Sign in to use this feature.

Years

Between: -

Subjects

remove_circle_outline
remove_circle_outline
remove_circle_outline
remove_circle_outline
remove_circle_outline
remove_circle_outline
remove_circle_outline
remove_circle_outline
remove_circle_outline

Journals

remove_circle_outline
remove_circle_outline
remove_circle_outline
remove_circle_outline
remove_circle_outline
remove_circle_outline
remove_circle_outline
remove_circle_outline
remove_circle_outline
remove_circle_outline
remove_circle_outline
remove_circle_outline
remove_circle_outline
remove_circle_outline
remove_circle_outline
remove_circle_outline
remove_circle_outline
remove_circle_outline
remove_circle_outline
remove_circle_outline
remove_circle_outline
remove_circle_outline
remove_circle_outline
remove_circle_outline
remove_circle_outline
remove_circle_outline
remove_circle_outline
remove_circle_outline
remove_circle_outline
remove_circle_outline
remove_circle_outline
remove_circle_outline
remove_circle_outline

Article Types

Countries / Regions

remove_circle_outline
remove_circle_outline
remove_circle_outline
remove_circle_outline
remove_circle_outline
remove_circle_outline
remove_circle_outline
remove_circle_outline

Search Results (16,066)

Search Parameters:
Keywords = Ren

Order results
Result details
Results per page
Select all
Export citation of selected articles as:
24 pages, 427 KB  
Review
A Survey on Recent Advances in the Integration of Discrete Event Systems and Artificial Intelligence
by Jie Ren, Ruotian Liu, Agostino Marcello Mangini and Maria Pia Fanti
Appl. Sci. 2026, 16(6), 3000; https://doi.org/10.3390/app16063000 - 20 Mar 2026
Abstract
The increasing complexity and uncertain system of modern discrete event system (DES) challenge traditional model-based control approaches, while artificial intelligence (AI) techniques offer powerful data-driven decision-making capabilities but lack formal guarantees. This review surveys recent research on the integration of AI with DES [...] Read more.
The increasing complexity and uncertain system of modern discrete event system (DES) challenge traditional model-based control approaches, while artificial intelligence (AI) techniques offer powerful data-driven decision-making capabilities but lack formal guarantees. This review surveys recent research on the integration of AI with DES and supervisory control theory. Following a systematic literature mapping methodology, the literature is organized using a taxonomy based on three orthogonal perspectives: control and decision paradigm, system capability and property, and application and operational objectives. The review highlights how learning-based methods enhance adaptability and performance in DES, while also exposing persistent challenges related to safety, nonblocking behavior, data efficiency, and interpretability. By structuring existing approaches and identifying open issues, this review provides a coherent overview of the current research landscape and outlines key directions for future work on AI-enabled DES. Full article
(This article belongs to the Special Issue Modeling and Control of Discrete Event Systems)
Show Figures

Figure 1

14 pages, 3150 KB  
Article
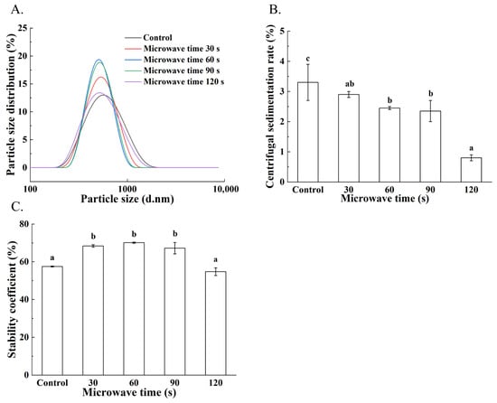
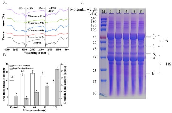
Microwave Pretreatment of Soybeans Prior to Soaking Enhances Mechanical and Rehydration Properties of Yuba
by Weiyu Li, Siyu Zhan, Ke Sun, Chunli Song and Jian Ren
Foods 2026, 15(6), 1094; https://doi.org/10.3390/foods15061094 - 20 Mar 2026
Abstract
Microwave pretreatment of native soybeans in the preparation of yuba remains underexplored, and the impact of this treatment on the resulting yuba quality is still unclear. In this study, soybeans were subjected to microwave pretreatment for 30–120 s before conventional soaking. CLSM revealed [...] Read more.
Microwave pretreatment of native soybeans in the preparation of yuba remains underexplored, and the impact of this treatment on the resulting yuba quality is still unclear. In this study, soybeans were subjected to microwave pretreatment for 30–120 s before conventional soaking. CLSM revealed soybean microstructural changes, including cell-wall degradation and improved dispersion of proteins and lipids. FTIR and SDS-PAGE results of yuba indicated that hydrogen bond cleavage and the formation of new cross-links reduced protein coiling and polar group exposure, while stabilizing aliphatic chains, ultimately yielding a stronger and more compact yuba network structure. Mechanical and rehydration results further indicated that microwave treatment positively affected yuba quality. The 90 s pretreatment was identified as the optimal condition, exhibiting the highest elongation at break (126.36% increase) and rehydration capacity, along with improved color attributes, including higher lightness (L*) and yellowness (b*) values. These changes are likely attributable to disulfide-mediated protein reorganization, which creates greater spatial availability and thereby facilitates lipid incorporation. This study elucidates how microwave pretreatment drives the reorganization of soybean protein and lipid components, thereby influencing their distribution during film formation and providing a foundation for the tailored design of yuba with targeted mechanical properties. Full article
(This article belongs to the Section Food Engineering and Technology)
Show Figures

