increasing spatial overlap between humans and elephants and intensifying the pressure of human–elephant coexistence. Understanding human tolerance toward Asian elephants has therefore become an important pathway for promoting conservation and coexistence. Using survey data from 873 farm households collected in Xishuangbanna Prefecture and Pu’er City in Yunnan Province, this study measures tolerance toward Asian elephants across five dimensions: types of elephant-related damage, economic loss, population size, spatial distance, and activity frequency. Independent-sample t-tests, one-way ANOVA and ANCOVA were used to examine differences in tolerance among different groups of farm households. The results show that: (1) the overall tolerance toward Asian elephants among farm households is relatively low (mean = 2.40); (2) within types of elephant-related damage, tolerance is lowest for crop loss and cash crop loss, followed by loss of working time and risk of human injury, while tolerance is relatively higher for damage to houses and property, loss of stored food, and damage to vehicles; (3) farm households showed low levels of tolerance across the dimensions of economic loss, population size, spatial distance, and activity frequency; (4) higher tolerance is observed among male respondents, Dai farm households, those engaged in wildlife protection-related occupations, and households located in Pu’er City, and tolerance increased as cultivated land area decreased, household income increased, and agricultural dependence declined. These findings provide empirical evidence for understanding farm households’ tolerance toward Asian elephants and offer policy insights for improving tolerance, optimizing human–elephant conflict (HEC) management, and promoting the social sustainability of human–elephant coexistence. The study also contributes China-based evidence to discussions on flagship species conservation and community coexistence under the SDG 15 and CBD frameworks. Full article
(This article belongs to the Section Human-Animal Interactions, Animal Behaviour and Emotion)
10 pages, 591 KB  
Article
Epidemiological Management of Preeclampsia–Eclampsia Cases in the Intensive Care Unit Before and During the Health Crisis
by Miryam Lora-Loza, Jean Neil Hernández Angulo, José Elías Cabrejo Paredes, Maribel Díaz Espinoza and Jean Carlos Zapata Rojas
COVID 2026, 6(4), 65; https://doi.org/10.3390/covid6040065 - 11 Apr 2026
Viewed by 390
Abstract
Health crises hinder the provision of intensive care for critical obstetric conditions such as preeclampsia and eclampsia, where timely decision making and system capacity directly impact maternal and fetal outcomes. This study compared the clinical and epidemiological profile and care processes in the [...] Read more.
Health crises hinder the provision of intensive care for critical obstetric conditions such as preeclampsia and eclampsia, where timely decision making and system capacity directly impact maternal and fetal outcomes. This study compared the clinical and epidemiological profile and care processes in the ICU for cases of preeclampsia and eclampsia before and during the COVID-19 health crisis in Alto Amazonas, Loreto (Peru), using a comparative mixed-method approach. Quantitative data were obtained from ICU medical records for two periods (2015–2019 and 2020–2022). Categorical variables were compared using exact methods (Fisher’s exact test for 2 × 2 tables and exact procedures for scatter tables with multiple categories), and continuous variables were compared using nonparametric tests where appropriate. The most notable change was an increase in the frequency of cesarean sections during the health crisis, which should be interpreted with caution given the small sample size and potential changes in admission criteria and system limitations. Other clinical indicators and discharge status showed no clear evidence of substantial differences between the periods. Qualitative findings highlighted systemic limitations affecting continuity of care, particularly those related to timely access to safe blood products and referral pathways. These results align with SDG 3 (Good Health and Well-being) and support strengthening preparedness, referral coordination, and the availability of essential resources to protect maternal health during large-scale emergencies. Full article
(This article belongs to the Section COVID Public Health and Epidemiology)
Show Figures

