Efficacy and Safety of CKDB-322, a Combination of Lactiplantibacillus plantarum Q180 and Phaeodactylum tricornutum, for Reducing Body Fat and Abdominal Adiposity in Overweight Adults
Abstract
1. Introduction
2. Materials and Methods
2.1. Ethics
2.2. Study Participants
2.3. Study Design
2.4. Diet and Physical Activity Counseling
2.5. Study Products and Interventions
2.6. Efficacy Outcome Measures
2.7. Microbiome and Short-Chain Fatty Acid Analysis
2.7.1. Fecal Sample Collection
2.7.2. Microbiome Analysis
2.7.3. Short-Chain Fatty Acid Analysis
2.8. Safety Outcome Measures
2.9. Statistical Analysis
3. Results
3.1. Participant Characteristics
3.2. Dietary Intake and Physical Activity
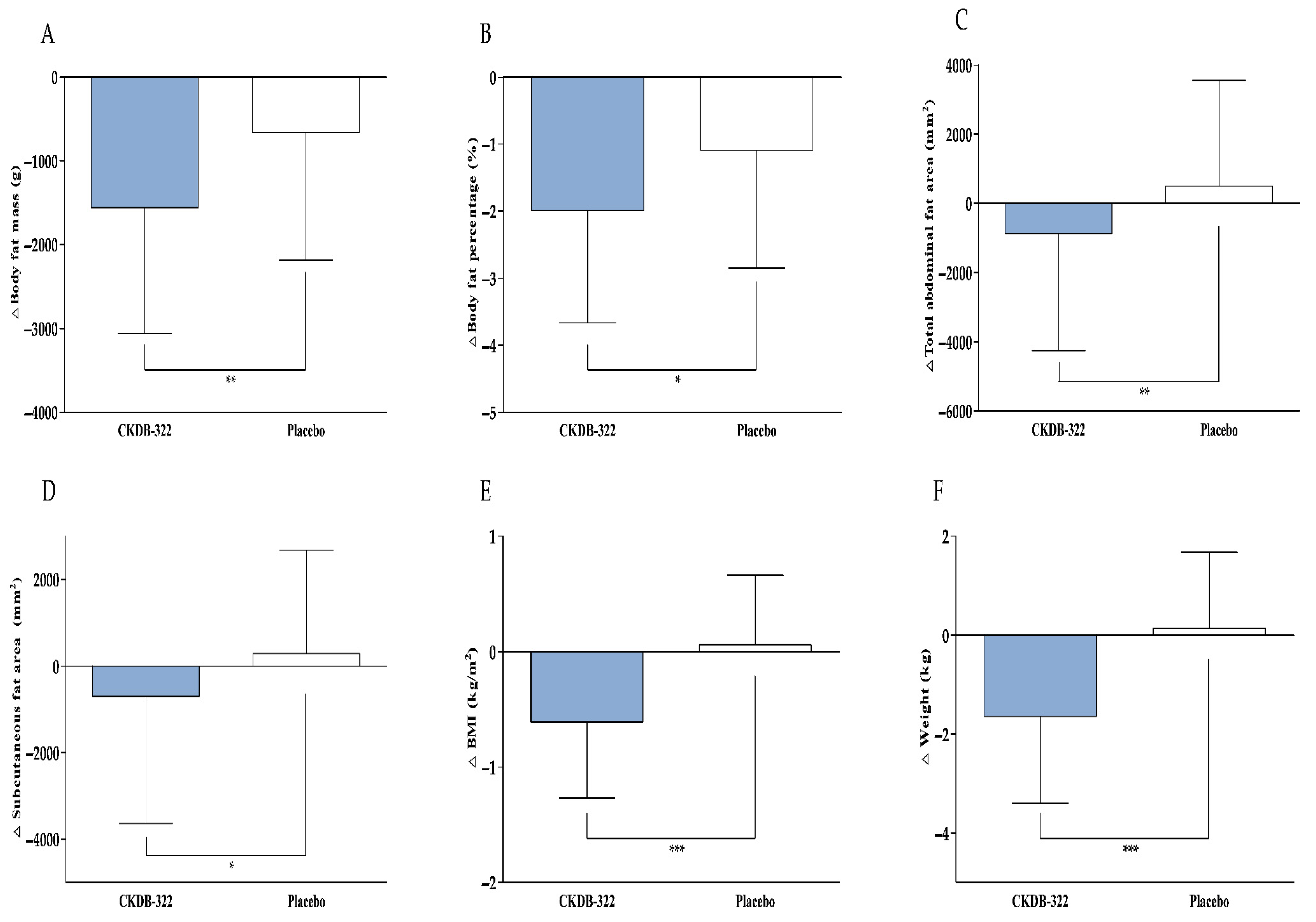
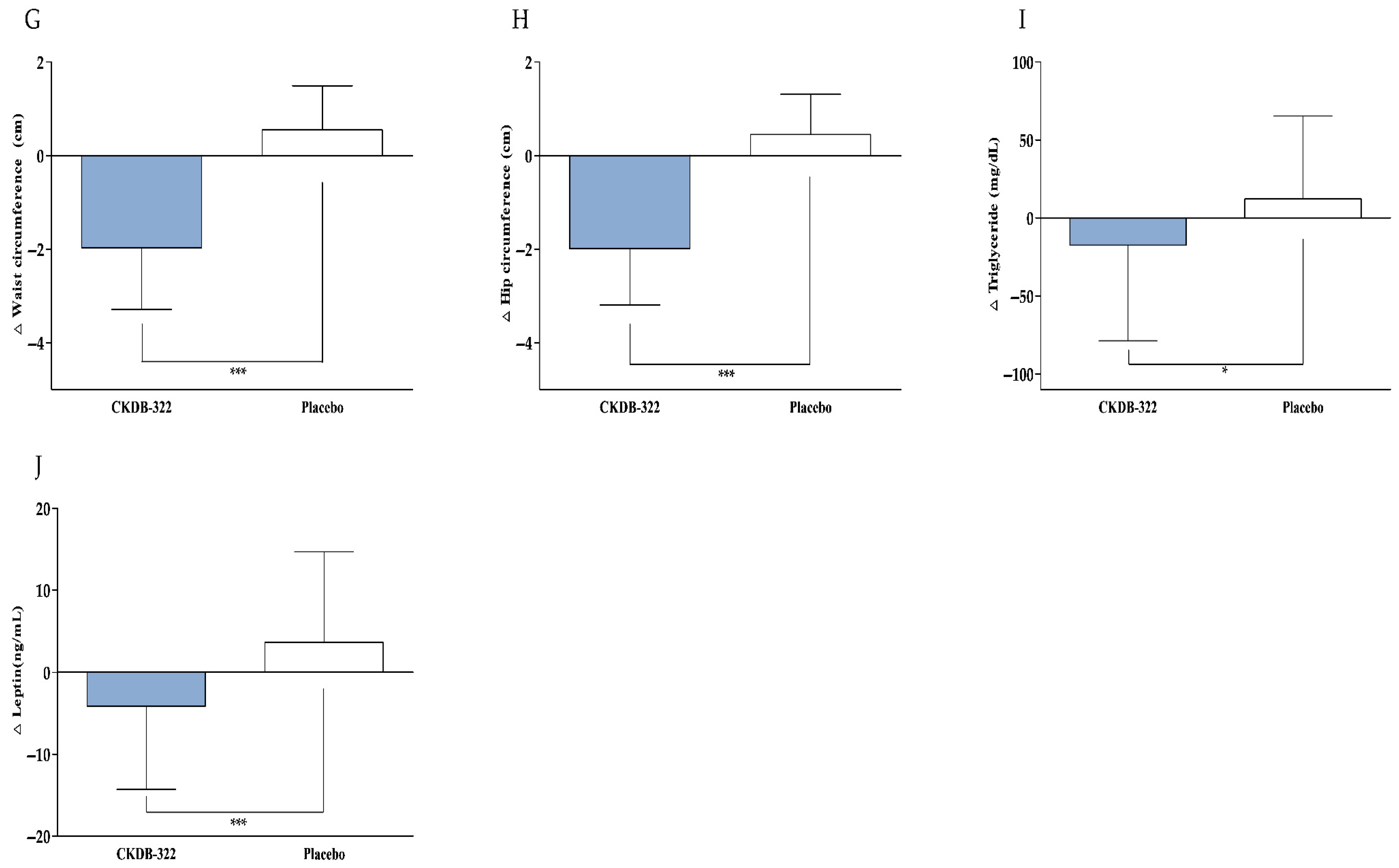
3.3. Efficacy Evaluation
3.4. Results of Microbiome and Short-Chain Fatty Acid Analysis
3.5. Safety Evaluation
4. Discussion
5. Conclusions
Supplementary Materials
Author Contributions
Funding
Institutional Review Board Statement
Informed Consent Statement
Data Availability Statement
Conflicts of Interest
References
- Camacho, S.; Ruppel, A. Is the calorie concept a real solution to the obesity epidemic? Glob. Health Action 2017, 10, 1289650. [Google Scholar] [CrossRef] [PubMed]
- Hruby, A.; Hu, F.B. The epidemiology of obesity: A big picture. Pharmacoeconomics 2015, 33, 673–689. [Google Scholar] [CrossRef]
- Simo, L.P.; Agbor, V.N.; Temgoua, F.Z.; Fozeu, L.C.F.; Bonghaseh, D.T.; Mbonda, A.G.N.; Yurika, R.; Dotse-Gborgbortsi, W.; Mbanya, D. Prevalence and factors associated with overweight and obesity in selected health areas in a rural health district in Cameroon: A cross-sectional analysis. BMC Public Health 2021, 21, 475. [Google Scholar] [CrossRef]
- Jayedi, A.; Rashidy-Pour, A.; Khorshidi, M.; Shab-Bidar, S. Body mass index, abdominal adiposity, weight gain and risk of developing hypertension: A systematic review and dose–response meta-analysis of more than 2.3 million participants. Obes. Rev. 2018, 19, 654–667. [Google Scholar] [CrossRef]
- Klop, B.; Elte, J.W.F.; Castro Cabezas, M. Dyslipidemia in obesity: Mechanisms and potential targets. Nutrients 2013, 5, 1218–1240. [Google Scholar] [CrossRef]
- Caspard, H.; Jabbour, S.; Hammar, N.; Fenici, P.; Sheehan, J.J.; Kosiborod, M. Recent trends in the prevalence of type 2 diabetes and the association with abdominal obesity lead to growing health disparities in the USA: An analysis of the NHANES surveys from 1999 to 2014. Diabetes Obes. Metab. 2018, 20, 667–671. [Google Scholar] [CrossRef]
