Abstract
This study presents an integrated geomechanical modeling framework for predicting multi-scale fracture networks and their activity in the Longmaxi Formation shale reservoir, northern Luzhou region, southeastern Sichuan Basin—an area shaped by complex, multi-phase tectonic deformation that poses significant challenges for resource prospecting. The workflow begins with quantitative characterization of key mechanical parameters, including uniaxial compressive strength, Young’s modulus, Poisson’s ratio, and tensile strength, obtained from core experiments and log-based inversion. These parameters form the foundation for multi-phase finite element simulations that reconstruct paleo- and present-day stress fields associated with the Indosinian (NW–SE compression), Yanshanian (NWW–SEE compression), and Himalayan (near W–E compression) deformation phases. Optimized Mohr–Coulomb and tensile failure criteria, coupled with a multi-phase stress superposition algorithm, enable quantitative prediction of fracture density, aperture, and orientation through successive tectonic cycles. The results reveal that the Longmaxi Formation’s high brittleness and lithological heterogeneity interact with evolving stress regimes to produce fracture systems that are strongly anisotropic and phase-dependent: initial NE–SW-oriented domains established during the Indosinian phase were intensified during Yanshanian reactivation, while Himalayan uplift induced regional stress attenuation with limited new fracture formation. The cumulative stress effects yield fracture networks concentrated along NE–SW fold axes, fault zones, and intersection zones. By integrating geomechanical predictions with seismic attributes and borehole observations, the study constructs a discrete fracture network that captures both large-scale tectonic fractures and small-scale features beyond seismic resolution. Fracture activity is further assessed using friction coefficient analysis, delineating zones of high activity along fold–fault intersections and stress concentration areas. This principle-driven approach demonstrates how mechanical characterization, stress field evolution, and fracture mechanics can be combined into a unified predictive tool, offering a transferable methodology for structurally complex, multi-deformation reservoirs. Beyond its relevance to shale gas development, the framework exemplifies how advanced geomechanical modeling can enhance resource prospecting efficiency and accuracy in diverse geological settings.
1. Introduction
Shale gas reservoirs—self-sourced, self-sealed, and capable of in situ hydrocarbon storage—represent a major frontier in unconventional resource prospecting, with global technically recoverable reserves estimated at ~214.5 × 1012 m3 [1,2,3,4]. World-class examples such as the Wolfcamp, Bakken, Eagle Ford, Kongdian, Yanchang, Qingshankou, and the Lower Silurian Longmaxi Formation have become critical exploration targets [5,6,7,8,9]. Among them, the Longmaxi Formation in the Sichuan Basin is China’s most productive shale gas play, owing to its high brittleness, favorable depositional environment, and abundant natural fractures [3,4,10]. These fractures are essential for shale gas productivity, as they enhance permeability and provide migration pathways [11,12,13].
In structurally complex basins, fracture formation and distribution are controlled by the coupled evolution of rock mechanical properties and multi-phase tectonic stress fields. Conventional characterization methods—core description, well-log analysis, outcrop mapping, and thin-section observation—offer high-resolution but spatially limited datasets [13,14,15]. By contrast, modern geomechanical modeling integrates mechanical property measurement, tectonic stress reconstruction, and fracture mechanics, enabling quantitative prediction of fracture density, aperture, and orientation across reservoir scales [15,16,17,18,19]. Finite element numerical simulation (FENS) platforms such as ANSYS (15.0) and ABAQUS (2022) can reproduce three-dimensional paleo- and present-day stress fields, providing the dynamic framework for fracture initiation, propagation, and reactivation [20,21,22,23].
The Longmaxi Formation has undergone multiple tectonic deformation episodes—Caledonian, Hercynian, Indosinian, Yanshanian, and Himalayan—of which the Indosinian (NW–SE compression), Yanshanian (NWW–SEE compression), and Himalayan (near W–E compression) phases played dominant roles in fracture development [24,25,26]. Successive stress regimes from these phases superimpose to generate spatially heterogeneous, anisotropic fracture systems. Neglecting these cumulative effects risks underestimating fracture connectivity and activity, leading to suboptimal resource prospecting outcomes. Understanding how evolving stress fields interact with heterogeneous lithomechanical properties is therefore critical for accurate prediction of fracture-controlled permeability systems.
In this study, we develop an integrated geomechanical modeling framework to reconstruct multi-scale fracture networks and evaluate their activity in the Longmaxi Formation, northern Luzhou region. The workflow begins with laboratory and log-based inversion of key rock mechanical parameters—uniaxial compressive strength, Young’s modulus, Poisson’s ratio, and tensile strength—which define the thresholds for fracture initiation. Multi-phase FENS reconstructs paleo- and present-day stress fields for the Indosinian, Yanshanian, and Himalayan stages, resolving stress magnitudes, orientations, and discontinuities. Optimized Mohr–Coulomb and tensile failure criteria, coupled with a multi-phase stress superposition algorithm, yield spatially explicit predictions of fracture density, aperture, and orientation through successive deformation cycles. Finally, seismic attributes (curvature, ant tracking, and fault interpretation) are integrated with borehole constraints to construct a discrete fracture network (DFN) capturing both large-scale tectonic fractures and sub-seismic features, while friction coefficient analysis quantifies fracture activity. This principle-driven, multidisciplinary approach directly aligns with the scope of prospecting geology: it demonstrates how geological observation, geomechanical testing, numerical simulation, and seismic interpretation can be fused into a predictive tool for resource exploration. The methodology not only advances shale gas prospecting in the Longmaxi Formation but also offers a transferable framework for fracture-controlled resource systems in tight sandstones, carbonates, and mineralized zones, thereby contributing to more accurate, efficient, and technologically integrated prospecting strategies.
