Sign in to use this feature.

Years

Between: -

Subjects

remove_circle_outline
remove_circle_outline
remove_circle_outline
remove_circle_outline
remove_circle_outline
remove_circle_outline
remove_circle_outline
remove_circle_outline
remove_circle_outline

Journals

remove_circle_outline
remove_circle_outline
remove_circle_outline
remove_circle_outline
remove_circle_outline
remove_circle_outline
remove_circle_outline

Article Types

Countries / Regions

Search Results (164)

Search Parameters:
Keywords = Poisson coupling

Order results
Result details
Results per page
Select all
Export citation of selected articles as:
13 pages, 1459 KB  
Article
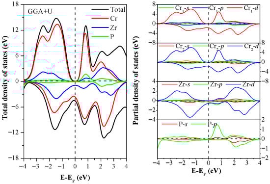
Exploring the Physical Properties of Cr2ZrP Full Heusler Alloy: A First Principles Study
by Wei Zheng, Chunmei Li, Yan Gao, Wenjiang Feng and Chuang Wu
Materials 2026, 19(5), 882; https://doi.org/10.3390/ma19050882 - 27 Feb 2026
Abstract
As a new full Heusler compound, the Cr2ZrP alloy has attracted significant attention due to its potential applications in spintronics. In this paper, the electronic, magnetic, and mechanical properties of the Cr2ZrP alloy were systematically studied using first-principles calculations. [...] Read more.
As a new full Heusler compound, the Cr2ZrP alloy has attracted significant attention due to its potential applications in spintronics. In this paper, the electronic, magnetic, and mechanical properties of the Cr2ZrP alloy were systematically studied using first-principles calculations. The results show that the alloy is a half-metallic ferromagnet with high stability: it exhibits majority-spin-channel semiconductor behavior and minority-spin-channel metallic behavior at the Fermi level, with 100% spin polarization. The total magnetic moment is 3.00 μB, which is consistent with the Slater-Pauling behavior of half-metallic ferromagnets. When the lattice parameter changes by ±5%, the total magnetic moment and 100% spin polarization remain robust, demonstrating excellent mechanical magnetic coupling stability. The mechanical property analysis further revealed that Cr2ZrP meets the mechanical stability criterion of the cubic system and has a high bulk modulus (~172.8 GPa) and a high Debye temperature (~377 K). At the same time, its Pugh ratio (B/G ≈ 2.96) and Poisson ratio (ν ≈ 0.35) showed that the material had good ductility. The three-dimensional surface plot of Young’s modulus confirmed the obvious anisotropy of mechanical properties. This study theoretically confirmed that the Cr2ZrP alloy exhibits ideal half-metallic properties, robust magnetic order, good mechanical stability, and ductility, making it a promising candidate for future spintronic devices. Full article
Show Figures

Figure 1

21 pages, 5853 KB  
Article
Systematic Investigation of Tumor Immune Microenvironment Modulation by Cynomorium songaricum Against Breast Cancer Through Integrated Chemomics, Network Pharmacology and Molecular Docking
by Ze-An Mao, Mei-Ling Zhang, Zi-Yi An and Wei-Lin Jin
Pharmaceuticals 2026, 19(2), 314; https://doi.org/10.3390/ph19020314 - 13 Feb 2026
Viewed by 203
Abstract
Background/Objectives: Breast cancer remains a leading cause of cancer-related mortality in women, with therapeutic resistance frequently arising from tumor heterogeneity and an immunosuppressive tumor immune microenvironment (TIME). While Cynomorium songaricum Rupr. (CS) has been used traditionally in Chinese medicine and exhibits preliminary [...] Read more.
Background/Objectives: Breast cancer remains a leading cause of cancer-related mortality in women, with therapeutic resistance frequently arising from tumor heterogeneity and an immunosuppressive tumor immune microenvironment (TIME). While Cynomorium songaricum Rupr. (CS) has been used traditionally in Chinese medicine and exhibits preliminary anti-tumor activity, its bioactive constituents and precise mechanisms against breast cancer remain to be elucidated. Methods: The chemical constituents of CS were systematically profiled using ultra-high-performance liquid chromatography coupled with Q Exactive Orbitrap mass spectrometry (UHPLC-Q-Exactive Orbitrap MS/MS). Network pharmacology and functional enrichment analyses were performed to identify immuno-related targets and pathways, followed by molecular docking to prioritize component–target pairs. Molecular dynamics (MD) simulations were conducted to validate the stability of a representative docked complex and to characterize binding stability, interaction persistence, molecular mechanics/(Poisson–Boltzmann) surface area (MM/(P)BSA) energetics, and principal component analysis (PCA)-based conformational landscapes. Results: We identified 1100 compounds, of which 84 satisfied the in silico drug-likeness criteria, including 12 phenylpropanoids, 4 terpenes, 35 flavonoids, 2 quinones, 1 phenol, 3 alkaloids, and other phytochemicals. Network pharmacology analysis revealed 776 overlapping targets associated with both breast cancer and immune regulation. Functional enrichment analysis underscored significant involvement in immune-related pathways, and molecular docking studies supported high-affinity interactions between the components and their targets. MD analyses further supported a stable bound ensemble for the representative SRC–Tomentogenin complex during the equilibrated window, with persistent pocket occupancy, consistent interaction signatures, favorable MM/(P)BSA binding energetics, and a concentrated low-energy basin on the PCA-based free energy landscape. Conclusions: These findings elucidate the chemical basis of CS and uncover its immunomodulatory mechanism against breast cancer, offering a foundation for developing CS-based immunotherapeutic strategies and supporting multi-target drug discovery from traditional medicines. Full article
Show Figures