- Kotsis, V.; Tsioufis, K.; Antza, C.; Seravalle, G.; Coca, A.; Sierra, C.; Lurbe, E.; Stabouli, S.; Jelakovic, B.; Redon, J. Obesity and cardiovascular risk: A call for action from the European Society of Hypertension Working Group of Obesity, Diabetes and the High-risk Patient and European Association for the Study of Obesity: Part B: Obesity-induced cardiovascular disease, early prevention strategies and future research directions. J. Hypertens. 2018, 36, 1441–1455. [Google Scholar]
- Van Raemdonck, K.; Umar, S.; Szekanecz, Z.; Zomorrodi, R.K.; Shahrara, S. Impact of obesity on autoimmune arthritis and its cardiovascular complications. Autoimmun. Rev. 2018, 17, 821–835. [Google Scholar] [CrossRef] [PubMed]
- Lovren, F.; Teoh, H.; Verma, S. Obesity and atherosclerosis: Mechanistic insights. Can. J. Cardiol. 2015, 31, 177–183. [Google Scholar] [CrossRef] [PubMed]
- Ottaiano, A.; De Divitiis, C.; Capozzi, M.; Avallone, A.; Pisano, C.; Pignata, S.; Tafuto, S. Obesity and cancer: Biological links and treatment implications. Curr. Cancer Drug Targets 2018, 18, 231–238. [Google Scholar] [CrossRef]
- Kim, M.K.; Kim, C.S. Recent advances in anti-obesity agents. Korean J. Med. 2018, 93, 501–508. [Google Scholar] [CrossRef]
- Kim, T.N. Barriers to obesity management: Patient and physician factors. J. Obes. Metab. Syndr. 2020, 29, 244–247. [Google Scholar] [CrossRef]
- Wadden, T.A.; Tronieri, J.S.; Butryn, M.L. Lifestyle modification approaches for the treatment of obesity in adults. Am. Psychol. 2020, 75, 235–251. [Google Scholar] [CrossRef] [PubMed]
- Müller, T.D.; Blüher, M.; Tschöp, M.H.; DiMarchi, R.D. Anti-obesity drug discovery: Advances and challenges. Nat. Rev. Drug Discov. 2022, 21, 201–223. [Google Scholar] [CrossRef]
- Alsuhibani, A.; Alrasheed, M.; Gari, M.; Hincapie, A.L.; Guo, J.J. Descriptive analysis of reported adverse events associated with anti-obesity medications using FDA Adverse Event Reporting System (FAERS) databases 2013–2020. Int. J. Clin. Pharm. 2022, 44, 172–179. [Google Scholar] [CrossRef]
- Krentz, A.; Fujioka, K.; Hompesch, M. Evolution of pharmacological obesity treatments: Focus on adverse side-effect profiles. Diabetes Obes. Metab. 2016, 18, 558–570. [Google Scholar] [CrossRef]
- Hill, C.; Guarner, F.; Reid, G.; Gibson, G.R.; Merenstein, D.J.; Pot, B.; Morelli, L.; Canani, R.B.; Flint, H.J.; Salminen, S.; et al. Expert consensus document: The International Scientific Association for Probiotics and Prebiotics consensus statement on the scope and appropriate use of the term probiotic. Nat. Rev. Gastroenterol. Hepatol. 2014, 11, 506–514. [Google Scholar] [CrossRef] [PubMed]
- Wiciński, M.; Gębalski, J.; Gołębiewski, J.; Malinowski, B. Probiotics for the treatment of overweight and obesity in humans—A review of clinical trials. Microorganisms 2020, 8, 1148. [Google Scholar] [CrossRef] [PubMed]
- Turnbaugh, P.J.; Ley, R.E.; Mahowald, M.A.; Magrini, V.; Mardis, E.R.; Gordon, J.I. An obesity-associated gut microbiome with increased capacity for energy harvest. Nature 2006, 444, 1027–1031. [Google Scholar] [CrossRef]