2. Geological Setting
Tectonically, the Sichuan Basin is located in southern China and has undergone multiple phases of deformation influenced by the Indosinian, Yanshanian, and Himalayan orogenies [4,27]. The northern Luzhou region, situated at the junction of the southern Sichuan gently folded belt and the eastern Sichuan steeply folded belt (Figure 1), is characterized by a partition-style fold system. This structural configuration consists of broad, gently sloping synclines and narrow, steep anticlines [27,28]. The regional tectonic evolution has resulted in a complex pattern of uplift and subsidence, leading to significant variations in fracture development across different structural domains. The northern Luzhou region exhibits a multi-order thrust-fold system with three distinct deformation phases. The first-phase structures are large-scale and NE-trending, displaying good continuity; examples include the Fuxi syncline and Desheng syncline. The second-phase structures are medium-scale, trending near N–S to NNE, and have developed within the first-phase structures. The third-phase structures are small-scale, trending near E–W, and are superimposed within the second-phase structures. This multi-phase deformation history has resulted in a complex natural fracture network with significant spatial variations in fracture density, orientation, and connectivity.
Figure 1.
The structure outline map of the northern Luzhou region in the Sichuan Basin.
The stratigraphic sequence in the study area is well-developed, with the Upper Ordovician Wufeng Formation and Lower Silurian Longmaxi Formation serving as key target intervals for shale gas exploration. The Wufeng Formation consists primarily of gray-black siliceous shale enriched in graptolites in its lower part, while the upper part features the Guanyinqiao Section, composed of gray-black shale with crust-like textures. Overlying the Wufeng Formation, the Longmaxi Formation consists of gray-black clay-rich shale and siliceous shale with abundant graptolite fossils. This formation thickens and stabilizes toward the south. The Longmaxi Formation can be further subdivided into two members based on paleo-water level fluctuations and lithological variations: the Long 1 Member and Long 2 Member [4]. The Long 1 Member, which is the primary target for shale gas development, can be further divided into its 1st and 2nd sub-members. Detailed analysis of logging data, sedimentary cycles, and elemental composition allows further subdivision of the 1st sub-member into seven distinct sub-layers. The structural complexity and multi-phase deformation in the northern Luzhou region have played a critical role in controlling fracture distribution, evolution, and reactivation. Therefore, a comprehensive geomechanical modeling approach is essential for constructing a multi-scale fracture network and evaluating its activity, providing insights into the spatial distribution and effectiveness of fractures in the Longmaxi Formation shale reservoir.
3. Methods and Techniques
This study integrates geological, geomechanical, and numerical modeling techniques to reconstruct multi-scale fracture networks and evaluate their activity in the Longmaxi Formation shale reservoir of the northern Luzhou region, southeastern Sichuan Basin. The methodological workflow consists of the following key steps:
3.1. Fracture Characterization and Data Acquisition
Fracture development patterns were characterized using a combination of core analysis, outcrop mapping, and well log interpretation. Core description focused on fracture type, orientation, density, aperture, and mineral infill, which were used to establish fracture classification schemes. Field surveys in structurally deformed zones documented large-scale fracture orientations and connectivity patterns. Outcrop measurements were used to validate subsurface interpretations. Borehole image logs (Formation MicroImager (FMI) and Ultrasonic Borehole Imager (UBI)) provided high-resolution images of the wellbore wall, enabling the identification of open and mineralized fractures, their spatial distribution, and their relationship with in situ stress. Fracture dip angles and lengths were statistically analyzed to support fracture network modeling.
Rock mechanical properties, such as Young’s modulus and Poisson’s ratio, were determined through laboratory experiments and well-log-based inversion to provide input parameters for geomechanical modeling. Rock samples were subjected to uniaxial and triaxial compression tests to determine Young’s modulus, Poisson’s ratio, unconfined compressive strength (UCS), and frictional properties. Brazilian tensile strength tests and fracture toughness measurements were conducted to assess failure behavior under tension. Dynamic mechanical properties from sonic logs were calibrated with laboratory results to estimate in situ mechanical properties across different stratigraphic intervals. Elastic moduli, brittleness indices, and stress anisotropy parameters were derived from density and acoustic log interpretations.
3.2. Multi-Phase Geomechanical Modeling
A series of multi-phase geomechanical models was constructed to simulate the stress evolution across the Indosinian, Yanshanian, and Himalayan tectonic phases within the Longmaxi Formation. A 3D finite element geomechanical model was developed in ANSYS using stratigraphic, structural, and petrophysical constraints to represent the heterogeneous and anisotropic nature of the shale reservoir. The model was discretized into high-resolution grids using Solid185 elements, ensuring accurate capture of stress gradients around faults and folds. Boundary conditions were defined based on regional tectonic regimes: Indosinian NE-SW compression, Yanshanian NW-SE compression with fault reactivation, and Himalayan N-S compressive uplift with regional stress attenuation. These were quantified using restoration-based strain analysis and seismic structural interpretation to determine displacement boundary inputs and differential stress magnitudes. Mechanical properties for the geomechanical model were derived from well-log-based dynamic elastic parameters, using density, compressional, and shear wave velocity logs to compute dynamic Young’s modulus and Poisson’s ratio. These were calibrated to static moduli using empirical correlations established from core laboratory tests, ensuring consistency with rock mechanical testing results. Uniaxial compressive strength (UCS) and tensile strength were estimated from the calibrated moduli and in situ densities using regression relationships, providing critical inputs for the rupture criteria analysis. Core samples (N = 22) with orientations perpendicular and parallel to bedding planes were prepared following ISRM suggested methods for uniaxial and triaxial compression tests, using standard dimensions (diameter: 25 mm; length: 50 mm). The samples were tested with a constant strain rate of 0.5 mm/min until failure. For each test type, at least three replicates were conducted to ensure reproducibility.