Figure 1

29 pages, 6240 KB  
Article
Explainable Prediction of Power Generation for Cascaded Hydropower Systems Under Complex Spatiotemporal Dependencies
by Zexin Li, Xiaodong Shen, Yuhang Huang and Yuchen Ren
Energies 2026, 19(6), 1540; https://doi.org/10.3390/en19061540 - 20 Mar 2026
Abstract
Hydropower plays a key regulating role in new-type power systems, and both forecasting accuracy and interpretability are critical for power dispatch. However, cascade hydropower forecasting is constrained by strong spatiotemporal coupling among multi-dimensional features, flow propagation delays, as well as the limited transparency [...] Read more.
Hydropower plays a key regulating role in new-type power systems, and both forecasting accuracy and interpretability are critical for power dispatch. However, cascade hydropower forecasting is constrained by strong spatiotemporal coupling among multi-dimensional features, flow propagation delays, as well as the limited transparency of deep learning models. To tackle these issues, this paper develops a hybrid framework integrating Maximal Information Coefficient (MIC), the Long- and Short-term Time-series Network (LSTNet), and the SHapley Additive exPlanations (SHAP) interpretability method. First, an MIC-based nonlinear screening mechanism is employed to remove redundant noise and construct a high-quality input space. Second, an LSTNet model is developed to deeply extract spatiotemporal coupling features among cascade stations and flow evolution patterns, achieving high-accuracy forecasting of both system-level and station-level outputs. Finally, SHAP is used for global and local interpretability analysis to perform physics-consistency verification with respect to the model’s decision-making rationale. Experimental results indicate that the proposed approach achieves low errors in total output forecasting, reducing error levels by approximately 57–88% compared with Recurrent Neural Network (RNN), Gated Recurrent Unit (GRU), and Informer. Moreover, SHAP feature-dependence analysis reveals a nonlinear response change of station D around 7.8 MW, providing evidence for the physical consistency of the model outputs and improving model interpretability. Full article
(This article belongs to the Section F5: Artificial Intelligence and Smart Energy)
Show Figures