Graphical abstract

22 pages, 1232 KB  
Article
An Energy-Stable S-SAV Finite Element Method for the Generalized Poisson-Nernst-Planck Equation
by Maoqin Yuan, Junde Liu, Peng Ma and Mingyang Li
Axioms 2026, 15(2), 126; https://doi.org/10.3390/axioms15020126 - 7 Feb 2026
Viewed by 231
Abstract
Designing structure-preserving numerical schemes for the generalized Poisson-Nernst-Planck (PNP) system is challenging due to its inherent strong nonlinearity and coupling. In this paper, we propose a class of efficient, unconditional energy-stable schemes based on the Stabilized Scalar Auxiliary Variable (S-SAV) framework combined with [...] Read more.
Designing structure-preserving numerical schemes for the generalized Poisson-Nernst-Planck (PNP) system is challenging due to its inherent strong nonlinearity and coupling. In this paper, we propose a class of efficient, unconditional energy-stable schemes based on the Stabilized Scalar Auxiliary Variable (S-SAV) framework combined with the finite element method. We construct both first-order (BE-S-SAV) and second-order (BDF2-S-SAV) fully discrete schemes. A distinguishing feature of our approach is the use of a linear decomposition strategy, which decouples the complex nonlinear system into a sequence of linear, constant-coefficient elliptic equations at each time step. This significantly reduces computational complexity by avoiding expensive nonlinear iterations. We provide rigorous theoretical proofs demonstrating that the proposed schemes are unconditionally energy stable and strictly preserve mass conservation. Numerical experiments satisfy the theoretical analysis, confirming optimal convergence rates and demonstrating robust preservation of mass conservation and modified energy stability in the tested regimes. Full article
(This article belongs to the Special Issue The Numerical Analysis and Its Application, 2nd Edition)
Show Figures

Figure 1

14 pages, 543 KB  
Article
An Invariant-Based Constitutive Model for Composite Laminates
by Weixian Liu, Shuaijie Fan, Xuefeng Mu, Rufei Ma and Xinfeng Wang
Materials 2026, 19(2), 409; https://doi.org/10.3390/ma19020409 - 20 Jan 2026
Viewed by 206
Abstract
Composite laminates possess complex anisotropic behavior, motivating the development of simplified yet accurate modeling approaches. In this paper, we present a study that introduces a stiffness-invariants-based constitutive model for symmetric, balanced composite laminates, highlighting a novel “quasi-Poisson’s ratio” parameter as a key innovation. [...] Read more.
Composite laminates possess complex anisotropic behavior, motivating the development of simplified yet accurate modeling approaches. In this paper, we present a study that introduces a stiffness-invariants-based constitutive model for symmetric, balanced composite laminates, highlighting a novel “quasi-Poisson’s ratio” parameter as a key innovation. The proposed method reconstructs the laminate stiffness matrices using invariant theory (trace of stiffness tensor) and a Master Ply concept, thereby reducing the number of independent material constants. The methods and assumptions (e.g., neglecting minor bending-twisting couplings) are outlined, and the model’s predictions of critical buckling loads are compared to classical laminate theory (CLT) results. Good agreement is observed in most cases, with a consistent conservative bias of CLT. The results confirm that the invariant-based model captures the dominant stiffness characteristics of the laminates and can slightly overestimate stability margins due to its idealizations. In conclusion, this work provides an efficient constitutive modeling framework that can be integrated with finite element analysis and extended to more general laminates in future studies. Full article
(This article belongs to the Special Issue Mechanical Behavior of Advanced Composite Materials and Structures)
Show Figures

