Sign in to use this feature.

Years

Between: -

Subjects

remove_circle_outline
remove_circle_outline
remove_circle_outline
remove_circle_outline
remove_circle_outline
remove_circle_outline
remove_circle_outline

Journals

Article Types

Countries / Regions

Search Results (54)

Search Parameters:
Keywords = Pyrenophora

Order results
Result details
Results per page
Select all
Export citation of selected articles as:
24 pages, 2686 KB  
Article
Linking Soil Microbial Functional Profiles to Fungal Disease Resistance in Winter Barley Under Different Fertilisation Regimes
by Mariana Petkova, Petar Chavdarov and Stefan Shilev
Plants 2025, 14(20), 3199; https://doi.org/10.3390/plants14203199 - 18 Oct 2025
Viewed by 236
Abstract
Barley (Hordeum vulgare L.) is a major fodder crop whose productivity is often reduced by phytopathogens, especially during early growth. Understanding how soil fertility management and microbial communities influence disease outcomes is critical for developing sustainable strategies that reduce fungicide dependence and [...] Read more.
Barley (Hordeum vulgare L.) is a major fodder crop whose productivity is often reduced by phytopathogens, especially during early growth. Understanding how soil fertility management and microbial communities influence disease outcomes is critical for developing sustainable strategies that reduce fungicide dependence and enhance crop resilience. This study evaluated the resistance of the winter barley cultivar “Zemela” to powdery mildew (Blumeria graminis f. sp. hordei), brown rust (Puccinia hordei), and net blotch (Pyrenophora teres f. maculata). The crop was cultivated under two soil management systems—green manure and conventional—and five fertilisation regimes: mineral, vermicompost, combined, biochar, and control. Phytopathological assessment was integrated with functional predictions of soil microbial communities. Field trials showed high resistance to powdery mildew (RI = 95%) and brown rust (RI = 82.5%), and moderate resistance to net blotch (RI = 60%). While ANOVA indicated no significant treatment effects (p > 0.05), PCA explained 82.3% of the variance, revealing clear clustering of microbial community functions by soil management system and highlighting the strong influence of fertilisation practices on disease-related microbial dynamics. FAPROTAX analysis suggested that organic amendments enhanced antifungal functions, whereas conventional systems were dominated by nitrogen cycling. FUNGuild identified higher saprotrophic and mycorrhizal activity under organic and combined treatments, contrasting with greater pathogen abundance in conventional plots. Overall, results demonstrate that soil fertilisation practices, together with microbial functional diversity, play a central role in disease suppression and crop resilience, supporting sustainable barley production with reduced reliance on chemical inputs. Full article
(This article belongs to the Special Issue Plants 2025—from Seeds to Food Security)
Show Figures

Figure 1

15 pages, 605 KB  
Article
Metabolic and Phytotoxic Profile of Phytopathogens in Main Extensive Crops of Argentina
by Francisco José Sautua, Maria Chiara Zonno, Pierluigi Reveglia, Maria Letizia Ciavatta, Marianna Carbone, Lucia Lecce, María Cecilia Pérez-Pizá, Gaetano Corso, Marcelo Anibal Carmona and Antonio Evidente
Toxins 2025, 17(9), 466; https://doi.org/10.3390/toxins17090466 - 18 Sep 2025
Viewed by 493
Abstract
Phytopathogenic fungi represent a significant biotic stress affecting global agriculture, often causing severe diseases and, in some cases, leading to plant death. They have been isolated from economically important crops, including cereals, legumes, and fruits. Among the compounds produced by fungi, phytotoxins play [...] Read more.
Phytopathogenic fungi represent a significant biotic stress affecting global agriculture, often causing severe diseases and, in some cases, leading to plant death. They have been isolated from economically important crops, including cereals, legumes, and fruits. Among the compounds produced by fungi, phytotoxins play a key role in disease development by interfering with host physiological processes. In this study, organic extracts from Cercospora kikuchii, Cercospora nicotianae, Cercospora sojina, Diaporthe longicolla, Septoria glycines, Pyrenophora teres, and Pyrenophora tritici-repentis, isolated from three major Argentine crops, were first screened for the in vitro production of phytotoxic metabolites. Subsequently, selected metabolites were dereplicated using liquid chromatography-tandem mass spectrometry (LC-MS/MS) and nuclear magnetic resonance (NMR) spectroscopy. The phytotoxins identified varied according to the fungal species and extraction conditions. Cercosporin, putaminoxin, scytalone, and isosclerone were identified. These findings underscore the need for further chemical investigation to comprehensively characterize the metabolome of these phytopathogens and clarify their roles in plant–pathogen interactions. Full article
(This article belongs to the Topic Application of Analytical Technology in Metabolomics)
Show Figures