Paleo- and present-day stress fields were simulated under these conditions, incorporating fault-related stress perturbations using fault property inputs (friction coefficients, cohesion) and regional stress tensors. Model calibration was performed using wellbore breakouts, drilling-induced fractures, leak-off tests, and mini-frac stress measurements, ensuring the reliability of the stress magnitude and orientation outputs. Stress tensor outputs were extracted to generate stress distribution maps at each tectonic phase, enabling detailed analysis of spatial and temporal changes in stress orientations and magnitudes critical for fracture development prediction. To capture cumulative tectonic effects, a multi-phase stress superposition approach was employed, summing effective stress tensors from each phase under the assumption of elastic deformation. This allowed tracking of stress memory effects influencing fracture reactivation and propagation within the Longmaxi Formation across multiple deformation episodes.
3.3. Fracture Prediction and Network Reconstruction
Fracture distribution and evolution were predicted using an integrated approach combining geomechanical modeling, discrete fracture network (DFN) techniques, and failure criteria analysis. The Mohr-Coulomb and Griffith failure criteria were optimized to account for shale-specific stress–strain behaviors [27,28]. A stress-based fracture propagation model was developed to predict fracture initiation, propagation, and connectivity. Seismic interpretation and borehole image logs provided large-scale and small-scale fracture constraints, respectively. DFN models were constructed using statistical distributions derived from wellbore and outcrop data. Fracture connectivity and percolation thresholds were analyzed using graph theory to evaluate hydraulic effectiveness.
Using these predicted zones, Discrete Fracture Network (DFN) models were constructed by integrating the following: large-scale fracture constraints from 3D seismic interpretation (faults, fracture corridors); small-scale fracture attributes (density, orientation, aperture) derived from borehole image logs (FMI, UBI) and core observations; statistical distributions of fracture parameters using orientation-frequency analysis and length-aperture scaling relationships from well and outcrop data; fracture propagation and connectivity were assessed using a stress-based propagation algorithm, linking elements meeting the rupture criteria and considering stress shadow effects; and fracture connectivity and percolation thresholds were evaluated using graph theory metrics, including cluster size distributions and percolation probabilities, to quantify effective fracture networks relevant for fluid flow and shale gas production.
3.4. Fracture Activity Evaluation
The reactivation potential of fractures was systematically assessed to determine their mechanical behavior under present-day stress conditions and their implications for fluid migration and production performance. A multi-parameter approach was implemented to quantify the mechanical response of fractures across different tectonic phases, integrating slip tendency, dilation tendency, and fracture stability analysis. Slip tendency was calculated as the ratio of shear stress to normal stress acting on fracture planes. This parameter was used to evaluate the likelihood of shear reactivation, which plays a crucial role in enhancing permeability through secondary fracture propagation and shear-induced dilation. Higher slip tendencies indicated fractures prone to reactivation, particularly along faulted and highly stressed regions. The mechanical stability of fractures was evaluated based on Mohr-Coulomb failure criteria and fracture orientation relative to the in situ stress field [13]. Fractures in proximity to the critical stress state were classified as mechanically unstable and more likely to reactivate, influencing reservoir connectivity and production performance. This comprehensive evaluation allowed temporal and spatial mapping of active fracture networks within the structurally complex Longmaxi Formation, providing critical predictive insights for optimizing well placement, landing zones, and hydraulic stimulation strategies to enhance shale gas recovery.
4. Results
4.1. Developmental Characteristics of Multi-Period Faults
To elucidate the structural deformation framework and its implications for fracture development in the Longmaxi Formation shale reservoir of the northern Luzhou region, a detailed seismic interpretation was carried out. The analysis identified three primary regional detachment layers: the Middle Cambrian gypsum rock, the Upper Ordovician–Lower Silurian shale (including the Longmaxi Formation), and the Permian shale with interbedded coal seams. In addition, three secondary detachment layers were distinguished, including the Upper Permian mudstone-shale sequences, the mudstone and shale within the Feixianguan and Jialingjiang formations of the Lower Triassic, and thin coal seams within the Upper Triassic Xujiahe Formation. Integrating seismic interpretation with structural analysis suggests that the southeastern Sichuan Basin has undergone multiple phases of superimposed compressional deformation, which correspond to the Indosinian, Yanshanian, and Himalayan tectonic episodes. These phases generated a complex fracture system within the Longmaxi shale reservoir, with each tectonic episode contributing distinct fracture patterns. The multi-period fault interpretation was generated through seismic interpretation combined with regional structural analysis and stratigraphic constraints. The resulting fracture networks exhibit phase-dependent spatial organization, culminating in NE–SW-trending banded architectures shaped by repeated fold–fault interactions under multi-directional stress fields (Figure 2). During the Indosinian period, NEE-SWW striking faults were interpreted to be formed by the NW-SE directional compressional stress. The NE-SW- and NNE-SSW-striking faults were determined to be generated by the NWW-SEE directional compressional stress during the Yanshanian period. Similarly, the NW-SE- and NNW-SSE-striking faults were formed by the nearly EW directional compressional stress during the Himalayan orogeny. These findings provide essential structural constraints for the geomechanical modeling of multi-scale fracture networks and their activity evaluation in deep shale reservoirs.