Figure 1

18 pages, 3925 KB  
Article
Performance Optimization of Triangular Cantilever Beam Piezoelectric Energy Harvesters: Synergistic Design Research on Mass Block Structure Optimization and Negative Poisson’s Ratio Substrate
by Ruijie Ren, Binbin Li, Jun Liu, Yu Zhang, Gang Xu and Weijia Liu
Micromachines 2026, 17(1), 78; https://doi.org/10.3390/mi17010078 - 7 Jan 2026
Viewed by 1186
Abstract
The widespread adoption of low-power devices and microelectronic systems has intensified the need for efficient energy harvesting solutions. While cantilever-beam piezoelectric energy harvesters (PEHs) are popular for their simplicity, their performance is often limited by conventional mass block designs. This study addresses this [...] Read more.
The widespread adoption of low-power devices and microelectronic systems has intensified the need for efficient energy harvesting solutions. While cantilever-beam piezoelectric energy harvesters (PEHs) are popular for their simplicity, their performance is often limited by conventional mass block designs. This study addresses this by proposing a comprehensive structural optimization framework for a triangular cantilever PEH to significantly enhance its electromechanical conversion efficiency. The methodology involved a multi-stage approach: first, an embedded coupling design was introduced to connect the mass block and cantilever beam, improving space utilization and strain distribution. Subsequently, the mass block’s shape was optimized. Furthermore, a negative Poisson’s ratio (NPR) honeycomb structure was integrated into the cantilever beam substrate to induce biaxial strain in the piezoelectric layer. Finally, a variable-density mass block was implemented. The synergistic combination of all optimizations—embedded coupling, NPR substrate, and variable-density mass block—culminated in a total performance enhancement of 69.07% (17.76 V) in voltage output and a 44.34% (28.01 Hz) reduction in resonant frequency. Through experimental testing, the output performance of the prototype machine showed good consistency with the simulation results, successfully verifying the effectiveness of the structural optimization method proposed in this study. These findings conclusively show that strategic morphological reconfiguration of key components is highly effective in developing high-performance, low-frequency adaptive piezoelectric energy harvesting systems. Full article
(This article belongs to the Special Issue Micro-Energy Harvesting Technologies and Self-Powered Sensing Systems)
Show Figures

Figure 1

20 pages, 6705 KB  
Article
Numerical Simulation and Stability Analysis of Highway Subgrade Slope Collapse Induced by Rainstorms—A Case Study
by Pancheng Cen, Boheng Shen, Yong Ding, Jiahui Zhou, Linze Shi, You Gao and Zhibin Cao
Water 2026, 18(2), 144; https://doi.org/10.3390/w18020144 - 6 Jan 2026
Cited by 1 | Viewed by 563 | Correction
Abstract
This study investigates rainstorm-induced highway subgrade slope collapses in the coastal areas of Southeast China. By integrating the seepage–stress coupled finite element method with the strength reduction method, we simulate the entire process of seepage, deformation, and slope collapse under rainstorm conditions, analyzing [...] Read more.
This study investigates rainstorm-induced highway subgrade slope collapses in the coastal areas of Southeast China. By integrating the seepage–stress coupled finite element method with the strength reduction method, we simulate the entire process of seepage, deformation, and slope collapse under rainstorm conditions, analyzing the variation in the stability factor. The key findings are as follows: (1) During rainstorms, water infiltration increases soil saturation and pore water pressure, while reducing matrix suction and soil shear strength, leading to soil softening. (2) The toe of the subgrade slope first undergoes plastic deformation under rainstorms, which develops upward, and finally the plastic zone connects completely, causing collapse. The simulated landslide surface is consistent with the actual one, revealing the collapse mechanism of the subgrade slope. Additionally, the simulated displacement at the slope toe when the plastic zone connects provides valuable insights for setting warning thresholds in landslide monitoring. (3) The stability factor of the subgrade slope in the case study decreased from 1.24 before the rainstorm to 0.985 after the rainstorm, indicating a transition from a stable state to an unstable state. (4) Parameter analysis shows that heavy downpour or downpour will cause the case subgrade slope to enter an unstable state. The longer the rainfall duration, the lower the stability factor. Analysis of soil parameters indicates that strength parameters, internal friction angle, and effective cohesion exert a significant influence on slope stability, whereas deformation parameters, elastic modulus, and Poisson’s ratio have a negligible effect. Slope collapse can be timely forecasted by predicting the stability factor. Full article
(This article belongs to the Special Issue Disaster Analysis and Prevention of Dam and Slope Engineering)
Show Figures