Figure 1

24 pages, 2268 KB  
Review
Raman Spectroscopy as a Tool for Early Identification of Tan Spot Disease and Assessment of Fungicide Response in Wheat
by Ioannis Vagelas
Agronomy 2025, 15(8), 1952; https://doi.org/10.3390/agronomy15081952 - 13 Aug 2025
Viewed by 716
Abstract
Tan spot disease, caused by Pyrenophora tritici-repentis, poses a significant threat to wheat production worldwide. Early detection and precise fungicide application are essential for effective disease management. This study explores the potential of Raman spectroscopy—specifically surface-enhanced Raman spectroscopy (SERS) and coherent anti-Stokes [...] Read more.
Tan spot disease, caused by Pyrenophora tritici-repentis, poses a significant threat to wheat production worldwide. Early detection and precise fungicide application are essential for effective disease management. This study explores the potential of Raman spectroscopy—specifically surface-enhanced Raman spectroscopy (SERS) and coherent anti-Stokes Raman scattering (CARS)—as non-invasive tools for identifying fungal infection and assessing wheat’s biochemical response to propiconazole treatment. The methodology is entirely theoretical; no laboratory experiments were conducted. Instead, all spectral graphs and figures were generated through a collaborative process between the author and Microsoft Copilot, which served as a rendering tool. These AI-assisted visualizations simulate Raman responses based on known molecular interactions and literature data. The results demonstrate the conceptual feasibility of Raman-based diagnostics for precision agriculture, offering a sustainable approach to disease monitoring and fungicide management. Full article
Show Figures

Figure 1

26 pages, 4417 KB  
Article
Transcriptome Analysis and Functional Characterization of the HvLRR_8-1 Gene Involved in Barley Resistance to Pyrenophora graminea
by Wenjuan Yang, Ming Guo, Yan Li, Qinglan Yang, Huaizhi Zhang, Chengdao Li, Juncheng Wang, Yaxiong Meng, Xiaole Ma, Baochun Li, Lirong Yao, Hong Zhang, Ke Yang, Xunwu Shang, Erjing Si and Huajun Wang
Plants 2025, 14(15), 2350; https://doi.org/10.3390/plants14152350 - 30 Jul 2025
Viewed by 794
Abstract
Barley leaf stripe, caused by Pyrenophora graminea (Pg), significantly reduces yields across various regions globally. Understanding the resistance mechanisms of barley to Pg is crucial for advancing disease resistance breeding efforts. In this study, two barley genotypes—highly susceptible Alexis and immune [...] Read more.
Barley leaf stripe, caused by Pyrenophora graminea (Pg), significantly reduces yields across various regions globally. Understanding the resistance mechanisms of barley to Pg is crucial for advancing disease resistance breeding efforts. In this study, two barley genotypes—highly susceptible Alexis and immune Ganpi2—were inoculated with the highly pathogenic Pg isolate QWC for 7, 14, and 18 days. The number of differentially expressed genes (DEGs) in Alexis was 1350, 1898, and 2055 at 7, 14, and 18 days, respectively, while Ganpi2 exhibited 1195, 1682, and 2225 DEGs at the same time points. Gene expression pattern analysis revealed that Alexis responded more slowly to Pg infection compared to Ganpi2. A comparative analysis identified 457 DEGs associated with Ganpi2’s immunity to Pg. Functional enrichment of these DEGs highlighted the involvement of genes related to plant-pathogen interactions and kinase activity in Pg immunity. Additionally, 20 resistance genes and 24 transcription factor genes were predicted from the 457 DEGs. Twelve candidate genes were selected for qRT-PCR verification, and the results showed that the transcriptomic data was reliable. We conducted cloning of the candidate Pg resistance gene HvLRR_8-1 by the barley cultivar Ganpi2, and the sequence analysis confirmed that the HvLRR_8-1 gene contains seven leucine-rich repeat (LRR) domains and an S_TKc domain. Subcellular localization in tobacco indicates that the HvLRR_8-1 is localized on the cell membrane. Through the functional analysis using virus-induced gene silencing, it was demonstrated that HvLRR_8-1 plays a critical role in regulating barley resistance to Pg. This study represents the first comparative transcriptome analysis of barley varieties with differing responses to Pg infection, providing that HvLRR_8-1 represents a promising candidate gene for improving durable resistance against Pg in cultivated barley. Full article
(This article belongs to the Special Issue The Mechanisms of Plant Resistance and Pathogenesis)
Show Figures