- Cani, P.D.; Delzenne, N.M. The role of the gut microbiota in energy metabolism and metabolic disease. Curr. Pharm. Des. 2009, 15, 1546–1558. [Google Scholar] [CrossRef]
- Esteve, E.; Ricart, W.; Fernandez-Real, J.-M. Gut microbiota interactions with obesity, insulin resistance and type 2 diabetes: Did gut microbiote co-evolve with insulin resistance? Curr. Opin. Clin. Nutr. Metab. Care 2011, 14, 483–490. [Google Scholar] [CrossRef]
- Cox, T.O.; Lundgren, P.; Nath, K.; Thaiss, C.A. Metabolic control by the microbiome. Genome Med. 2022, 14, 80. [Google Scholar] [CrossRef]
- Mekkes, M.; Weenen, T.; Brummer, R.J.; Claassen, E. The development of probiotic treatment in obesity: A review. Benef. Microbes 2014, 5, 19–28. [Google Scholar] [CrossRef] [PubMed]
- Kleerebezem, M.; Hols, P.; Bernard, E.; Rolain, T.; Zhou, M.; Siezen, R.J.; Bron, P.A. The extracellular biology of the lactobacilli. FEMS Microbiol. Rev. 2010, 34, 199–230. [Google Scholar] [CrossRef] [PubMed]
- Zheng, J.; Wittouck, S.; Salvetti, E.; Franz, C.M.; Harris, H.M.; Mattarelli, P.; O’toole, P.W.; Pot, B.; Vandamme, P.; Walter, J.; et al. A taxonomic note on the genus Lactobacillus: Description of 23 novel genera, emended description of the genus Lactobacillus Beijerinck 1901, and union of Lactobacillaceae and Leuconostocaceae. Int. J. Syst. Evol. Microbiol. 2020, 70, 2782–2858. [Google Scholar] [CrossRef]
- Salminen, S.; von Wright, A.; Morelli, L.; Marteau, P.; Brassart, D.; de Vos, W.M.; Fondén, R.; Saxelin, M.; Collins, K.; Mogensen, G. Demonstration of safety of probiotics—A review. Int. J. Food Microbiol. 1998, 44, 93–106. [Google Scholar] [CrossRef]
- Choi, M.J.; Yu, H.; Kim, J.I.; Seo, H.; Kim, J.G.; Kim, S.-K.; Lee, H.S.; Cheon, H.G. Anti-obesity effects of Lactiplantibacillus plantarum SKO-001 in high-fat diet-induced obese mice. Eur. J. Nutr. 2023, 62, 1611–1622. [Google Scholar] [CrossRef]
- Jang, A.-R.; Jung, D.-H.; Lee, T.-S.; Kim, J.-K.; Lee, Y.-B.; Lee, J.-Y.; Kim, S.-Y.; Yoo, Y.-C.; Ahn, J.-H.; Hong, E.-H.; et al. Lactobacillus plantarum NCHBL-004 modulates high-fat diet–induced weight gain and enhances GLP-1 production for blood glucose regulation. Nutrition 2024, 128, 112565. [Google Scholar] [CrossRef]
- Zhao, L.; Shen, Y.; Wang, Y.; Wang, L.; Zhang, L.; Zhao, Z.; Li, S. Lactobacillus plantarum S9 alleviates lipid profile, insulin resistance, and inflammation in high-fat diet-induced metabolic syndrome rats. Sci. Rep. 2022, 12, 15490. [Google Scholar] [CrossRef] [PubMed]
- Li, C.-P.; Chen, C.-C.; Hsiao, Y.; Kao, C.-H.; Chen, C.-C.; Yang, H.-J.; Tsai, R.-Y. The role of Lactobacillus plantarum in reducing obesity and inflammation: A meta-analysis. Int. J. Mol. Sci. 2024, 25, 7608. [Google Scholar] [CrossRef]
