An Energy-Stable S-SAV Finite Element Method for the Generalized Poisson-Nernst-Planck Equation
Abstract
1. Introduction
- We construct both first-order (BE-S-SAV) and second-order (BDF2-S-SAV) time-accurate schemes. Crucially, both schemes are completely linear, despite the strong nonlinearity induced by the logarithmic entropy and electrostatic coupling in the generalized PNP system.
- By adopting a linear decomposition strategy, the fully coupled system is decoupled into a sequence of linear elliptic equations at each time step. This avoids expensive nonlinear iterations and significantly improves computational efficiency, leading to a practical solver that can reuse standard elliptic subproblem routines.
- We provide rigorous theoretical analysis proving that both schemes are unconditionally energy stable with respect to a modified discrete energy and strictly conserve mass.
2. Preliminaries
2.1. The Generalized PNP Model and Its Properties
2.2. Variational Formulation
3. First-Order BE-S-SAV Scheme
3.1. First-Order Semi-Discrete Scheme
3.2. First-Order Fully Discrete Scheme and Implementation
- Step One: find . Given , find and such that:
- Step Two: find . Given , find and such that:
- Step Three: solve . By substituting into the discrete SAV update Equation (29), we can obtain:Move to the left with term,whereThe inequality is the key of the establishment of . By taking in (30) and in (31) (similarly for n), we deduce:The same estimate holds for the n component. Thus , so we easily get .
- Step Four: calculate and .
4. Second-Order BDF2-S-SAV Scheme
4.1. Second-Order Semi Discrete Scheme
4.2. Second-Order Fully Discrete Scheme and Implementation
- Step 1: Solve for the components. The BDF2 terms for the previous time steps are moved to the right-hand side.
- Find such that :
- Find such that :
- Find such that :
- Step 2: Solve for the coefficients of .
- Find such that :
- Find such that :
- Find such that :
- Step 3: Solve for . By substituting into the discrete SAV update equation, and multiplying by , we obtain the linear algebraic equation for :where the coefficients and are defined as:Then we solve for .
- Step 4: Reconstruct. Reconstruct the final solutions using the computed :
| Algorithm 1 Fully Discrete Linear BDF2-S-SAV Scheme |
| Require: Initial conditions and first step . Require: Time step , stabilization parameters , and tolerance .
|
5. Numerical Results
5.1. Accuracy Tests
5.1.1. Temporal Convergence Test
5.1.2. Spatial Convergence Test
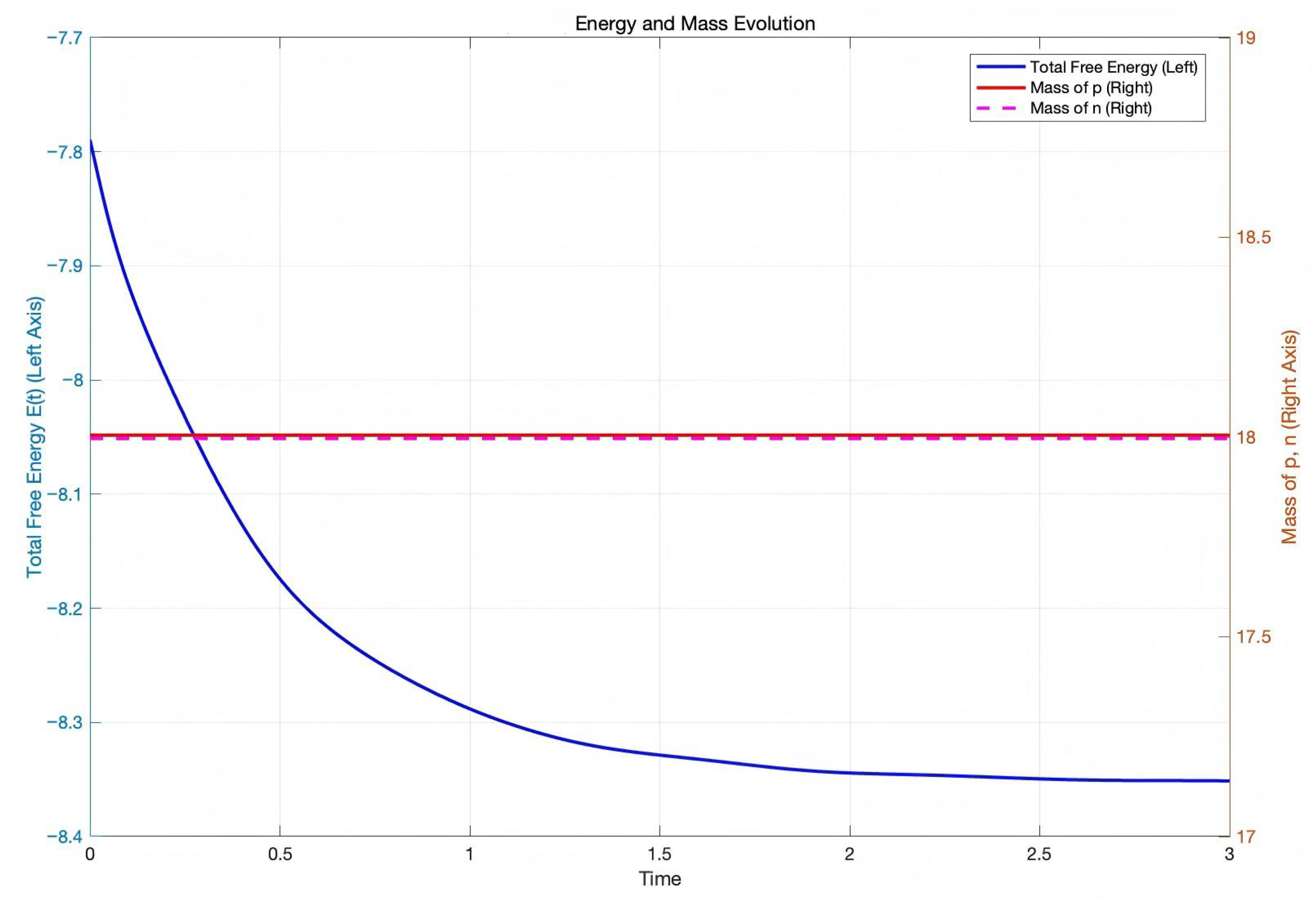
5.2. Physical Properties Verification
5.2.1. Problem Setup
5.2.2. Results for the BE-S-SAV Scheme
5.2.3. Comparison with the BDF2-S-SAV Scheme
6. Conclusions