Figure 1

32 pages, 3111 KB  
Article
Free and Transient Vibration Analysis of Sandwich Piezoelectric Laminated Beam with General Boundary Conditions
by Xiaoshuai Zhang, Wei Fu, Zixin Ning, Ningze Sun, Yang Li, Ziyuan Yang and Sen Jiu
Materials 2026, 19(1), 136; https://doi.org/10.3390/ma19010136 - 30 Dec 2025
Viewed by 379 | Correction
Abstract
This study comprehensively analyzes the free vibration and transient response for a sandwich piezoelectric laminated beam with elastic boundaries in a thermal environment. Quasi-3D shear deformation beam theory (Q3DBT) and Hamilton’s principle are used to obtain the thermo-electro-mechanical coupling equations, and the method [...] Read more.
This study comprehensively analyzes the free vibration and transient response for a sandwich piezoelectric laminated beam with elastic boundaries in a thermal environment. Quasi-3D shear deformation beam theory (Q3DBT) and Hamilton’s principle are used to obtain the thermo-electro-mechanical coupling equations, and the method of reverberation-ray matrix (MRRM) is utilized to integrate the phase and scattering relationship of the structure in a unified approach. Specifically, the scattering relationship established by the Mixed Rigid-Rod Model (MRRM) via dual coordinate systems describes the general dynamic model of the beam using generalized displacements and generalized forces at the two endpoints. This analytical solution is compared with the finite element numerical results based on Solid5 and Solid45 elements. The similarity of this approach lies in the fact that solid elements can account for the Poisson effect of thick beams, while the difference is that solid elements have a certain width; here, the error is minimized by adopting a single-element division in the width direction. Comparison of the numerical results under different geometric parameters and boundary conditions with the simulation software proves that MRRM has good accuracy and stability in analyzing the dynamic performance of sandwich piezoelectric laminated beams. On this basis, a spring-supported boundary technology is introduced to expand the flexibility of classical boundary conditions, and a detailed parameterization study is conducted on the material properties of the base layer, including the material parameters, geometric property, and the external temperature. The study in this article provides many new results for sandwich-type piezoelectric laminated structures to help further research. Full article
Show Figures

Figure 1

24 pages, 4686 KB  
Article
Parameter Calibration and Experimentation of the Discrete Element Model for Mixed Seeds of Vetch (Vicia villosa) and Oat (Avena sativa) in a Pneumatic Seed Drilling System
by Yu Fu, Dewei Wang, Xufeng Wang, Long Wang, Jianliang Hu, Xingguang Chi and Mao Ji
Appl. Sci. 2025, 15(24), 13048; https://doi.org/10.3390/app152413048 - 11 Dec 2025
Viewed by 298
Abstract
This paper focuses on mixed seeds of Vicia villosa and Avena sativa, with their discrete element model and contact parameters being systematically calibrated and validated to provide reliable theoretical support for the structural design and parameter optimization of the air-assisted seed delivery [...] Read more.
This paper focuses on mixed seeds of Vicia villosa and Avena sativa, with their discrete element model and contact parameters being systematically calibrated and validated to provide reliable theoretical support for the structural design and parameter optimization of the air-assisted seed delivery system. The physical properties of both seed types, including triaxial dimensions, density, moisture content, Poisson’s ratio, and shear modulus, were first measured. The Hertz–Mindlin (no slip) contact model and the multi-sphere aggregation method were employed to construct the discrete element models of Vicia villosa and Avena sativa, with preliminary calibration of the intrinsic model parameters. Poisson’s ratio, elastic modulus, collision restitution coefficient, static friction coefficient, and rolling friction coefficient between the seeds and PLA plastic plate were determined through uniaxial compression, free fall, inclined sliding, and inclined rolling tests. Each test was repeated five times, and the calibration criterion for contact parameters was based on minimizing the relative error between simulation and experimental results. Based on this, experiments on the packing angle of mixed seeds, steepest slope, and a three-factor quadratic rotational orthogonal combination were conducted. The inter-seed collision restitution coefficient, static friction coefficient, and rolling friction coefficient were set as the experimental factors. A total of 23 treatments were designed with repetitions at the center point, and a regression model was established for the relative error of the packing angle with respect to each factor. Based on the measured packing angle of 28.01° for the mixed seeds, the optimal contact parameter combination for the mixed seed pile was determined to be: inter-seed collision restitution coefficient of 0.312, static friction coefficient of 0.328, and rolling friction coefficient of 0.032. The relative error between the simulated packing angle and the measured value was 1.32%. The calibrated inter-seed contact parameters were further coupled into the EDEM–Fluent gas–solid two-phase flow model. Simulations and bench verification tests were carried out under nine treatment combinations, corresponding to three fan speeds (20, 25, and 30 m·s−1) and three total transport efficiencies (12.5, 17.5, and 22.5 g·s−1), with the consistency coefficient of seed distribution in each row being the main evaluation variable. The results showed that the deviation in the consistency coefficient of seed distribution between the simulation and experimental measurements ranged from 1.24% to 3.94%. This indicates that the calibrated discrete element model for mixed seeds and the EDEM–Fluent coupled simulation can effectively reproduce the air-assisted seed delivery process under the conditions of Vicia villosa and Avena sativa mixed sowing, providing reliable parameters and methodological support for the structural design of seeders and DEM-CFD coupled simulations in legume–grass mixed sowing systems. Full article
(This article belongs to the Section Agricultural Science and Technology)
Show Figures