Figure 2.
Distributional characteristics of multi-period faults.
4.2. Distribution Characteristics of Rock Mechanical Parameters
To support geomechanical modeling and fracture prediction in the Longmaxi Formation shale reservoir of the northern Luzhou region, representative rock mechanical parameters were derived through a combination of laboratory testing and well log-based inversion. These parameters pertain to the third layer of the first sub-member of the Longmaxi Formation, which serves as the primary gas-bearing interval. The static Poisson’s ratio was found to range between 0.199 and 0.278, with an average of 0.221, indicating relatively high ductility. Tensile strength values, calculated from uniaxial tensile tests, varied from 8.02 MPa to 22.41 MPa, with a mean of 13.55 MPa, suggesting a moderate to strong resistance to tensile fracturing. The magnitude of maximum horizontal principal stress (HPS) was predominantly distributed between 98.22 MPa and 109.61 MPa (mean: 103.73 MPa), while the minimum HPS ranged from 88.72 MPa to 100.54 MPa (mean: 94.50 MPa). These parameters provide critical constraints for the forward modeling of present-day stress fields. Dynamic mechanical properties derived from logging data also supported the analysis. The dynamic shear modulus ranged from 13.04 to 15.52 GPa (mean: 14.05 GPa), and the dynamic Young’s modulus ranged from 31.51 to 39.65 GPa. In comparison, the static Young’s modulus, measured from laboratory tests, fell within 24.37 to 30.67 GPa. As dynamic moduli often overestimate formation stiffness, the static Young’s modulus was selected as the optimal input for stress modeling and fracture prediction. These calibrated mechanical parameters were subsequently integrated into the construction of multi-phase geomechanical models. They provide essential inputs for finite element numerical simulations aimed at reconstructing the stress evolution and fracture development during different deformation stages, laying the foundation for high-resolution multi-scale fracture network modeling.
4.3. Construction of Paleo and Current Geomechanical Models
To reconstruct the evolution of tectonic stress fields and assess the associated fracture development across key deformation stages, a multi-phase geomechanical modeling strategy was implemented for the Longmaxi Formation shale reservoir in the northern Luzhou region. The approach involved constructing both paleo- and present-day geomechanical models, providing the basis for phase-specific fracture simulation. Based on the structural interpretation of the Wufeng–Longmaxi Formation (Figure 3), the spatial distribution of faults, folds, and stratigraphic relief was extracted using digitization software (GetData 2.26). These structural elements were incorporated into a finite element numerical simulation (FENS) framework by building surface meshes from triangulated faces and subsequently generating a volumetric model constrained by stratigraphic boundaries and fault geometries. Mechanical parameters for faults and formations during each tectonic phase were assigned based on laboratory testing and literature-derived equivalents.
Figure 3.
Construction of geomechanical models in different tectonic periods.
Given the lack of direct measurements for paleo-mechanical parameters, the “equivalent paleo-stress modeling” method [15] was adopted to simulate historical tectonic conditions. Stress boundary conditions and displacement constraints were applied according to the deformation characteristics of each tectonic stage: (1) Indosinian Phase: A compressive stress of 220 MPa was applied along the NW–SE boundary and 50 MPa along the NE–SW boundary, with a dextral strike-slip component of 50 MPa. A total of 60 faults were activated in this stage. (2) Yanshanian Phase: A higher compressive stress of 270 MPa was imposed along the NWW–SEE boundary and 50 MPa along the NNE–SSW direction, maintaining a 50 MPa strike-slip component. An additional 50 faults were introduced during this phase, resulting in 110 active faults in total. (3) Himalayan Phase: Peak compressive stress of 350 MPa was loaded along the EW direction and 50 MPa along the NS direction. All previously formed faults (totaling 150) were incorporated into the model to reflect cumulative structural complexity. Present-Day Stress Field: A reduced boundary stress of 150 MPa (EW) and 40 MPa (NS) was applied to simulate current in situ conditions. Gravitational loading and Z-direction base constraints were applied consistently across all models to ensure stability and comparability. Through iterative finite element simulation under these defined boundary and material conditions, the evolution of paleo- and current stress fields was successfully reconstructed. These stress models provide a quantitative foundation for evaluating fracture reactivation potential and guiding multi-scale fracture network prediction under complex structural regimes.
5. Discussion
Based on geomechanical modeling and finite element simulations, the evolution of the tectonic stress field during four major deformation phases was quantitatively characterized in the Longmaxi Formation. Each phase exhibited distinct stress distribution patterns and deformation responses, closely related to fold-fault architecture and tectonic reactivation.
During the Indosinian phase (Figure 4), vertical principal stress (16.1–53.8 MPa) was concentrated along structural highs, while horizontal stresses (σHmax: 10.3–16.7 MPa; σHmin: 10.9–14.1 MPa) were elevated near fold cores and inherited fault zones. High shear stress and localized strain near fault boundaries reflect strong structural control, with NE–SW and NW–SE strain orientations aligning with regional fabrics, promoting the development of NE–SW-oriented compression-torsion fractures. In the Yanshanian phase (Figure 5), stress magnitudes increased significantly, particularly in reactivated NE–SW trending zones. Banded horizontal stress belts emerged along major faults, with XY shear stress (−3.20 to −0.11 MPa) indicating dextral displacement across central fault systems. Strain was concentrated at fault intersections, enhancing fracture propagation.
