Next Article in Journal
Research on the Impact of Corporate ESG Performance on Supplier Concentration in Chinese Manufacturing Firms
Previous Article in Journal
Towards Net-Zero Coastal Homes: Techno-Economic Optimization of a Hybrid Heat Pump, PV, and Battery Storage System in a Deeply Retrofitted Building in Poland
 
 
Font Type:
Arial Georgia Verdana
Font Size:
Aa Aa Aa
Line Spacing:
Column Width:
Background:
Article

Unlocking the Restorative Power of Urban Green Spaces in Summer: The Interplay of Vegetation Structure, Activity Modality, and Human Well-Being

1
College of Architecture, Chang’an University, Xi’an 710061, China
2
College of Architecture, Tsinghua University, Beijing 100084, China
*
Author to whom correspondence should be addressed.
Sustainability 2026, 18(7), 3619; https://doi.org/10.3390/su18073619
Submission received: 12 February 2026 / Revised: 19 March 2026 / Accepted: 30 March 2026 / Published: 7 April 2026

Abstract

Amidst global urbanization and rising psychological stress, urban green spaces are increasingly recognized as critical infrastructure for sustainable urban development and public health. However, the mechanisms by which summer vegetation structure mediates both physiological and psychological restoration, and the interplay between these two dimensions, remain poorly understood. Understanding these mechanisms is essential for designing sustainable, health-promoting urban environments that can support growing urban populations in a warming climate. This study employed a controlled field experiment in Xi’an during summer to examine the effects of five vegetation structure types (Single-Layer Grassland, single-layer woodland, tree–shrub–grass composite woodland, tree–grass composite woodland, and a non-vegetated square) on university students’ physiological (heart rate variability) and psychological (perceived restorativeness and affective states) restoration. Following stress induction, 300 participants engaged with the green spaces through both quiet sitting and walking. The results revealed three key findings: (1) the tree–shrub–grass composite woodland consistently showed the most favorable trends other vegetation types across all psychological restoration dimensions, while also showing favorable trends in physiological recovery, underscoring the importance of structural complexity for restorative quality; (2) walking significantly enhanced physiological recovery compared to seated observation across all settings, confirming the role of physical activity as a critical activator of green space benefits; (3) correlation analysis identified a specific cross-system association: the R-R interval recovery value showed a weak but significant correlation with positive affect (PA) scores, suggesting that physiological calmness and positive emotional experience are linked, yet their weak coupling under short-term exposure indicates they may operate as parallel processes with distinct temporal dynamics. These findings indicate that the restorative potential of summer green spaces emerges from an integrated framework combining vegetation complexity and activity support. We propose that future sustainable landscape design should prioritize multi-layered vegetation structures as nature-based solutions that simultaneously enhance human well-being and urban resilience. These findings provide empirical evidence for integrating health-promoting green infrastructure into sustainable urban planning frameworks, supporting multiple Sustainable Development Goals (SDGs), including SDG 3 (Good Health and Well-being), SDG 11 (Sustainable Cities and Communities), and SDG 13 (Climate Action).

Graphical Abstract

1. Introduction

1.1. The Health-Promoting Effects of Urban Green Spaces and the Pivotal Moderating Role of Vegetation Structure

As a core component of urban ecosystems, urban green spaces are widely recognized as effective interventions for promoting residents’ physical and mental health [1]. Their restorative benefits are primarily explained by two foundational theories: the Stress Reduction Theory, which posits that natural environments elicit positive affective responses, attenuate sympathetic nervous system activity, and facilitate physiological recovery from stress [2]; and the Attention Restoration Theory, which suggests that landscapes embodying the characteristics of “Being Away,” “Extent,” “Fascination,” and “Compatibility” enable the recovery of directed attention through effortless engagement [3]. Even brief exposure to green spaces can effectively enhance mood, reduce physiological stress markers such as cortisol and heart rate, and improve cognitive function [4,5].
However, these health benefits are not homogeneous; they are critically modulated by specific physical landscape attributes. Research has progressively moved beyond treating green spaces as uniform entities, focusing instead on vegetation spatial structure—the three-dimensional arrangement of plant communities—as a key design variable [6]. Different vegetation structures (e.g., open grasslands, sparse woodlands, and dense multi-layered tree–shrub–grass composites) create distinct spatial experiences, microclimates, and visualscapes. For instance, open grasslands facilitate social interaction but may expose users to intense solar radiation in summer, whereas dense multi-story forests offer richer biodiversity and shading but may raise perceived safety concerns or deter use if overly enclosed [7,8]. Although evidence suggests structurally complex woodlands possess greater restorative potential than simple grasslands [9,10], the precise mechanisms through which specific vegetation structures elicit differential physiological and psychological responses remain inadequately explained. Consequently, research must advance from macro-scale typology to a refined analysis of micro-scale vegetation structural attributes to generate actionable evidence for design.
Recent studies have further indicated that vegetation structure not only influences visual esthetics and spatial experience but also directly regulates microclimatic conditions (e.g., shading and humidity) and the composition of biological soundscapes. These factors collectively affect users’ physiological and psychological responses [7,11,12]. For example, Gatersleben & Andrews [8] noted that open green spaces lacking a “prospect-refuge” structure may diminish their restorative potential, whereas multi-layered vegetation provides richer sensory stimuli and ecological functions, thereby enhancing attention restoration and stress reduction [13].
Despite this progress, inconsistencies remain. While some studies advocate for open grasslands for their perceived safety and social opportunities [7], others suggest that dense, multi-layered woodlands offer superior stress recovery due to higher biodiversity and sensory engagement [9]. Building upon our previous work that examined physiological responses to green spaces across seasons [14], the present study extends this investigation in three critical ways: (1) by incorporating comprehensive psychological measures (perceived restorativeness and affective states); (2) by analyzing the correlations between physiological and psychological recovery; and (3) by framing these findings within the context of sustainable urban design and nature-based solutions.
This study addresses these gaps by proposing and testing a triadic framework that integrates vegetation structure complexity, activity mode, and seasonal context, with a specific focus on summer conditions. Summer represents a critical period for outdoor recreation, yet it also presents unique challenges such as extreme heat and solar radiation. By simultaneously measuring both physiological (HRV) and psychological (PRS, PANAS) responses, and analyzing their correlations, we seek to uncover the conditional pathways through which specific landscape configurations interact with user behavior to produce restorative outcomes. This approach moves beyond a binary ‘nature vs. urban’ comparison to offer a more nuanced, mechanism-based understanding of the nature–health relationship.

1.2. Seasonal Variation in Green Space Perception and Benefits: The Imperative of a Summer Focus

The sensory stimuli and ecological functions provided by green spaces are dynamic, undergoing regular seasonal transitions that inevitably influence their efficacy as health resources [15]. Seasonal changes directly affect human thermal comfort, esthetic preference, and usage patterns by altering plant phenology (foliage, flowering), overall greenness, light penetration, and microclimate (temperature, humidity) [16]. For example, stark winter landscapes and lush summer scenes can evoke markedly different emotional and restorative responses [17].
A significant seasonal bias exists in the current literature: a substantial proportion of empirical studies on landscape preference and health benefits are concentrated in or employ stimuli from spring and summer [18]. This leads to an incomplete understanding of the annual trajectory of restorative benefits and a particular lack of systematic knowledge regarding how landscape characteristics affect health outcomes across seasons. Focusing on summer is especially urgent and significant for several reasons: First, summer represents the peak season for outdoor recreation and social activity, when public engagement with green spaces is most frequent, and experience quality directly impacts seasonal public health [19]. Second, the increasing frequency of extreme heat events underscores the critical role of green space regulating services, such as cooling and shading, in mitigating thermal stress and ensuring outdoor safety [20]. Third, summer represents the peak of vegetation vitality, when differences between structures in shading efficiency, visual richness, and biogenic volatile organic compound release are most pronounced, offering an ideal window to examine their differential health effects [21]. Neglecting seasonal specificity—particularly the unique conditions of summer—risks generating design and management guidelines that are misaligned with critical periods of use.
Particularly in the context of global warming, with the frequent occurrence of extreme high-temperature events in summer, the cooling and shading services provided by green spaces have become critical ecological functions for mitigating heat stress and ensuring outdoor safety [14]. Multiple studies have confirmed that differences in vegetation structure significantly influence the thermal comfort of green spaces, thereby regulating usage patterns and health benefits [19,22]. Therefore, research focusing on summer vegetation structure not only helps reveal the seasonal regulatory mechanisms underlying the “nature–health” relationship but also provides empirical evidence for designing climate-resilient healthy landscapes.
In synthesis, current research on the health benefits of green spaces is constrained by the dual limitations of unclear vegetation structure mechanisms and a deficient seasonal perspective [23]. Therefore, a targeted investigation into the effects of experiencing different summer vegetation structures on physiological and psychological health can both deepen understanding of key moderators in the “nature–health” relationship and provide a vital scientific basis for creating comfortable, healthy, and resilient summer landscape environments. Accordingly, this study employs a controlled field experiment to reveal the differential effects of typical summer vegetation structures on users’ physiological and psychological restoration, aiming to advance health-oriented landscape design towards more refined and seasonally adapted practice.
While SRT and ART provide the overarching theoretical framework for nature’s restorative benefits, they do not fully account for the heterogeneity of responses elicited by micro-scale landscape variations. This study aims to advance these theories by moving beyond a binary ‘nature vs. urban’ comparison. We propose and test a triadic framework that integrates vegetation structure complexity (as a proxy for spatial and sensory stimuli), activity mode (as a behavioral mediator), and seasonal context (summer’s unique thermal and perceptual conditions). By doing so, we seek to uncover the conditional pathways through which specific landscape configurations interact with user behavior to produce restorative outcomes, thereby offering a more nuanced, mechanism-based understanding of the nature–health relationship.
This study advances beyond prior work in three key ways. First, while SRT and ART explain why nature restores, they do not fully account for which specific attributes of nature matter most. By systematically comparing five vegetation structures, we provide a finer-grained test of these theories, moving from a binary ‘nature vs. urban’ comparison to a ‘structure-function’ analysis. Second, by simultaneously measuring HRV and psychological scales, we empirically test the often assumed but rarely examined coupling between physiological and psychological restoration pathways. This allows us to explore whether these systems operate in unison or as parallel processes, a question with significant implications for both theory and the timing of interventions. Third, by focusing on summer, we introduce a crucial seasonal moderator, challenging the assumption that restorative effects are uniform year-round and extending theory to account for climate-specific mechanisms like thermal comfort.
By systematically examining the restorative effects of different vegetation structures in summer, this study addresses key knowledge gaps relevant to sustainable urban planning. Understanding how specific landscape configurations affect human well-being is essential for designing green infrastructure that maximizes both ecosystem services and public health benefits. These findings can inform evidence-based policies for creating climate-resilient, health-promoting urban environments—a core objective of sustainable development in the context of rapid urbanization and climate change.