Figure 1

16 pages, 9040 KB  
Article
The Essentials of PgPG1, a Polygalacturonase-Encoding Gene for the Invasion of Pyrenophora graminea to Hordeum vulgare
by Erjing Si, Ming Guo, Haiying Liu, Chengdao Li, Juncheng Wang, Lirong Yao, Yaxiong Meng, Xiaole Ma, Baochun Li, Ke Yang, Xunwu Shang and Huajun Wang
Int. J. Mol. Sci. 2025, 26(6), 2401; https://doi.org/10.3390/ijms26062401 - 7 Mar 2025
Cited by 4 | Viewed by 803
Abstract
Barley leaf stripe, caused by Pyrenophora graminea, significantly reduces yield. Polygalacturonase, a key fungal pectinase, facilitates cell wall degradation for nutrition acquisition and colonization. To determine whether P. graminea contains polygalacturonase (PgPG)-encoding genes and their role in pathogenicity, four PgPG [...] Read more.
Barley leaf stripe, caused by Pyrenophora graminea, significantly reduces yield. Polygalacturonase, a key fungal pectinase, facilitates cell wall degradation for nutrition acquisition and colonization. To determine whether P. graminea contains polygalacturonase (PgPG)-encoding genes and their role in pathogenicity, four PgPG genes (PgPG1PgPG4) were identified in the P. graminea genome. Quantitative RT-PCR revealed that PgPG1 had the highest inducible expression during barley infection, suggesting its critical vital role in pathogenesis. PgPG1 was silenced and overexpressed in P. graminea QWC (wild-type) using CaCl2-PEG4000-mediated protoplast transformation. The PgPG1 RNAi mutants exhibited slower growth, while overexpression mutants grew faster. Relative to the wild-type, the disease incidence of Alexis, a highly susceptible barley variety, decreased by 62.94%, 42.19%, 45.74%, and 40.67% for RNAi mutants, and increased by 12.73%, 12.10%, 12.63%, and 10.31% for overexpression mutants. Pathogenicity analysis showed decreased disease incidence with PgPG1 RNAi mutants and increased severity with overexpression mutants. Trypan blue staining and polygalacturonase activity assays confirmed that overexpression mutants caused more severe damage compared to wild-type and RNAi mutants. These findings indicate that PgPG1 plays a vital role in the pathogenicity of P. graminea in barley and has great potential as a pathogen target gene to develop a durable resistance variety to P. graminea. Full article
(This article belongs to the Special Issue Plant Pathogen Interactions: 2nd Edition)
Show Figures

Figure 1

11 pages, 8238 KB  
Article
Discovery of a New Starship Transposon Driving the Horizontal Transfer of the ToxA Virulence Gene in Alternaria ventricosa
by Fei Liu, Ratchadawan Cheewangkoon and Rui-Lin Zhao
Microorganisms 2025, 13(2), 376; https://doi.org/10.3390/microorganisms13020376 - 9 Feb 2025
Cited by 2 | Viewed by 1420
Abstract
The virulence gene ToxA has been proposed to be horizontally transferred between three fungal wheat pathogens (Parastagonospora nodorum, Pyrenophora tritici-repentis, and Bipolaris sorokiniana) as part of a conserved ~14 kb ToxhAT transposon. Here, our analysis of 2137 fungal species-representative [...] Read more.
The virulence gene ToxA has been proposed to be horizontally transferred between three fungal wheat pathogens (Parastagonospora nodorum, Pyrenophora tritici-repentis, and Bipolaris sorokiniana) as part of a conserved ~14 kb ToxhAT transposon. Here, our analysis of 2137 fungal species-representative assemblies revealed that the ToxA gene is an isolate of Alternaria ventricosa and shows a remarkable 99.5% similarity to those found in B. sorokiniana and P. tritici-repentis. Analysis of the regions flanking ToxA within A. ventricosa revealed that it was embedded within a 14 kb genomic element nearly identical to the corresponding ToxhAT regions in B. sorokiniana, P. nodorum, and P. tritici-repentis. Comparative analysis further showed that ToxhAT in A. ventricosa resides within a larger mobile genetic element, which we identified as a member of the Starship transposon superfamily, named Frontier. Our analysis demonstrated that ToxhAT has been independently captured by three distinct Starships—Frontier, Sanctuary, and Horizon—which, despite having minimal sequence similarity outside of ToxhAT, facilitate its mobilization. These findings place Frontier, Sanctuary, and Horizon within a growing class of Starships implicated in the horizontal transfer of adaptive genes among fungal species. Moreover, we identified three distinct HGT events involving ToxA across these four fungal species, reinforcing the hypothesis of a single evolutionary origin for the ToxhAT transposon. These findings underscore the pivotal role of transposon-mediated HGT in the adaptive evolution of eukaryotic pathogens, offering new insights into how transposons facilitate genetic exchange and shape host–pathogen interactions in fungi. Full article
(This article belongs to the Special Issue Fungal Biology and Interactions, 2nd Edition)
Show Figures