Figure 1

11 pages, 1117 KB  
Article
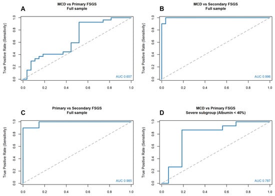
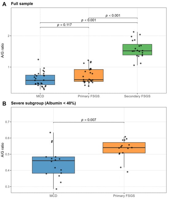
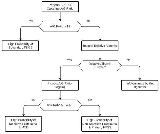
Serum Protein Electrophoresis and the Albumin-to-Globulin Ratio in the Differential Diagnosis of Minimal Change Disease and Focal Segmental Glomerulosclerosis
by László Bitó, Tamás Lantos, Krisztina Jost, Amir Reza Manafzadeh, Béla Iványi and Levente Kuthi
Biomedicines 2026, 14(3), 720; https://doi.org/10.3390/biomedicines14030720 - 20 Mar 2026
Abstract
Background/Objectives: Differentiating minimal change disease (MCD) from focal segmental glomerulosclerosis (FSGS) remains a diagnostic challenge. We hypothesised that differences in glomerular protein selectivity could translate into distinct serum protein electrophoresis (SPEP) profiles, particularly in severe nephrotic syndrome. Methods: We retrospectively analysed SPEP profiles [...] Read more.
Background/Objectives: Differentiating minimal change disease (MCD) from focal segmental glomerulosclerosis (FSGS) remains a diagnostic challenge. We hypothesised that differences in glomerular protein selectivity could translate into distinct serum protein electrophoresis (SPEP) profiles, particularly in severe nephrotic syndrome. Methods: We retrospectively analysed SPEP profiles of adults with biopsy-proven MCD (n = 27), primary FSGS (n = 27), and secondary FSGS (n = 20). Diagnoses were established according to KDIGO guidelines and the Mayo Clinic classification. A severe subgroup was defined by a relative albumin fraction <40% to evaluate patterns in marked hypoalbuminaemia. Results: Secondary FSGS demonstrated significantly higher albumin-to-globulin (A/G) ratios compared with immune-mediated podocytopathies (MCD and primary FSGS), yielding excellent discrimination (AUC > 0.98). In contrast, discriminatory performance between MCD and primary FSGS in the overall cohort was limited (AUC = 0.657). However, within the severe subgroup, the A/G ratio provided clinically meaningful separation (AUC = 0.787). An A/G ratio > 0.49 identified primary FSGS with 86.7% sensitivity and 81.2% specificity. Correlation analysis revealed a strong inverse association between albumin and α2-globulin fractions in immune-mediated podocytopathies (ρ < −0.8), whereas this relationship was attenuated in secondary FSGS (ρ = −0.57). Conclusions: The A/G ratio may represent a practical adjunctive biomarker in the evaluation of podocytopathies. Values > 1.0 strongly favour secondary FSGS, while markedly reduced ratios in severe nephrosis are characteristic of MCD. These findings suggest that differences in glomerular selectivity and the hepatic compensatory response are reflected in routine electrophoretic profiles. Full article
Show Figures

Figure 1

27 pages, 7495 KB  
Article
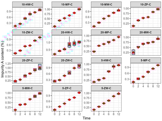
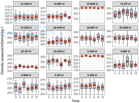
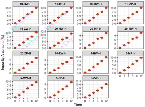
Comparative Stability and Quality Assessment of Powder–Liquid Double-Chamber Bag Versus Traditional Meropenem Infusions: Implications for Critical Care and Individualized Dosing
by Xiaokai Ren, Xiao Li, Liting Zhang, Xiaofei Zhao, Lei Zhang and Zhanjun Dong
Pharmaceutics 2026, 18(3), 382; https://doi.org/10.3390/pharmaceutics18030382 - 20 Mar 2026
Abstract
Background: Maintaining therapeutic meropenem plasma concentrations requires prolonged infusion, but stability concerns exist between preparation and administration. This study compared the stability and operability of ready-to-use powder–liquid double-chamber bag (DCB) infusions versus traditional powder-for-injection (PFI) meropenem under clinical conditions. Methods: Infusions [...] Read more.
Background: Maintaining therapeutic meropenem plasma concentrations requires prolonged infusion, but stability concerns exist between preparation and administration. This study compared the stability and operability of ready-to-use powder–liquid double-chamber bag (DCB) infusions versus traditional powder-for-injection (PFI) meropenem under clinical conditions. Methods: Infusions at clinically relevant concentrations were stored at 2–8 °C, 25 ± 5 °C, and 40 ± 2 °C for 12 h. Stability assessments included appearance, pH, osmolality, insoluble particle count, meropenem content (HPLC), and impurity A level. Results: DCBs demonstrated superior content uniformity, significantly fewer insoluble particles (p < 0.05), and greater operational simplicity compared to PFI. Refrigeration maintained meropenem content > 95% and effectively suppressed impurity formation for up to 12 h. However, at both room temperature and elevated temperature, impurity A exceeded pharmacopoeial limits within 2 h, particularly at higher concentrations. An innovative bedside solvent volume adjustment method enabled DCBs to deliver high-concentration infusions, facilitating individualized critical care dosing. Conclusions: Compared with traditional powder injection formulations, the Meropenem powder–liquid dual-chamber bag offers more convenient operation under routine preparation conditions and poses a lower risk of contamination during the preparation process. Its stability is more sensitive to storage temperature, requiring strict adherence to refrigeration conditions. When stored under standardized conditions, the dual-chamber bag can better ensure drug efficacy stability and medication safety, making it particularly suitable for clinical emergency use and standardized workflow management. Full article
Show Figures