2. Materials and Methods

2.1. Study Area, Site Selection, and Participants

The experimental design, site selection criteria, vegetation classification, and participant recruitment procedures followed the protocols established in our previous seasonal comparative study [14]. Briefly, this study was conducted in Xi’an City, Shaanxi Province, China (34°16′ N, 108°54′ E). Five representative green space types were selected based on vegetation structural complexity and canopy coverage (see Figure 1): open grassland, single-layer woodland, multi-layered tree–shrub–grass woodland, tree–grass woodland, and a non-vegetated square serving as a control.
The canopy coverage thresholds were determined based on preliminary field surveys and common classifications in urban ecology (e.g., [6]), representing distinct categories of openness and shading that are perceptually and functionally different for users. To isolate the effect of vegetation structure from the confounding influence of spatial extent, all sites were standardized to a relatively small area (25–50 m2). This experimental control was necessary to ensure that participants’ responses were primarily driven by the three-dimensional configuration of plants rather than the sheer size of the space. While this design enhances internal validity, it may limit the generalizability of our findings to larger, more complex urban park settings, where spatial scale itself could be a restorative factor. This is an acknowledged trade-off in our experimental approach.
To isolate the pure effect of vegetation structure (i.e., the vertical and horizontal arrangement of plants) from the confounding influence of visual saliency, we excluded green spaces containing trees with pronounced seasonal color changes (e.g., Acer palmatum, Liquidambar formosana). This exclusion criterion was applied because vivid autumn or summer colors can independently attract visual attention and elicit strong emotional responses [24], which could mask or distort the perceptual and restorative effects attributable solely to the three-dimensional configuration of the vegetation. By controlling for color as a visual variable, we aimed to ensure that any observed differences between sites could be more confidently attributed to their structural characteristics.
A total of 300 university students (mean age = 21.85 years, SD = 3.34, range 17–25; 49.3% male, 50.7% female) participated in this study. All participants were healthy, proficient in Mandarin, and provided written informed consent. The study adhered to the principles of the Declaration of Helsinki and was approved by the Ethics Committee of the College of Architecture, Chang’an University. The experimental data for this study were collected during the first author’s doctoral studies at Northwest A&F University. Prior to data analysis and publication, the study protocol was reviewed and approved by the Ethics Committee of Chang’an University, ensuring ethical compliance with the Declaration of Helsinki. Written informed consent was obtained from all participants prior to their involvement.

2.2. Measurement Indicators

Physiological measures focused on heart rate variability (HRV), a non-invasive indicator of autonomic nervous system regulation. We measured four standard HRV indices using ErgoLAB intelligent wearable ear clip sensor (Beijing Kingfar Technology Co., Ltd., Beijing, China): Heart Rate (HR), pNN50 (percentage of adjacent R-R intervals differing by >50 ms), R-R interval, and RMSSD (root mean square of successive differences). Detailed definitions and the physiological significance of these indices have been extensively documented in previous research [21,25,26] and in our prior work [14].
The key methodological extension in the current study is the inclusion of comprehensive psychological measures. The Perceived Restorativeness Scale (PRS), adapted from Kaplan’s restorative environment dimensions [3,23], was administered using a 5-point Likert scale. To minimize response bias and make the scale more intuitive for participants, we used a range from −2 (‘not at all’) to +2 (‘completely’), rather than the traditional 1–5 scale. For all statistical analyses, scores were treated as continuous data, with zero representing a neutral point. The Positive and Negative Affect Schedule (PANAS) was used to assess transient states of Positive Affect (PA) and Negative Affect (NA), from which the Positive-Negative Affect Difference Score (PNADS) was calculated [27]. The Chinese versions of these scales have been validated in previous research [3,23], and internal consistency in the current sample was acceptable to good (PRS: α = 0.79–0.88; PANAS: PA α = 0.84, NA α = 0.81).

2.3. Detailed Experimental Protocol

The experimental sequence followed the protocol detailed in our previous publication [14] and is summarized in Table 1. Briefly, the procedure consisted of six steps: ① Preparation (informed consent, demographic questionnaire); ② Baseline (3 min eyes-closed relaxation for HRV baseline M0, followed by PRS and PANAS administration T1); ③ Stress Induction (3 min mental arithmetic test in continuous noise environment, HRV recorded as M1); ④ Seated Observation (3 min seated observation of assigned scene, HRV recorded as M2); ⑤ Rest (1 min seated rest); and ⑥ Walking Observation (3 min slow walking within the site, HRV recorded as M3, followed by post-experience PRS and PANAS T2).
The key distinction in this study is the inclusion of psychological assessments at both baseline (T1) and post-experience (T2), enabling analysis of the relationship between physiological and psychological changes. All experiments were conducted under standardized environmental conditions (clear weather, mean temperature 26.8 °C ± 2.75 °C) between 1 and 30 June 2021.
A 3 min exposure per observation mode was chosen based on established protocols in psychophysiological research [2,6], which have demonstrated that measurable changes in both autonomic nervous system activity (e.g., HRV) and self-reported affect can occur within this timeframe. This duration balances the need for experimental control and participant comfort while allowing for the detection of immediate restorative responses. However, we acknowledge in our limitations that this may not capture longer-term restorative processes.

2.4. Stress Induction Task

Stress was induced via a 3 min timed mental arithmetic test. Participants were informed their performance would be graded and ranked to increase evaluative pressure. The test was administered alongside continuous auditory noise, a validated stressor known to suppress emotions and elicit reliable HRV responses [28]. This design ensured a consistent stressor from which recovery could be measured.

2.5. Data Processing

Data were analyzed using IBM SPSS Statistics 26.0 (IBM Corp., Armonk, NY, USA). Key variables were calculated as follows:
Physiological Change Scores:
Stress Response: ΔM1 = M1 − M0;
Seated Observation Effect: ΔM2 = M2 − M0;
Walking Observation Effect: ΔM3 = M3 − M0.
Net Recovery Scores (relative to stress state):
seated observation (Seated Recovery): ΔM4 = ΔM2 − ΔM1;
walking observation (Walking Recovery): ΔM5 = ΔM3 − ΔM1.
Psychological Change Scores:
PRS Change: ΔT1 = T2 − T1;
PANAS Change: ΔT2 = T2 − T1.
Note: M denotes mean physiological index value per phase; T denotes mean psychological scale score; Δ denotes change value.
Statistical analyses included ① one-way ANOVA with post hoc tests to examine effects of vegetation type and activity mode on recovery; ② Pearson correlation to explore relationships between physiological and psychological changes; ③ paired-sample t-tests to compare responses across experimental phases. Significance was set at “p < 0.05”.
To account for the hierarchical structure of our data (repeated measures nested within participants), we conducted linear mixed model (LMM) analyses using SPSS (version 26.0). For each dependent variable (HR, pNN50, RMSSD, and R-R interval), we specified a model with vegetation type (five levels), activity mode (sitting vs. walking), and their interaction as fixed effects. Participant ID was included as a random intercept to model individual baseline differences in physiological responses [20]. Restricted maximum likelihood (REML) estimation was used, and Satterthwaite approximation was applied for denominator degrees of freedom [21]. Following significant main effects, pairwise comparisons were conducted using estimated marginal means with least significant difference (LSD) adjustment. The intraclass correlation coefficient (ICC) was calculated as the proportion of total variance attributable to between-participant differences [14].

3. Results

3.1. Impact of Vegetation Structure on Physiological Recovery (HRV)

Replicating the pattern observed in our previous physiological study [14], walking observation consistently induced stronger physiological recovery than seated observation across all vegetation types. However, the current study extends these findings by examining whether this pattern holds when psychological restoration is simultaneously measured (see Section 3.2) and by analyzing the relationship between physiological and psychological recovery pathways (see Section 3.3). Here, we present the net recovery effects (relative to stress state) for seated (ΔM4) and walking (ΔM5) observations, focusing on how these physiological responses relate to the psychological outcomes reported in subsequent sections.

