Sign in to use this feature.

Years

Between: -

Subjects

remove_circle_outline
remove_circle_outline
remove_circle_outline
remove_circle_outline
remove_circle_outline
remove_circle_outline
remove_circle_outline
remove_circle_outline
remove_circle_outline

Journals

Article Types

Countries / Regions

Search Results (192)

Search Parameters:
Keywords = Phaeodactylum tricornutum

Order results
Result details
Results per page
Select all
Export citation of selected articles as:
25 pages, 4496 KB  
Article
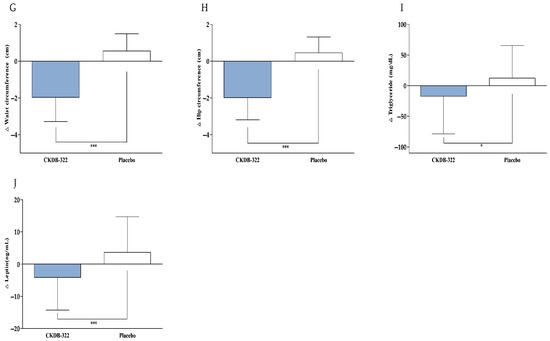
Efficacy and Safety of CKDB-322, a Combination of Lactiplantibacillus plantarum Q180 and Phaeodactylum tricornutum, for Reducing Body Fat and Abdominal Adiposity in Overweight Adults
by Hyang-Im Baek, So-Young Kwon, Hye-Ji Noh and Soo Jung Park
Nutrients 2026, 18(2), 250; https://doi.org/10.3390/nu18020250 - 13 Jan 2026
Viewed by 9
Abstract
Background: CKDB-322, a combination of Lactiplantibacillus plantarum Q180 and Phaeodactylum tricornutum, has shown anti-obesity potential in preclinical models, although human evidence is still limited. This randomized, double-blind, placebo-controlled, 12-week trial evaluated the efficacy and safety of CKDB-322 in overweight adults. Methods: Participants [...] Read more.
Background: CKDB-322, a combination of Lactiplantibacillus plantarum Q180 and Phaeodactylum tricornutum, has shown anti-obesity potential in preclinical models, although human evidence is still limited. This randomized, double-blind, placebo-controlled, 12-week trial evaluated the efficacy and safety of CKDB-322 in overweight adults. Methods: Participants were aged 19–65 years; had a body mass index (BMI) of 25–30 kg/m2, and a waist circumference of ≥90 cm for men or ≥85 cm for women. They were randomly assigned to receive either CKDB-322, which provided 1.0 × 109 CFU of L. plantarum Q180 and 200 mg of P. tricornutum daily (n = 50), or a placebo (n = 50). Results: CKDB-322 supplementation resulted in statistically significant reductions in body fat mass and body fat percentage, as measured by dual-energy X-ray absorptiometry (DEXA), compared to the placebo group (p < 0.05). Computed tomography (CT) analyses also revealed significant reductions in abdominal fat area in the CKDB-322 group (p < 0.05). Additional improvements were observed in body weight and anthropometric parameters. Among metabolic biomarkers, serum triglycerides and leptin levels decreased significantly in the CKDB-322 group compared to the placebo. Exploratory microbiome analyses indicated an increase in the relative abundance of Lactobacillus, suggesting potential modulation of the gut–adipose axis. CKDB-322 was well tolerated, with no clinically significant adverse events or laboratory abnormalities. Conclusions: Collectively, CKDB-322 demonstrated a favorable safety profile and produced statistically significant improvements in multiple adiposity-related outcomes, including reductions in body fat mass, abdominal adiposity, and key anthropometric measures, supporting its potential as a functional ingredient for body fat reduction and metabolic health. Full article
(This article belongs to the Section Clinical Nutrition)
Show Figures