- Park, Y.E.; Kim, M.S.; Shim, K.W.; Kim, Y.-I.; Chu, J.; Kim, B.-K.; Choi, I.S.; Kim, J.Y. Effects of Lactobacillus plantarum Q180 on postprandial lipid levels and intestinal environment: A double-blind, randomized, placebo-controlled, parallel trial. Nutrients 2020, 12, 255. [Google Scholar] [CrossRef]
- Park, S.-Y.; Cho, S.-A.; Kim, S.-H.; Lim, S.-D. Physiological characteristics and anti-obesity effect of Lactobacillus plantarum Q180 isolated from feces. Korean J. Food Sci. Anim. Resour. 2014, 34, 647–655. [Google Scholar] [CrossRef]
- Park, S.-Y.; Cho, S.-A.; Lim, S.-D. Application of response surface methodology (RSM) for optimization of anti-obesity effect in fermented milk by Lactobacillus plantarum Q180. Korean J. Food Sci. Anim. Resour. 2014, 34, 836. [Google Scholar] [CrossRef] [PubMed]
- Park, S.-Y.; Seong, K.-S.; Lim, S.-D. Anti-obesity effect of yogurt fermented by Lactobacillus plantarum Q180 in diet-induced obese rats. Korean J. Food Sci. Anim. Resour. 2016, 36, 77–83. [Google Scholar] [CrossRef]
- Park, S.-Y.; Kim, S.; Lim, S.-D. The inhibitory effect of L. plantarum Q180 on adipocyte differentiation in 3T3-L1 and reduction of adipocyte size in mice fed high-fat diet. Korean J. Food Sci. Anim. Resour. 2018, 38, 99. [Google Scholar]
- Derwenskus, F.; Schäfer, B.; Müller, J.; Frick, K.; Gille, A.; Briviba, K.; Schmid-Staiger, U.; Hirth, T. Coproduction of EPA and fucoxanthin with P. tricornutum—A promising approach for up-and downstream processing. Chem. Ing. Tech. 2020, 92, 1780–1789. [Google Scholar] [CrossRef]
- Gammone, M.A.; D’Orazio, N. Anti-obesity activity of the marine carotenoid fucoxanthin. Mar. Drugs 2015, 13, 2196–2214. [Google Scholar] [CrossRef]
- Kim, J.H.; Kim, S.M.; Cha, K.H.; Mok, I.-K.; Koo, S.Y.; Pan, C.-H.; Lee, J.K. Evaluation of the anti-obesity effect of the microalga Phaeodactylum tricornutum. Appl. Biol. Chem. 2016, 59, 283–290. [Google Scholar] [CrossRef]
- Koo, S.Y.; Hwang, J.-H.; Yang, S.-H.; Um, J.-I.; Hong, K.W.; Kang, K.; Pan, C.-H.; Hwang, K.T.; Kim, S.M. Anti-obesity effect of standardized extract of microalga Phaeodactylum tricornutum containing fucoxanthin. Mar. Drugs 2019, 17, 311. [Google Scholar] [CrossRef] [PubMed]
- Noh, H.-J.; Eom, J.-I.; Park, S.-J.; Shin, C.H.; Kim, S.-M.; Pan, C.-H.; Lee, J.K. Synergistic Anti-Obesity Effects of Lactiplantibacillus plantarum Q180 and Phaeodactylum tricornutum (CKDB-322) in High-Fat-Diet-Induced Obese Mice. Int. J. Mol. Sci. 2025, 26, 7991. [Google Scholar] [CrossRef] [PubMed]
- WHO Consultation. Obesity: Preventing and Managing the Global Epidemic; World Health Organization Technical Report Series 894; WHO: Geneva, Switzerland, 2000; pp. 1–253.