3.1.1. Phase-Specific Changes in HRV Indicators

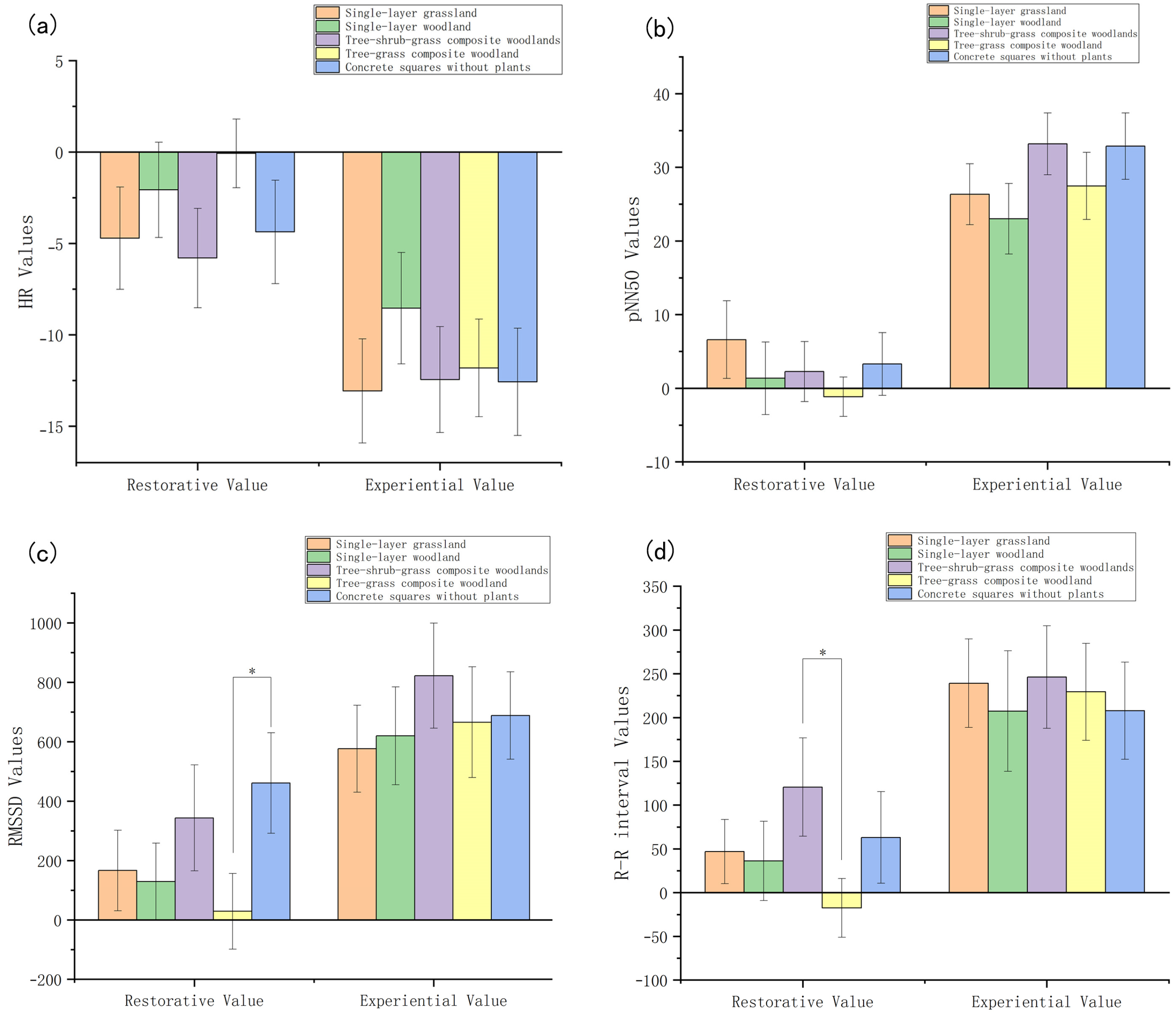
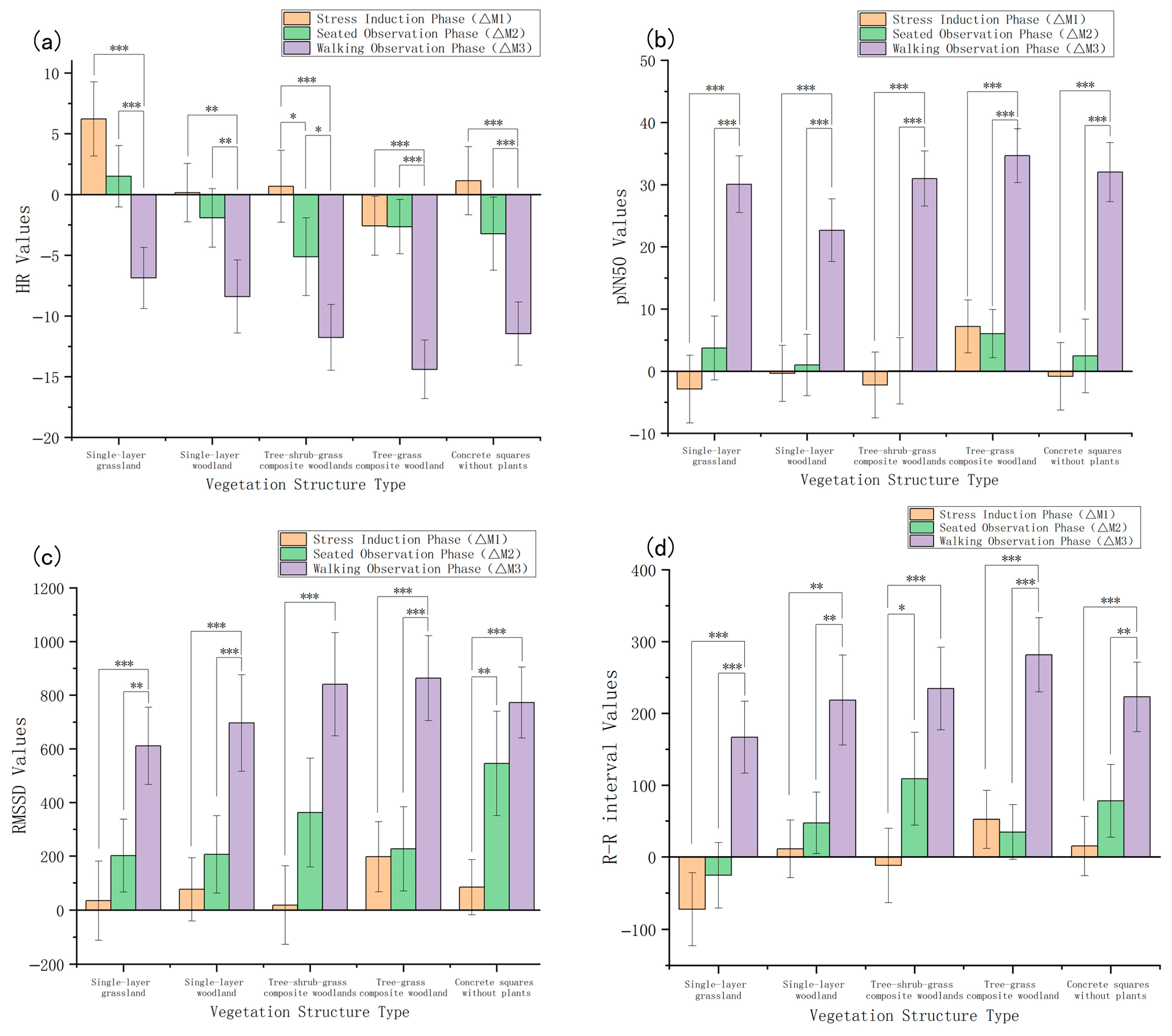
(1) Heart Rate (HR)
Analysis of heart rate (HR) changes across experimental phases revealed a consistent pattern: all five site types induced HR reduction during seated observation relative to the stress induction phase (ΔM1). The tree–shrub–grass composite woodland showed a significant decrease (p = 0.037), while other vegetated sites exhibited non-significant but directional improvements. Walking observation (ΔM3) substantially amplified this effect, with significant HR reductions observed across all site types (p < 0.05 for all, see Figure 2a). Notably, the magnitude of HR reduction during walking was markedly greater than during seated observation for every site type, confirming the role of physical activity as a catalyst for physiological recovery—a pattern consistent with our previous findings [14]. This enhanced autonomic calmness during active engagement provides a physiological context for interpreting the psychological restoration effects reported in Section 3.2. Interestingly, even the non-vegetated square exhibited measurable HR reduction during walking, suggesting that brief exposure to open urban spaces may offer transient stress mitigation, albeit to a lesser extent than vegetated environments.
(2) pNN50
pNN50, an indicator of parasympathetic activity, showed distinct responses across observation modes. During stress induction (ΔM1), pNN50 values approached zero or became slightly negative across all sites, confirming successful sympathetic activation. Seated observation (ΔM2) produced only marginal increases in pNN50, suggesting that passive viewing alone may be insufficient to rapidly restore parasympathetic tone. In striking contrast, walking observation (ΔM3) elicited substantial and significant increases in pNN50 for all site types (p < 0.001), with the tree–shrub–grass composite woodland showing the largest numerical increase (Figure 2b). This pattern—minimal recovery during sitting, robust recovery during walking—parallels the HR findings and underscores the importance of active engagement for physiological restoration. The superior performance of the tree–shrub–grass composite woodland during walking is particularly noteworthy, as it aligns with this site’s favorable psychological ratings (see Section 3.2.1), suggesting that structurally complex vegetation may support both autonomic and affective recovery when experienced dynamically.
(3) RMSSD (Figure 2c)
RMSSD, a sensitive index of parasympathetic modulation, exhibited differential recovery patterns across site types. During seated observation (ΔM2), only the non-vegetated square showed a significant increase in RMSSD relative to stress induction (p = 0.008), suggesting that even built environments may offer transient autonomic relief—a finding that resonates with the brief stress mitigation observed in HR. However, vegetated sites showed no significant seated recovery, indicating that passive viewing alone may not be sufficient to engage parasympathetic activation within this timeframe. Walking observation (ΔM3) dramatically altered this pattern, producing significant RMSSD increases for Single-Layer Grassland (p = 0.002), single-layer woodland (p = 0.001), and tree–grass composite woodland (p = 0.001). Notably, all four vegetated types showed substantial RMSSD increases during walking, whereas the non-vegetated square showed a more modest improvement. This divergence between vegetated and non-vegetated spaces during active engagement has important implications; while brief recovery can occur anywhere, sustained and robust parasympathetic activation requires the sensory richness of vegetated environments—a theme that recurs in the psychological restoration findings (Section 3.2).
(4) R-R Interval (Figure 2d)
R-R interval, representing the time between consecutive heartbeats, provides a direct measure of cardiac calmness. During seated observation (ΔM2), four of the five site types showed increased R-R intervals relative to stress induction, with the tree–shrub–grass composite woodland achieving statistical significance (p = 0.035). This suggests that passive viewing of structurally complex vegetation can promote cardiovascular steadiness—a finding that gains significance when considered alongside the psychological results. Walking observation (ΔM3) produced substantial and significant R-R interval increases for all site types except the tree–shrub–grass composite woodland (p < 0.01 for others), indicating that active engagement universally enhances cardiac calmness. Critically, the R-R interval recovery value during seated observation (ΔM4) showed a weak but significant negative correlation with positive affect change (r = −0.122, p = 0.035), detailed in Section 3.3. This cross-system association—unique to this study—suggests that cardiovascular calmness and positive affective experience may follow different temporal trajectories during short-term green space exposure, a finding that could not be captured in our previous physiological-only investigation [14].
Together, these physiological findings replicate and extend our previous work [14] by demonstrating that walking observation enhances autonomic recovery across all vegetation types. However, the current study advances beyond this replication by linking specific physiological patterns—particularly the R-R interval changes in the tree–shrub–grass composite woodland—to the psychological restoration outcomes reported below (Section 3.2) and the cross-system correlations analyzed in Section 3.3. This integrated approach reveals that while physiological recovery follows consistent patterns across sites and modes, its relationship with psychological restoration is nuanced and temporally dynamic.

3.1.2. Differences in HRV Metrics by Vegetation Structure and Observational Mode

Table 2 presents the net recovery values (ΔM4 for seated observation, ΔM5 for walking observation) for all four HRV indices across the five vegetation structures. While no statistically significant differences were found among vegetation types for most indices during seated observation, several notable trends emerged.
During seated observation, the tree–shrub–grass composite woodland showed the most favorable trends in HR reduction and R-R interval increase, with the R-R interval recovery value differing significantly from the tree–grass composite woodland (p = 0.033). The non-vegetated square also demonstrated measurable relaxation effects during seated observation, particularly in RMSSD, where it significantly outperformed the tree–grass composite woodland (p = 0.042) (Figure 3).
During walking observation, all vegetation types showed substantially enhanced recovery compared to seated observation. The tree–shrub–grass composite woodland exhibited the highest numerical values for pNN50, RMSSD, and R-R interval, suggesting a trend towards superior physiological restoration, although between-group differences did not reach statistical significance (p > 0.05).

3.1.3. Linear Mixed Model Validation

Linear mixed model analyses corroborated the patterns observed in conventional analyses while providing estimates of between-participant variability. For HR recovery, a significant main effect of activity mode was found (F1,531 = 26.65, p < 0.001), with walking inducing greater heart rate reduction than sitting (estimated marginal mean difference = 8.29, SE = 1.61, p < 0.001, 95% CI [5.14, 11.45]) (Table 3). The main effect of vegetation type was not significant (F4,531 = 0.99, p = 0.413), and the vegetation type × activity mode interaction was also non-significant (F4,531 = 0.35, p = 0.846), consistent with the numerical trends observed in Table 2.
Random effects analysis revealed significant between-participant variability (σ2_intercept = 64.01, SE = 19.06, Wald Z = 3.36, p = 0.001), with an intraclass correlation coefficient (ICC) of 0.142. This indicates that 14.2% of the variance in HR recovery was attributable to stable individual differences, confirming the appropriateness of the mixed modeling approach and highlighting the importance of accounting for between-participant heterogeneity in studies of green space exposure.
Similar LMM analyses for pNN50, RMSSD, and R-R interval yielded consistent patterns. Walking significantly outperformed sitting across all vegetation types for pNN50 (F1,531 = 96.25, p < 0.001; mean difference = 26.11, SE = 2.66, p < 0.001, 95% CI [20.88, 31.34]), RMSSD (F1,531 = 23.24, p < 0.001; mean difference = 448.39, SE = 93.02, p < 0.001, 95% CI [265.67, 631.11]), and R-R interval (F1,531 = 32.78, p < 0.001; mean difference = 176.14, SE = 30.77, p < 0.001, 95% CI [115.70, 236.58]). No significant vegetation type main effects or interactions were found for any indicator (all p > 0.05).
These LMM results provide robust confirmation that the superiority of walking over sitting for physiological recovery holds across all vegetation types, while also revealing that individual differences account for a substantial proportion of variance in restorative responses. Detailed LMM results are presented in Table 4.