Figure 1

16 pages, 1682 KB  
Article
Analysis of the Fatty Acid Desaturase Gene Family and Construction and Screening of High-EPA Transgenic Strains in Phaeodactylum tricornutum
by Wenjin He, Qingying Chen, Haoying Ye, Pingru Gao, Bina Wu, Wenchu Meng, Wenhui Zheng, Jianhua Shi and Haien Murong
J. Mar. Sci. Eng. 2025, 13(12), 2369; https://doi.org/10.3390/jmse13122369 - 13 Dec 2025
Viewed by 296
Abstract
Fatty acid desaturase (FAD) is a key enzyme that catalyzes the biosynthesis of polyunsaturated fatty acids (PUFAs) and is widely present in animals, plants and microorganisms. In this study, Phaeodactylum tricornutum was used as the material. Bioinformatics methods were employed to identify the [...] Read more.
Fatty acid desaturase (FAD) is a key enzyme that catalyzes the biosynthesis of polyunsaturated fatty acids (PUFAs) and is widely present in animals, plants and microorganisms. In this study, Phaeodactylum tricornutum was used as the material. Bioinformatics methods were employed to identify the FAD gene family within the entire genome of P. tricornutum. The genomic distribution, gene structure, conserved domains, phylogenetic relationships, and physicochemical properties of proteins were systematically analyzed. The results showed that a total of 15 FAD genes were identified in the genome of P. tricornutum, which could be classified into 4 subfamilies. These genes are unevenly distributed on the 11 chromosomes. Motif analysis predicted that motif1 and motif2 are not only highly conserved but also play a key role in the synthesis of unsaturated fatty acids. To verify the gene function, we transferred the exogenous Ptd5α gene into P. tricornutum. Through screening and verification, we successfully obtained three transgenic algal strains (5D1, 5D2, 5D3). Compared with the wild algal strain (WT), overexpression of the Ptd5α gene did not have a significant impact on the growth and development of P. tricornutum. Moreover, the total fatty acid content of the transgenic algal strain was significantly increased, and the proportion of EPA in the total fatty acids could be raised to over 30%. The results of this study lay an important foundation for in-depth analysis of the biological functions of the FAD gene family in P. tricornutum, and also provide experimental and theoretical basis for the large-scale industrial production of EPA using model microalgae. Full article
(This article belongs to the Section Marine Biology)
Show Figures

Figure 1

16 pages, 1759 KB  
Article
Installing a Ketocarotenoid Branch in Phaeodactylum tricornutum via Functional Activation of Chlamydomonas reinhardtii β-Carotene Ketolase
by Hengshen Chao, Rasool Kamal, Yan Wu, Danqiong Huang and Chaogang Wang
Mar. Drugs 2025, 23(12), 470; https://doi.org/10.3390/md23120470 - 8 Dec 2025
Viewed by 545
Abstract
Astaxanthin is a high-value ketocarotenoid antioxidant, but its industrial production from Haematococcus pluvialis is constrained by multi-stage cultivation and a rigid cell wall that hinders downstream extraction. The marine diatom Phaeodactylum tricornutum, which lacks these limitations, represents a promising alternative chassis because [...] Read more.
Astaxanthin is a high-value ketocarotenoid antioxidant, but its industrial production from Haematococcus pluvialis is constrained by multi-stage cultivation and a rigid cell wall that hinders downstream extraction. The marine diatom Phaeodactylum tricornutum, which lacks these limitations, represents a promising alternative chassis because it grows fast, lacks a recalcitrant wall, and supports efficient pigment accumulation. This study establishes a functional ketocarotenoid biosynthetic branch in P. tricornutum through rational metabolic engineering. To address challenges in protein targeting posed by the host’s complex plastid architecture, we performed heterologous expression of the Chlamydomonas reinhardtii β-carotene ketolase (CrBKT), fused at its N-terminus to bipartite transit peptides derived from two endogenous proteins. Western blotting and UPLC-MS/MS analysis confirmed that only the transit peptide fused constructs produced stable protein and functional activity, whereas the native CrBKT failed. The rationally engineered strain successfully accumulated ~45 µg/g DCW of canthaxanthin and ~15 µg/g DCW of astaxanthin. Metabolomic profiling revealed a 50% reduction in fucoxanthin, indicating a substantial redirection of metabolic flux from the native pathway toward the engineered ketocarotenoid branch. This work establishes P. tricornutum as a viable platform for ketocarotenoid production and highlights the critical role of evolution-aware plastid targeting in heterologous pathway reconstruction within complex algal systems. Full article
(This article belongs to the Special Issue Applications of Marine Microalgal Biotechnology)
Show Figures