Figure 1

18 pages, 4053 KB  
Article
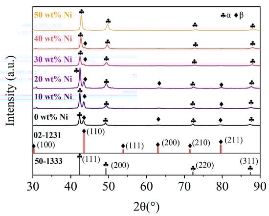
Effect of Sn/Ni Addition on the Microstructure and Properties of Flux-Cored Brass Filler Metal and Its Brazed Joints
by Wei Liu, Xin Huang, Lijun Ren, Jungang Sun and Yongzhou Bu
Metals 2026, 16(3), 348; https://doi.org/10.3390/met16030348 - 20 Mar 2026
Abstract
In this study, Sn and Ni powders were incorporated into the flux core of brass brazing filler metals, with alloying achieved via in situ synthesis during brazing. The effects of Sn/Ni single and composite additions on the microstructure, melting characteristics, wettability on Q235 [...] Read more.
In this study, Sn and Ni powders were incorporated into the flux core of brass brazing filler metals, with alloying achieved via in situ synthesis during brazing. The effects of Sn/Ni single and composite additions on the microstructure, melting characteristics, wettability on Q235 steel, and tensile strength of corresponding brazed joints were systematically investigated. Sn addition increased the β-phase fraction, reduced the solidus temperature, and significantly improved wettability—with a maximum unit spreading area of 4.22 mm2/mg at 20 wt.% Sn (2.85 times that of the Sn/Ni-free baseline). However, coarse β-phase grains and their transformation to brittle β′-phase at room temperature resulted in no enhancement of joint tensile strength. Ni addition expanded the α-phase region, refined grains, and induced solid solution strengthening of the α-phase matrix; joint tensile strength peaked at 501 MPa at 20 wt.% Ni (65% higher than the baseline). Excessive Ni (≥40 wt.%) deteriorated wettability due to reduced molten superheat, and 50 wt.% Ni caused α-phase over-strengthening and embrittlement, leading to a sharp strength drop to 214 MPa. The composite addition of 3 wt.% Sn + 10 wt.% Ni reconstructed the filler metal into a refined, uniform grid-like (α + β) dual-phase structure without new phase formation, realizing synergistic optimization of wettability and mechanical properties. The co-added sample exhibited optimal performance, with a unit spreading area of 4.51 mm2/mg and joint tensile strength of 584 MPa (206% and 93% higher than the baseline, respectively). This improvement was attributed to the coupling of uniform stress dispersion by the grid-like microstructure and dual-element functional complementation (Sn for wettability and β-phase strengthening; Ni for grain refinement and α-phase strengthening). This work provides a feasible alloying modification strategy for brass flux-cored brazing filler metals, and the revealed microstructure-performance regulation mechanism offers a valuable reference for developing high-performance brass brazing filler metals. Full article
Show Figures

Graphical abstract

42 pages, 1858 KB  
Review
Crosstalk Between Cis-Regulatory Elements and Metabolism Reprogramming in Hepatocellular Carcinoma
by Yuqing Ren, Di Tang, Xiaofan Ding and Mian He
Cancers 2026, 18(6), 1002; https://doi.org/10.3390/cancers18061002 - 19 Mar 2026
Abstract
Hepatocellular carcinoma (HCC) is a leading cause of cancer-related deaths worldwide, arising from profound metabolic reprogramming and widespread epigenetic dysregulation. However, the role of epigenetic aberrations in modulating metabolic reprogramming and the interplay between cis-regulatory elements (CREs), such as promoters, enhancers and [...] Read more.
Hepatocellular carcinoma (HCC) is a leading cause of cancer-related deaths worldwide, arising from profound metabolic reprogramming and widespread epigenetic dysregulation. However, the role of epigenetic aberrations in modulating metabolic reprogramming and the interplay between cis-regulatory elements (CREs), such as promoters, enhancers and super-enhancers, and metabolic adaptation have not been systematically summarized. Therefore, this review aims to integrate current evidence to elucidate the mechanisms of how cis-regulatory elements (CREs) drive oncogenic and metabolic signals in HCC progression. For instance, enhancers and super-enhancers transcriptionally activate key metabolic genes involved in aerobic glycolysis (GLUT1, HK2, PKM2, LDHA), de novo lipogenesis (ACLY, FASN, ACC), glutaminolysis (SLC1A5, GLS), and nucleotide synthesis. Meanwhile, many metabolic intermediates, including acetyl-CoA, succinyl-CoA and lactate, act as cofactors or substrates for epigenetic modifiers, creating bidirectional feedback loops that reinforce CRE-driven malignant phenotypes. Therefore, aberrant CREs acts as “metabolic switches” that sense and respond to various metabolic conditions to sustain HCC growth. Consequently, targeted intervention against oncogenic CREs, such as super-enhancers or their co-activators, to disrupt CRE-mediated metabolic vulnerabilities, has emerged as a highly promising new paradigm for precision therapy in HCC. Full article
(This article belongs to the Special Issue Genomic and Epigenomic Aberrations in Cancer)
Show Figures