Author Contributions
Funding
Institutional Review Board Statement
Informed Consent Statement
Data Availability Statement
Conflicts of Interest
References
- Brumleve, T.R.; Buck, R.P. Numerical solution of the Nernst–Planck and Poisson equation system with applications to membrane electrochemistry and solid state physics. J. Electroanal. Chem. Interfacial Electrochem. 1978, 90, 1–31. [Google Scholar] [CrossRef]
- Horng, T.L.; Lin, T.C.; Liu, C.; Eisenberg, B. PNP equations with steric effects: A model of ion flow through channels. J. Phys. Chem. B 2012, 116, 11422–11441. [Google Scholar] [CrossRef]
- Gajewski, H.; Gröger, K. On the basic equations for carrier transport in semiconductors. J. Math. Anal. Appl. 1986, 113, 12–35. [Google Scholar] [CrossRef]
- Lu, B.; Holst, M.J.; McCammon, J.A.; Zhou, Y. Poisson–Nernst–Planck equations for simulating biomolecular diffusion–reaction processes I: Finite element solutions. J. Comput. Phys. 2010, 229, 6979–6994. [Google Scholar] [CrossRef] [PubMed]
- Li, J.; Ying, J. A stabilized finite volume element method for solving Poisson–Nernst–Planck equations. Int. J. Numer. Methods Biomed. Eng. 2022, 38, e3543. [Google Scholar] [CrossRef] [PubMed]
- Gaudeul, B.; Fuhrmann, J. Entropy and convergence analysis for two finite volume schemes for a Nernst–Planck–Poisson system with ion volume constraints. Numer. Math. 2022, 151, 99–149. [Google Scholar] [CrossRef]
- Monteiro, H.B.N.; Tartakovsky, D.M. A meshless stochastic method for Poisson–Nernst–Planck equations. J. Chem. Phys. 2024, 161, 054106. [Google Scholar] [CrossRef]
- Liu, C.; Wang, C.; Wise, S.M.; Yue, X.; Zhou, S. A second order accurate, positivity preserving numerical method for the Poisson–Nernst–Planck system and its convergence analysis. J. Sci. Comput. 2023, 97, 23. [Google Scholar] [CrossRef]
- Prohl, A.; Schmuck, M. Convergent discretizations for the Nernst–Planck–Poisson system. Numer. Math. 2009, 111, 591–630. [Google Scholar] [CrossRef]
- Liu, H.; Wang, Z. A free energy satisfying finite difference method for Poisson–Nernst–Planck equations. J. Comput. Phys. 2014, 268, 363–376. [Google Scholar] [CrossRef]
- Flavell, A.; Machen, M.; Eisenberg, B.; Kabre, J.; Liu, C.; Li, X. A conservative finite difference scheme for Poisson–Nernst–Planck equations. J. Comput. Electron. 2014, 13, 235–249. [Google Scholar] [CrossRef]
- Shen, J.; Xu, J. Unconditionally positivity preserving and energy dissipative schemes for Poisson–Nernst–Planck equations. Numer. Math. 2021, 148, 671–697. [Google Scholar] [CrossRef]
- Zheng, Q.; Chen, D.; Wei, G. Second-order Poisson Nernst-Planck solver for ion channel transport. J. Comput. Phys. 2011, 230, 5239–5262. [Google Scholar] [CrossRef]