Figure 1

17 pages, 829 KB  
Article
Foliar Application of Aqueous Extracts from the Algal Biomass of Laminaria digitata and Phaeodactylum tricornutum as Strategy to Mitigate Boron Toxicity in Tomato (Solanum lycopersicum L.)
by Ulises Navarro-Zapata, Valeria Navarro-Pérez, Ijaz Ahmad, Rafael Perez-Millan, Francisco García-Sánchez and Silvia Simón-Grao
Horticulturae 2025, 11(11), 1398; https://doi.org/10.3390/horticulturae11111398 - 19 Nov 2025
Viewed by 533
Abstract
Boron (B) toxicity is a relevant problem in Mediterranean regions, where irrigation water may present high concentrations of this micronutrient. In this study, the potential of aqueous extracts from the brown macroalga Laminaria digitata and the diatom Phaeodactylum tricornutum, applied alone or [...] Read more.
Boron (B) toxicity is a relevant problem in Mediterranean regions, where irrigation water may present high concentrations of this micronutrient. In this study, the potential of aqueous extracts from the brown macroalga Laminaria digitata and the diatom Phaeodactylum tricornutum, applied alone or in combination with metalloids (Se, Si) and micronutrients (Mn, Fe, Zn), was evaluated to improve the tolerance of tomato plants (Solanum lycopersicum L.) grown under excess B (15 mg L−1). The extracts were applied foliarly, and growth parameters, gas exchange, chlorophyll content, mineral composition, B accumulation, oxidative stress, and metabolic profile were analyzed. Excess B significantly reduced root development, net photosynthesis, and metabolic balance, evidencing a strong physiological impact. The application of algal extracts partially mitigated these adverse effects, mainly through improvements in photosynthesis, water use efficiency, and the accumulation of osmoprotective metabolites (proline, tryptophan, glucose). In particular, L. digitata promoted a significant increase in total biomass and greater physiological recovery compared with P. tricornutum. Conversely, formulations enriched with metalloids and micronutrients did not provide consistent additional benefits and even induced metabolic imbalances. Multivariate analysis (PCA) confirmed that relative tolerance was associated with physiological and metabolic variables rather than nutritional changes. Overall, these results highlight the potential of algal extracts, especially L. digitata, as effective biostimulants to mitigate boron toxicity in tomato. Full article
(This article belongs to the Section Plant Nutrition)
Show Figures

Graphical abstract

17 pages, 1231 KB  
Article
Functional Algal Feeds for Aquaculture: Micro- and Macroalgae Promote Gut Recovery in Gilthead Seabream
by Ibon García-Gallego, Cláudia Aragão, Rita Teodósio, Ana Teresa Gonçalves and Sofia Engrola
Fishes 2025, 10(11), 588; https://doi.org/10.3390/fishes10110588 - 15 Nov 2025
Viewed by 706
Abstract
Gut health is essential for optimal growth, immune function, and robustness in aquaculture. This study evaluated the potential of dietary supplementation with micro- and macroalgae to promote intestinal recovery following an insult. Four experimental diets were formulated for gilthead seabream (Sparus aurata [...] Read more.
Gut health is essential for optimal growth, immune function, and robustness in aquaculture. This study evaluated the potential of dietary supplementation with micro- and macroalgae to promote intestinal recovery following an insult. Four experimental diets were formulated for gilthead seabream (Sparus aurata) juveniles (176 ± 0.32 g): a control commercial-like diet (CTRL), and the same diet supplemented with either microalgae (Phaeodactylum tricornutum; PHA) or macroalgae (Gracilaria gracilis; GRA) at 2.5%, or a 5% blend of both (50:50; BLEND). To induce an intestinal insult, fish from each dietary group were assisted-fed with gelatine capsules containing soy saponins (CTRL + S, PHA, GRA, BLEND), while control fish received empty capsules (CTRL). After 72 h, CTRL and CTRL + S groups were fed the control diet, while PHA, GRA, and BLEND received their respective algae-supplemented diets. After 20 days, CTRL + S fish had significantly increased mucus cell numbers and submucosal cellular infiltration compared to CTRL fish, indicating intestinal disruption. PHA diet significantly upregulated igm, il10, and gpx. Fish fed GRA displayed a significant increase in mucosal vacuolation. BLEND diet showed synergistic effects, significantly upregulating il1b and pcna and reducing ALP activity. These results highlight the potential of combining micro- and macroalgae compounds to enhance gut recovery and immune activation. Full article
(This article belongs to the Special Issue Intestinal Health of Aquatic Organisms)
Show Figures