Figure 1

13 pages, 2522 KB  
Article
Identification of Leaf Stripe Resistance Genes in Hulless Barley Landrace Teliteqingke from Qinghai-Tibet Plateau
by Zemin Tan, Sai Zhang, Yunfeng Qu, Shenghua Kang, Shiyu Fang and Lu Hou
Int. J. Mol. Sci. 2025, 26(3), 1133; https://doi.org/10.3390/ijms26031133 - 28 Jan 2025
Viewed by 1053
Abstract
Leaf stripe disease, caused by Pyrenophora graminea, is a seed-borne fungal disease that significantly impacts hulless barley (Hordeum vulgare var. nudum) production on the Qinghai-Tibet Plateau. This study aimed to identify genetic factors conferring resistance to the leaf stripe by [...] Read more.
Leaf stripe disease, caused by Pyrenophora graminea, is a seed-borne fungal disease that significantly impacts hulless barley (Hordeum vulgare var. nudum) production on the Qinghai-Tibet Plateau. This study aimed to identify genetic factors conferring resistance to the leaf stripe by analyzing an F3 population derived from a cross between the resistant landrace Teliteqingke and the susceptible landrace Dulihuang. Genetic analysis revealed that resistance in Teliteqingke was governed by two dominant genes. Using bulked segregant analysis combined with an SNP array (BSA-SNP) and RNA-seq, we identified two candidate regions on chromosomes 3H and 7H. Further analysis focused on chromosome 3H, which revealed a candidate genomic region containing seven potential disease-resistance genes. Among these, RT-qPCR experiments demonstrated significant expression induction of HORVU.MOREX.r3.3HG0232110.1 (encoding a RING/U-box superfamily protein) and HORVU.MOREX.r3.3HG0232410.1 (encoding a bZIP transcription factor) showed significant expression induction following inoculation with P. graminea. These genes are strong candidates for the resistance mechanism against leaf stripes in Teliteqingke. These results provide a foundation for functional validation of these genes and offer valuable insights for breeding disease-resistant hulless barley. Full article
(This article belongs to the Special Issue Molecular Research Progress of Cereal Crop Disease Resistance)
Show Figures

Figure 1

13 pages, 696 KB  
Article
Optimizing Fungicide Seed Treatments for Early Foliar Disease Management in Wheat Under Northern Great Plains Conditions
by Collins Bugingo, Shaukat Ali, Dalitso Yabwalo and Emmanuel Byamukama
Agronomy 2025, 15(2), 291; https://doi.org/10.3390/agronomy15020291 - 24 Jan 2025
Cited by 2 | Viewed by 1540
Abstract
Tan spot (Pyrenophora tritici-repentis) and stripe rust (Puccinia striiformis f. sp. tritici) are major foliar diseases of wheat, causing significant yield losses globally. This study evaluated the efficacy of fungicide seed treatments in managing these diseases during early growth [...] Read more.
Tan spot (Pyrenophora tritici-repentis) and stripe rust (Puccinia striiformis f. sp. tritici) are major foliar diseases of wheat, causing significant yield losses globally. This study evaluated the efficacy of fungicide seed treatments in managing these diseases during early growth stages under greenhouse, growth chamber, and field conditions in the Northern Great Plains. Winter and spring wheat cultivars were treated with pyraclostrobin or combinations of thiamethoxam, difenoconazole, mefenoxam, fludioxonil, and sedaxane, among others. Greenhouse and growth chamber plants were inoculated with the respective pathogens, while field trials relied on natural inoculum. Fungicide treatments significantly reduced stripe rust severity (up to 36%) (p ≤ 0.05) and moderately reduced tan spot severity during early growth stages (15–20%). Treated plants demonstrated a 30–40% improvement in plant vigor, and a 25–50% increase in winter survival. Additionally, grain yield in treated plots increased by 25–50% (p ≤ 0.05), with test weight and protein content improving by 10% and 15%, respectively. These findings demonstrate the potential of fungicide seed treatments as an integrated pest (or pathogen) management (IPM) strategy to enhance early foliar disease control and wheat productivity. Full article
Show Figures