3.2. Impact of Green Spaces with Different Vegetation Structures on Psychological Recovery in University Students

3.2.1. Impact on the Perceived Restorativeness Scale (PRS)

(1)
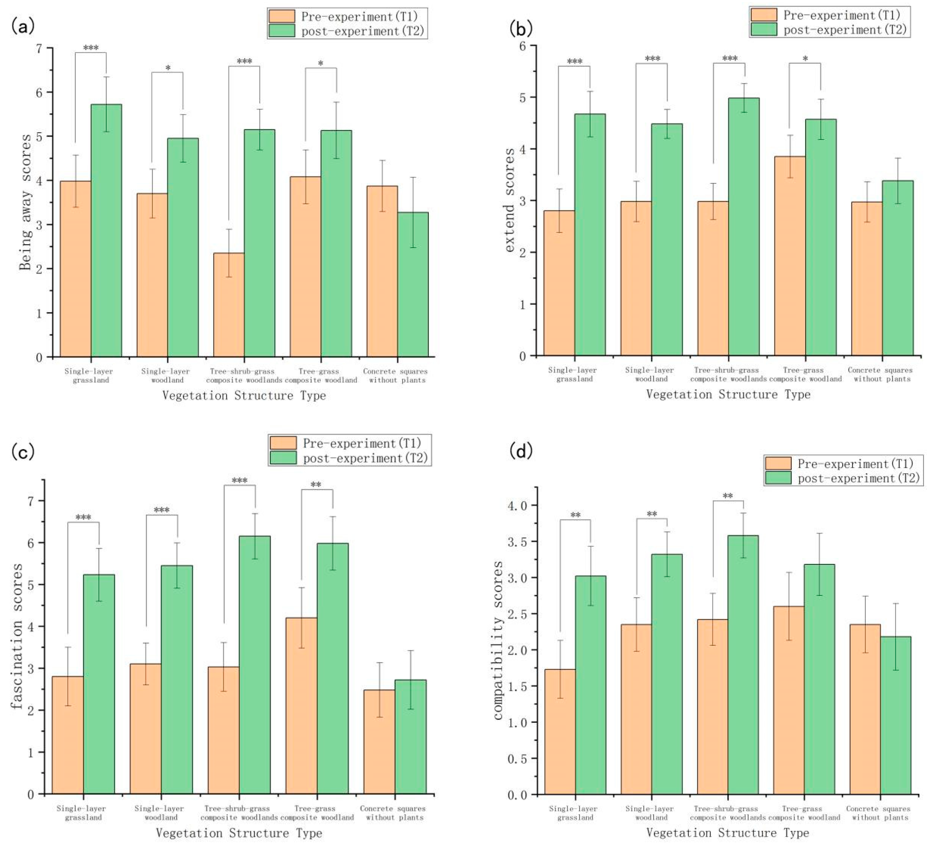
Being Away (Figure 4a)
Participants reported significantly higher “Being Away” scores after exposure to all vegetated green space types (Single-Layer Grassland, single-layer woodland, Tree–Shrub–Grass Composite Woodland, and Tree–Grass Composite Woodland) compared to pre-exposure levels (p < 0.05). In contrast, exposure to the Non-vegetated Concrete Square led to a decline in scores. The rank order of ΔT1 values was Tree–Shrub–Grass Composite Woodland (2.8) > Single-Layer Grassland (1.73) > Single-Layer Woodland (1.25) > Tree–Grass Composite Woodland (1.05) > Non-vegetated Concrete Square (−0.6). Among the vegetated types, Single-Layer Grassland produced the highest absolute post-experience score for this dimension.
(2)
Extent (Figure 4b)
All four vegetated green space types received significantly higher “Extent” scores than the Non-vegetated Concrete Square. The ΔT1 values followed this order: tree–shrub–grass composite woodland (2) > Single-Layer Grassland (1.87) > single-layer woodland (1.5) > tree–grass composite woodland (0.72) > Non-vegetated Concrete Square (0.42). Overall, the tree–shrub–grass composite woodland was rated most favorably for extent.
(3)
Fascination (Figure 4c)
“Fascination” scores were significantly higher after experiencing vegetated green spaces compared to the non-vegetated square. Relative to pre-exposure scores, positive increases were observed for the Tree–Shrub–Grass Composite Woodland, Tree–Grass Composite Woodland, and single-layer woodland, whereas the non-vegetated square showed only a marginal increase. Significant pre-post differences occurred for Single-Layer Grassland (p = 0.001), single-layer woodland (p < 0.001), Tree–Shrub–Grass Composite Woodland (p < 0.001), and Tree–Grass Composite Woodland (p = 0.003). ΔT1 values ranked as follows: Tree–Shrub–Grass Composite Woodland (3.12) > Single-Layer Grassland (2.43) > single-layer woodland (2.35) > Tree–Grass Composite Woodland (1.78) > Non-vegetated Concrete Square (0.23).
(4)
Compatibility (Figure 4d)
Vegetated green spaces scored significantly higher than the non-vegetated square on “compatibility,” while the score for the non-vegetated square decreased significantly. Compared to pre-exposure levels, the Tree–Shrub–Grass Composite Woodland showed a significant increase in compatibility scores. Significant pre-post differences were found for Single-Layer Grassland (p = 0.003), single-layer woodland (p = 0.004), and Tree–Shrub–Grass Composite Woodland (p = 0.001). The order of ΔT1 values was Single-Layer Grassland (1.28) > Tree–Shrub–Grass Composite Woodland (1.17) > single-layer woodland (0.97) > Tree–Grass Composite Woodland (0.58) > Non-vegetated Concrete Square (−0.17).

3.2.2. Intergroup Differences in PRS Dimensions

One-way ANOVA with post hoc comparisons revealed significant differences in score changes (ΔT1) across the five green space types for all four PRS dimensions (Being Away: p < 0.001; Extent: p = 0.003; Fascination: p = 0.013; Compatibility: p = 0.03). The ranking of ΔT1 values for Being Away, Extent, and Fascination was identical: Tree–Shrub–Grass Composite Woodland > Single-Layer Grassland > Single-Layer Woodland > Tree–Grass Composite Woodland > Non-vegetated Concrete Square. For the Compatibility dimension, the ranking was Single-Layer Grassland > Tree–Shrub–Grass Composite Woodland > Single-Layer Woodland > Tree–Grass Composite Woodland > Non-vegetated Concrete Square.
Post hoc multiple comparisons indicated the following significant differences (Figure 5 and Table 5):
① The Non-vegetated Concrete Square differed significantly from all vegetated types: Single-Layer Grassland (p = 0.001), Single-Layer Woodland (p = 0.011), Tree–Shrub–Grass Composite Woodland (p < 0.001), and Tree–Grass Composite Woodland (p = 0.024).
② Extent: Significant differences were found between: Single-Layer Grassland and Tree–Grass Composite Woodland (p = 0.019); Single-Layer Woodland and the Non-vegetated Concrete Square (p = 0.027); Tree–Shrub–Grass Composite Woodland and Tree–Grass Composite Woodland (p = 0.009); and the Non-vegetated Concrete Square and Single-Layer Grassland (p = 0.003), Single-Layer Woodland (p = 0.027), and Tree–Shrub–Grass Composite Woodland (p = 0.001).
③ Fascination: The Non-vegetated Concrete Square differed significantly from Single-Layer Grassland (p = 0.011), Single-Layer Woodland (p = 0.014), and Tree–Shrub–Grass Composite Woodland (p = 0.001).
④ Compatibility: The Non-vegetated Concrete Square differed significantly from Single-Layer Grassland (p = 0.004), Single-Layer Woodland (p = 0.025), and Tree–Shrub–Grass Composite Woodland (p = 0.008).
These results demonstrate that participants exhibited the highest restorative preference for the Tree–Shrub–Grass Composite Woodland, indicating a stronger affinity for green spaces with greater vegetation complexity and visual density.

3.2.3. Impact on the Positive and Negative Affect Schedule (PANAS)

(1)
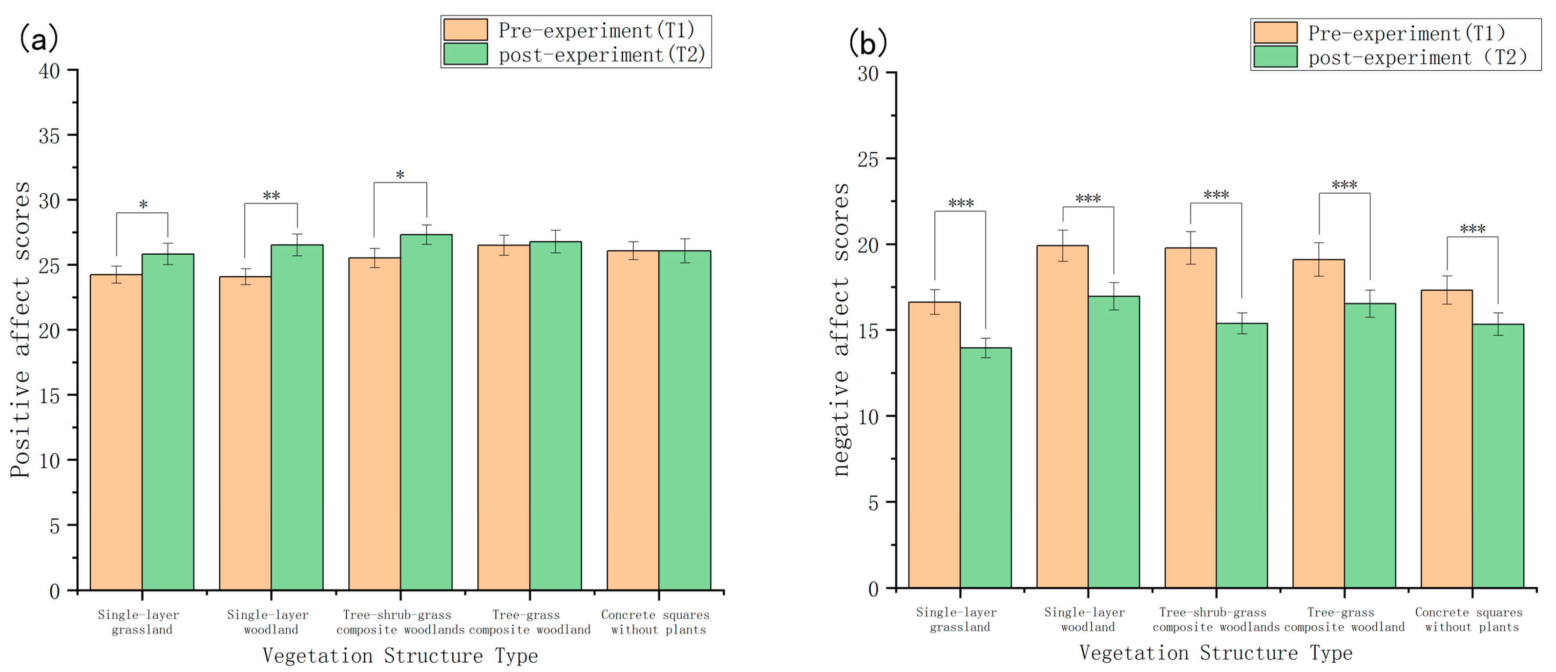
Positive Affect (PA)
Vegetated green spaces yielded significantly higher positive affect scores than the Non-vegetated Concrete Square, which showed negligible pre-post change. Among all types, Single-Layer Woodland produced the most pronounced increase in PA relative to pre-experience levels. Significant pre-post differences were observed for Single-Layer Grassland (p = 0.036), Single-Layer Woodland (p = 0.003), and Tree–Shrub–Grass Composite Woodland (p = 0.017). The order of ΔT2 (ΔPA) values was Single-Layer Woodland (2.45) > Tree–Shrub–Grass Composite Woodland (1.8) > Single-Layer Grassland (1.6) > Tree–Grass Composite Woodland (0.28) > Non-vegetated Concrete Square (0). This indicates that Single-Layer Woodland showed a trend towards being most conducive to enhancing positive mood (Figure 6a).
(2)
Negative Affect (NA)
Vegetated green spaces (except Tree–Grass Composite Woodland) produced a more pronounced reduction in negative affect scores compared to the Non-vegetated Concrete Square. The pre-post change for the square was smaller than for all vegetated types. Single-Layer Woodland resulted in the lowest post-experience NA score, and significant pre-post reductions were observed for all green space types (p < 0.001). The order of ΔT2 (ΔNA) values was Tree–Shrub–Grass Composite Woodland (−4.4) > Single-Layer Woodland (−2.95) > Single-Layer Grassland (−2.67) > Tree–Grass Composite Woodland (−2.57) > Non-vegetated Concrete Square (−1.98). This suggests that while all spaces could reduce negative affect, vegetated environments had a more substantial effect (Figure 6b).
(3)
Positive-Negative Affect Difference Score (PNADS)
Vegetated green spaces achieved significantly higher PNADS than the Non-vegetated Concrete Square and the Tree–Grass Composite Woodland, with the square showing negligible change. Relative to pre-experience scores, Single-Layer Woodland again showed the greatest improvement. Significant pre-post increases were confirmed for Single-Layer Grassland (p = 0.036), Single-Layer Woodland (p = 0.003), and Tree–Shrub–Grass Composite Woodland (p = 0.017). The ranking of ΔT2 (ΔPNADS) values mirrored that of Positive Affect. These findings indicate that all green spaces promoted overall emotional improvement, with vegetated types being more effective (Figure 7).
(4)
Intergroup Differences in PANAS Dimensions
One-way ANOVA with post hoc comparisons revealed that among the three PANAS dimensions, only the Positive-Negative Affect Difference Score (PNADS) showed a statistically significant effect of vegetation structure (p = 0.04), while the other dimensions did not differ significantly across types (p > 0.05). For Positive Affect (PA), the Single-Layer Woodland produced the greatest improvement, differing significantly from the Non-vegetated Concrete Square (p = 0.02). Regarding Negative Affect (NA), the Tree–Shrub–Grass Composite Woodland was most effective in reducing NA, showing a significant difference compared to the Tree–Grass Composite Woodland (p = 0.041). For PNADS, the Tree–Shrub–Grass Composite Woodland showed the best trend towards the overall emotional recovery effect. Significant differences were observed between the Non-vegetated Concrete Square and both the Single-Layer Woodland (p = 0.028) and the Tree–Shrub–Grass Composite Woodland (p = 0.007) (Table 6 and Figure 8). These findings indicate that the Single-Layer Woodland is particularly conducive to enhancing positive mood, whereas the Tree–Shrub–Grass Composite Woodland effectively suppresses negative affect and promotes overall emotional recovery.