Figure 1

18 pages, 8460 KB  
Article
Simulation of Fracture Propagation and Permeability Enhancement in Heterogeneous Coal Seams During Hydraulic Fracturing Using a Thermo-Hydro-Mechanical-Damage Coupling Model
by Sukai Wang, Lipeng Zhang, Yonglong Li, Wei Liu, Xionghui Liu, Yan Liang, Songling Pu, Lei Sun, Shiqi Liu and Wenkai Wang
Sustainability 2025, 17(24), 10935; https://doi.org/10.3390/su172410935 - 7 Dec 2025
Cited by 1 | Viewed by 437
Abstract
The development of deep coalbed methane is hindered by the strong heterogeneity of coal mechanical properties and complex hydraulic fracturing behavior. To identify the key factors controlling fracture geometry and permeability enhancement, this study developed a thermo-hydro-mechanical-damage coupled model within a COMSOL Multiphysics [...] Read more.
The development of deep coalbed methane is hindered by the strong heterogeneity of coal mechanical properties and complex hydraulic fracturing behavior. To identify the key factors controlling fracture geometry and permeability enhancement, this study developed a thermo-hydro-mechanical-damage coupled model within a COMSOL Multiphysics 6.3-MATLAB R2022b co-simulation framework, incorporating a Weibull random field to characterize mechanical heterogeneity. Sensitivity analysis demonstrates that tensile strength is the predominant factor governing both the fracturing damage zone and permeability-enhanced area, with its damage area extreme difference (10.094) and coefficient of variation (0.85) significantly surpassing those of other parameters. Poisson’s ratio and elastic modulus emerge as key secondary parameters, while compressive strength shows the lowest sensitivity. The parametric influences exhibit distinct patterns: tensile strength shows a strong negative correlation with damage and permeability-enhanced areas (up to 85% reduction), whereas the maximum permeability enhancement rate follows a non-monotonic trend, peaking at 215 when tensile strength reaches 3.33 MPa. Compressive strength minimally affects the damage area (~15%) but steadily improves the maximum permeability enhancement rate (7.5% increase). Elastic modulus exhibits an optimal value (8.93 GPa) for maximizing damage area, while negatively correlating with maximum permeability enhancement rate (9.1% decrease). Fracture morphology is differentially controlled by multiple parameters: low compressive strength promotes fracture deflection and branching, elastic modulus regulates fracture network complexity, and low Poisson’s ratio enhances coal brittleness to effectively activate natural fractures, thereby facilitating complex fracture network formation. Full article
Show Figures