Figure 1

21 pages, 6739 KB  
Article
Soil Fumigation Combined with Seed Rhizome Disinfection to Synergistically Promote Soil Health and Increase Ginger Yield
by Lirui Ren, Haitao Yu, Xinyu Fu, Lijun Bo, Ping Han, Yuan Li and Aocheng Cao
Agriculture 2026, 16(6), 692; https://doi.org/10.3390/agriculture16060692 - 19 Mar 2026
Abstract
Soil-borne diseases have become increasingly serious due to continuous planting. Soil fumigation may be inadequate because of the persistence of soil-borne pathogens on ginger seed rhizome. A combined strategy of soil fumigation and seed rhizome disinfection would be necessary to achieve synergistic control. [...] Read more.
Soil-borne diseases have become increasingly serious due to continuous planting. Soil fumigation may be inadequate because of the persistence of soil-borne pathogens on ginger seed rhizome. A combined strategy of soil fumigation and seed rhizome disinfection would be necessary to achieve synergistic control. In this study, the approach of soil fumigation with chloropicrin (CP) coupled with seed rhizome disinfection (Copper, Cu) was first adopted to evaluate the synergistic effects on soil physicochemical properties, enzyme activities and microbial communities, and therefore reveal mechanisms for soil microecological health and crop yield promotion. The results showed the comprehensive strategy could reduce NO3-N content, and the activities of soil enzymes, while increased NH4+-N content, EX-Cu, and OXI-Cu content, which were positively correlated with ginger yield but negatively correlated with soil-borne pathogens and plant mortality. On the other hand, there was a reduction in bacterial diversity and richness, which was positively correlated with the abundance of soil-borne pathogens. Moreover, some beneficial soil microorganisms’ relative abundance (such as Firmicutes, Actinobacteria, Bacillus, and Sphingomonas.) was increased. The strategy decreased the abundance of Fusarium spp. and Phytophthora spp. by 49.41–90.07% and 43.34–89.21%, respectively. Compared with other treatments, the combination decreased the ginger mortality by 5.70–57.02% and increased the growth of ginger plants and yield by 3.58–139.96%, and 13.11–399.74%, respectively. This study highlights a prospect to promote ginger growth and yield by blocking the transmission of primary infection pathogens in ginger cultivation and improving soil ecological environment. Full article
(This article belongs to the Special Issue Integrated Management of Soil-Borne Diseases—Second Edition)
Show Figures