Figure 1

10 pages, 981 KB  
Article
Sensitivity Analysis of Pyrenophora tritici-repentis to Quinone-Outside Inhibitor and 14α-Demethylase Inhibitor Fungicides in Latvia
by Jānis Kaņeps, Biruta Bankina, Inga Moročko-Bičevska, Katrīna Apsīte, Ance Roga and Dāvids Fridmanis
Pathogens 2024, 13(12), 1060; https://doi.org/10.3390/pathogens13121060 - 2 Dec 2024
Cited by 1 | Viewed by 1179
Abstract
Tan spot caused by Pyrenophora tritici-repentis is a severe threat to wheat production in all major wheat-growing regions. Sustainable tan spot control can be achieved by an integrated approach, including responsible management of fungicide sprays. The data about the sensitivity of P. tritici-repentis [...] Read more.
Tan spot caused by Pyrenophora tritici-repentis is a severe threat to wheat production in all major wheat-growing regions. Sustainable tan spot control can be achieved by an integrated approach, including responsible management of fungicide sprays. The data about the sensitivity of P. tritici-repentis to various fungicides in the Baltic Sea region are rare. In this study, we described the variation of P. tritici-repentis sensitivity to four fungicide active ingredients to detect the formation of resistance to the most commonly used quinone-outside inhibitor (QoI) and 14α-demethylase inhibitor (DMI) fungicides in the pathogen’s population in Latvia. The effect of prothioconazole, mefentrifluconazole, pyraclostrobin, and azoxystrobin on 93 P. tritici-repentis strains from various hosts was tested in vitro by assessing mycelium linear growth inhibition at three different active ingredient concentrations (0 0.01, 0.1 and 0.5 mg L−1). Pathogen sensitivity significantly (p < 0.001) varied between the fungicide active ingredients and strains. The prothioconazole (concentration 0.5 mg L−1) had the most significant effect, with a median mycelial growth inhibition of 70.34%, followed by pyraclostrobin (47.02%), azoxystrobin (24.24%), and mefentrifluconazole (11.11%). Mutation G143A was detected in cytb gene sequences and confirmed the resistance formation in Latvia’s P. tritici-repentis population, while F129L and G137R mutations were absent. This study provided insight into P. tritici-repentis population’s sensitivity to active ingredients of DMI and OoI fungicide groups, helping to fill the knowledge gap about the pathogen fungicide sensitivity in this region. Full article
Show Figures

Figure 1

16 pages, 2557 KB  
Article
Early Detection of Both Pyrenophora teres f. teres and f. maculata in Asymptomatic Barley Leaves Using Digital Droplet PCR (ddPCR)
by Yassine Bouhouch, Dina Aggad, Nicolas Richet, Sajid Rehman, Muamar Al-Jaboobi, Zakaria Kehel, Qassim Esmaeel, Majida Hafidi, Cédric Jacquard and Lisa Sanchez
Int. J. Mol. Sci. 2024, 25(22), 11980; https://doi.org/10.3390/ijms252211980 - 7 Nov 2024
Viewed by 1577
Abstract
Efficient early pathogen detection, before symptom apparition, is crucial for optimizing disease management. In barley, the fungal pathogen Pyrenophora teres is the causative agent of net blotch disease, which exists in two forms: P. teres f. sp. teres (Ptt), causing net-form [...] Read more.
Efficient early pathogen detection, before symptom apparition, is crucial for optimizing disease management. In barley, the fungal pathogen Pyrenophora teres is the causative agent of net blotch disease, which exists in two forms: P. teres f. sp. teres (Ptt), causing net-form of net blotch (NTNB), and P. teres f. sp. maculata (Ptm), responsible for spot-form of net blotch (STNB). In this study, we developed primers and a TaqMan probe to detect both Ptt and Ptm. A comprehensive k-mer based analysis was performed across a collection of P. teres genomes to identify the conserved regions that had potential as universal genetic markers. These regions were then analyzed for their prevalence and copy number across diverse Moroccan P. teres strains, using both a k-mer analysis for sequence identification and a phylogenetic assessment to establish genetic relatedness. The designed primer-probe set was successfully validated through qPCR, and early disease detection, prior to symptom development, was achieved using ddPCR. The k-mer analysis performed across the available P. teres genomes suggests the potential for these sequences to serve as universal markers for P. teres, transcending environmental variations. Full article
(This article belongs to the Section Molecular Pathology, Diagnostics, and Therapeutics)
Show Figures