Figure 1

25 pages, 441 KB  
Article
A Non-Canonical Classical Mechanics
by Shi-Dong Liang
AppliedMath 2025, 5(4), 173; https://doi.org/10.3390/appliedmath5040173 - 5 Dec 2025
Viewed by 462
Abstract
Based on noncommutative relations and the Dirac canonical dequantization scheme, I generalize the canonical Poisson bracket to a deformed Poisson bracket and develop a non-canonical formulation of the Poisson, Hamilton, and Lagrange equations in the deformed Poisson and symplectic spaces. I find that [...] Read more.
Based on noncommutative relations and the Dirac canonical dequantization scheme, I generalize the canonical Poisson bracket to a deformed Poisson bracket and develop a non-canonical formulation of the Poisson, Hamilton, and Lagrange equations in the deformed Poisson and symplectic spaces. I find that both of these dynamical equations are the coupling systems of differential equations. The noncommutivity induces the velocity-dependent potential. These formulations give the Noether and Virial theorems in the deformed symplectic space. I find that the Lagrangian invariance and its corresponding conserved quantity depend on the deformed parameters and some points in the configuration space for a continuous infinitesimal coordinate transformation. These formulations provide a non-canonical framework of classical mechanics not only for insight into noncommutative quantum mechanics, but also for exploring some mysteries and phenomena beyond those in the canonical symplectic space. Full article
Show Figures

Figure 1

34 pages, 13615 KB  
Article
Seamless Reconstruction of MODIS Land Surface Temperature via Multi-Source Data Fusion and Multi-Stage Optimization
by Yanjie Tang, Yanling Zhao, Yueming Sun, Shenshen Ren and Zhibin Li
Remote Sens. 2025, 17(19), 3374; https://doi.org/10.3390/rs17193374 - 7 Oct 2025
Cited by 1 | Viewed by 1503
Abstract
Land Surface Temperature (LST) is a critical variable for understanding land–atmosphere interactions and is widely applied in urban heat monitoring, evapotranspiration estimation, near-surface air temperature modeling, soil moisture assessment, and climate studies. MODIS LST products, with their global coverage, long-term consistency, and radiometric [...] Read more.
Land Surface Temperature (LST) is a critical variable for understanding land–atmosphere interactions and is widely applied in urban heat monitoring, evapotranspiration estimation, near-surface air temperature modeling, soil moisture assessment, and climate studies. MODIS LST products, with their global coverage, long-term consistency, and radiometric calibration, are a major source of LST data. However, frequent data gaps caused by cloud contamination and atmospheric interference severely limit their applicability in analyses requiring high spatiotemporal continuity. This study presents a seamless MODIS LST reconstruction framework that integrates multi-source data fusion and a multi-stage optimization strategy. The method consists of three key components: (1) topography- and land cover-constrained spatial interpolation, which preliminarily fills orbit-induced gaps using elevation and land cover similarity criteria; (2) pixel-level LST reconstruction via random forest (RF) modeling with multi-source predictors (e.g., NDVI, NDWI, surface reflectance, DEM, land cover), coupled with HANTS-based temporal smoothing to enhance temporal consistency and seasonal fidelity; and (3) Poisson-based image fusion, which ensures spatial continuity and smooth transitions without compromising temperature gradients. Experiments conducted over two representative regions—Huainan and Jining—demonstrate the superior performance of the proposed method under both daytime and nighttime scenarios. The integrated approach (Step 3) achieves high accuracy, with correlation coefficients (CCs) exceeding 0.95 and root mean square errors (RMSEs) below 2K, outperforming conventional HANTS and standalone interpolation methods. Cross-validation with high-resolution Landsat LST further confirms the method’s ability to retain spatial detail and cross-scale consistency. Overall, this study offers a robust and generalizable solution for reconstructing MODIS LST with high spatial and temporal fidelity. The framework holds strong potential for broad applications in land surface process modeling, regional climate studies, and urban thermal environment analysis. Full article
Show Figures