- Kadooka, Y.; Sato, M.; Ogawa, A.; Miyoshi, M.; Uenishi, H.; Ogawa, H.; Ikuyama, K.; Kagoshima, M.; Tsuchida, T. Effect of Lactobacillus gasseri SBT2055 in fermented milk on abdominal adiposity in adults in a randomised controlled trial. Br. J. Nutr. 2013, 110, 1696–1703. [Google Scholar] [CrossRef]
- Jeon, S.M.; Kim, H.J.; Woo, M.N.; Lee, M.K.; Shin, Y.C.; Park, Y.B.; Choi, M.S. Fucoxanthin-rich seaweed extract suppresses body weight gain and improves lipid metabolism in high-fat-fed C57BL/6J mice. Biotechnol. J. 2010, 5, 961–969. [Google Scholar] [CrossRef]
- Woo, M.-N.; Jeon, S.-M.; Kim, H.-J.; Lee, M.-K.; Shin, S.-K.; Shin, Y.C.; Park, Y.-B.; Choi, M.-S. Fucoxanthin supplementation improves plasma and hepatic lipid metabolism and blood glucose concentration in high-fat fed C57BL/6N mice. Chem.-Biol. Interact. 2010, 186, 316–322. [Google Scholar] [CrossRef] [PubMed]
- Beppu, F.; Hosokawa, M.; Niwano, Y.; Miyashita, K. Effects of dietary fucoxanthin on cholesterol metabolism in diabetic/obese KK-A y mice. Lipids Health Dis. 2012, 11, 112. [Google Scholar] [CrossRef] [PubMed]
- Maeda, H.; Hosokawa, M.; Sashima, T.; Murakami-Funayama, K.; Miyashita, K. Anti-obesity and anti-diabetic effects of fucoxanthin on diet-induced obesity conditions in a murine model. Mol. Med. Rep. 2009, 2, 897–902. [Google Scholar] [CrossRef]
- Woo, M.N.; Jeon, S.M.; Shin, Y.C.; Lee, M.K.; Kang, M.A.; Choi, M.S. Anti-obese property of fucoxanthin is partly mediated by altering lipid-regulating enzymes and uncoupling proteins of visceral adipose tissue in mice. Mol. Nutr. Food Res. 2009, 53, 1603–1611. [Google Scholar] [CrossRef] [PubMed]
- Dickerson, B.; Maury, J.; Jenkins, V.; Nottingham, K.; Xing, D.; Gonzalez, D.E.; Leonard, M.; Kendra, J.; Ko, J.; Yoo, C.; et al. Effects of supplementation with microalgae extract from Phaeodactylum tricornutum (Mi136) to support benefits from a weight management intervention in overweight women. Nutrients 2024, 16, 990. [Google Scholar] [CrossRef]
- Haarbo, J.; Gotfredsen, A.; Hassager, C.; Christiansen, C. Validation of body composition by dual energy X-ray absorptiometry (DEXA). Clin. Physiol. 1991, 11, 331–341. [Google Scholar] [CrossRef]
- Shepherd, J.A.; Ng, B.K.; Sommer, M.J.; Heymsfield, S.B. Body composition by DXA. Bone 2017, 104, 101–105. [Google Scholar] [CrossRef]
- Lee, S.-B.; Yoo, B.; Baeg, C.; Yun, J.; Ryu, D.-w.; Kim, G.; Kim, S.; Shin, H.; Lee, J.H. A 12-Week, Randomized, Double-Blind, Placebo-Controlled Study to Evaluate the Efficacy and Safety of Lactobacillus plantarum LMT1-48 on Body Fat Loss. Nutrients 2025, 17, 1191. [Google Scholar] [CrossRef]
- Shin, S.M.; Park, J.-S.; Kim, S.B.; Cho, Y.H.; Seo, H.; Lee, H.S. A 12-week, single-centre, randomised, double-blind, placebo-controlled, parallel-design clinical trial for the evaluation of the efficacy and safety of Lactiplantibacillus plantarum SKO-001 in reducing body fat. Nutrients 2024, 16, 1137. [Google Scholar] [CrossRef]
- Koutnikova, H.; Genser, B.; Monteiro-Sepulveda, M.; Faurie, J.-M.; Rizkalla, S.; Schrezenmeir, J.; Clément, K. Impact of bacterial probiotics on obesity, diabetes and non-alcoholic fatty liver disease related variables: A systematic review and meta-analysis of randomised controlled trials. BMJ Open 2019, 9, e017995. [Google Scholar] [CrossRef] [PubMed]
- Magkos, F.; Fraterrigo, G.; Yoshino, J.; Luecking, C.; Kirbach, K.; Kelly, S.C.; de las Fuentes, L.; He, S.; Okunade, A.L.; Patterson, B.W.; et al. Effects of Moderate and Subsequent Progressive Weight Loss on Metabolic Function and Adipose Tissue Biology in Humans with Obesity. Cell Metab. 2016, 23, 591–601. [Google Scholar] [CrossRef]
- Kuk, J.L.; Katzmarzyk, P.T.; Nichaman, M.Z.; Church, T.S.; Blair, S.N.; Ross, R. Visceral fat is an independent predictor of all-cause mortality in men. Obesity 2006, 14, 336–341. [Google Scholar] [CrossRef]