Figure 4.
Distributional characteristics of the stress field during the Indosinian tectonic periods (Where green arrow mean North arrows).
Figure 5.
Distributional characteristics of the stress field during the Yanshanian tectonic periods (Where green arrow mean North arrows).
The Himalayan phase (Figure 6) exhibited a transition to near E–W compression and regional uplift, with vertical stress peaking at ~64 MPa in uplifted zones. Horizontal stress contrasts across fault boundaries and significant localized shear strain (−8.36 to 48.7 MPa) were observed near fold hinges and inherited NE–SW and N–S fault junctions, where secondary fractures developed under stress refraction. The present-day stress field (Figure 7) shows a relatively stable regime, largely inherited from earlier tectonic episodes. Vertical stress ranges from 1.86 to 142 MPa, with elevated stress intensity (11.4–135 MPa) near synclinal cores and active faults. Horizontal stress gradients persist across NE–SW fault belts, with planar shear stress (−6.93 to 14.7 MPa) indicating minor right-lateral displacement. Low-magnitude tensile and shear strain suggests limited ongoing fracture reactivation.
Figure 6.
Distributional characteristics of the stress field during the Himalayan tectonic periods (Where green arrow mean North arrows).
Figure 7.
Distributional characteristics of the stress field during the Current tectonic periods(Where green arrow mean North arrows).
Given the multi-phase deformation history, we employed a linear superposition of stress fields from the Indosinian, Yanshanian, and Himalayan phases to approximate cumulative tectonic influence. Although a simplification, this approach effectively captures the inherited stress orientations and cumulative strain localization, as supported by structural interpretations and fracture validation data. The resulting NE–SW-oriented, banded fracture zones reflect the dominant structural inheritance and stress guidance from fold-fault interactions across successive tectonic events. These findings underscore the first-order control of stress field evolution on fracture network development and support the validity of the integrated geomechanical model for predicting multi-scale fracture architecture in the structurally complex Longmaxi shale reservoir.
5.1. Quantitative Prediction of Fractures Controlled by Multi-Phase Tectonic Deformation
Based on the reconstructed paleo-stress fields and the superimposed fracture prediction model [19], the spatial distributions of tectonic fractures across different deformation phases were quantified. During the Indosinian phase (Figure 8), fracture linear density and aperture mainly ranged from 0.15 to 2.68 fractures/m and 0.105–0.489 mm, respectively. High-intensity fracturing was observed along NE–SW-trending faults and fold cores, indicating strong structural control by fault-fold interactions. In the Yanshanian phase, the predicted fracture linear density (0.24–2.68 fractures/m) and aperture (0.113–0.489 mm) increased slightly and were concentrated along reactivated faults, fold hinges, and fault intersections. The shift in maximum principal stress direction (from NW–SE to NWW–SEE) facilitated further extension of existing fracture networks. By contrast, the Himalayan phase contributed less significantly to new fracture formation, with relatively low fracture intensity and volume density. Nonetheless, some reactivation of pre-existing fractures and limited development of new ones with larger apertures were identified.
Figure 8.
The distributional characteristics of fracture linear density (/m) in different formation periods (Where green arrow mean North arrows).
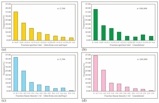
The final superimposed fracture distribution (Figure 9) revealed NE–SW-oriented banded zones with fracture linear density, aperture, and volume density predominantly ranging from 0.45 to 3.68 fractures/m, 0.135–0.689 mm, and 5.54–9.98 m2/m3, respectively. These zones align with major folds, pre-existing NE–SW faults, and structural intersections. The predicted distribution is consistent with the regional structural framework characterized by broad synclines and narrow anticlines, with fractures particularly well-developed in fold limbs. Validation using core and log data shows that simulated fracture linear density and aperture exhibit strong agreement with observed results, with prediction accuracy exceeding 80% (Figure 10). This confirms the reliability of the integrated geomechanical modeling approach for predicting multi-phase fracture networks in structurally complex shale reservoirs.
Figure 9.
The developmental characteristics of fracture linear density and aperture in the current stress field (Where green arrow mean North arrows).
Figure 10.
Comparison between the fracture parameters among core, logs, and simulation. ((a,b) show the fracture aperture of data from core and logs, and simulation; (c,d) show the fracture linear density of data from core and logs, and simulation).
5.2. Construction of a Multi-Scale, Multi-Phase Discrete Fracture Network
To accurately capture the spatial distribution and evolutionary characteristics of fractures in the Longmaxi Formation, a multi-scale, multi-phase discrete fracture network (DFN) was constructed under the guidance of geomechanical theory (Figure 11a). By integrating laboratory-derived mechanical properties (UCS, Young’s modulus, Poisson’s ratio, tensile strength) and in situ stress modeling through finite element numerical simulations (FENS), the model reflects the heterogeneous mechanical behavior of the formation across varying lithofacies. To constrain fracture effectiveness and openness, core observations and borehole image log data were systematically analyzed. Core samples were examined under white light and UV photography to identify mineral infilling, fracture surface characteristics, and fracture openness, allowing us to exclude fully mineral-sealed fractures from the hydraulically effective network. Borehole image logs (FMI and UBI) were used to extract fracture orientation, aperture, and filling characteristics, enabling the differentiation between open, partially filled, and fully sealed fractures at the borehole scale. The measured fracture dips and strikes from image logs were statistically analyzed to validate the predicted fracture orientations under different stress regimes, while fracture aperture measurements provided calibration data for aperture distributions within the DFN. This integration of core and image log analysis ensures that only mechanically and hydraulically effective fractures are incorporated into the network, avoiding overestimation of connectivity.