Figure 1

16 pages, 1486 KB  
Article
Aquatic Toxicity of Antibiotics Ciprofloxacin and Sulfamethoxazole: Significant Impact on Early Life Stages of Crustaceans, a Marine Diatom, and a Freshwater Plant
by Edoardo Pietropoli, Rebecca Zgheib, Marco Selmo, Giacomo Melotto, Rosa Maria Lopparelli, Lorena Lucatello, Marianna Pauletto and Marco De Liguoro
Toxics 2025, 13(11), 979; https://doi.org/10.3390/toxics13110979 - 14 Nov 2025
Viewed by 899
Abstract
The occurrence of antibiotic residues in the environment is of concern not only because of their contribution to the spread of bacterial resistance, but also due to their possible toxicity to non-target organisms. In this study, the aquatic environmental toxicity of ciprofloxacin (CIP) [...] Read more.
The occurrence of antibiotic residues in the environment is of concern not only because of their contribution to the spread of bacterial resistance, but also due to their possible toxicity to non-target organisms. In this study, the aquatic environmental toxicity of ciprofloxacin (CIP) and sulfamethoxazole (SMX) was assessed in the following model organisms: Daphnia magna and Artemia salina (embryonic and immobilisation test with a 10-d follow-up), Phaeodactylum tricornutum (algal growth inhibition test), and Spirodela polyrhiza (duckweed growth inhibition test). Results showed that among the two saltwater organisms, A. salina was insensitive to both antibiotics, whilst P. tricornutum responded only to SMX with an EC50 of 2.7 mg L−1. In freshwater species, D. magna embryos were more sensitive than juveniles to SMX (EC50 53.8 and 439.2 mg L−1, respectively), whereas the opposite trend was observed for CIP (EC50 95.9 and 15 mg L−1, respectively). S. polyrhiza confirmed the remarkable sensitivity of aquatic plants to fluoroquinolones, with EC50 values between 0.28 and 0.34 mg L−1 depending on the endpoint considered. Notably, this species was also more sensitive to SMX than expected, with EC50 values between 1.5 and 2.5 mg L−1, which are an order of magnitude lower than those typically obtained with Lemna spp. exposed to sulphonamides. Considering the high environmental input of these antibiotics from both human and veterinary treatments, adverse effects on aquatic plants cannot be excluded, potentially leading to ecosystem-level consequences. Full article
Show Figures

Figure 1

48 pages, 2786 KB  
Article
Production of Dictyostelium discoideum Hybrid Type Enzyme SteelyA in the Diatom Phaeodactylum tricornutum
by Nicolas Sene, Basanta Lamichhane, Sarah-Eve Gélinas, Alexandre Custeau, Natacha Merindol, Fatma Meddeb-Mouelhi and Isabel Desgagné-Penix
Appl. Sci. 2025, 15(21), 11679; https://doi.org/10.3390/app152111679 - 31 Oct 2025
Viewed by 764
Abstract
The bioproduction of high-value molecules offers a sustainable and cost-effective alternative to traditional extraction and chemical synthesis, particularly for complex metabolites like cannabinoids (CBs), which have therapeutic potential for neurodegenerative diseases. The marine diatom Phaeodactylum tricornutum presents a promising chassis for CB biosynthesis [...] Read more.
The bioproduction of high-value molecules offers a sustainable and cost-effective alternative to traditional extraction and chemical synthesis, particularly for complex metabolites like cannabinoids (CBs), which have therapeutic potential for neurodegenerative diseases. The marine diatom Phaeodactylum tricornutum presents a promising chassis for CB biosynthesis due to its high lipid content, essential building blocks to biosynthesize CBs. In this study, we explored the feasibility of producing olivetolic acid (OA), the key CB precursor, using a hybrid-type polyketide synthase, SteelyA, from Dictyostelium discoideum. Unlike the native Cannabis sativa enzymes—tetraketide synthase and olivetolic acid cyclase—which exhibit low productivity and stability in diatoms, SteelyA was expected to offer an alternative biosynthetic route. Heterologous production in P. tricornutum resulted in a C-terminal fragment of the SteelyA enzyme, suggesting partial expression or processing of the very high-molecular-weight (352 kDa) SteelyA protein over six months without affecting cellular growth. However, HPLC-MS analysis did not detect intracellular OA or its derivatives in vivo and in vitro, suggesting enzymatic inactivity or metabolic limitations. These negative findings highlight the need for further investigation into the metabolic and proteomic requirements for CB precursor biosynthesis in diatoms, guiding future optimization strategies for sustainable cannabinoid production. Full article
Show Figures