3.3. Correlation Between Physiological and Psychological Recovery

A central contribution of this study is the examination of associations between physiological and psychological restoration. Bivariate correlation analysis (Figure 9) revealed a multi-layered relational pattern characterized by strong within-system coherence but limited cross-system coupling.

3.3.1. Within-System Coherence

Within each measurement system, strong internal correlations were observed. Physiologically, the recovery values (seated observation) and experiential values (walking observation) of key HRV indices were significantly positively correlated (pNN50: r = 0.300 *, p < 0.05; RMSSD: r = 0.300 *, p < 0.05), indicating consistency in individuals’ physiological regulation capacity across different scenarios. This suggests that individuals who exhibited stronger physiological relaxation during seated observation also displayed enhanced parasympathetic activation during walking observation, reflecting trait-like stability in physiological regulation [21,29,30].
Psychologically, Positive Affect (PA) was very strongly positively correlated with the composite PNADS (r = 0.821 *, p < 0.001), while Negative Affect (NA) was very strongly negatively correlated with PNADS (r = −0.703 *, p < 0.001). This pattern robustly corroborates the two-dimensional model of affect [31,32,33], confirming that psychological restoration in green spaces arises from the concurrent upregulation of positive emotions and downregulation of negative ones.

3.3.2. A Counterintuitive Cross-System Association: Physiological Calmness Negatively Correlates with Positive Affect

A specific cross-system association was identified: the R-R interval recovery value (ΔM4) showed a weak but statistically significant negative correlation with the Positive Affect (PA) change score (r = −0.122 *, p = 0.035). While this finding initially appears counterintuitive—one might expect physiological calmness to correlate positively with positive affect—several plausible explanations account for this pattern.
First, temporal dissociation between physiological and psychological recovery processes may explain the weak negative correlation. Physiological restoration, indexed by R-R interval prolongation, begins immediately upon stress cessation and follows a relatively rapid time course [34]. In contrast, the subjective experience of positive affect enhancement may require longer exposure or integration of multi-sensory input before becoming consciously accessible [35]. The R-R interval recovery value (ΔM4) captures change during the initial 3 min seated observation phase, while the PA change score reflects the cumulative experience of both seated and walking observation (6 min total). This temporal mismatch could attenuate or even reverse expected correlations. Research on the time course of stress recovery has demonstrated that autonomic parameters and subjective emotional states can follow different temporal trajectories, with physiological recovery sometimes preceding or lagging behind psychological recovery depending on individual characteristics [36].
Second, individual differences in “physiological–psychological coupling” may contribute to the observed pattern. Individuals vary in their interoceptive sensitivity—the ability to perceive and interpret internal bodily signals [37]. Some individuals may show strong physiological responses with muted psychological awareness (low interoceptive sensitivity), while others experience the opposite pattern (high interoceptive sensitivity). A recent study by Shen et al. [37] found that interoceptive sensibility mediates the relationship between mind–body interventions and anxiety reduction, suggesting that the integration of physiological and psychological states is not automatic but depends on individual differences in body awareness. In our sample, if participants with weaker physiological responses (lower R-R interval recovery) happened to have higher interoceptive sensitivity or greater emotional reactivity, they might report stronger positive affect despite—or even because of—their attenuated physiological calmness.
Third, the statistical nature of the correlation warrants consideration. With r = −0.122, this is a weak correlation explaining less than 1.5% of the variance (r2 ≈ 0.015). The p-value of 0.035 sits just below the conventional significance threshold, indicating a marginal effect. Such weak correlations are not uncommon in psychophysiological research, where autonomic and affective systems often show modest associations under short-term exposure conditions [38]. A recent study by Stopforth et al. [38] similarly found that while urban park exposure led to both decreased distress and increased parasympathetic activity, “the relationship between changes in stress and HRV remain unclear,” suggesting that physiological and psychological recovery may not be directly coupled in simple, linear ways.
Fourth, a non-linear or U-shaped relationship between physiological calmness and positive affect is possible. Extremely high levels of physiological relaxation (very long R-R intervals) might, for some individuals, border on drowsiness or disengagement rather than positive valence calmness, particularly for young, active populations. Conversely, moderate levels of physiological arousal (slightly shorter R-R intervals) might accompany the “engaged relaxation” characteristic of pleasant environmental exploration. This interpretation aligns with attention restoration theory’s concept of “soft fascination,” which posits that restorative environments engage attention effortlessly without overwhelming it [3]—a state that may involve mild physiological activation rather than deep relaxation. This finding, while modest, is theoretically significant. It suggests that physiological and psychological recovery may operate as parallel processes with distinct temporal dynamics rather than as tightly coupled systems—a nuance that could not be captured in our previous physiological-only study [14]. Future research employing longer exposure durations and continuous, real-time measurement of both systems could reveal stronger coupling as these processes become integrated over time.

3.3.3. Implications for Understanding Nature Restoration

The general decoupling between most physiological and psychological indicators, coupled with the specific weak negative correlation between R-R interval recovery and positive affect, suggests that under short-term exposure (6 min), autonomic and affective systems operate largely as parallel processes with distinct temporal dynamics. This interpretation is consistent with emerging perspectives in psychophysiology suggesting that integration of physiological and psychological states occurs over longer time scales or requires specific conditions such as mindful attention to bodily states [37,39].
These findings have important implications for restorative environment research. First, they underscore the importance of multi-modal assessment—relying solely on physiological or psychological measures provides an incomplete picture of restorative processes. Second, they highlight the need for temporally resolved measurements that can capture the dynamic interplay between systems as they unfold over time. Future studies employing continuous, real-time measurement of both systems with time-lagged correlation analysis, longer exposure durations (e.g., 20–30 min), and assessment of individual difference variables such as interoceptive sensitivity [37] and trait anxiety [36] could reveal stronger coupling as these processes become integrated over time.

4. Discussion

4.1. The Triadic Framework and the Mind–Body Link in Summer Green Space Restoration

This study extends our previous work [14] by simultaneously examining physiological and psychological restoration, revealing a complex relationship between these two systems. While our earlier research focused exclusively on physiological responses across seasons, the current study integrates psychological measures to test the often-assumed but rarely examined coupling between autonomic and affective pathways. Our results support a triadic framework where restoration emerges from the interplay of vegetation coverage, structural complexity, and user activity. However, the novel and distinguishing contribution of this study lies in identifying the nuanced—and partially dissociated—relationship between physiological and psychological responses to green space exposure—a finding with implications for both theory and design.
First, while our previous research demonstrated that walking generally enhances physiological recovery, the current study reveals that this effect is nuanced by vegetation structure and season. Although not all pairwise comparisons reached statistical significance, particularly for HRV indices, the tree–shrub–grass composite woodland consistently showed the most favorable numerical trends across psychological measures and some physiological indicators, suggesting its potential as an optimal structure for restoration. This aligns with Attention Restoration Theory’s emphasis on “soft fascination” [40]—rich visual elements and biological detail in complex vegetation structures may engage involuntary attention effortlessly, allowing directed attention to rest.
Second, and more importantly, the significant correlation between R-R interval recovery and positive affect provides a potential mechanism linking green space characteristics to emotional well-being. This finding resonates with emerging theories of embodied cognition and recent neuroscientific evidence. Moll et al. [31] observed that enhanced parasympathetic activity following nature exposure occurs alongside improvements in positive emotions. Our results extend this by suggesting that the parasympathetically mediated cardiovascular steadiness induced by green space exposure may constitute an important somatic condition for positive affective experience. The R-R interval, reflecting heart rate stability, may serve as a physiological marker of the “calm connection” state that characterizes restorative nature experiences.
Third, the general decoupling between most physiological and psychological indicators observed in this study warrants discussion. Under short-term exposure (6 min total), autonomic nervous system regulation and immediate shifts in subjective feeling may operate via relatively independent pathways, with different response latencies. Physiological changes may precede conscious emotional awareness, or vice versa. This temporal dissociation could explain the lack of widespread correlations. Future research employing continuous, real-time measurement of both systems and time-lagged correlation analysis could further elucidate these dynamics.
From a practical design standpoint, our findings suggest that to optimize restorative potential during summer, urban planners should aim for a target canopy coverage of 40–50% in rest areas, achieved through a multi-layered structure. This range balances adequate shading and sensory complexity (as seen in the tree–shrub–grass composite woodland) with a sense of openness that avoids feelings of enclosure that could deter use. For walking paths, a slightly more open structure (e.g., Single-Layer Grassland with adjacent tree lines, or tree–grass composite) with canopy coverage between 30 and 40% may be preferable to maintain visual permeability and wayfinding ease while still providing physiological benefits.

4.2. Physiological–Psychological Recovery Linkages: Intra-System Synergy and Specific Cross-System Associations

4.2.1. Temporal Dynamics of Physiological and Psychological Recovery

The weak negative correlation between R-R interval recovery and positive affect (r = −0.122, p = 0.035) provides important insights into the temporal dynamics of restoration—a dimension absent from our previous physiological study [14]. Rather than indicating that physiological calmness directly opposes positive affect, this finding suggests that physiological and psychological recovery follow different time courses under brief exposure conditions. Brown et al. [34] demonstrated that viewing nature scenes alters autonomic activity rapidly, while subjective mood changes follow a different trajectory. In the context of green space exposure, it is plausible that some participants experienced rapid physiological relaxation during seated observation, but this relaxation had not yet translated into consciously accessible positive affect by the time of psychological assessment. This temporal mismatch, which could not be detected in our earlier work [14], underscores the need for temporally resolved measurement in future research.
This temporal dissociation is consistent with research on the time course of stress recovery. Willmann et al. [36] found that physiological recovery following a cognitive stressor depends on individual characteristics such as trait anxiety level, with high-anxiety individuals showing prolonged physiological responses even when subjective stress had subsided. In the context of green space exposure, it is plausible that some participants experienced rapid physiological relaxation (indexed by R-R interval prolongation) during seated observation, but this relaxation had not yet translated into consciously accessible positive affect by the time of psychological assessment. Conversely, participants who showed weaker physiological responses may have been more attuned to the environmental experience, perhaps engaging in more mindful observation that facilitated positive affect despite or because of mild physiological arousal.
From a sustainability perspective, these findings have broader implications beyond individual health outcomes. Multi-layered vegetation structures that promote restoration (such as the tree–shrub–grass composite woodland) also contribute to multiple ecosystem services: enhanced shading reduces urban heat island effects, complex vegetation supports greater biodiversity, and attractive green spaces encourage physical activity and social interaction. This multi-functionality aligns with the concept of nature-based solutions—interventions that address societal challenges while providing environmental, social, and economic benefits. By demonstrating the health co-benefits of structurally complex vegetation, our study strengthens the case for investing in high-quality green infrastructure as a core component of sustainable urban development.