- Hendler, R.G.; Welle, S.L.; Statt, M.C.; Barnard, R.; Amatruda, J.M. The effects of weight reduction to ideal body weight on body fat distribution. Metabolism 1995, 44, 1413–1416. [Google Scholar] [CrossRef]
- Stiegler, P.; Cunliffe, A. The role of diet and exercise for the maintenance of fat-free mass and resting metabolic rate during weight loss. Sports Med. 2006, 36, 239–262. [Google Scholar] [CrossRef]
- Nelson, K.M.; Weinsier, R.L.; Long, C.L.; Schutz, Y. Prediction of resting energy expenditure from fat-free mass and fat mass. Am. J. Clin. Nutr. 1992, 56, 848–856. [Google Scholar] [CrossRef]
- Kvist, H.; Chowdhury, B.; Grangård, U.; Tylen, U.; Sjöström, L. Total and visceral adipose-tissue volumes derived from measurements with computed tomography in adult men and women: Predictive equations. Am. J. Clin. Nutr. 1988, 48, 1351–1361. [Google Scholar] [CrossRef] [PubMed]
- Fox, C.S.; Massaro, J.M.; Hoffmann, U.; Pou, K.M.; Maurovich-Horvat, P.; Liu, C.-Y.; Vasan, R.S.; Murabito, J.M.; Meigs, J.B.; Cupples, L.A. Abdominal visceral and subcutaneous adipose tissue compartments: Association with metabolic risk factors in the Framingham Heart Study. Circulation 2007, 116, 39–48. [Google Scholar] [CrossRef]
- Booth, A.; Magnuson, A.; Fouts, J.; Wei, Y.; Wang, D.; Pagliassotti, M.; Foster, M. Subcutaneous adipose tissue accumulation protects systemic glucose tolerance and muscle metabolism. Adipocyte 2018, 7, 261–272. [Google Scholar] [CrossRef] [PubMed]
- Perna, S.; Ilyas, Z.; Giacosa, A.; Gasparri, C.; Peroni, G.; Faliva, M.A.; Rigon, C.; Naso, M.; Riva, A.; Petrangolini, G.; et al. Is probiotic supplementation useful for the management of body weight and other anthropometric measures in adults affected by overweight and obesity with metabolic related diseases? A systematic review and meta-analysis. Nutrients 2021, 13, 666. [Google Scholar] [CrossRef]
- Pagliai, G.; Coman, M.M.; Baldi, S.; Dinu, M.; Nannini, G.; Russo, E.; Curini, L.; Colombini, B.; Lotti, S.; Pallecchi, M.; et al. Effects of the probiotic Lactiplantibacillus plantarum IMC 510® on body composition, biochemical parameters, gut microbiota composition and function, and clinical symptoms of overweight/obese subjects. Front. Nutr. 2023, 10, 1142527. [Google Scholar] [CrossRef]
- Mulligan, A.A.; Lentjes, M.A.; Luben, R.N.; Wareham, N.J.; Khaw, K.-T. Changes in waist circumference and risk of all-cause and CVD mortality: Results from the European Prospective Investigation into Cancer in Norfolk (EPIC-Norfolk) cohort study. BMC Cardiovasc. Disord. 2019, 19, 238. [Google Scholar] [CrossRef]
- Forny-Germano, L.; De Felice, F.G.; Vieira, M.N.d.N. The role of leptin and adiponectin in obesity-associated cognitive decline and Alzheimer’s disease. Front. Neurosci. 2019, 12, 1027. [Google Scholar] [CrossRef]
- Cambuli, V.M.; Musiu, M.C.; Incani, M.; Paderi, M.; Serpe, R.; Marras, V.; Cossu, E.; Cavallo, M.G.; Mariotti, S.; Loche, S.; et al. Assessment of adiponectin and leptin as biomarkers of positive metabolic outcomes after lifestyle intervention in overweight and obese children. J. Clin. Endocrinol. Metab. 2008, 93, 3051–3057. [Google Scholar] [CrossRef] [PubMed]
- Zhao, S.; Zhu, Y.; Schultz, R.D.; Li, N.; He, Z.; Zhang, Z.; Caron, A.; Zhu, Q.; Sun, K.; Xiong, W.; et al. Partial leptin reduction as an insulin sensitization and weight loss strategy. Cell Metab. 2019, 30, 706–719. e706. [Google Scholar] [CrossRef]
- Murugesan, S.; Nirmalkar, K.; Hoyo-Vadillo, C.; García-Espitia, M.; Ramírez-Sánchez, D.; García-Mena, J. Gut microbiome production of short-chain fatty acids and obesity in children. Eur. J. Clin. Microbiol. Infect. Dis. 2018, 37, 621–625. [Google Scholar] [CrossRef] [PubMed]