Figure 1

21 pages, 3952 KB  
Article
Creating an Improved Diatoxanthin Production Line by Knocking Out CpSRP54 in the zep3 Background in the Marine Diatom Phaeodactylum tricornutum
by Charlotte Volpe, Zdenka Bartosova, Ralph Kissen, Per Winge and Marianne Nymark
Mar. Drugs 2025, 23(11), 419; https://doi.org/10.3390/md23110419 - 29 Oct 2025
Viewed by 975
Abstract
Diatoxanthin is a photoprotective carotenoid found in a few groups of microalgae displaying in vitro anti-inflammatory and anti-cancer properties, making it a promising candidate for nutraceutical, pharmaceutical, and cosmetic applications. However, large-scale production is currently nonexistent because of two major challenges: Instability during [...] Read more.
Diatoxanthin is a photoprotective carotenoid found in a few groups of microalgae displaying in vitro anti-inflammatory and anti-cancer properties, making it a promising candidate for nutraceutical, pharmaceutical, and cosmetic applications. However, large-scale production is currently nonexistent because of two major challenges: Instability during microalgae harvesting, where diatoxanthin is rapidly converted back to its inactive precursor diadinoxanthin under non-stressful light conditions, and dependence on prolonged exposure to high-intensity light, which is costly and technically challenging during indoor high-cell-density cultivation. The first limitation was previously addressed by knocking out zeaxanthin epoxidase 3 (ZEP3) in the marine diatom Phaeodactylum tricornutum, resulting in a mutant that stabilized diatoxanthin under non-stressful light conditions. Here, we report an improved diatoxanthin production line where both of the described challenges have been overcome. This was achieved by creating P. tricornutum mutants where the phenotype of the zep3 mutant was combined with the light-sensitive phenotype of the chloroplast signal recognition particle 54 (cpsrp54) mutant. Growth rates were maintained at wild-type levels at light intensities ≤ 150 µmol photons m−2 s−1 in the zep3cpsrp54 mutants, but prolonged medium light exposure resulted in a 1.5- and 7-fold increase in diatoxanthin concentration compared with zep3 and wild-type, respectively. When returned to low light, the zep3cpsrp54 cultures retained ~80% of their accumulated diatoxanthin. The improved production lines allow for diatoxanthin accumulation without the use of high-intensity light and with limited loss of diatoxanthin when returned to non-stressful light conditions. Full article
(This article belongs to the Special Issue High-Value Algae Products, 2nd Edition)
Show Figures

Figure 1

15 pages, 3407 KB  
Article
Pigment Extracts of Tetradesmus obliquus, Phaeodactylum tricornutum and Desmodesmus armatus Exert Anti-Adipogenic Effects on Maturing 3T3-L1 Pre-Adipocytes
by Helen Carr-Ugarte, Leixuri Aguirre, María P. Portillo, Gerardo Álvarez-Rivera, Sergio Seoane, Pablo Aramendi and Itziar Eseberri
Int. J. Mol. Sci. 2025, 26(21), 10314; https://doi.org/10.3390/ijms262110314 - 23 Oct 2025
Viewed by 450
Abstract
Microalgae have attracted the interest of researchers due to their high amounts of bioactive compounds with potential anti-obesity effects. In this context, the aim of this study is to analyse the effects of pigment extracts of Tetradesmus obliquus, Phaeodactylum tricornutum and Desmodesmus [...] Read more.
Microalgae have attracted the interest of researchers due to their high amounts of bioactive compounds with potential anti-obesity effects. In this context, the aim of this study is to analyse the effects of pigment extracts of Tetradesmus obliquus, Phaeodactylum tricornutum and Desmodesmus armatus on triglyceride accumulation in 3T3-L1 pre-adipocytes. Pigments were extracted and the chlorophyll and carotenoid profiles were analysed by HPLC-DAD-APCI-QTOF-MS analysis. Next, the three extracts were tested in maturing 3T3-L1 pre-adipocytes treated during 8 days at doses of 6.25, 12.5, 25 and 50 µg/mL. Cell viability was evaluated and triglyceride content of cells was measured by a commercial kit. Furthermore, adipogenic gene expression was measured in cells treated with the highest dose of the three extracts. The characterisation showed that the predominant pigments in each extract were different among the microalgae, with fucoxanthin being the main one in Phaeodactylum tricornutum and chlorophylls, lutein and violaxanthin/neoxanthin in the other two microalgae. All the tested microalgae extracts reduced triglyceride content of pre-adipocytes, although differing in the minimum effective dose. The underlying mechanism depends on the analysed extract, but the three extracts reduced adipogenesis via Pparg inhibition. In conclusion, the pigment extracts of the three microalgae exert anti-adipogenic effects in 3T3-L1 pre-adipocytes. Full article
(This article belongs to the Section Bioactives and Nutraceuticals)
Show Figures