4.2.2. The Role of Interoceptive Awareness

The observed decoupling may also reflect individual differences in interoceptive awareness—the ability to perceive and interpret internal bodily states [37]. Research from the Chinese Academy of Sciences [37] demonstrated that interoceptive sensibility mediates anxiety reduction following mind–body interventions, and that this process is associated with heart rate variability. Individuals with higher interoceptive sensitivity may show stronger coupling between physiological and psychological states, while those with lower sensitivity may experience these systems as relatively independent. This study did not screen or assess participants for interoceptive awareness, which represents a limitation and may partially account for the weak cross-system correlation observed; future research should address this critical gap. It is recommended that subsequent studies incorporate measures of interoceptive sensitivity [37] to test whether individuals who are more attuned to their bodily states exhibit stronger physiological–psychological coupling during green space exposure. This research design aligns with theoretical work indicating that sensory awareness plays a pivotal role in integrating exteroceptive (environmental) and interoceptive (bodily) information [39].

4.2.3. Implications for Restorative Environment Theory

These findings refine our understanding of how green spaces promote well-being. Classic theories such as Stress Reduction Theory [2] and Attention Restoration Theory [3] posit that nature exposure leads to coordinated physiological and psychological recovery. However, they do not specify the temporal dynamics of this coordination. Our results suggest that under short-term exposure, physiological and psychological recovery may operate as parallel processes that integrate only over longer time scales or under specific conditions.
This interpretation aligns with recent research on the dose–response relationship between nature exposure and health outcomes. A study presented at the American Heart Association’s 2024 Scientific Sessions [38] found that while urban park exposure led to both decreased distress and increased parasympathetic activity across a 40 min session, the relationship between changes in stress and HRV “Presented at the 2024 American Heart Association (AHA) Scientific Sessions (16–18 November 2024, Chicago, IL, USA). Abstract entitled: Acute effects of 40 min urban park exposure on autonomic function and perceived stress in adults”. This suggests that even with longer exposure, the coupling between systems may be complex and non-linear.
The practical implication is that restorative environments should be designed to support both physiological and psychological recovery processes, recognizing that these may unfold over different time scales. Seating areas that encourage quiet observation may facilitate rapid physiological relaxation, while walking paths that engage attention and provide varied sensory experiences may support the slower emergence of positive affect. The combination of both, as demonstrated in this study, provides complementary benefits that together constitute comprehensive restoration.

4.3. Limitations and Future Research Directions

This study has several limitations that should be considered when interpreting the findings. First, while we have extended our previous physiological analysis to include psychological measures, the relatively brief exposure duration (3 min per observation mode) may not capture the full trajectory of restoration. Longer exposures could reveal different patterns, such as a plateau or further enhancement of benefits, or could strengthen the observed physiological–psychological correlations that were limited in this study.
Second, although the experiment was conducted under generally consistent weather conditions (mean temperature 26.8 °C ± 2.75 °C), we did not measure on-site microclimatic variables (e.g., exact temperature, humidity, illuminance, or thermal comfort indices) at each vegetation plot. Given that different vegetation structures create distinct microclimates—particularly the shading and cooling effects of dense canopies in summer—some of the observed physiological responses, especially heart rate reduction, may be partially attributable to differences in thermal comfort rather than solely to visual or perceptual features. This represents an important confound that future research should address by integrating portable micro-weather stations.
Third, the reliance on a homogeneous sample of young university students (aged 17–25) limits the external validity of our findings. This demographic typically exhibits high physiological resilience and specific esthetic preferences, which may not be representative of other age groups (e.g., children, elderly) or populations with different health statuses or cultural backgrounds. Therefore, the observed superiority of the tree–shrub–grass composite woodland, and the specific correlation between R-R interval and positive affect, should be generalized to the broader population with caution. Future research should employ stratified sampling to capture the diversity of user groups in urban green spaces.
Fourth, while we identified a significant correlation between R-R interval recovery and positive affect, correlation does not imply causation. It remains unclear whether physiological calmness facilitates positive emotions, whether positive emotions induce physiological calmness, or whether a third variable (e.g., individual differences in nature-relatedness) drives both. Experimental designs that manipulate one system while measuring the other, or longitudinal studies tracking both systems over time, could help establish causal direction.
Fifth, while we identified a significant correlation between R-R interval recovery and positive affect, we did not assess individual difference variables such as interoceptive sensitivity [37] or trait anxiety [36], which may moderate the strength of physiological–psychological coupling. Future research should incorporate these measures to test whether individuals who are more attuned to their bodily states show stronger integration of autonomic and affective responses during green space exposure.

4.4. Implications for Sustainable Urban Development

This study contributes to the growing evidence base for integrating health-promoting green infrastructure into sustainable urban planning frameworks. By demonstrating that structurally complex vegetation (e.g., tree–shrub–grass woodlands) enhances both physiological and psychological restoration, our findings support multiple United Nations Sustainable Development Goals (SDGs): ① SDG 3 (Good Health and Well-being): Evidence-based design guidelines for stress-reducing urban environments. ② SDG 11 (Sustainable Cities and Communities): Strategies for creating inclusive, resilient, and health-promoting public spaces. ③ SDG 13 (Climate Action): Documentation of summer-specific benefits (shading, cooling) that enhance climate resilience
The multi-functional benefits of complex vegetation structures—restoration, thermal comfort, and biodiversity support—underscore the value of nature-based solutions in urban contexts. Urban planners should prioritize structural complexity in green infrastructure investments as a strategy for maximizing multi-functional sustainability outcomes. Future research should quantify these co-benefits through integrated assessment frameworks, enabling cost–benefit analyses that capture the full value of green infrastructure investments.

5. Conclusions

Through a controlled field experiment integrating physiological and psychological measures, this study systematically elucidates the differential effects of summer green spaces with varying vegetation structures on university students’ restoration, and identifies a specific psychophysiological pathway linking these outcomes. These findings contribute to the growing evidence base for integrating health-promoting green infrastructure into sustainable urban development strategies.
First, this study extends our previous work by demonstrating that the health benefits of green spaces operate through both physiological and psychological channels, with a specific linkage between cardiovascular calmness (R-R interval recovery) and positive affective experience. This finding provides empirical support for the embodied cognition perspective on nature’s restorative effects, suggesting that the parasympathetically mediated steady state induced by green space exposure may serve as a somatic foundation for positive emotional experiences. However, beyond this specific cross-system association, physiological and psychological indicators largely operated as parallel processes with distinct temporal dynamics under short-term green space exposure. While strong internal coherence was observed within each system (HRV indices correlating with each other; PA and NA strongly correlated with PNADS), cross-system correlations were otherwise minimal. This pattern underscores the importance of multi-modal assessment in restorative environment research and suggests that future studies should employ longer exposure durations and time series analysis to fully capture the integration of physiological and psychological recovery processes.
Second, the tree–shrub–grass composite woodland consistently exhibited the most favorable trends across all psychological restoration dimensions and displayed numerical advantages in physiological recovery, which underscores the critical role of vegetation structural complexity in enhancing restorative quality; notably, the most statistically significant evidence for such structural differentiation was observed in psychological restoration, where clear between-group differences were detected. From a sustainability perspective, this finding suggests that multi-layered vegetation structures represent a form of “nature-based solution” that delivers co-benefits: enhancing human well-being while potentially supporting biodiversity and microclimate regulation. Urban planners should therefore prioritize structural complexity in green space design as a strategy for maximizing the multi-functional performance of green infrastructure, contributing to SDG 11 (Sustainable Cities and Communities).
Third, user activity mode remains a critical activator of green space benefits, with walking producing significantly greater physiological recovery than seated observation across all vegetation structures. This finding, consistent with our previous research, implies that green spaces designed to encourage mild physical activity can more effectively translate static landscape potential into dynamic health gains. From a sustainable urban design perspective, this highlights the importance of integrating walkable paths through complex vegetation zones to maximize both health outcomes and the utilization of green infrastructure.
Fourth, the observed temporal dissociation between most physiological and psychological indicators—alongside the specific R-R interval-PA correlation—points to important directions for future research. Studies employing longer exposure durations (20–40 min), continuous measurement of both systems, time series analysis, and assessment of individual difference variables such as interoceptive sensitivity and trait anxiety could reveal stronger coupling as these processes become integrated over time. Additionally, investigating whether specific green space characteristics (e.g., complexity, enclosure, and biodiversity) differentially affect physiological versus psychological recovery could inform more targeted design interventions.
This study is subject to limitations, including a homogeneous sample, a single-season (summer) focus, and relatively brief exposure durations. Future research should adopt longitudinal, multi-season designs across diverse populations. Integrating more precise spatial metrics and multimodal physiological monitoring will help clarify the dose–response relationships and neuroendocrine mechanisms underlying the “vegetation structure–activity mode–mind–body response” pathway.
From a practical perspective, these findings translate into actionable guidelines for urban landscape architects: (1) prioritize multi-layered tree–shrub–grass structures in areas designated for passive recreation; (2) integrate comfortable walking circuits through or adjacent to these complex vegetation zones to maximize physiological benefits; (3) recognize that physiological and psychological recovery may require different time scales and design spaces that accommodate both rapid relaxation (seating areas) and slower emergence of positive affect (walking paths); and (4) consider designing small, enclosed hardscape squares surrounded by vegetation as “restorative pockets” in highly urbanized areas where extensive planting is impossible.
In summary, this study advocates for a more nuanced and dynamic paradigm in sustainable, health-oriented green space design. Under summer and similar climatic conditions, priority should be given to creating composite green spaces that integrate complex vegetation structure, defined spatial enclosure, and walking-friendly design. These evidence-based design strategies can help cities achieve multiple sustainability goals simultaneously: improving public health outcomes, enhancing climate resilience through shading and cooling, and supporting biodiversity. By explicitly linking vegetation structure to human well-being, this study provides actionable knowledge for creating sustainable, livable, and healthy cities in an era of climate change and urbanization.
This research directly supports the United Nations Sustainable Development Goals (SDGs). By demonstrating how specific vegetation structures can enhance both physiological and psychological restoration, our findings contribute to SDG 3 (Good Health and Well-being) by providing evidence for health-promoting urban environments. The focus on summer conditions and climate resilience aligns with SDG 13 (Climate Action), while the implications for urban planning support SDG 11 (Sustainable Cities and Communities). These multi-dimensional benefits underscore the importance of integrating health considerations into sustainable urban development frameworks.

Author Contributions

Conceptualization, Y.D. and L.Y.; methodology, Y.D.; software, Y.D.; validation, Y.D. and L.Y.; formal analysis, Y.D.; investigation, Y.D.; resources, Y.D. and L.Y.; data curation, Y.D.; writing—original draft preparation, Y.D.; writing—review and editing, Y.D.; visualization, Y.D.; supervision, H.B. and S.L.; project administration, H.B. and S.L.; funding acquisition, Y.D. and L.Y. All authors have read and agreed to the published version of the manuscript.

Funding

This research was supported by the Fundamental Research Funds for the Central Universities, CHD, Shaanxi, China (Grant Numbers: 300102415106 and 300102411103) and the Natural Science Basic Research Program of Shaanxi Province for Young Scholars (Grant Number: S2025-JC-QN-0570).

Institutional Review Board Statement

The study was conducted in accordance with the Declaration of Helsinki, and the protocol was approved by the Ethics Committee of the College of Architecture, Chang’an University on 10 January 2026.

Informed Consent Statement

Informed consent was obtained from all subjects involved in the study.

Data Availability Statement

The original contributions presented in this study are included in the article. Further inquiries can be directed to the corresponding author.

Acknowledgments

We would like to thank our volunteers for helping us prepare for the experiment and the 300 college students who participated in our survey. We are grateful to Northwest A&F University for providing the experimental facilities and support during the data collection phase. We also acknowledge Chang’an University for supporting the data analysis and manuscript preparation, and for providing ethical oversight for publication. We are grateful to the “Scientific Research Support” project provided by Kingfar International, Inc., for the research’s technical support.

Conflicts of Interest

The authors declare no conflicts of interest.