- Cani, P.D.; Van Hul, M.; Lefort, C.; Depommier, C.; Rastelli, M.; Everard, A. Microbial regulation of organismal energy homeostasis. Nat. Metab. 2019, 1, 34–46. [Google Scholar] [CrossRef]
- Breton, J.; Galmiche, M.; Déchelotte, P. Dysbiotic gut bacteria in obesity: An overview of the metabolic mechanisms and therapeutic perspectives of next-generation probiotics. Microorganisms 2022, 10, 452. [Google Scholar] [CrossRef] [PubMed]
- Oraphruek, P.; Chusak, C.; Ngamukote, S.; Sawaswong, V.; Chanchaem, P.; Payungporn, S.; Suantawee, T.; Adisakwattana, S. Effect of a multispecies synbiotic supplementation on body composition, antioxidant status, and gut microbiomes in overweight and obese subjects: A randomized, double-blind, placebo-controlled study. Nutrients 2023, 15, 1863. [Google Scholar] [CrossRef]
- Kanter, R.; Caballero, B. Global gender disparities in obesity: A review. Adv. Nutr. 2012, 3, 491–498. [Google Scholar] [CrossRef] [PubMed]
- Park, H.S.; Yun, Y.S.; Park, J.Y.; Kim, Y.S.; Choi, J.M. Obesity, abdominal obesity, and clustering of cardio-vascular risk factors in South Korea. Asia Pac. J. Clin. Nutr. 2003, 12, 411–418. [Google Scholar] [PubMed]
- Zeilstra, D.; Younes, J.A.; Brummer, R.J.; Kleerebezem, M. Perspective: Fundamental limitations of the randomized controlled trial method in nutritional research: The example of probiotics. Adv. Nutr. 2018, 9, 561–571. [Google Scholar] [CrossRef] [PubMed]







| CKDB-322 Group (n = 48) | Placebo Group (n = 45) | p-Value (1) | |
|---|---|---|---|
| Sex (M/F) | 4/44 | 6/39 | 0.5148 (2) |
| Age (years) | 36.46 ± 8.32 | 35.98 ± 9.33 | 0.8174 |
| Height (cm) | 163.41 ± 6.05 | 161.51 ± 6.73 | 0.1213 |
| Weight (kg) | 72.56 ± 7.20 | 70.47 ± 6.63 | 0.1299 |
| BMI (kg/m2) | 27.11 ± 1.40 | 26.98 ± 1.27 | 0.8175 |
| Waist circumference (cm) | 91.08 ± 4.16 | 90.08 ± 3.81 | 0.2957 |
| Body fat mass (g) | 20,764.52 ± 4429.11 | 19,228.18 ± 3824.23 | 0.0776 (3) |
| CKDB-322 Group (n = 48) | Placebo Group (n = 45) | p-Value (1) | p-Value (3) | |||||
|---|---|---|---|---|---|---|---|---|
| Baseline | 12 Week | Change Value | Baseline | 12 Week | Change Value | |||
| Energy (kcal) | 1240.33 ± 320.46 | 1130.96 ± 307.15 | −109.37 ± 318.58 | 1229.02 ± 324.88 | 1156.34 ± 314.67 | −72.68 ± 314.99 | 0.8662 | 0.5781 |
| Carbohydrates (g) | 182.52 ± 45.98 | 166.28 ± 45.48 | −16.24 ± 46.31 | 176.20 ± 51.93 | 162.57 ± 52.63 | −13.63 ± 52.83 | 0.5353 | 0.7999 |
| Lipids (g) | 32.31 ± 12.72 | 29.39 ± 11.44 | −2.92 ± 13.90 | 34.57 ± 12.72 | 33.93 ± 10.35 | −0.64 ± 13.44 | 0.3787 (2) | 0.6474 (4) |
| Protein (g) | 50.80 ± 15.65 | 46.68 ± 14.42 | −4.12 ± 14.28 | 49.83 ± 14.94 | 46.77 ± 13.76 | −3.06 ± 16.43 | 0.9479 (2) | 0.7393 |
| Fiber (g) | 13.27 ± 4.68 | 11.77 ± 4.45 | −1.50 ± 4.57 | 12.84 ± 4.51 | 10.96 ± 3.66 | −1.89 ± 4.56 | 0.8566 (2) | 0.6850 |
| MET (min/week) | 1111.25 ± 1283.25 | 1576.44 ± 1159.38 | 465.19 ± 1447.91 | 1071.92 ± 1283.89 | 1172.48 ± 1203.17 | 100.56 ± 1014.60 | 0.8717 (2) | 0.0527 (4) |
| CKDB-322 Group (n = 48) | Placebo Group (n = 45) | Group Difference | ||||||||
|---|---|---|---|---|---|---|---|---|---|---|
| Baseline | 12 Week | Change Value | p-Value (1) | Baseline | 12 Week | Change Value | p-Value (1) | Mean [95% CI] | p-Value (3) | |
| DEXA measurement | ||||||||||
| Body fat mass (g) | 20,764.52 ± 4429.11 | 19,205.33 ± 5012.96 | −1559.19 ± 1500.58 | <0.0001 | 19,228.18 ± 3824.23 | 18,564.40 ± 4152.43 | −663.78 ± 1523.66 | 0.0055 | −895.4 [−1518.5, −272.3] | 0.0053 |
| Body fat percentage (%) | 31.17 ± 5.79 | 29.19 ± 6.29 | −1.99 ± 1.68 | <0.0001 | 29.92 ± 5.92 | 28.83 ± 6.39 | −1.09 ± 1.76 | 0.0001 (2) | −0.89 [−1.60, −0.19] | 0.0452 (4) |
| Lean body mass (g) | 46,002.52 ± 6985.42 | 46,548.42 ± 7101.22 | 545.90 ± 774.16 | <0.0001 | 45,351.58 ± 6595.54 | 46,131.44 ± 6686.39 | 779.87 ± 1051.00 | <0.0001 | −234.0 [−616.9, 148.9] | 0.2276 |