Figure 1

20 pages, 477 KB  
Article
Knowledge Sharing and Sustainable Workforce Retention Among Healthcare Professionals: Evidence from Public Healthcare Organisations
by Nejc Bernik and Polona Šprajc
Sustainability 2026, 18(8), 3770; https://doi.org/10.3390/su18083770 - 10 Apr 2026
Viewed by 412
Abstract
Knowledge sharing (KS) among healthcare professionals is essential for sustaining organisational learning and facilitating the transfer of expertise between experienced and less experienced professionals, thereby supporting workforce stability and retention in healthcare organisations (HCOs). However, despite its importance, high turnover among healthcare professionals [...] Read more.
Knowledge sharing (KS) among healthcare professionals is essential for sustaining organisational learning and facilitating the transfer of expertise between experienced and less experienced professionals, thereby supporting workforce stability and retention in healthcare organisations (HCOs). However, despite its importance, high turnover among healthcare professionals remains a significant and persistent challenge in public HCOs, indicating a potential gap in understanding the mechanisms that support workforce stability. To address this gap, this study examines the interplay between work performance (WP), satisfaction with co-workers (CW), KS and turnover intention (TI) among healthcare professionals. Data from 220 respondents were analysed using Partial Least Squares Structural Equation Modelling (PLS-SEM) within the Input–Process–Output (IPO) framework. The results indicate that CW positively influences KS, while KS has a negative effect on TI, thereby reducing TI. In contrast, WP does not have a statistically significant effect on KS, nor does it indirectly influence TI through KS. Furthermore, although both WP and CW were hypothesised to be predictors of KS, only CW demonstrates a significant indirect effect on TI through KS. Grounded in Social Exchange Theory (SET) and the Knowledge-Based View (KBV), the results highlight the role of KS and interpersonal relationships in supporting sustainable human resource management (SHRM). Although sustainability-related dimensions were not directly measured, the results suggest potential implications for the Sustainable Development Goals (SDGs), particularly SDG 3, SDG 8, and SDG 9. Full article
Show Figures

Figure 1

14 pages, 410 KB  
Article
Validity and Reliability Analysis of the Household Water Insecurity Experiences Scale: The Case of Argentina
by Ianina Tuñón, Matías Maljar, Nazarena Bauso, Olga P. García and Hugo Melgar Quiñonez
Sustainability 2026, 18(8), 3707; https://doi.org/10.3390/su18083707 - 9 Apr 2026
Viewed by 188
Abstract
The objective is to evaluate the validity and reliability of the Household Water Insecurity Experiences (HWISE) Scale as a tool to assess the experiences of households and the Argentine population regarding insecurity of access to water. Addressing water insecurity is critical for advancing [...] Read more.
The objective is to evaluate the validity and reliability of the Household Water Insecurity Experiences (HWISE) Scale as a tool to assess the experiences of households and the Argentine population regarding insecurity of access to water. Addressing water insecurity is critical for advancing several Sustainable Development Goals (SDGs), particularly SDG 6 (Clean Water and Sanitation), SDG 3 (Good Health and Well-Being), and SDG 1 (No Poverty), given the strong links between access to safe water, health, and poverty reduction. The scale was administered as part of the Argentine Social Debt Survey (EDSA), on a probabilistic sample of 5799 households. The HWISE Scale demonstrated high reliability both overall and at the item level (Cronbach’s alpha of 0.95 at a total level and greater than 0.94 for each of the items) and criterion validity in terms of correlation with a broad set of indicators: social deprivations, sanitary infrastructure, food insecurity, and psychological health. Finally, the scale showed internal consistency, with a total omega coefficient value of 0.96, suggesting that all scale indicators refer to the same concept of deprivation in water access. In sum, the HWISE Scale applied to the case of Argentina is deemed appropriate for estimating household water insecurity. Full article
(This article belongs to the Section Development Goals towards Sustainability)
Show Figures

Figure 1

24 pages, 451 KB  
Article
Science Teachers’ Awareness and Perceptions Regarding the Sustainable Development Goals and Their Integration in Middle School in Israel
by Ahmad Basheer, Bayan Saif Abu-Salah, Muhamad Hugerat, Sherin Rayan and Avi Hofstein
Sustainability 2026, 18(8), 3684; https://doi.org/10.3390/su18083684 - 8 Apr 2026
Viewed by 237
Abstract
Sustainability and the Sustainable Development Goals (SDGs) are garnering significant attention due to growing global challenges, including poverty, inequality, environmental degradation, and climate change, with the latter addressed specifically through SDG 13. This study examined the level of self-reported awareness of six science-related [...] Read more.
Sustainability and the Sustainable Development Goals (SDGs) are garnering significant attention due to growing global challenges, including poverty, inequality, environmental degradation, and climate change, with the latter addressed specifically through SDG 13. This study examined the level of self-reported awareness of six science-related SDGs—SDG 3 (Good Health and Well-Being), SDG 6 (Clean Water and Sanitation), SDG 7 (Affordable and Clean Energy), SDG 13 (Climate Action), SDG 14 (Life Below Water), and SDG 15 (Life on Land)—among science teachers in the Arab sector in Israel as a function of background variables: gender, seniority, degree type, academic institution, school type, area of specialization, and the integration of these SDGs into the science curriculum. The study employed a mixed-methods approach: in the quantitative component, 204 science teachers responded to a Likert-scale questionnaire; the qualitative component consisted of semi-structured interviews with 30 middle school science teachers from the Arab sector. The findings indicated a moderate level of self-assessed awareness regarding SDGs. Significant differences in awareness were found according to teaching subject: environmental studies teachers demonstrated the highest awareness, followed by general science, biology, and physics teachers, with chemistry teachers ranking lowest. No significant differences were found for the remaining variables (p > 0.05). Qualitative findings indicated that while teachers perceived SDG-related content as implicitly present in the curriculum, explicit and systematic integration of the SDG framework is largely absent. Overall, the findings suggest that teachers are not adequately exposed to the SDGs. Therefore, it is recommended to incorporate these topics into teacher-training courses and professional development programs and to further integrate them into curricula. This study contributes to the growing body of research on SDG integration in science education, particularly within underexplored minority educational contexts. Full article
(This article belongs to the Section Development Goals towards Sustainability)
Show Figures