Graphical abstract

26 pages, 4900 KB  
Article
Design and Experiment of Bare Seedling Planting Mechanism Based on EDEM-ADAMS Coupling
by Huaye Zhang, Xianliang Wang, Hui Li, Yupeng Shi and Xiangcai Zhang
Agriculture 2025, 15(19), 2063; https://doi.org/10.3390/agriculture15192063 - 30 Sep 2025
Viewed by 672
Abstract
In traditional scallion cultivation, the bare-root transplanting method—which involves direct seeding, seedling raising in the field, and lifting—is commonly adopted to minimize seedling production costs. However, during the mechanized transplanting of bare-root scallion seedlings, practical problems such as severe seedling damage and poor [...] Read more.
In traditional scallion cultivation, the bare-root transplanting method—which involves direct seeding, seedling raising in the field, and lifting—is commonly adopted to minimize seedling production costs. However, during the mechanized transplanting of bare-root scallion seedlings, practical problems such as severe seedling damage and poor planting uprightness exist. In this paper, the Hertz–Mindlin with Bonding contact model was used to establish the scallion seedling model. Combined with the Plackett–Burman experiment, steepest ascent experiment, and Box–Behnken experiment, the bonding parameters of scallion seedlings were calibrated. Furthermore, the accuracy of the scallion seedling model parameters was verified through the stress–strain characteristics observed during the actual loading and compression process of the scallion seedlings. The results indicate that the scallion seedling normal/tangential contact stiffness, scallion seedling normal/tangential ultimate stress, and scallion Poisson’s ratio significantly influence the mechanical properties of scallion seedlings. Through optimization experiments, the optimal combination of the above parameters was determined to be 4.84 × 109 N/m, 5.64 × 107 Pa, and 0.38. In this paper, the flexible planting components of scallion seedlings were taken as the research object. Flexible protrusions were added to the planting disc to reduce the damage rate of scallion seedlings, and an EDEM-ADAMS coupling interaction model between the planting components and scallion seedlings was established. Based on this model, optimization and verification were carried out on the key components of the planting components. Orthogonal experiments were conducted with the contact area between scallion seedlings and the disc, rotational speed of the flexible disc, furrow depth, and clamping force on scallion seedlings as experimental factors, and with the uprightness and damage status of scallion seedlings as evaluation criteria. The experimental results showed that when the contact area between scallion seedlings and the disc was 255 mm2, the angular velocity was 0.278 rad/s, and the furrow depth was 102.15 mm, the performance of the scallion planting mechanism was optimal. At this point, the uprightness of the scallion seedlings was 94.80% and the damage rate was 3%. Field experiments were carried out based on the above parameters. The results indicated that the average uprightness of transplanted scallion seedlings was 93.86% and the damage rate was 2.76%, with an error of less than 2% compared with the simulation prediction values. Therefore, the parameter model constructed in this paper is reliable and effective, and the designed and improved transplanting mechanism can realize the upright and low-damage planting of scallion seedlings, providing a reference for the low-damage and high-uprightness transplanting operation of scallions. Full article
(This article belongs to the Section Agricultural Technology)
Show Figures

Figure 1

18 pages, 8877 KB  
Article
Research on Geological–Engineering “Double-Sweet Spots” Grading Evaluation Method for Low-Permeability Reservoirs with Multi-Parameter Integration
by Yihe Li, Haixiang Zhang, Yan Ge, Lingtong Liu, Shuwen Guo and Zhandong Li
Processes 2025, 13(9), 2967; https://doi.org/10.3390/pr13092967 - 17 Sep 2025
Viewed by 630
Abstract
The development of low-permeability reservoirs offshore entails substantial investment and demands high production capacity for oil and gas. Consequently, the analysis and evaluation of key elements for integrated geological–engineering sweet spots have become essential. This study systematically establishes a coupled analysis methodology for [...] Read more.
The development of low-permeability reservoirs offshore entails substantial investment and demands high production capacity for oil and gas. Consequently, the analysis and evaluation of key elements for integrated geological–engineering sweet spots have become essential. This study systematically establishes a coupled analysis methodology for geological and engineering parameters of low-permeability reservoirs, based on Offshore Oilfield A. A comprehensive evaluation framework for geological–engineering sweet spots is proposed, which applies grey relational analysis and the analytic hierarchy process. Twelve geological–engineering sweet spots were analysed, with corresponding parameter weightings determined. Geological sweet spots encompassed factors such as porosity, permeability, and oil saturation, and engineering sweet spots considered Young’s modulus, Poisson’s ratio, fracture factor, and brittleness index. Low-permeability reservoirs were categorised into Classes I, II, III, and IV by establishing indicator factors. Integrating seismic inversion and reservoir numerical simulation methods, we constructed an analysis model. This methodology resolves challenges in evaluating offshore low-permeability reservoirs, enabling rapid and precise sweet spot identification. It provides critical technological support for enhancing oil and gas production efficiency. Full article
(This article belongs to the Section Sustainable Processes)
Show Figures