Figure 1

13 pages, 1445 KB  
Article
Enhanced Photosynthetic Capacity and Assimilate Transport Are Associated with Higher Yield in Super Hybrid Rice
by Yixiao Chai, Bohan Zhang, Xiaotong Ren, Yunqi Dong, Min Wang and Shiwei Guo
Agronomy 2026, 16(6), 650; https://doi.org/10.3390/agronomy16060650 - 19 Mar 2026
Abstract
Enhancing rice yield under high-input systems increasingly relies on optimizing physiological processes rather than further increasing external inputs. This study aimed to clarify the physiological basis underlying the yield advantage of super hybrid rice, focusing on photosynthetic capacity and assimilate transport. We compared [...] Read more.
Enhancing rice yield under high-input systems increasingly relies on optimizing physiological processes rather than further increasing external inputs. This study aimed to clarify the physiological basis underlying the yield advantage of super hybrid rice, focusing on photosynthetic capacity and assimilate transport. We compared super hybrid rice (Yliangyou 3218 and Yliangyou 5867) with super conventional rice (Zhendao 11 and Nanjing 9108) under field conditions in 2023–2024. Super hybrid rice consistently outperformed super conventional rice, with grain yield 19.7% higher in 2023 and 23.7% higher in 2024, primarily due to an increased number of spikelets per panicle, and grain yield was also positively correlated with photosynthetic capacity (net photosynthetic rate, stomatal conductance, maximum carboxylation rate, maximum electron transport rate and triose phosphate utilization rate). In 2024, spikelets per panicle and grain yield were also positively associated with phloem soluble sugar and vascular bundle number, indicating that enhanced assimilate transport contributed to higher spikelet formation. These results demonstrate that, compared to super conventional rice, the yield advantage of super hybrid rice is underpinned by coordinated enhancement of photosynthesis and assimilate transport, highlighting the importance of source–sink optimization for further yield improvement. Full article
(This article belongs to the Section Plant-Crop Biology and Biochemistry)
Show Figures

Figure 1

15 pages, 11372 KB  
Article
Microstructure Evolution Mechanism of 4Cr13 Steel During Thermal Deformation
by Junzhao Liu, Zhi Jia, Chi Zhang, Bin Ren, Yanjiang Wang, Zhixin Zhao, Likai Yang and Dekui Mu
Coatings 2026, 16(3), 383; https://doi.org/10.3390/coatings16030383 - 19 Mar 2026
Abstract
To investigate the thermal deformation behavior and microstructural evolution of 4Cr13 steel, and to clarify how deformation enhances its microstructure and properties, hot compression tests were conducted on the material at various deformation temperatures (890 °C, 970 °C, 1050 °C, and 1130 °C) [...] Read more.
To investigate the thermal deformation behavior and microstructural evolution of 4Cr13 steel, and to clarify how deformation enhances its microstructure and properties, hot compression tests were conducted on the material at various deformation temperatures (890 °C, 970 °C, 1050 °C, and 1130 °C) and strain rates (0.1 s−1 and 10 s−1), followed by spheroidizing annealing. The results indicate that thermal deformation significantly refines the final microstructure and improves material properties. With increasing deformation temperature, the carbide count decreases, and recrystallization becomes more extensive. At a deformation temperature of 1130 °C and a strain rate of 10 s−1, the microhardness of the specimen reached a maximum value of 738.85 HV. Furthermore, the thermal deformation process stores considerable strain energy in the material, which acts as the driving force for static recovery and recrystallization during annealing. This promotes the development of a spheroidized, equiaxed grain structure free from distortions, thereby reducing the influence of the microstructural inheritance effect on the martensitic structure after annealing. Full article
Show Figures

Figure 1

10 pages, 1957 KB  
Article
Nanofusion: Plasmons Help to Accelerate Protons
by Tamás Biró
Particles 2026, 9(1), 28; https://doi.org/10.3390/particles9010028 - 19 Mar 2026
Abstract
We report on laser fusion research with nanotechnology-improved targets embedded in special polymers. The results of the last three years are reviewed here, including laser matter interaction craters, laser infrared breakdown spectroscopy, and Raman spectroscopy results, as well as a selected Thomson parabola [...] Read more.
We report on laser fusion research with nanotechnology-improved targets embedded in special polymers. The results of the last three years are reviewed here, including laser matter interaction craters, laser infrared breakdown spectroscopy, and Raman spectroscopy results, as well as a selected Thomson parabola image showing protons accelerated up to 300 keV. In this paper, we focus on proton acceleration and plasmonic enhancement mechanisms rather than on the direct demonstration of sustained fusion reactions. Full article
(This article belongs to the Special Issue Particles and Plasmas in Strong Fields)
Show Figures