Figure 1

14 pages, 1567 KB  
Article
Biochemical Properties and Substrate Specificity of Two Acyl-CoA:Lysophosphatidic Acid Acyltransferases (PtATS2a and PtATS2b) from Diatom Phaeodactylum tricornutum
by Katarzyna Jasieniecka-Gazarkiewicz, Ada Połońska, Yangmin Gong and Antoni Banaś
Int. J. Mol. Sci. 2025, 26(20), 9936; https://doi.org/10.3390/ijms26209936 - 12 Oct 2025
Viewed by 556
Abstract
Microsomal fractions from yeast Δale1 cells harbouring the empty plasmid pYES2/CT and from yeast cells overexpressing PtATS2a (Phatr3_J11916) or PtATS2b (Phatr3_J43099) were used in the studies. When sn-1-18:1-LPA and [14C]16:0-CoA were used as exogenous substrates, both Pt [...] Read more.
Microsomal fractions from yeast Δale1 cells harbouring the empty plasmid pYES2/CT and from yeast cells overexpressing PtATS2a (Phatr3_J11916) or PtATS2b (Phatr3_J43099) were used in the studies. When sn-1-18:1-LPA and [14C]16:0-CoA were used as exogenous substrates, both PtATS2a and PtATS2b showed the highest activity at 23 °C in the range of temperatures tested from 10 to 60 °C. Both enzymes showed the highest activity in alkaline pH. For PtATS2a, it was pH 10 while for PtATS2b, it was pH 11. At pH 6 and pH 12, the activities of both enzymes were very low. The calcium ions at concentrations of 0.05–1 mM drastically decreased the activity of both enzymes. The magnesium ions at a concentration of 0.05 mM had a little effect on the activity of both enzymes, while higher concentrations (0.5 mM and 1 mM) significantly inhibited their activity. To study the substrate specificity, seventeen different acyl-CoAs in combinations with sn-1-[14C]18:1-LPA were used. PtATS2a showed the highest preference for 18:4-CoA n-3 while PtATS2b for 18:1-CoA. The pattern of utilisation of other acyl-CoAs tested also differed between the two enzymes. The presented studies, for the first time, characterised LPAAT type enzymes from diatoms, organisms that naturally produced very-long-chain polyunsaturated fatty acids (VLC-PUFA). Full article
(This article belongs to the Section Biochemistry)
Show Figures

Figure 1

19 pages, 1156 KB  
Review
Dictyopterenes A, B, C, and D from Marine Algae
by Igor Jerković, Anja Golemac Lipovac, Dina Balaić and Stela Jokić
Molecules 2025, 30(19), 3987; https://doi.org/10.3390/molecules30193987 - 4 Oct 2025
Viewed by 606
Abstract
The review is focused on dictyopterenes A, B, C, and D found in marine algae, covering their (a) distribution; (b) methods of isolation and identification; (c) absolute configuration; and (d) biosynthesis considerations. Dictyopterenes A and B are usually present in high amounts in [...] Read more.
The review is focused on dictyopterenes A, B, C, and D found in marine algae, covering their (a) distribution; (b) methods of isolation and identification; (c) absolute configuration; and (d) biosynthesis considerations. Dictyopterenes A and B are usually present in high amounts in Dictyopteris spp. Dictyopterene A was found to be abundant in D. prolifera, D. undulata, D. latiscula, D. polypodioides, and D. membranacea. Dictyopterene B (hormosirene) was found as the major compound in D. plagiogramma, D. australis, Hormosira banksii, D. potatorum, D. willana, D. antarctica, Xiphophora chondrophylla, X. gladiata, Scytosiphon lomentaria, Colpomenia peregrina, and Haplospora globosa. Dictyopterene C (dictyotene) was a major compound in D. undulata, D. prolifera, D. membranacea, Gomphonema parvulum, Amphora veneta, Phaeodactylum tricornutum, and D. vermicularis. Dictyopterene D (ectocarpene) was present in Ectocarpus siliculosus, Analipus japonicus, D. prolifera, D. undulata, and Sargassum linifolium. The following enantiomers were found: (1S,2R)-dictyopterene A, (1R,2R)-dictyopterene B, (1S,2S)-dictyopterene B, (1S,2R)-dictyopterene B, (R)-dictyopterene C, and (S)-dictyopterene D. In marine algae, C11-hydrocarbons are derived from C20 polyunsaturated fatty acids by the oxidative cleavage via, e.g., 9-hydroperoxyicosa-(5Z,7E,11Z,14Z,17Z)-pentaenoic acid. An alternative biosynthetic pathway for dictyopterene A and B via the proposed intermediates (S)-dictyoprolenols was considered by oxidative cleavage of hydroperoxyicosatetraenoic acid. Full article
Show Figures