Figure 1

27 pages, 6807 KB  
Article
Unlocking the Restorative Power of Urban Green Spaces in Summer: The Interplay of Vegetation Structure, Activity Modality, and Human Well-Being
by Yifan Duan, Hua Bai, Le Yang and Shuhua Li
Sustainability 2026, 18(7), 3619; https://doi.org/10.3390/su18073619 - 7 Apr 2026
Viewed by 285
Abstract
Amidst global urbanization and rising psychological stress, urban green spaces are increasingly recognized as critical infrastructure for sustainable urban development and public health. However, the mechanisms by which summer vegetation structure mediates both physiological and psychological restoration, and the interplay between these two [...] Read more.
Amidst global urbanization and rising psychological stress, urban green spaces are increasingly recognized as critical infrastructure for sustainable urban development and public health. However, the mechanisms by which summer vegetation structure mediates both physiological and psychological restoration, and the interplay between these two dimensions, remain poorly understood. Understanding these mechanisms is essential for designing sustainable, health-promoting urban environments that can support growing urban populations in a warming climate. This study employed a controlled field experiment in Xi’an during summer to examine the effects of five vegetation structure types (Single-Layer Grassland, single-layer woodland, tree–shrub–grass composite woodland, tree–grass composite woodland, and a non-vegetated square) on university students’ physiological (heart rate variability) and psychological (perceived restorativeness and affective states) restoration. Following stress induction, 300 participants engaged with the green spaces through both quiet sitting and walking. The results revealed three key findings: (1) the tree–shrub–grass composite woodland consistently showed the most favorable trends other vegetation types across all psychological restoration dimensions, while also showing favorable trends in physiological recovery, underscoring the importance of structural complexity for restorative quality; (2) walking significantly enhanced physiological recovery compared to seated observation across all settings, confirming the role of physical activity as a critical activator of green space benefits; (3) correlation analysis identified a specific cross-system association: the R-R interval recovery value showed a weak but significant correlation with positive affect (PA) scores, suggesting that physiological calmness and positive emotional experience are linked, yet their weak coupling under short-term exposure indicates they may operate as parallel processes with distinct temporal dynamics. These findings indicate that the restorative potential of summer green spaces emerges from an integrated framework combining vegetation complexity and activity support. We propose that future sustainable landscape design should prioritize multi-layered vegetation structures as nature-based solutions that simultaneously enhance human well-being and urban resilience. These findings provide empirical evidence for integrating health-promoting green infrastructure into sustainable urban planning frameworks, supporting multiple Sustainable Development Goals (SDGs), including SDG 3 (Good Health and Well-being), SDG 11 (Sustainable Cities and Communities), and SDG 13 (Climate Action). Full article
Show Figures