Figure 1

16 pages, 3200 KB  
Article
Automated Assessment of Wheat Leaf Disease Spore Concentration Using a Smart Microscopy Scanning System
by Olga V. Doroshenko, Mikhail V. Golub, Oksana Yu. Kremneva, Pavel S. Shcherban’, Andrey S. Peklich, Roman Yu. Danilov, Ksenia E. Gasiyan, Artem V. Ponomarev, Ilya N. Lagutin, Ilya A. Moroz and Victor K. Postovoy
Agronomy 2024, 14(9), 1945; https://doi.org/10.3390/agronomy14091945 - 28 Aug 2024
Cited by 2 | Viewed by 1494
Abstract
An advanced approach to the automated assessment of a microscopic slide containing spores is presented. The objective is to develop an intelligent system for the rapid and precise estimation of phytopathogenic spore concentration on microscopic slides, thereby enabling automated processing. The smart microscopy [...] Read more.
An advanced approach to the automated assessment of a microscopic slide containing spores is presented. The objective is to develop an intelligent system for the rapid and precise estimation of phytopathogenic spore concentration on microscopic slides, thereby enabling automated processing. The smart microscopy scanning system comprises an electronic microscope, a coordinate table, and software for the control of the coordinate table and image processing. The developed smart microscopy scanning system processes the entire microscope slide with multiple exposed strips, which are automatically determined based on the novel two-stage algorithm. The analysis of trained convolutional neural networks employed for the detection of spore phytopathogens demonstrates high precision and recall metrics. The system is capable of identifying and counting the number of spores of phytopathogenic fungi species Blumeria graminis, Puccinia striiformis, and Pyrenophora tritici-repentis on each exposed strip. A methodology for estimating the spore distribution on a microscopic slide is proposed, which involves calculating the average spore concentration density. Full article
(This article belongs to the Special Issue The Applications of Deep Learning in Smart Agriculture)
Show Figures