Figure 1

11 pages, 808 KB  
Article
A Temperature-Controlled Fluorescence Fingerprint for Identifying Pseudo-nitzschia hasleana in Harmful Algal Blooms
by Alexander Popik, Sergey Voznesenskiy, Tatiana Dunkai, Andrei Leonov and Tatiana Orlova
Phycology 2025, 5(4), 52; https://doi.org/10.3390/phycology5040052 - 1 Oct 2025
Viewed by 548
Abstract
Harmful algal blooms (HABs) caused by toxic species such as Pseudo-nitzschia hasleana pose significant risks to marine ecosystems and human health. This study investigates the effects of heating rate on the fluorescence temperature curves (FTCs) of P. hasleana and compares them with non-toxic [...] Read more.
Harmful algal blooms (HABs) caused by toxic species such as Pseudo-nitzschia hasleana pose significant risks to marine ecosystems and human health. This study investigates the effects of heating rate on the fluorescence temperature curves (FTCs) of P. hasleana and compares them with non-toxic species (Phaeodactylum tricornutum and Picochlorum maculatum) to design a reliable detection method. An increasing heating rate leads to a change in the temperature spectrum of the fluorescence of the studied algae and to increasing differences between them. During the study, the FTCs were measured in the temperature range of 20–80 °C and at heating rates of 1, 2, 3, and 6°/min. The results showed that P. hasleana exhibited a distinct local fluorescence maximum at 45–55 °C when heated at a rate of 3 °C/min or more, which was absent in non-toxic species. Additionally, rapid heating (6 °C/min) preserved fluorescent pigment–protein complexes, yielding four-fold higher fluorescence intensity at 70–80 °C compared to slower rates. There were no such changes for the microalgae P. maculatum and P. tricornutum. The results of this study make it possible to increase the efficiency of detecting hazardous microalgae using non-invasive optical monitoring methods. These findings demonstrate that controlled heating protocols can enhance the species-specific identification of toxic microalgae, offering a practical tool for early HAB detection. Full article
(This article belongs to the Collection Harmful Microalgae)
Show Figures

Figure 1

19 pages, 2366 KB  
Article
Characterization of Cadmium Removal Processes from Seawater by the Living Biomass of Three Microalgae with Different Tolerance to This Metal
by Julio Abalde and Enrique Torres
Processes 2025, 13(9), 2804; https://doi.org/10.3390/pr13092804 - 1 Sep 2025
Viewed by 833
Abstract
Pollution of the marine environment is a current problem. One of the main pollutants is cadmium. This heavy metal is toxic for living beings. For this reason, the removal of cadmium from seawater solutions is a relevant problem. However, there are few studies [...] Read more.
Pollution of the marine environment is a current problem. One of the main pollutants is cadmium. This heavy metal is toxic for living beings. For this reason, the removal of cadmium from seawater solutions is a relevant problem. However, there are few studies on the elimination of this metal in seawater. Biosorption is a technique that uses the properties of living or dead biomass to remove pollutants from solutions in an efficient and environmentally friendly way. Microalgal biomass has shown good results in this field. In this work, the ability of the living biomass of three species of marine microalgae (Phaeodactylum tricornutum, Tetraselmis suecica and Dunaliella salina) to remove cadmium from seawater was studied. Growth, kinetics, equilibrium isotherms, cadmium adsorbed to the cell surface and intracellular cadmium were studied. The efficiency of the three species in removing cadmium was compared, showing significant differences both in kinetics and in amount of cadmium removed. After 96h P. tricornutum was able to remove 27.48 ± 1.05 milligrams of cadmium per gram of biomass, T. suecica 78.11 ± 2.08 and D. salina 10.72 ± 0.28. The percentage of cadmium removed by adsorption was higher than the intracellular, except for the lowest cadmium concentrations in P. tricornutum and T. suecica. Full article
(This article belongs to the Special Issue Microbial Bioremediation of Environmental Pollution (2nd Edition))
Show Figures