Figure 1

20 pages, 6162 KB  
Article
Design and Optimization of Hierarchical Porous Metamaterial Lattices Inspired by the Pistol Shrimp’s Claw: Coupling for Superior Crashworthiness
by Jiahong Wen, Na Wu, Pei Tian, Xinlin Li, Shucai Xu and Jiafeng Song
Biomimetics 2025, 10(9), 582; https://doi.org/10.3390/biomimetics10090582 - 2 Sep 2025
Viewed by 986
Abstract
This study, inspired by the impact resistance of the pistol shrimp’s predatory claw, investigates the design and optimization of bionic energy absorption structures. Four types of bionic hierarchical porous metamaterial lattice structures with a negative Poisson’s ratio were developed based on the microstructure [...] Read more.
This study, inspired by the impact resistance of the pistol shrimp’s predatory claw, investigates the design and optimization of bionic energy absorption structures. Four types of bionic hierarchical porous metamaterial lattice structures with a negative Poisson’s ratio were developed based on the microstructure of the pistol shrimp’s fixed claw. These structures were validated through finite element models and quasi-static compression tests. Results showed that each structure exhibited distinct advantages and shortcomings in specific evaluation indices. To address these limitations, four new bionic structures were designed by coupling the characteristics of the original structures. The coupled structures demonstrated a superior balance across various performance indicators, with the EOS (Eight pillars Orthogonal with Side connectors on square frame) structure showing the most promising results. To further enhance the EOS structure, a parametric study was conducted on the distance d from the edge line to the curve vertex and the length-to-width ratio y of the negative Poisson’s ratio structure beam. A fifth-order polynomial surrogate model was constructed to predict the Specific Energy Absorption (SEA), Crush Force Efficiency (CFE), and Undulation of Load-Carrying fluctuation (ULC) of the EOS structure. A multi-objective genetic algorithm was employed to optimize these three key performance indicators, achieving improvements of 1.98% in SEA, 2.42% in CFE, and 2.05% in ULC. This study provides a theoretical basis for the development of high-performance biomimetic energy absorption structures and demonstrates the effectiveness of coupling design with optimization algorithms to enhance structural performance. Full article
(This article belongs to the Section Biomimetics of Materials and Structures)
Show Figures

Figure 1

19 pages, 23351 KB  
Article
Integrated Geomechanical Modeling of Multiscale Fracture Networks in the Longmaxi Shale Reservoir, Northern Luzhou Region, Sichuan Basin
by Guoyou Fu, Qun Zhao, Guiwen Wang, Caineng Zou and Qiqiang Ren
Appl. Sci. 2025, 15(17), 9528; https://doi.org/10.3390/app15179528 - 29 Aug 2025
Viewed by 808
Abstract
This study presents an integrated geomechanical modeling framework for predicting multi-scale fracture networks and their activity in the Longmaxi Formation shale reservoir, northern Luzhou region, southeastern Sichuan Basin—an area shaped by complex, multi-phase tectonic deformation that poses significant challenges for resource prospecting. The [...] Read more.
This study presents an integrated geomechanical modeling framework for predicting multi-scale fracture networks and their activity in the Longmaxi Formation shale reservoir, northern Luzhou region, southeastern Sichuan Basin—an area shaped by complex, multi-phase tectonic deformation that poses significant challenges for resource prospecting. The workflow begins with quantitative characterization of key mechanical parameters, including uniaxial compressive strength, Young’s modulus, Poisson’s ratio, and tensile strength, obtained from core experiments and log-based inversion. These parameters form the foundation for multi-phase finite element simulations that reconstruct paleo- and present-day stress fields associated with the Indosinian (NW–SE compression), Yanshanian (NWW–SEE compression), and Himalayan (near W–E compression) deformation phases. Optimized Mohr–Coulomb and tensile failure criteria, coupled with a multi-phase stress superposition algorithm, enable quantitative prediction of fracture density, aperture, and orientation through successive tectonic cycles. The results reveal that the Longmaxi Formation’s high brittleness and lithological heterogeneity interact with evolving stress regimes to produce fracture systems that are strongly anisotropic and phase-dependent: initial NE–SW-oriented domains established during the Indosinian phase were intensified during Yanshanian reactivation, while Himalayan uplift induced regional stress attenuation with limited new fracture formation. The cumulative stress effects yield fracture networks concentrated along NE–SW fold axes, fault zones, and intersection zones. By integrating geomechanical predictions with seismic attributes and borehole observations, the study constructs a discrete fracture network that captures both large-scale tectonic fractures and small-scale features beyond seismic resolution. Fracture activity is further assessed using friction coefficient analysis, delineating zones of high activity along fold–fault intersections and stress concentration areas. This principle-driven approach demonstrates how mechanical characterization, stress field evolution, and fracture mechanics can be combined into a unified predictive tool, offering a transferable methodology for structurally complex, multi-deformation reservoirs. Beyond its relevance to shale gas development, the framework exemplifies how advanced geomechanical modeling can enhance resource prospecting efficiency and accuracy in diverse geological settings. Full article
(This article belongs to the Special Issue Recent Advances in Prospecting Geology)
Show Figures

Figure 1

Back to TopTop