- Tong, F.; Cai, Y. Positivity preserving and mass conservative projection method for the Poisson–Nernst–Planck equation. SIAM J. Numer. Anal. 2024, 62, 2004–2024. [Google Scholar] [CrossRef]
- Liu, H.; Wang, Z.; Yin, P.; Yu, H. Positivity-preserving third order DG schemes for Poisson–Nernst–Planck equations. J. Comput. Phys. 2022, 452, 110777. [Google Scholar] [CrossRef]
- Ding, J.; Wang, Z.; Zhou, S. Positivity preserving finite difference methods for Poisson–Nernst–Planck equations with steric interactions: Application to slit-shaped nanopore conductance. J. Comput. Phys. 2019, 397, 108864. [Google Scholar] [CrossRef]
- Morales, D.; Xu, Z. Positivity-Preserving Hybridizable Discontinuous Galerkin Scheme for Solving PNP Model. Entropy 2025, 27, 1175. [Google Scholar] [CrossRef]
- Ding, J.; Wang, C.; Zhou, S. Convergence analysis of structure-preserving numerical methods based on Slotboom transformation for the Poisson–Nernst–Planck equations. Commun. Math. Sci. 2023, 21, 459–484. [Google Scholar] [CrossRef]
- Li, J.; Li, J. Positive-preserving, mass conservative linear schemes for the Poisson–Nernst–Planck equations. arXiv 2025, arXiv:2506.13054. [Google Scholar] [CrossRef]
- Ji, G.; Zhu, W. A weak Galerkin finite element method for time-dependent Poisson–Nernst–Planck equations. J. Comput. Appl. Math. 2022, 416, 114563. [Google Scholar] [CrossRef]
- Qiao, T.; Qiao, Z.; Sun, S.; Zhou, S. An unconditionally energy stable linear scheme for Poisson–Nernst–Planck equations. J. Comput. Appl. Math. 2024, 443, 115759. [Google Scholar] [CrossRef]
- He, D.; Pan, K. An energy preserving finite difference scheme for the Poisson–Nernst–Planck system. Appl. Math. Comput. 2016, 287, 214–223. [Google Scholar] [CrossRef]
- Li, M.; Shi, D.; Li, Z. Convergence and superconvergence analysis for a mass conservative, energy stable and linearized BDF2 scheme of the Poisson–Nernst–Planck equations. Commun. Nonlinear Sci. Numer. Simul. 2025, 140, 108351. [Google Scholar] [CrossRef]
- Shen, J.; Xu, J.; Yang, J. The scalar auxiliary variable (SAV) approach for gradient flows. J. Comput. Phys. 2018, 353, 407–416. [Google Scholar] [CrossRef]
- Shen, J.; Xu, J.; Yang, J. A new class of efficient and robust energy stable schemes for gradient flows. SIAM Rev. 2019, 61, 474–506. [Google Scholar] [CrossRef]
- Li, X.; Shen, J.; Rui, H. Energy stability and convergence of SAV block-centered finite difference method for gradient flows. Math. Comput. 2019, 88, 2047–2068. [Google Scholar] [CrossRef]
- Huang, F.; Shen, J. Bound/positivity preserving and energy stable scalar auxiliary variable schemes for dissipative systems: Applications to Keller–Segel and Poisson–Nernst–Planck equations. SIAM J. Sci. Comput. 2021, 43, A1832–A1857. [Google Scholar] [CrossRef]