Figure 1

17 pages, 2995 KB  
Article
Preparation and Performance Evaluation of a Supramolecular Gel Plugging Agent for Severe Lost Circulation Gas Reservoirs
by Yingbiao Liu, Kecheng Liu, Tao Zeng, Xuyang Yao, Weiju Wang, Huijun Hao, Zhangkun Ren and Jingbin Yang
Gels 2026, 12(3), 256; https://doi.org/10.3390/gels12030256 - 18 Mar 2026
Viewed by 30
Abstract
The plugging of fractured gas reservoirs with severe lost circulation during oil and gas drilling and production has long been challenged by technical issues such as low plugging strength and short effective duration. This paper reports the preparation of a high-strength supramolecular gel [...] Read more.
The plugging of fractured gas reservoirs with severe lost circulation during oil and gas drilling and production has long been challenged by technical issues such as low plugging strength and short effective duration. This paper reports the preparation of a high-strength supramolecular gel plugging agent via micellar copolymerization based on the synergistic effects of hydrophobic association and hydrogen bonding. Systematic optimization determined the optimal synthesis formula: acrylamide (AM) 12%, 2-acrylamido-2-methylpropanesulfonic acid (AMPS) 2%, stearyl methacrylate (SMA) 0.4%, sodium dodecyl sulfate (SDS) 1.5%, and potassium persulfate 0.3%, with a reaction temperature of 60 °C. Performance evaluations revealed that the gel possesses a controllable gelation time (120 min) and excellent viscoelastic recovery properties. At a compressive strain of 87%, the compressive stress reached 1.43 MPa while maintaining structural integrity. Swelling behavior analysis indicated that the gel follows a non-Fickian diffusion mechanism, with its swelling process governed by the synergistic interplay of water molecule diffusion and polymer network relaxation. Core plugging experiments demonstrated that the gel achieved plugging efficiencies exceeding 95% for cores with permeabilities ranging from 0.18 to 0.90 μm2, with a maximum breakthrough pressure gradient of up to 11.48 MPa/m. These results highlight the gel’s efficient and broad-spectrum plugging capability for fractured lost circulation zones. This preliminary study provides experimental foundations for the material design and performance optimization of supramolecular gel-based long-lasting plugging agents for severe lost circulation gas reservoirs, and further field-scale validation is required for engineering application. Full article
(This article belongs to the Topic Polymer Gels for Oil Drilling and Enhanced Recovery)
Show Figures

Graphical abstract

16 pages, 675 KB  
Article
Comprehensive Evaluation of Mung Bean Germplasm Resources Based on DUS Test Characteristics
by Leyong Feng, Juanjuan Ma, Jin Yu, Jianhong Ren and Xiongfei Jiao
Plants 2026, 15(6), 932; https://doi.org/10.3390/plants15060932 - 18 Mar 2026
Viewed by 116
Abstract
The Distinctness, Uniformity, and Stability (DUS) testing guidelines for mung beans (Vigna radiata L.) offer a standardized framework for new variety assessment. Although these guidelines are essential for variety management, the actual efficiency and breeding value of the 31 specified DUS characteristics [...] Read more.
The Distinctness, Uniformity, and Stability (DUS) testing guidelines for mung beans (Vigna radiata L.) offer a standardized framework for new variety assessment. Although these guidelines are essential for variety management, the actual efficiency and breeding value of the 31 specified DUS characteristics in improving yield potential remain largely underexplored and lack systematic validation. To address this critical research gap, 180 genetically diverse mung bean accessions were analyzed using principal component analysis (PCA) and correlation analysis. The results revealed intrinsic relationships among characteristics and identified key variation dimensions centered on “plant morphology”, “pod characteristics”, and “seed characteristics”. Cluster analysis classified the 180 accessions into four distinct clusters. Cluster 2, in particular, offers a clear selection reference for breeding materials targeting high-yield and quality. The DTOPSIS (Dynamic Technique for Order Preference by Similarity to Ideal Solution) multi-criteria decision-making model was applied, with index weights assigned using an objective weighting method. Following systematic evaluation, Yingge 2 was identified as an outstanding phenotype. Breeders may refer to its quantitative characteristics in subsequent breeding cycles. Linear regression analysis was employed to construct a yield prediction model, identifying leaf greenness, pod number per plant, and hundred-grain weight as three core DUS characteristics with statistically significant effects on final yield (p < 0.05). This study performed a systematic, multi-dimensional analysis and comprehensive evaluation of mung bean germplasm resources based on DUS characteristics, with the aim of identifying key yield-related DUS traits, screen elite germplasm for high-yield breeding, and providing a theoretical basis and practical reference for the efficient improvement and selective breeding of new mung bean varieties. Full article
(This article belongs to the Special Issue Characterization and Conservation of Vegetable Genetic Resources)
Show Figures