Figure 11.
Construction procedure of the multi-scale fracture model. (a) Multi-scale fracture modeling. (b) Multi-period fracture modeling (exemplified by 206H7).
Specifically, we employed the Mohr-Coulomb shear failure and tensile failure criteria, combined with multi-phase stress field superposition, to predict zones of fracture initiation and reactivation during the Indosinian, Yanshanian, and Himalayan deformation phases. This framework integrates fracture probability modeling, seismic attribute interpretation, and tectonic phase-based geomechanical simulations to generate a high-fidelity, scale-consistent representation of fracture systems.
Based on reconstructed paleo- and present-day stress fields, quantitative predictions of key fracture parameters—including linear density, aperture, and orientation—were conducted using optimized failure criteria and validated algorithms [22] (Figure 11b). To assess the reliability of predicted orientations, stereonet plots and orientation misfit analyses were performed, revealing strong consistency between modeled and observed fracture sets, with average misfit angles <15° in the majority of wells.
To improve spatial precision and address fracture scale variability, seismic-derived attributes—including curvature, ant tracking (ant body volumes), and fault interpretation—were integrated into the DFN model. These seismic attributes effectively constrain the geometry of medium- to large-scale fractures, particularly those formed during major tectonic phases. Small-scale fractures, below seismic resolution, were modeled using borehole image logs, core data, and geomechanical simulations, allowing a continuous representation of the multiscale fracture network.
where C is cohesion (MPa) and Pp is pore pressure (MPa), to more accurately assess mechanical stability; μ is the fracture activity index; τn and σn are the shear and normal stress of the fracture plane, MPa. Pore pressure was estimated from mud weights and formation pressure test data. This revision reduces the potential overestimation of mechanical instability in fracture reactivation analysis.
Fracture activity was further evaluated using the friction coefficient (activity index), calculated for each fracture surface from simulated shear and effective normal stresses [27,28] (Equation (1)). Spatial distribution of the activity index enabled classification into three categories: inactive (0–0.6), moderately active (0.6–0.8), and highly active (0.8–1.0) (Figure 12). In the L206H7 well area, highly active fractures are concentrated near fault intersections and fold hinges, corresponding to zones of elevated shear stress and strain localization. These results validate the capacity of our integrated geomechanical modeling approach not only to reconstruct multi-phase fracture networks but also to quantitatively predict fracture reactivation potential, aiding in reservoir connectivity assessment and fracture-based sweet spot identification.

Figure 12.
Modeling of multi-scale discrete fracture and fault-fracture activity. (a) Discrete fracture modeling. (b) Modeling of fault and fracture activity.
6. Conclusions
This study presents a comprehensive geomechanical modeling approach for reconstructing multi-scale fracture networks and evaluating their activity within the Longmaxi Formation shale reservoir in the northern Luzhou region, southeastern Sichuan Basin. Key conclusions are as follows:
(1) The Longmaxi Formation has experienced multiple tectonic deformation episodes, with three principal faulting and fracturing stages. The Indosinian (NW–SE compression), Yanshanian (NWW–SEE compression), and Himalayan (near W–E compression) periods were identified as the three dominant phases responsible for generating tectonic fractures. These phases controlled the spatial and temporal evolution of fracture systems across the basin.
(2) Finite element numerical simulations (FENS) clarified the evolution of the paleostress field during key deformation phases. The Indosinian period exhibited NE–SW-oriented banded stress fields with significant stress discontinuities across faults. During the Yanshanian period, these stress bands intensified and expanded along fault zones, enhancing tectonic reactivation and stress transmission. The Himalayan period was marked by regional uplift and overall stress attenuation from east to west, with a weaker capacity to initiate new fractures.
(3) By integrating rock failure criteria with multi-phase stress superposition, the spatial distribution of fractures was quantitatively predicted. High fracture density and aperture zones developed predominantly along the NE–SW direction during the Indosinian phase. These zones were further expanded and intensified during the Yanshanian phase. However, the Himalayan period exerted limited influence on fracture propagation. After multi-phase superposition, the resulting fracture networks were primarily distributed along NE–SW-oriented fold axes, fault zones, and their intersections, forming banded architectures aligned with structural fabrics.
(4) A discrete fracture network (DFN) was constructed by integrating geomechanical predictions with seismic attributes such as curvature, ant tracking, and fault interpretation. This enabled the modeling of fracture systems across multiple scales and tectonic phases. Small-scale fractures, difficult to resolve in seismic data, were constrained using borehole data and simulated stress fields, while larger fractures were extracted from seismic attributes. Furthermore, by calculating the friction coefficient based on the distribution of effective normal and shear stresses, the activity of fractures was quantitatively evaluated. In the L206H7 well area, fractures with friction coefficients of 0–0.6 were classified as inactive, 0.6–0.8 as moderately active, and 0.8–1.0 as highly active. Highly active fractures are concentrated along fold-fault intersections and stress concentration zones, demonstrating the utility of this modeling framework for guiding shale gas exploration and well placement.