- Cheng, Q.; Liu, C.; Shen, J. A new Lagrange multiplier approach for gradient flows. Comput. Methods Appl. Mech. Eng. 2020, 367, 113070. [Google Scholar] [CrossRef]
- Cheng, Q.; Shen, J. Global constraints preserving scalar auxiliary variable schemes for gradient flows. SIAM J. Sci. Comput. 2020, 42, A2489–A2513. [Google Scholar] [CrossRef]
- Wang, M.; Huang, Q.; Wang, C. A second order accurate scalar auxiliary variable (SAV) numerical method for the square phase field crystal equation. J. Sci. Comput. 2021, 88, 33. [Google Scholar] [CrossRef]
- Cheng, Q. Error estimate of a second order accurate scalar auxiliary variable (SAV) scheme for the thin film epitaxial equation. Adv. Appl. Math. Mech. 2021, 13, 199–226. [Google Scholar] [CrossRef]
- Li, X.; Gong, Y.; Zhang, L. Linear high-order energy-preserving schemes for the nonlinear Schrödinger equation with wave operator using the scalar auxiliary variable approach. J. Sci. Comput. 2021, 88, 20. [Google Scholar] [CrossRef]
- Qiao, Z.; Sun, S.; Zhang, T.; Zhang, Y. A new multi-component diffuse interface model with Peng-Robinson equation of state and its scalar auxiliary variable (SAV) approach. Commun. Comput. Phys. 2019, 26, 1597–1616. [Google Scholar] [CrossRef]
- Liu, Z.; Li, X. The exponential scalar auxiliary variable (E-SAV) approach for phase field models and its explicit computing. SIAM J. Sci. Comput. 2020, 42, B630–B655. [Google Scholar] [CrossRef]
- Cheng, Q.; Shen, J. Multiple scalar auxiliary variable (MSAV) approach and its application to the phase-field vesicle membrane model. SIAM J. Sci. Comput. 2018, 40, A3982–A4006. [Google Scholar] [CrossRef]
- Yang, J.; Kim, J. A variant of stabilized-scalar auxiliary variable (S-SAV) approach for a modified phase-field surfactant model. Comput. Phys. Commun. 2021, 261, 107825. [Google Scholar] [CrossRef]
- Zhao, Y.; Li, Y.; Zhu, J.; Cao, Y. Energy-Conserving Explicit Relaxed Runge–Kutta Methods for the Fractional Nonlinear Schrödinger Equation Based on Scalar Auxiliary Variable Approach. Axioms 2024, 13, 591. [Google Scholar] [CrossRef]
- Wang, X.; Liu, Z. Highly efficient and accurate numerical schemes for the anisotropic phase field crystal models by using the improved scalar auxiliary variable (iSAV) approach. Commun. Nonlinear Sci. Numer. Simul. 2025, 148, 108875. [Google Scholar] [CrossRef]
- Fu, G.; Xu, Z. High-order space–time finite element methods for the Poisson–Nernst–Planck equations: Positivity and unconditional energy stability. Comput. Methods Appl. Mech. Eng. 2022, 395, 115031. [Google Scholar] [CrossRef]
- Malinowska, A.B.; Torres, D.F. Introduction to the Fractional Calculus of Variations; Imperial College Press: London, UK, 2012. [Google Scholar]