Figure 1

23 pages, 894 KB  
Article
How Does Public Leadership Affect Collective Action of Participatory Irrigation Management?
by Yang Ren and Liu Yang
Agriculture 2026, 16(6), 680; https://doi.org/10.3390/agriculture16060680 - 18 Mar 2026
Viewed by 136
Abstract
Collective action serves as a critical mechanism for addressing deficiencies in small-scale irrigation infrastructure and fostering a virtuous cycle of their operation and maintenance. Village leaders, as central figures in organizing and mobilizing farmers toward collective action, play a pivotal role in shaping [...] Read more.
Collective action serves as a critical mechanism for addressing deficiencies in small-scale irrigation infrastructure and fostering a virtuous cycle of their operation and maintenance. Village leaders, as central figures in organizing and mobilizing farmers toward collective action, play a pivotal role in shaping participatory irrigation management (PIM) outcomes through their public leadership. Drawing on micro-survey data from 723 farm households across Ningxia, Shanxi, and Shandong provinces in China’s Yellow River basin, this study employed a multi-group structural equation model (SEM) to analyze the impact of public leadership on collective action in PIM. The findings indicate that: (1) public leadership is directly associated with collective action, with a direct effect of 0.530; (2) public leadership indirectly enhances collective action through mediating variables—cadre–mass relationship, institutional trust, and grassroots democracy—with an indirect effect of 0.045; and (3) the personal characteristics of village leaders moderate the influence of public leadership on collective action. Specifically, public leadership exerts a strong effect when leaders belong to the village elite, possess a least a high school education, or are not members of the village’s major clan. These insights suggest that policymakers should explicitly consider public leadership in fostering collective action within the PIM framework. Full article
(This article belongs to the Section Agricultural Water Management)
Show Figures

Figure 1

26 pages, 7832 KB  
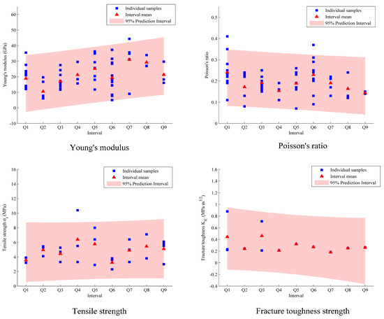
Article
A New Evaluation Method for Rock Fracability Based on a Ternary Index
by Sheng Wang, Chengxuan Ren, Haixue Wang, Xiaofei Fu, Kaizhou Xu and Minghong Li
Processes 2026, 14(6), 962; https://doi.org/10.3390/pr14060962 - 17 Mar 2026
Viewed by 98
Abstract
Accurately evaluating fracability is crucial for improving shale gas fracturing efficiency. This study proposes a new mechanical deformation modulus to characterize rock fracture modes under coupled effects of stress conditions and mechanical parameters. Combined with tensile strength and fracture toughness, a ternary-index fracability [...] Read more.
Accurately evaluating fracability is crucial for improving shale gas fracturing efficiency. This study proposes a new mechanical deformation modulus to characterize rock fracture modes under coupled effects of stress conditions and mechanical parameters. Combined with tensile strength and fracture toughness, a ternary-index fracability evaluation method is established covering the full process of “fracture initiation–propagation–network formation”. Taking intervals Q1–Q9 of Gulong Shale as the research object, experiments were conducted to classify main intervals into four mechanical models: (1) “low tensile–low toughness–low modulus” (Q2), where fractures crack and grow easily but exhibit small apertures and weak fracture-forming capacity; (2) “low tensile–low toughness–medium modulus” (Q1, Q3, Q6), where fractures crack and grow easily, forming low-angle intersecting fracture networks; (3) “low tensile–low toughness–high modulus” (Q7, Q9), where fractures crack and grow easily, creating large-aperture, high-angle through-going fracture networks; and (4) “high tensile–low toughness–high modulus” (Q4, Q5, Q8), where fractures crack with difficulty but grow easily, developing high-angle through-going shear fractures. The evaluation results are consistent with the actual fracability characteristics of the Gulong Shale. Compared with conventional evaluation methods, the ternary index evaluation method can more clearly reveal the progressive evolution process of fractures from crack to propagation and then to fracture network formation, providing a reliable basis for fracture network prediction and fracturing optimization. Full article
(This article belongs to the Section Petroleum and Low-Carbon Energy Process Engineering)
Show Figures

Figure 1

Back to TopTop