Author Contributions
Methodology, G.F. and Q.R.; Software, G.F.; Validation, Q.Z.; Formal analysis, G.W. and Q.R.; Investigation, G.W.; Supervision, Q.Z. and C.Z. All authors have read and agreed to the published version of the manuscript.
Funding
This research was funded by China National Petroleum Corporation grant number 2024DJ87.
Institutional Review Board Statement
Not applicable.
Informed Consent Statement
Not applicable.
Data Availability Statement
The original contributions presented in the study are included in the article, further inquiries can be directed to the corresponding author.
Acknowledgments
The authors gratefully acknowledge all colleagues who contributed to field data acquisition, laboratory testing, and geomechanical analysis. We also extend our heartfelt thanks to the anonymous reviewers for their insightful and constructive feedback, which has significantly contributed to the improvement and refinement of this manuscript.
Conflicts of Interest
Author Qun Zhao was employed by the companies PetroChina Research Institute of Petroleum Exploration and Development, National Energy Shale Gas R&D (Experiment) Center and China National Petroleum Corporation. Author Caineng Zou was employed by the company PetroChina Research Institute of Petroleum Exploration and Development and National Energy Shale Gas R&D (Experiment) Center. The remaining authors declare that the research was conducted in the absence of any commercial or financial relationships that could be construed as a potential conflict of interest.
References
- Pireh, A.; Alavi, S.A.; Ghassemi, M.R.; Shaban, A. Analysis of natural fractures and effect of deformation intensity on fracture density in Garau formation for shale gas development within two anticlines of Zagros fold and thrust belt, Iran. J. Pet. Sci. Eng. 2015, 125, 162–180. [Google Scholar] [CrossRef]
- Ju, W.; Wang, J.; Fang, H.; Sun, W. Paleotectonic stress field modeling and prediction of natural fractures in the Lower Silurian Longmaxi shale reservoirs, Nanchuan region, South China. Mar. Pet. Geol. 2019, 100, 20–30. [Google Scholar] [CrossRef]
- Cheng, G.; Jiang, B.; Li, M.; Li, F.; Zhu, M. Structural evolution of southern Sichuan Basin (South China) and its control effects on tectonic fracture distribution in Longmaxi shale. J. Struct. Geol. 2021, 153, 104465. [Google Scholar] [CrossRef]
- Hill, R.J.; Zhang, E.; Katz, B.J.; Tang, Y. Modeling of gas generation from the Barnett shale, Fort Worth Basin, Texas. AAPG Bull. 2007, 91, 501–521. [Google Scholar] [CrossRef]
- Yuan, X.; Lin, S.; Liu, Q.; Yao, J.; Wang, L.; Guo, H.; Deng, X.; Cheng, D. Lacustrine fine-grained sedimentary features and organicrich shale distribution pattern: A case study of Chang 7 Member of Triassic Yanchang Formation in Ordos Basin, NW China. Pet. Explor. Dev. 2015, 42, 37–47. [Google Scholar] [CrossRef]
- Han, Y.; Horsfield, B.; Mahlstedt, N.; Wirth, R.; Curry, D.J.; LaReau, H. Factors controlling source and reservoir characteristics in the Niobrara shale oil system, Denver Basin. AAPG Bull. 2019, 103, 2045–2072. [Google Scholar] [CrossRef]
- Knapp, L.J.; Ardakani, O.H.; Uchida, S.; Nanjo, T.; Otomo, C.; Hattori, T. The influence of rigid matrix minerals on organic porosity and pore size in shale reservoirs: Upper Devonian Duvernay Formation, Alberta, Canada. Int. J. Coal Geol. 2020, 227, 103525. [Google Scholar] [CrossRef]
- Zhang, M.; Lai, J. Lamellation fractures in shale oil reservoirs: Recognition, prediction and their influence on oil enrichment. Mar. Pet. Geol. 2023, 148, 106032. [Google Scholar]
- Zeng, L.; Lyu, W.; Li, J.; Zhu, L.; Weng, J.; Yue, F.; Zu, K. Natural fractures and their influence on shale gas enrichment in Sichuan Basin, China. J. Nat. Gas Sci. Eng. 2016, 30, 1–9. [Google Scholar] [CrossRef]
- Chen, Y.; Jiang, C.; Leung, J.Y.; Wojtanowicz, A.K.; Zhang, D. Multiscale characterization of shale pore-fracture system: Geological controls on gas transport and pore size classification in shale reservoirs. J. Pet. Sci. Eng. 2021, 202, 108442. [Google Scholar] [CrossRef]
- Zhang, C.; Liu, D.-D.; Jiang, Z.-X.; Song, Y.; Luo, Q.; Wang, X. Mechanism for the formation of natural fractures and their effects on shale oil accumulation in Junggar Basin, NW China. Int. J. Coal Geol. 2022, 254, 103973. [Google Scholar] [CrossRef]
- Ge, X.; Guo, T.; Ma, Y.; Wang, G.; Li, M.; Zhao, P.; Yu, X.; Li, S.; Fan, H.; Zhao, T. Fracture development and inter-well interference for shale gas production from the Wufeng-Longmaxi Formation in a gentle syncline area of Weirong shale gas field, southern Sichuan, China. J. Pet. Sci. Eng. 2022, 212, 110207. [Google Scholar] [CrossRef]