References

  1. Van den Berg, A.E.; Jorgensen, A.; Wilson, E.R. Evaluating restoration in urban green spaces: Does setting type make a difference? Landsc. Urban Plan. 2014, 127, 173–181. [Google Scholar] [CrossRef]
  2. Ulrich, R.S.; Simons, R.F.; Losito, B.D.; Fiorito, E.; Miles, M.A.; Zelson, M. Stress recovery during exposure to natural and urban environments. J. Environ. Psychol. 1991, 11, 201–230. [Google Scholar] [CrossRef]
  3. Kaplan, R.; Kaplan, S. The Experience of Nature: A Psychological Perspective; Cambridge University Press: Cambridge, UK, 1989. [Google Scholar]
  4. Berman, M.G.; Jonides, J.; Kaplan, S. The cognitive benefits of interacting with nature. Psychol. Sci. 2008, 19, 1207–1212. [Google Scholar] [CrossRef] [PubMed]
  5. Bowler, D.E.; Buyung-Ali, L.M.; Knight, T.M.; Pullin, A.S. A systematic review of evidence for the added benefits to health of exposure to natural environments. BMC Public Health 2010, 10, 456. [Google Scholar] [CrossRef] [PubMed]
  6. Gao, T.; Liang, H.; Chen, Y.; Qiu, L. Comparisons of landscape preferences through three different perceptual approaches. Int. J. Environ. Res. Public Health 2019, 16, 4754. [Google Scholar] [CrossRef]
  7. Jorgensen, A.; Hitchmough, J.; Calvert, T. Woodland spaces and edges: Their impact on perception of safety and preference. Landsc. Urban Plan. 2002, 60, 135–150. [Google Scholar] [CrossRef]
  8. Gatersleben, B.; Andrews, M. When walking in nature is not restorative—The role of prospect and refuge. Health Place 2013, 20, 91–101. [Google Scholar] [CrossRef]
  9. Wang, R.; Zhao, J.; Meitner, M.J.; Hu, Y.; Xu, X. Characteristics of urban green spaces in relation to aesthetic preference and stress recovery. Urban For. Urban Green. 2019, 41, 6–13. [Google Scholar] [CrossRef]
  10. Li, H.; Du, J.; Chow, D. Perceived environmental factors and students’ mental wellbeing in outdoor public spaces of university campuses: A systematic scoping review. Build. Environ. 2024, 265, 112023. [Google Scholar] [CrossRef]
  11. Xie, H.; Li, X.; Li, J. Comfort-based design of summer green space optimization in arid oasis-type cities. J. Therm. Biol. 2025, 127, 104020. [Google Scholar] [CrossRef]
  12. Kuper, R. Here and gone: The visual effects of seasonal changes in plant and vegetative characteristics on landscape preference criteria. Landsc. J. 2013, 32, 65–78. [Google Scholar] [CrossRef]
  13. Melon, M.; Sikorski, P.; Archicinski, P.; Laszkiewicz, E.; Hoppa, A.; Zaniewski, P.; Zaniewska, E.; Struzynski, W.; Sudnik-Wojcikowska, B.; Sikorska, D. Nature on our doorstep: How do residents perceive urban parks vs. biodiverse areas? Landsc. Urban Plan. 2024, 247, 105059. [Google Scholar] [CrossRef]
  14. Duan, Y.; Bai, H.; Li, S. Human Physiological Responses to Sitting and Walking in Green Spaces with Different Vegetation Structures: A Seasonal Comparative Study. Forests 2024, 15, 1759. [Google Scholar] [CrossRef]
  15. Półrolniczak, M.; Potocka, I.; Kolendowicz, L.; Rogowski, M.; Kupiński, S.; Bykowski, A.; Młynarczyk, Z. The impact of biometeorological conditions on the perception of landscape. Atmosphere 2019, 10, 264. [Google Scholar] [CrossRef]
  16. Bielinis, E.; Takayama, N.; Boiko, S.; Omelan, A.; Bielinis, L. The effect of winter forest bathing on psychological relaxation of young Polish adults. Urban For. Urban Green. 2018, 29, 276–283. [Google Scholar] [CrossRef]
  17. Brooks, A.M.; Ottley, K.M.; Arbuthnott, K.D.; Sevigny, P. Nature-related mood effects: Season and type of nature contact. J. Environ. Psychol. 2017, 54, 91–102. [Google Scholar] [CrossRef]
  18. Gatti, E.T.J.; Brownlee, M.T.J.; Bricker, K.S. Winter recreationists’ perspectives on seasonal differences in the outdoor recreation setting. J. Outdoor Recreat. Tour. 2022, 37, 100366. [Google Scholar] [CrossRef]
  19. Candas, V.; Dufour, A. Thermal comfort: Multisensory interactions? J. Physiol. Anthropol. Appl. Hum. Sci. 2005, 24, 33–36. [Google Scholar] [CrossRef]
  20. Duan, Y.; Li, S. Study of different vegetation types in green space landscape preference: Comparison of environmental perception in winter and summer. Sustainability 2022, 14, 3906. [Google Scholar] [CrossRef]
  21. Plaza-Florido, A.; Sacha, J.; Alcantara, J.M.A. Heart rate variability and cardiorespiratory fitness in youth populations: The impact of heart rate on data analysis. J. Hum. Kinet. 2023, 86, 1. [Google Scholar] [CrossRef]
  22. Yang, Y.; Jiang, B.; Wang, L.; Zhou, Y.; Li, B.; Gong, P. Thinking beyond general greenness: The nuanced associations between a variety of greenspaces and cardiovascular diseases across urbanicity. Landsc. Urban Plan. 2025, 253, 105223. [Google Scholar] [CrossRef]
  23. Duan, Y.; Bai, H.; Yang, L.; Li, S.; Zhu, Q. Impact of seasonal changes in urban green spaces with diverse vegetation structures on college students’ physical and mental health. Sci. Rep. 2024, 14, 16277. [Google Scholar] [CrossRef]
  24. Elsadek, M.; Sun, M.; Fujii, E. Psycho-physiological responses to plant variegation as measured through eye movement, self-reported emotion and cerebral activity. Indoor Built Environ. 2017, 26, 758–770. [Google Scholar] [CrossRef]
  25. Eun, Y.; Henry, T.; Ayinla, R.; Raiszadeh, F. Comparison of Workout Heart Rates in Obese and Non-Obese Individuals Using Wearable Devices. Circulation 2023, 148, A12825. [Google Scholar] [CrossRef]
  26. Goodyke, M.; Bronas, U.G.; Baynard, T.; Tintle, N.; Devon, H.A.; Collins, E.G.; Dunn, S.L. Decreased Perceived Social Support and Heart Rate Variability Are Associated with Hopelessness in Patients with Ischemic Heart Disease. Circulation 2023, 148, A14007. [Google Scholar] [CrossRef]
  27. Duan, Y.; Li, S. Effects of plant communities on human physiological recovery and emotional reactions: A comparative onsite survey and photo elicitation study. Int. J. Environ. Res. Public Health 2022, 19, 721. [Google Scholar] [CrossRef]
  28. Narvaez-Valderrama, J.F.; González, J.D.; Trejos-Zapata, N.; Cañizarez-Sanguino, S.; Zuluaga-Viscaya, J.; Diaz-Ruiz, L. Noise exposure and its effect on heart rate, blood pressure, and cortisol levels: A review. Iatreia 2023, 36, 525–537. [Google Scholar]
  29. Lin, Y.X.; Liu, Y. Let the city heal you: Environment and activity’s distinct roles in leisure restoration and satisfaction. Cities 2024, 154, 105336. [Google Scholar] [CrossRef]
  30. Amati, M.; Parmehr, E.G.; McCarthy, C.; Sita, J. How eye-catching are natural features when walking through a park? Eye-tracking responses to videos of walks. Urban For. Urban Green. 2018, 31, 67–78. [Google Scholar] [CrossRef]
  31. Moll, A.; Collado, S.; Ratcliffe, E.; Sorrel, M.; Corraliza, J.A. Exposure to nature scenes mitigates the adverse effects of adolescents’ social ostracism. J. Environ. Psychol. 2025, 107, 102790. [Google Scholar] [CrossRef]
  32. Su, T.; Sun, M. Understanding park-based health-promoting behavior and emotion with large-scale social media data: The case of Tianjin, China. Cities 2025, 162, 105987. [Google Scholar] [CrossRef]
  33. Murali, S.; Händel, B. Motor restrictions impair divergent thinking during walking and during sitting. Psychol. Res. 2022, 86, 2144–2157. [Google Scholar] [CrossRef] [PubMed]
  34. Brown, D.K.; Barton, J.L.; Gladwell, V.F. Viewing nature scenes positively affects recovery of autonomic function following acute-mental stress. Environ. Sci. Technol. 2013, 47, 5562–5569. [Google Scholar] [CrossRef]
  35. Bell, C.N.; St George, R.; Honan, C.; Matthews, A. From Forest to Focus: The Interactive Effects of Nature Exposure and Nature Relatedness on Attention, Brain Activity, Heart Rate Variability, and Mood. J. Cogn. Neurosci. 2025, 1–23. [Google Scholar] [CrossRef] [PubMed]
  36. Willmann, M.; Langlet, C.; Hainaut, J.P.; Bolmont, B. The time course of autonomic parameters and muscle tension during recovery following a moderate cognitive stressor: Dependency on trait anxiety level. Int. J. Psychophysiol. 2012, 84, 51–58. [Google Scholar] [CrossRef]
  37. Shen, H.; Du, X.; Fan, Y.; Dai, J.; Wei, G.X. Interoceptive sensibility mediates anxiety changes induced by mindfulness-based Tai Chi Chuan movement intervention. Mindfulness 2023, 14, 1662–1673. [Google Scholar] [CrossRef]
  38. Stopforth, C.; Simpson, A.; Willis, S.; Smith, T.; Bhatnagar, A.; Keith, R. Urban Greenspace Exposure, Stress, and Cardiovascular Function. Circulation 2024, 150, A4145256. [Google Scholar] [CrossRef]
  39. Llinás, R. Dissociation, EMDR, and adaptive information processing: The role of sensory stimulation and sensory awareness. Neurobiol. Treat. Trauma. Dissociation Towards Embodied Self 2014, 213, 213–242. [Google Scholar]
  40. Han, X.; Wang, L.; He, J.; Jung, T. Restorative perception of urban streets: Interpretation using deep learning and MGWR models. Front. Public Health 2023, 11, 1141630. [Google Scholar] [CrossRef]
Figure 1. Study area and study sites [17,18,20].
Figure 1. Study area and study sites [17,18,20].
Sustainability 18 03619 g001
Figure 2. Changes in physiological recovery (HRV) indices across vegetation structure types ((a) HR; (b) pNN50; (c) RMSSD; (d) R-R interval). p < 0.05 indicates that the difference is statistically significant, as shown by * in the figure. p < 0.01 indicates that the difference is more statistically significant, as shown by ** in the figure. p < 0.001 indicates that the difference is very statistically significant, as shown by *** in the figure.
Figure 2. Changes in physiological recovery (HRV) indices across vegetation structure types ((a) HR; (b) pNN50; (c) RMSSD; (d) R-R interval). p < 0.05 indicates that the difference is statistically significant, as shown by * in the figure. p < 0.01 indicates that the difference is more statistically significant, as shown by ** in the figure. p < 0.001 indicates that the difference is very statistically significant, as shown by *** in the figure.
Sustainability 18 03619 g002
Figure 3. HRV difference values (net recovery values) across vegetation structures under two observational modes ((a) HR; (b) pNN50; (c) RMSSD; (d) R-R interval). p < 0.05 indicates that the difference is statistically significant, as shown by * in the figure.
Figure 3. HRV difference values (net recovery values) across vegetation structures under two observational modes ((a) HR; (b) pNN50; (c) RMSSD; (d) R-R interval). p < 0.05 indicates that the difference is statistically significant, as shown by * in the figure.
Sustainability 18 03619 g003
Figure 4. Changes in the Perceived Restorativeness Scale (PRS) scores before and after experiencing green spaces with different vegetation structure types ((a) Being Away; (b) Extent; (c) Fascination; (d) Compatibility). p < 0.05 indicates that the difference is statistically significant, as shown by * in the figure. p < 0.01 indicates that the difference is more statistically significant, as shown by ** in the figure. p < 0.001 indicates that the difference is very statistically significant, as shown by *** in the figure.
Figure 4. Changes in the Perceived Restorativeness Scale (PRS) scores before and after experiencing green spaces with different vegetation structure types ((a) Being Away; (b) Extent; (c) Fascination; (d) Compatibility). p < 0.05 indicates that the difference is statistically significant, as shown by * in the figure. p < 0.01 indicates that the difference is more statistically significant, as shown by ** in the figure. p < 0.001 indicates that the difference is very statistically significant, as shown by *** in the figure.
Sustainability 18 03619 g004
Figure 5. Score differences for the four PRS dimensions across the five vegetation structures p < 0.05, indicate that the difference is statistically significant, as shown by * in the figure. p < 0.01 indicates that the difference is more statistically significant, as shown by ** in the figure. p < 0.001 indicates that the difference is very statistically significant, as shown by *** in the figure.
Figure 5. Score differences for the four PRS dimensions across the five vegetation structures p < 0.05, indicate that the difference is statistically significant, as shown by * in the figure. p < 0.01 indicates that the difference is more statistically significant, as shown by ** in the figure. p < 0.001 indicates that the difference is very statistically significant, as shown by *** in the figure.
Sustainability 18 03619 g005
Figure 6. Changes in positive affect (PA) and negative affect (NA) before and after experiencing green spaces with five vegetation structure types ((a) PA; (b) NA). p < 0.05 indicates that the difference is statistically significant, as shown by * in the figure. p < 0.01 indicates that the difference is more statistically significant, as shown by ** in the figure. p < 0.001 indicates that the difference is very statistically significant, as shown by *** in the figure.
Figure 6. Changes in positive affect (PA) and negative affect (NA) before and after experiencing green spaces with five vegetation structure types ((a) PA; (b) NA). p < 0.05 indicates that the difference is statistically significant, as shown by * in the figure. p < 0.01 indicates that the difference is more statistically significant, as shown by ** in the figure. p < 0.001 indicates that the difference is very statistically significant, as shown by *** in the figure.
Sustainability 18 03619 g006
Figure 7. Changes in the Positive-Negative Affect Difference Score (PNADS) before and after experiencing green spaces with five vegetation structure types. p < 0.01 indicates that the difference is more statistically significant, as shown by ** in the figure. p < 0.001 indicates that the difference is very statistically significant, as shown by *** in the figure.
Figure 7. Changes in the Positive-Negative Affect Difference Score (PNADS) before and after experiencing green spaces with five vegetation structure types. p < 0.01 indicates that the difference is more statistically significant, as shown by ** in the figure. p < 0.001 indicates that the difference is very statistically significant, as shown by *** in the figure.
Sustainability 18 03619 g007
Figure 8. Score differences for the three PANAS dimensions across the five vegetation structures under the two observational modes. p < 0.05 indicates that the difference is statistically significant, as shown by * in the figure. p < 0.01 indicates that the difference is more statistically significant, as shown by ** in the figure. p < 0.001 indicates that the difference is very statistically significant, as shown by *** in the figure.
Figure 8. Score differences for the three PANAS dimensions across the five vegetation structures under the two observational modes. p < 0.05 indicates that the difference is statistically significant, as shown by * in the figure. p < 0.01 indicates that the difference is more statistically significant, as shown by ** in the figure. p < 0.001 indicates that the difference is very statistically significant, as shown by *** in the figure.
Sustainability 18 03619 g008
Figure 9. Correlations between summer heart rate variability indicators and scale scores. (A red-blue gradient color scheme (RdBu_r) is adopted, where blue indicates positive correlation, red indicates negative correlation, and the shade of the color represents the strength of the correlation).
Figure 9. Correlations between summer heart rate variability indicators and scale scores. (A red-blue gradient color scheme (RdBu_r) is adopted, where blue indicates positive correlation, red indicates negative correlation, and the shade of the color represents the strength of the correlation).
Sustainability 18 03619 g009
Table 1. Summary of the Six-Step Procedure.
Table 1. Summary of the Six-Step Procedure.
StepExperimental PhaseProcedureDurationMarker
PreparationIntroduction, informed consent, demographic questionnaire, guided to the site//
BaselineEquipment calibration, eyes-closed relaxation3 minM0/T1
Stress InductionArithmetic calculation test in a continuous noise environment3 minM1
Seated ObservationWearing view-finding glasses, sitting and observing the assigned scene3 minM2
Post-Seated ObservationRest1 min/
Walking ObservationSlowly walking through the target green space, then leaving3 minM3/T2
Table 2. Net recovery values (Mean ± SE) for HRV indices across vegetation structures under seated and walking observation modes.
Table 2. Net recovery values (Mean ± SE) for HRV indices across vegetation structures under seated and walking observation modes.
Single-Layer GrasslandSingle-Layer WoodlandTree–Shrub–Grass Composite WoodlandsTree–Grass Composite WoodlandNon-Vegetated Concrete SquareFp
HR Recovery Value−4.72 ± 2.8−2.07 ± 2.61−5.8 ± 2.72−0.07 ± 1.88−4.37 ± 2.830.7930.53
Experiential Value−13.08 ± 2.85−8.55 ± 3.05−12.45 ± 2.9−11.82 ± 2.68−12.58 ± 2.940.3970.811
pNN50Recovery Value−6.6 ± 5.281.35 ± 4.922.26 ± 4.08−1.15 ± 2.673.3 ± 4.260.4270.789
Experiential Value26.35 ± 4.1323.02 ± 4.833.19 ± 4.227.47 ± 4.5532.87 ± 4.520.9710.424
RMSSDRecovery Value167.01 ± 135.59129.71 ± 129.45343.93 ± 178.2829.32 ± 127.74461.17 ± 4.261.3490.252
Experiential Value576.51 ± 146.52619.96 ± 164.91822.42 ± 176.71665.79 ± 186.24688.4 ± 147.330.3910.866
R-R IntervalRecovery Value46.9 ± 36.6936.22 ± 45.37120.6 ± 56.03−17.49 ± 33.6362.98 ± 52.321.1890.316
Experiential Value239.21 ± 50.46207.34 ± 69.87246.24 ± 58.51229.31 ± 55.33207.8 ± 55.580.0940.984
Note: Negative HR values indicate heart rate reduction (relaxation). Positive values for pNN50, RMSSD, and R-R interval indicate enhanced parasympathetic activity (relaxation).
Table 3. Linear mixed model results for physiological indicators.
Table 3. Linear mixed model results for physiological indicators.
IndicatorEffectFdf1df2pInterpretation
HRActivity mode26.651531<0.001Walking > Sitting
Vegetation type0.9945310.413NS
Interaction0.3545310.846NS
pNN50Activity mode96.251531<0.001Walking > Sitting
Vegetation type0.8245310.513NS
Interaction0.7245310.580NS
RMSSDActivity mode23.241531<0.001Walking > Sitting
Vegetation type1.2945310.275NS
Interaction0.5145310.728NS
R-R intervalActivity mode32.781531<0.001Walking > Sitting
Vegetation type0.7245310.581NS
Interaction0.4745310.761NS
Note: NS = not significant (p > 0.05).
Table 4. Estimated marginal means and pairwise comparisons for physiological indicators by activity mode.
Table 4. Estimated marginal means and pairwise comparisons for physiological indicators by activity mode.
IndicatorActivity ModeMean ± SE95% CIMean Difference ± SEp
HRSitting−3.403 ± 1.535[−6.446, −0.361]8.293 ± 1.606<0.001
Walking−11.697 ± 1.535[−14.739, −8.654]
pNN50Sitting2.473 ± 2.265[−2.006, 6.953]26.107 ± 2.661<0.001
Walking28.580 ± 2.265[24.101, 33.059]
RMSSDSitting226.226 ± 86.638[54.602, 397.850]448.391 ± 93.016<0.001
Walking674.616 ± 86.638[502.992, 846.240]
R-R intervalSitting49.841 ± 28.890[−7.395, 107.077]176.138 ± 30.765<0.001
Walking225.979 ± 28.890[168.743, 283.215]
Table 5. Score differences for the four PRS dimensions across the five vegetation structures under the two observational modes.
Table 5. Score differences for the four PRS dimensions across the five vegetation structures under the two observational modes.
Single-Layer GrasslandSingle-Layer WoodlandTree–Shrub–Grass Composite WoodlandsTree–Grass Composite WoodlandNon-Vegetated Concrete SquareFp
Being Away1.73 ± 0.521.25 ± 0.522.8 ± 0.451.05 ± 0.44−0.6 ± 0.625.7690
Extent1.87 ± 0.381.5 ± 0.352 ± 0.330.72 ± 0.320.42 ± 0.344.1490.003
Fascination2.43 ± 0.722.35 ± 0.553.12 ± 0.561.78 ± 0.570.23 ± 0.63.2340.013
Compatibility1.28 ± 0.410.97 ± 0.321.17 ± 0.330.58 ± 0.32−0.17 ± 0.392.7180.03
p < 0.01 indicates that the difference is more statistically significant. p < 0.001 indicates that the difference is very statistically significant. p > 0.05 indicates that the difference is not statistically significant.
Table 6. Score differences for the three PANAS dimensions across the five vegetation structures under the two observational modes.
Table 6. Score differences for the three PANAS dimensions across the five vegetation structures under the two observational modes.
Single-Layer GrasslandSingle-Layer WoodlandTree–Shrub–Grass Composite WoodlandsTree–Grass Composite WoodlandNon-Vegetated Concrete SquareFp
PA1.6 ± 0.752.45 ± 0.81.8 ± 0.730.28 ± 0.590 ± 0.811.990.096
NA−2.67 ± 0.59−2.95 ± 0.65−4.4 ± 0.73−2.57 ± 0.67−1.98 ± 0.482.0440.088
PNADS4.27 ± 1.125.4 ± 1.086.2 ± 1.222.85 ± 0.911.98 ± 1.132.5330.04
p < 0.05 indicates that the difference is statistically significant. p > 0.05 indicates that the difference is not statistically significant.
Disclaimer/Publisher’s Note: The statements, opinions and data contained in all publications are solely those of the individual author(s) and contributor(s) and not of MDPI and/or the editor(s). MDPI and/or the editor(s) disclaim responsibility for any injury to people or property resulting from any ideas, methods, instructions or products referred to in the content.