Graphical abstract

28 pages, 1836 KB  
Article
Radiation-Induced Changes in Antibiotic Residues, Amino Acid Profiles, and Fatty Acid Composition of Poultry Meat Under Electron-Beam Irradiation: Implications for Sustainable Food Production
by Raushangul Uazhanova, Igor Danko, Maxat Iztileuov, Gaukhar Jamanbayeva and Maxat Toishimanov
Agriculture 2026, 16(7), 796; https://doi.org/10.3390/agriculture16070796 - 3 Apr 2026
Viewed by 381
Abstract
The increasing occurrence of antibiotic residues in poultry meat represents a serious food safety concern associated with antimicrobial resistance and potential risks to human health. This study investigated the effects of electron beam irradiation on antibiotic residues and nutritional quality parameters of poultry [...] Read more.
The increasing occurrence of antibiotic residues in poultry meat represents a serious food safety concern associated with antimicrobial resistance and potential risks to human health. This study investigated the effects of electron beam irradiation on antibiotic residues and nutritional quality parameters of poultry meat. All experiments and data collection were carried out in 2025. Fresh poultry samples were irradiated using an ILU-10 pulsed linear electron accelerator at doses of 2, 4, 6, 8, and 10 kGy. Antibiotic residues were determined by HPLC-DAD, amino acid composition was analyzed using HPLC, and fatty acid profiles were evaluated by gas chromatography. Electron beam irradiation produced significant dose-dependent changes in the chemical composition of poultry meat. Total amino acid content decreased progressively with increasing irradiation dose, with reductions of up to 60–73% at 10 kGy depending on tissue type. Branched-chain and essential amino acids showed similar trends. Fatty acid analysis revealed a shift toward higher proportions of saturated fatty acids and a decline in monounsaturated and polyunsaturated fatty acids. The PUFA/SFA ratio decreased from 0.48 in control samples to 0.25 at 10 kGy. Tetracycline residues were not detected in any samples, whereas chloramphenicol residues were present in control meat but were progressively reduced after irradiation and became undetectable at doses ≥ 8 kGy. These results demonstrate that electron beam irradiation can effectively reduce antibiotic residues in poultry meat; however, higher irradiation doses may significantly alter amino acid and lipid composition. Therefore, optimization of irradiation parameters is necessary to balance improvements in food safety with the preservation of nutritional quality for the production of safe and sustainable food products. Optimization of irradiation parameters is therefore necessary to balance food safety benefits with preservation of nutritional quality. Furthermore, this research contributes to the achievement of Sustainable Development Goal (SDG) 2, while the obtained results also support SDG 3 by promoting safer food systems and protecting public health. Full article
(This article belongs to the Section Agricultural Product Quality and Safety)
Show Figures

Figure 1

26 pages, 5202 KB  
Article
Optimization of Carbon Emission Reduction Task Allocation in China (2020–2030): A Cost-Based Inter-Provincial Cooperation Mechanism
by Xinyu Wang, Huijuan Zhao and Pansong Jiang
Sustainability 2026, 18(7), 3455; https://doi.org/10.3390/su18073455 - 2 Apr 2026
Viewed by 312
Abstract
Driven by the global mandates of the United Nations Sustainable Development Goals (particularly SDG 13 and SDG 17) and the climate targets established at COP summits, China strives to achieve its carbon peaking target by 2030 but faces significant challenges due to substantial [...] Read more.
Driven by the global mandates of the United Nations Sustainable Development Goals (particularly SDG 13 and SDG 17) and the climate targets established at COP summits, China strives to achieve its carbon peaking target by 2030 but faces significant challenges due to substantial regional disparities in abatement capacities. This paper proposes a cost-based inter-provincial cooperation mechanism to optimize carbon emission reduction (CER) task allocation. Using a marginal abatement cost curve model, we simulate provincial CER tasks from 2020 to 2030 under various cooperation scenarios. The results indicate that: (1) Cooperation significantly reduces the national total abatement cost compared to independent implementation. Specifically, the cost-saving ratio can reach approximately 60–70% when the cooperation proportion is high (80%). (2) There is a trade-off between economic efficiency and regional peaking targets. While an 80% cooperation proportion is economically optimal for 2020–2028, and a 60% proportion for 2029–2030, a 40% cooperation proportion is ultimately recommended as the balanced optimal ratio to ensure that most provinces achieve their carbon peaks before 2030. (3) The mechanism effectively narrows the disparity in abatement costs across regions. By offering a scalable paradigm for inter-regional climate collaboration, this study provides a theoretical basis for designing differentiated cooperation strategies to fulfill COP commitments and advance the global SDGs. Full article
Show Figures