- Liu, J.; Ding, W.; Wang, R.; Yin, S.; Yang, H.; Gu, Y. Simulation of paleotectonic stress fields and quantitative prediction of multi-period fractures in shale reservoirs: A case study of the Niutitang Formation in the Lower Cambrian in the Cen’gong block, South China. Mar. Pet. Geol. 2017, 84, 289–310. [Google Scholar] [CrossRef]
- Hussain, M.; Ahmed, N. Reservoir geomechanics parameters estimation using well logs and seismic reflection data: Insight from Sinjhoro Field, Lower Indus Basin, Pakistan. Arab. J. Sci. Eng. 2018, 43, 3699–3715. [Google Scholar] [CrossRef]
- Ren, Q.; Jin, Q.; Feng, J.; Li, M. Simulation of stress fields and quantitative prediction of fractures distribution in upper Ordovician biological limestone formation within Hetianhe field, Tarim Basin, NW China. J. Pet. Sci. Eng. 2019, 173, 1236–1253. [Google Scholar] [CrossRef]
- Arif, M.; Mahmoud, M.; Zhang, Y.; Iglauer, S. X-ray tomography imaging of shale microstructures: A review in the context of multiscale correlative imaging. Int. J. Coal Geol. 2021, 233, 103641. [Google Scholar] [CrossRef]
- Guo, P.; Ren, D.; Xue, Y. Simulation of multi-period tectonic stress fields and distribution prediction of tectonic fractures in tight gas reservoirs: A case study of the Tianhuan Depression in western Ordos Basin, China. Mar. Pet. Geol. 2019, 109, 530–546. [Google Scholar] [CrossRef]
- Li, H.; Lin, C.; Ren, L. Tectonic fracture prediction based on the coupling constraint of lithofacies and fault damage zone: A case study of the 2nd sand group of middle Es 3 member in Daluhu Oilfield, Boxing Subsag. J. China Univ. Min. Technol. 2020, 49, 305–317. [Google Scholar] [CrossRef]
- Ren, Q.; Jin, Q.; Feng, J.; Li, Z.; Du, H. Geomechanical models for the quantitatively prediction of multi-scale fracture distribution in carbonate reservoirs. J. Struct. Geol. 2020, 135, 104033. [Google Scholar] [CrossRef]
- He, D.; Li, D.; Zhang, G.; Zhao, L.; Fan, C.; Lu, R.; Wen, Z. Formation and evolution of multi-cycle superposed Sichuan Basin, China. Chin. J. Geol. 2011, 46, 589–606. [Google Scholar]
- Zhang, X.; Wang, R.; Shi, W.; Hu, Q.; Xu, X.; Shu, Z.; Yang, Y.; Feng, Q. Structure-and lithofacies-controlled natural fracture developments in shale: Implications for shale gas accumulation in the Wufeng-Longmaxi Formations, Fuling Field, Sichuan Basin, China. Geoenergy Sci. Eng. 2023, 223, 211572. [Google Scholar] [CrossRef]
- Jia, D.; Wei, G.; Chen, Z.; Li, B.; Zeng, Q.; Yang, G. Longmen Shan fold-thrust belt and its relation to western Sichuan Basin in central China: New insights from hydrocarbon exploration. Am. Assoc. Pet. Geol. 2006, 90, 1425–1447. [Google Scholar] [CrossRef]
- Shu, H.; He, F.; Li, J.; Zhang, J.; Li, M.; Rui, Y.; Zou, C.; Yao, Q.; Mei, Y.; Li, Y. Geological characteristics and favorable exploration areas of Wufeng Formation-Longmaxi Formation deep shale in the Da’an Block, Sichuan Basin. Nat. Gas Ind. 2023, 43, 30–43. [Google Scholar]
- Huang, H.; Mei, Q.; He, D.; Lu, R.; Li, Y. Multi-Level Detachment Deformation of the West Segment of the South Dabashan Fold-and-Thrust Belt, South China: Insights from Seismic-Reflection Profiling. Front. Earth Sci. 2021, 9, 633816. [Google Scholar] [CrossRef]
- Fan, C.; He, S.; Zhang, Y.; Qin, Q.; Zhong, C. Development phases and mechanisms of tectonic fractures in the Longmaxi Formation shale of the Dingshan area in southeast Sichuan Basin, China. Acta Geol. Sin.-Engl. Ed. 2018, 92, 2351–2366. [Google Scholar] [CrossRef]
- Feng, J.; Zhao, L.; Wang, Y. Controlling factors for productivity of ultra-deep tight reservoirs in Keshen gas field, Kuqa depression. Acta Pet. Sin. 2020, 41, 478. [Google Scholar] [CrossRef]
- Griffith, A.A. The phenomena of rupture and flow in solids. Philos. Trans. R. Soc. A 1921, 221, 163–198. [Google Scholar] [CrossRef]
- Zoback, M.D.; Kohli, A.H. Unconventional Reservoir Geomechanics; Cambridge University Press: Cambridge, UK, 2019. [Google Scholar] [CrossRef]
Disclaimer/Publisher’s Note: The statements, opinions and data contained in all publications are solely those of the individual author(s) and contributor(s) and not of MDPI and/or the editor(s). MDPI and/or the editor(s) disclaim responsibility for any injury to people or property resulting from any ideas, methods, instructions or products referred to in the content. |
© 2025 by the authors. Licensee MDPI, Basel, Switzerland. This article is an open access article distributed under the terms and conditions of the Creative Commons Attribution (CC BY) license (https://creativecommons.org/licenses/by/4.0/).