Figure 1

13 pages, 1690 KB  
Article
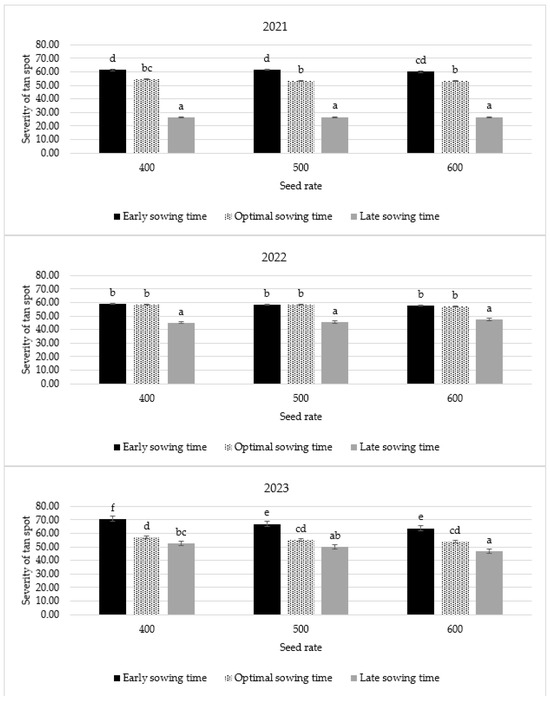
Crop Density and Sowing Timing Effect on Tan Spot Occurrence in Spring Wheat
by Agnė Lukošiūtė-Stasiukonienė, Mohammad Almogdad, Roma Semaškienė and Viktorija Mačiulytė
Agriculture 2024, 14(8), 1284; https://doi.org/10.3390/agriculture14081284 - 3 Aug 2024
Cited by 3 | Viewed by 1687
Abstract
Tan spot (Pyrenophora tritici-repentis) is presenting a persistent challenge to the plant health and yield of all wheat-growing regions. This research is focused on tan spot disease management in spring wheat when planted at three distinct times and with three different [...] Read more.
Tan spot (Pyrenophora tritici-repentis) is presenting a persistent challenge to the plant health and yield of all wheat-growing regions. This research is focused on tan spot disease management in spring wheat when planted at three distinct times and with three different seeding rates without the use of fungicides. Across all years, higher seed rates (500 and 600 seeds per m2) generally resulted in lower tan spot intensity compared to the lower seed rate (400 seeds per m2). Significant differences in tan spot intensity were observed across seed rates at all sowing times. In 2021, the percentage of the AUDPC was significantly higher in the late sowing time (324.58%), with about a 2-fold difference compared with the early (167.48%) and optimal sowing time (191.80%). This suggests that delayed sowing significantly exacerbates disease occurrence. The combined effect of sowing time and year on the AUDPC was notably significant. The AUDPC of the tan spot in all seed rates was the highest in the late sowing time plots in comparison to the ideal and initial planting dates plots. Our results demonstrate how important seed rate and sowing timing are in determining the degree of tan spot in spring wheat. Growing crop methods may be improved by taking these elements into account to better control tan spots. More agricultural methods and environmental aspects should be investigated in future studies to create all-encompassing tan spot control plans. Full article
(This article belongs to the Section Crop Protection, Diseases, Pests and Weeds)
Show Figures

Figure 1

11 pages, 1176 KB  
Communication
Molecular Characterization and Expression Analysis of a Gene Encoding 3-Hydroxy-3-Methylglutaryl-CoA Reductase (HMGR) from Bipolaris eleusines, an Ophiobolin A-Producing Fungus
by Jianping Zhang, Ke Yang, Wei Tang, Yongjie Yang, Xiaoyue Yu, Yongliang Lu and Liuqing Yu
J. Fungi 2024, 10(7), 445; https://doi.org/10.3390/jof10070445 - 26 Jun 2024
Viewed by 1777
Abstract
Ophibolin A, a fungal sesterterpene, exerts a pivotal influence in a diverse array of biological processes, encompassing herbicidal, bactericidal, fungicidal, and cytotoxic activities. Sixty genes associated with sesterterpene compound biosynthesis were obtained from Bipolaris eleusines via transcriptome sequencing, and those closely linked to [...] Read more.
Ophibolin A, a fungal sesterterpene, exerts a pivotal influence in a diverse array of biological processes, encompassing herbicidal, bactericidal, fungicidal, and cytotoxic activities. Sixty genes associated with sesterterpene compound biosynthesis were obtained from Bipolaris eleusines via transcriptome sequencing, and those closely linked to ophiobolin A biosynthesis were subsequently filtered. A gene encoding 3-hydroxy-3-methylglutaryl-CoA reductase (HMGR) that catalyzes the first committed step of ophiobolin biosynthesis in the mevalonic acid (MVA) pathway was isolated and characterized using RACE (Rapid Amplification of cDNA Ends) technology from ophiobolin A-producing fungus, B. eleusines. The full-length cDNA of the B. eleusines HMGR gene (BeHMGR) was 3906 bp and contained a 3474 bp open reading frame (ORF) encoding 1157 amino acids. Sequence analysis revealed that deduced BeHMGR had high homology to the known HMGRs from Pyrenophora tritici-repentis and Leptosphaeria maculans. It had a calculated molecular mass of about 124.65 kDa and an isoelectric point (pI) of 6.90. It contained two putative HMG-CoA-binding motifs and two NADP(H)-binding motifs. Induced expression analysis of the BeHMGR gene by methyl jasmonate treatment using quantitative fluorescence PCR showed that it significantly elevated after 3 h of methyl jasmonate treatment, peaked at 6 h, and then gradually decreased. This demonstrates that BeHMGR gene expression is induced by methyl jasmonate. Full article
(This article belongs to the Special Issue Plant Fungal Diseases and Crop Protection)
Show Figures