Figure 1

26 pages, 1928 KB  
Article
Innovations in Water-Pollution Monitoring Based on Global Patent Trends (TRL 4–5): Toward Cleaner Environment and Smarter Technologies
by Cristina M. Quintella, Ricardo Salgado and Ana M. A. T. Mata
Sustainability 2026, 18(7), 3396; https://doi.org/10.3390/su18073396 - 31 Mar 2026
Viewed by 414
Abstract
Unpolluted water, both freshwater and saltwater, is essential for achieving several United Nations Sustainable Development Goals, particularly SDGs 6, 3, 2, 14, and 15. This study maps emerging water-quality monitoring technologies at intermediate technological readiness levels (TRLs 4–5) and their potential patent markets [...] Read more.
Unpolluted water, both freshwater and saltwater, is essential for achieving several United Nations Sustainable Development Goals, particularly SDGs 6, 3, 2, 14, and 15. This study maps emerging water-quality monitoring technologies at intermediate technological readiness levels (TRLs 4–5) and their potential patent markets (TRL 9). A total of 40,469 patent families were retrieved from the Espacenet worldwide database using IPC G01N33/18 and used to analyze sensing parameters. A subset of 2146 water-pollution-related patents was analyzed in detail. The analysis covered sensing parameters, temporal trends, compound annual growth rates (CAGR), legal status, geographic distribution of patent origins and markets, and the technological landscape, including application domains and niche clusters. The results show pronounced exponential growth in patent filings since 2014 and a high share of active documents, indicating sustained global investment. Innovation leadership is concentrated in China, South Korea, India, the United States, and Japan, with export-oriented patents largely held by transnational corporations, while African participation remains limited. Technological trends prioritize multiparameter environmental and biological sensing, addressing pH, temperature, turbidity, dissolved oxygen, nutrients, heavy metals, polycyclic aromatic hydrocarbons (PAHs), and oxidation–reduction potential. Emerging solutions integrate autonomous platforms, remote sensing, Internet-of-Things architectures, and machine-learning-based analytics. Persistent bottlenecks include sensor robustness in harsh aquatic environments and the reliable discrimination between background variability and early pollution signals. Strengthening low-cost and scalable deployment remains essential to ensure water quality, support environmental sustainability, and minimize risks. Full article
Show Figures

Figure 1

29 pages, 3317 KB  
Article
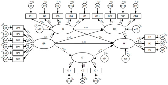
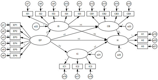
The Weighted Impact of Public Space Perception Within Old Communities on Residents’ Happiness: The Mediating Role of Intergenerational Interaction
by Zhiguo Fang and Jiachen Yao
Sustainability 2026, 18(7), 3376; https://doi.org/10.3390/su18073376 - 31 Mar 2026
Viewed by 271
Abstract
(1) Background: Age-friendly emphasizes creating an appropriate living environment for people of all ages, which plays a crucial role in promoting intergenerational interaction in community public spaces and is conducive to achieving sustainable social development. This study explores how residents’ views on community [...] Read more.
(1) Background: Age-friendly emphasizes creating an appropriate living environment for people of all ages, which plays a crucial role in promoting intergenerational interaction in community public spaces and is conducive to achieving sustainable social development. This study explores how residents’ views on community public spaces affect their happiness, with intergenerational interaction acting as a mediating factor. (2) Methods: The data were sourced from 36 typical residential communities in 12 subdistricts of Yangpu District, Shanghai. Field investigations and questionnaire surveys were conducted on these communities, and a total of 1048 valid samples were collected. Descriptive statistics and structural equation models were employed to analyze the data. (3) Results: This research reveals that overall environmental perception significantly enhances happiness, and intergenerational support mediates this relationship. Factor loadings indicate that education & training and elderly & childcare spaces are the most salient dimensions of environmental perception, underscoring fundamental role in shaping how residents form their overall evaluation of community spaces. Through their strong association with intergenerational support, play a significant indirect role in enhancing residents’ happiness. Community belongingness plays a reinforcing role between intergenerational support interaction and happiness. The analysis of individual attributes further reveals that the length of residence and gender have moderating effects on the perception of public spaces. (4) Conclusions: This study examines the path of “Environmental perception → Intergenerational interaction → Happiness” and identifies the key mediating role of intergenerational support in this relationship. The conclusions indicate that optimizing community public spaces, particularly by improving “empowering” and “protective” spaces and fostering intergenerational integration through activities, can enhance residents’ belonging and happiness, offering a pathway to advance the SDGs. Full article
(This article belongs to the Section Health, Well-Being and Sustainability)
Show Figures

Figure 1

Back to TopTop