Figure 1

21 pages, 1899 KB  
Article
Synergistic Anti-Obesity Effects of Lactiplantibacillus plantarum Q180 and Phaeodactylum tricornutum (CKDB-322) in High-Fat-Diet-Induced Obese Mice
by Hye-Ji Noh, Jae-In Eom, Soo-Je Park, Chang Hun Shin, Se-Min Kim, Cheol-Ho Pan and Jae Kwon Lee
Int. J. Mol. Sci. 2025, 26(16), 7991; https://doi.org/10.3390/ijms26167991 - 19 Aug 2025
Cited by 1 | Viewed by 1145
Abstract
Obesity and associated metabolic disorders are rising globally, necessitating effective dietary strategies. CKDB-322, a formulation containing Lactiplantibacillus plantarum Q180 and Phaeodactylum tricornutum, was evaluated for anti-obesity efficacy using in vitro adipocyte differentiation and in vivo high-fat-diet (HFD)-induced obese mouse models. In 3T3-L1 [...] Read more.
Obesity and associated metabolic disorders are rising globally, necessitating effective dietary strategies. CKDB-322, a formulation containing Lactiplantibacillus plantarum Q180 and Phaeodactylum tricornutum, was evaluated for anti-obesity efficacy using in vitro adipocyte differentiation and in vivo high-fat-diet (HFD)-induced obese mouse models. In 3T3-L1 cells, CKDB-322 suppressed adipogenesis by downregulating PPARγ and C/EBPα and enhancing glycerol release. In mice, 8 weeks of oral administration—particularly at the CKDB-322-M dose—significantly reduced body weight gain, adiposity, and serum glucose, triglyceride, and cholesterol levels without affecting liver function. Gene expression analysis revealed the strong inhibition of lipogenic markers (SREBP-1c, ACC, and FAS) in addition to activation of the fatty acid oxidation (CPT-1α and PPARα) and energy metabolism (PGC-1α and AMPK) pathways, with the most pronounced effects in the CKDB-322-M group, which also exhibited the greatest reduction in leptin. These molecular effects were confirmed histologically by decreased adipocyte hypertrophy and ameliorated hepatic steatosis. Collectively, these findings demonstrate that CKDB-322 exerts lipid-modulatory effects through multiple pathways, supporting its potential as a novel functional dietary ingredient for obesity and metabolic disorder prevention. Full article
(This article belongs to the Section Bioactives and Nutraceuticals)
Show Figures

Figure 1

12 pages, 1115 KB  
Article
Widespread Presence of SPX and Its Potential Role as a Phosphorus Nutrient Regulator in Dinoflagellates
by Jiashun Li, Jingtian Wang, Xiaoyu Wang, Kaidian Zhang and Senjie Lin
Microorganisms 2025, 13(8), 1867; https://doi.org/10.3390/microorganisms13081867 - 10 Aug 2025
Viewed by 748
Abstract
SPX domain-containing proteins (SPXc) are crucial for regulating phosphorus (P) homeostasis in plants. Recently, the SPX gene was identified in the diatom model Phaeodactylum tricornutum and shown to serve as a negative regulator of P acquisition. Whether SPXc occurs in dinoflagellates is unclear. [...] Read more.
SPX domain-containing proteins (SPXc) are crucial for regulating phosphorus (P) homeostasis in plants. Recently, the SPX gene was identified in the diatom model Phaeodactylum tricornutum and shown to serve as a negative regulator of P acquisition. Whether SPXc occurs in dinoflagellates is unclear. Here, we report the presence and potential functions of genes encoding SPXc in dinoflagellates (dino-SPXc). Four classes of SPXc were identified in dinoflagellates, including the three known classes—the stand-alone SPX, SPX-EXS, and SPX-VTC—and SPX-other, with SPX and SPX-EXS being dominant. Using the TARA Oceans database, we investigated the taxonomic and geographic distributions of dino-SPXc and found variations in dino-SPXc expression among size classes of dinoflagellates. The harmful algal bloom-causative species Prorocentrum shikokuense possesses all four classes of SPXc proteins, showing a fluctuating expression pattern under different nutrient conditions and during different phases of the cell cycle and algal bloom. In addition, the SPXc genes in Symbiodiniaceae respond not only to P stress but also to thermal variations. These results are consistent with a role of dino-SPXc in maintaining P homeostasis in dinoflagellates and suggest the importance of SPX-related genes in enabling dinoflagellates to sustain population growth in nutrient-variable oceans, warranting further research. Full article
(This article belongs to the Section Environmental Microbiology)
Show Figures

Figure 1

Back to TopTop