Figure 1

17 pages, 2877 KB  
Article
Nitrogen and Silicon Contribute to Wheat Defense’s to Pyrenophora tritici-repentis, but in an Independent Manner
by Andrea Elizabeth Román Ramos, Carlos Eduardo Aucique-Perez, Daniel Debona and Leandro José Dallagnol
Plants 2024, 13(11), 1426; https://doi.org/10.3390/plants13111426 - 21 May 2024
Cited by 2 | Viewed by 1560
Abstract
Nitrogen (N) and silicon (Si) are mineral elements that have shown a reduction in the damage caused by tan spot (Pyrenophora tritici-repentis (Ptr)) in wheat. However, the effects of these elements were studied separately, and the N and Si interaction [...] Read more.
Nitrogen (N) and silicon (Si) are mineral elements that have shown a reduction in the damage caused by tan spot (Pyrenophora tritici-repentis (Ptr)) in wheat. However, the effects of these elements were studied separately, and the N and Si interaction effect on wheat resistance to tan spot remains elusive. Histocytological and biochemical defense responses against Ptr in wheat leaves treated with Si (+Si) at low (LN) and high N (HN) inputs were investigated. Soil amendment with Si reduced the tan spot severity in 18% due to the increase in the leaf Si concentration (around 30%), but it was affected by the N level used. The superoxide dismutase (SOD) activity was higher in +Si plants and inoculated with Ptr, leading to early and higher H2O2 and callose accumulation in wheat leaf. Interestedly, phenylalanine ammonia-lyase (PAL) activity was induced by the Si supplying, being negatively affected by the HN rate. Meanwhile, catalase (CAT), and peroxidase (POX) activities showed differential response patterns according to the Si and N rates used. Tan spot severity was reduced by both elements, but their interaction does not evidence synergic effects in this disease’s control. Wheat plants from −Si and HN and +Si and LN treatments recorded lower tan spot severity. Full article
(This article belongs to the Special Issue Biochemical Defenses of Plants)
Show Figures

Figure 1

17 pages, 1851 KB  
Article
Fungicide Sensitivity Profile of Pyrenophora teres f. teres in Field Population
by Regina Pütsepp, Andres Mäe, Lee Põllumaa, Liis Andresen and Riinu Kiiker
J. Fungi 2024, 10(4), 260; https://doi.org/10.3390/jof10040260 - 29 Mar 2024
Cited by 5 | Viewed by 2291
Abstract
Pyrenophora teres f. teres (Ptt) is a severe pathogen to spring barley in Northern Europe. Ptt with relevant mutations in fungicide target proteins, sterol 14α-demethylase (CYP51A), cytochrome b (Cyt b), and succinate dehydrogenase (SDH) would put efficient disease control at risk. [...] Read more.
Pyrenophora teres f. teres (Ptt) is a severe pathogen to spring barley in Northern Europe. Ptt with relevant mutations in fungicide target proteins, sterol 14α-demethylase (CYP51A), cytochrome b (Cyt b), and succinate dehydrogenase (SDH) would put efficient disease control at risk. In the growing seasons of 2021 and 2022, 193 Ptt isolates from Estonia were analysed. In this study, mutation detection and in vitro fungicide sensitivity assays of single-spore isolates were carried out. Reduced sensitivity phenotype to mefentrifluconazole was evident in Ptt isolates with a F489L mutation in CYP51A or with 129 bp insert in the Cyp51A gene-promoter region. However, sensitivity to a prothioconazole-desthio remained high regardless of these molecular changes. The Ptt population was mostly sensitive to bixafen, fluxapyroxad, pyraclostrobin, and azoxystrobin. The sensitivity of fluxapyroxad and bixafen has been affected by two mutations, C-S135R and D-H134R, found in SDH subunits. The F129L mutation in Cyt b influenced azoxystrobin but not pyraclostrobin sensitivity. In total, 30 isolates from five fields had relevant mutations in three target protein genes simultaneously. Most of these isolates had a reduced sensitivity phenotype to mefentrifluconazole, fluxapyroxad, and azoxystrobin, while sensitivity to other tested fungicides remained high. Furthermore, possible sexual reproduction may enhance the pathogen’s fitness and help it adapt to fungicides. Full article
(This article belongs to the Section Fungal Pathogenesis and Disease Control)
Show Figures

Graphical abstract

Back to TopTop