- Baleanu, D.; Diethelm, K.; Scalas, E.; Trujillo, J.J. Fractional Calculus: Models and Numerical Methods; World Scientific: Singapore, 2012; Volume 3. [Google Scholar]
- Liu, J.; Liu, W. Studies on Poisson–Nernst–Planck Systems with Large Permanent Charges Under Relaxed Neutral Boundary Conditions. Mathematics 2025, 13, 2847. [Google Scholar] [CrossRef]



| Error (p) | Order | Error (n) | Order | Error () | Order | |
|---|---|---|---|---|---|---|
| – | – | – | ||||
| 0.84 | 0.84 | 0.84 | ||||
| 0.95 | 0.95 | 0.95 | ||||
| 0.99 | 0.99 | 0.99 |
| Error (p) | Order | Error (n) | Order | Error () | Order | |
|---|---|---|---|---|---|---|
| – | – | – | ||||
| 1.99 | 1.99 | 1.99 | ||||
| 1.99 | 1.99 | 1.99 | ||||
| 1.99 | 1.99 | 1.99 |
| N | h | Error (p) | Order | Error (n) | Order | Error () | Order |
|---|---|---|---|---|---|---|---|
| 8 | 1/8 | – | – | – | |||
| 16 | 1/16 | 1.97 | 1.97 | 1.69 | |||
| 32 | 1/32 | 1.99 | 1.99 | 1.73 | |||
| 64 | 1/64 | 2.00 | 2.00 | 1.77 |
| N | h | Error (p) | Order | Error (n) | Order | Error () | Order |
|---|---|---|---|---|---|---|---|
| 8 | 1/8 | – | – | – | |||
| 16 | 1/16 | 1.97 | 1.97 | 1.69 | |||
| 32 | 1/32 | 1.99 | 1.99 | 1.73 | |||
| 64 | 1/64 | 2.00 | 2.00 | 1.77 |
Disclaimer/Publisher’s Note: The statements, opinions and data contained in all publications are solely those of the individual author(s) and contributor(s) and not of MDPI and/or the editor(s). MDPI and/or the editor(s) disclaim responsibility for any injury to people or property resulting from any ideas, methods, instructions or products referred to in the content. |
© 2026 by the authors. Licensee MDPI, Basel, Switzerland. This article is an open access article distributed under the terms and conditions of the Creative Commons Attribution (CC BY) license.
Share and Cite
Yuan, M.; Liu, J.; Ma, P.; Li, M. An Energy-Stable S-SAV Finite Element Method for the Generalized Poisson-Nernst-Planck Equation. Axioms 2026, 15, 126. https://doi.org/10.3390/axioms15020126
Yuan M, Liu J, Ma P, Li M. An Energy-Stable S-SAV Finite Element Method for the Generalized Poisson-Nernst-Planck Equation. Axioms. 2026; 15(2):126. https://doi.org/10.3390/axioms15020126
Chicago/Turabian StyleYuan, Maoqin, Junde Liu, Peng Ma, and Mingyang Li. 2026. "An Energy-Stable S-SAV Finite Element Method for the Generalized Poisson-Nernst-Planck Equation" Axioms 15, no. 2: 126. https://doi.org/10.3390/axioms15020126
APA StyleYuan, M., Liu, J., Ma, P., & Li, M. (2026). An Energy-Stable S-SAV Finite Element Method for the Generalized Poisson-Nernst-Planck Equation. Axioms, 15(2), 126. https://doi.org/10.3390/axioms15020126