Share and Cite

MDPI and ACS Style

Duan, Y.; Bai, H.; Yang, L.; Li, S. Unlocking the Restorative Power of Urban Green Spaces in Summer: The Interplay of Vegetation Structure, Activity Modality, and Human Well-Being. Sustainability 2026, 18, 3619. https://doi.org/10.3390/su18073619

AMA Style

Duan Y, Bai H, Yang L, Li S. Unlocking the Restorative Power of Urban Green Spaces in Summer: The Interplay of Vegetation Structure, Activity Modality, and Human Well-Being. Sustainability. 2026; 18(7):3619. https://doi.org/10.3390/su18073619

Chicago/Turabian Style

Duan, Yifan, Hua Bai, Le Yang, and Shuhua Li. 2026. "Unlocking the Restorative Power of Urban Green Spaces in Summer: The Interplay of Vegetation Structure, Activity Modality, and Human Well-Being" Sustainability 18, no. 7: 3619. https://doi.org/10.3390/su18073619

APA Style

Duan, Y., Bai, H., Yang, L., & Li, S. (2026). Unlocking the Restorative Power of Urban Green Spaces in Summer: The Interplay of Vegetation Structure, Activity Modality, and Human Well-Being. Sustainability, 18(7), 3619. https://doi.org/10.3390/su18073619

Note that from the first issue of 2016, this journal uses article numbers instead of page numbers. See further details here.

Article Metrics

Back to TopTop