| Abdominal fat CT measurement | ||||||||||
| Total abdominal fat area (mm2) | 32,210.13 ± 6761.02 | 31,337.15 ± 7318.11 | −872.98 ± 3375.92 | 0.0157 (2) | 30,057.13 ± 6033.33 | 30,555.29 ± 6040.11 | 498.16 ± 3047.58 | 0.2788 | −1371.1 [−2698.9, 43.4] | 0.0086 (4) |
| Visceral fat area (mm2) | 8181.29 ± 3442.90 | 8013.38 ± 3749.14 | −167.92 ± 1440.81 | 0.1251 (2) | 7515.11 ± 2954.30 | 7722.42 ± 3364.80 | 207.31 ± 1380.54 | 0.3193 | −375.2 [−957.2, 206.8] | 0.0976 (4) |
| Subcutaneous fat area (mm2) | 24,028.83 ± 5817.77 | 23,323.77 ± 6181.18 | −705.06 ± 2932.64 | 0.0028 (2) | 22,542.02 ± 5816.21 | 22,832.87 ± 5560.39 | 290.84 ± 2387.70 | 0.2964 (2) | −995.9 [−2101.8, 109.9] | 0.0196 (4) |
| Anthropometric parameters | ||||||||||
| Weight (kg) | 72.56 ± 7.20 | 70.92 ± 7.69 | −1.64 ± 1.76 | <0.0001 | 70.47 ± 6.63 | 70.61 ± 6.57 | 0.14 ± 1.53 | 0.5426 | −1.78 [−2.46, −1.10] | <0.0001 |
| BMI (kg/m2) | 27.11 ± 1.40 | 26.50 ± 1.72 | −0.61 ± 0.66 | <0.0001 | 26.98 ± 1.27 | 27.04 ± 1.46 | 0.06 ± 0.60 | 0.5067 | −0.67 [−0.93, −0.41] | <0.0001 |
| Waist circumference (cm) | 91.08 ± 4.16 | 89.11 ± 4.60 | −1.97 ± 1.32 | <0.0001 | 90.08 ± 3.81 | 90.63 ± 3.69 | 0.55 ± 0.94 | 0.0003 | −2.52 [−2.99, −2.05] | <0.0001 |
| Hip circumference (cm) | 101.48 ± 3.94 | 99.49 ± 4.40 | −1.99 ± 1.20 | <0.0001 | 100.03 ± 3.58 | 100.48 ± 3.38 | 0.45 ± 0.86 | 0.0011 | −2.43 [−2.86, −2.01] | <0.0001 |
| WHR | 0.90 ± 0.03 | 0.90 ± 0.03 | −0.00 ± 0.01 | 0.0002 (2) | 0.90 ± 0.03 | 0.90 ± 0.04 | 0.00 ± 0.01 | 0.0161 (2) | −0.005 [−0.008, −0.002] | 0.0004 (4) |
| CKDB-322 Group (n = 48) | Placebo Group (n = 45) | p-Value (3) | |||||||
|---|---|---|---|---|---|---|---|---|---|
| Baseline | 12 Week | Change Value | p-Value (1) | Baseline | 12 Week | Change Value | p-Value (1) | ||
| Lipid profiles | |||||||||
| Total cholesterol (mg/dL) | 195.38 ± 35.00 | 199.69 ± 32.80 | 4.31 ± 28.14 | 0.2937 | 203.80 ± 35.59 | 208.91 ± 38.23 | 5.11 ± 25.16 | 0.1799 | 0.8859 |
| Triglyceride (mg/dL) | 123.85 ± 73.59 | 106.38 ± 44.24 | −17.48 ± 61.32 | 0.0884 (2) | 122.91 ± 88.12 | 135.24 ± 102.76 | 12.33 ± 53.06 | 0.1858 (2) | 0.0211 (4) |
| HDL-C (mg/dL) | 53.17 ± 9.28 | 55.40 ± 9.14 | 2.23 ± 7.28 | 0.0063 (2) | 56.87 ± 13.85 | 58.36 ± 13.52 | 1.49 ± 6.34 | 0.1222 | 0.4056 (4) |
| LDL-C (mg/dL) | 125.31 ± 34.83 | 129.79 ± 28.35 | 4.48 ± 25.93 | 0.2374 | 129.31 ± 31.40 | 129.49 ± 30.16 | 0.18 ± 23.05 | 0.959 | 0.4012 |
| Adipokines, cytokines | |||||||||
| Adiponectin (ng/mL) | 8571.98 ± 4406.46 | 8379.48 ± 4819.18 | −192.50 ± 2039.55 | 0.3946 (2) | 9947.44 ± 5115.76 | 9416.67 ± 4971.15 | −530.78 ± 2238.59 | 0.0425 (2) | 0.4217 (4) |
| Leptin (ng/mL) | 28.78 ± 14.44 | 24.64 ± 14.74 | −4.14 ± 10.18 | 0.0071 | 27.91 ± 15.28 | 31.56 ± 15.79 | 3.65 ± 11.02 | 0.0317 | 0.0006 |
| TNF-α (pg/mL) | 0.53 ± 0.14 | 0.53 ± 0.17 | 0.00 ± 0.15 | 0.7922 (2) | 0.52 ± 0.12 | 0.53 ± 0.15 | 0.00 ± 0.12 | 0.8662 | 0.9755 (4) |
| IL-1β (pg/mL) | 0.08 ± 0.09 | 0.07 ± 0.11 | −0.01 ± 0.05 | 0.1924 (2) | 0.07 ± 0.05 | 0.06 ± 0.04 | −0.01 ± 0.06 | 0.1583 (2) | 0.8235 (4) |
| IL-6 (pg/mL) | 1.68 ± 0.98 | 1.72 ± 1.00 | 0.04 ± 0.84 | 0.7192 (2) | 1.61 ± 1.32 | 1.71 ± 1.42 | 0.10 ± 0.93 | 0.7942 (2) | 0.9295 (4) |
| CKDB-322 Group (n = 32) | Placebo Group (n = 28) | p-Value (3) | |||||||
|---|---|---|---|---|---|---|---|---|---|
| Baseline | 12 Week | Change Value | p-Value (1) | Baseline | 12 Week | Change Value | p-Value (1) | ||
| Acetic Acid (µmol/g) | 31.71 ± 22.61 | 45.15 ± 26.21 | 13.44 ± 37.32 | 0.0433 | 31.72 ± 22.38 | 60.41 ± 26.46 | 28.69 ± 28.85 | <0.0001 (2) | 0.0843 |
| Propionic Acid (µmol/g) | 27.14 ± 26.24 | 27.52 ± 17.71 | 0.381 ± 33.57 | 0.6117 | 23.26 ± 18.30 | 36.25 ± 21.39 | 13.00 ± 25.13 | 0.0048 | 0.0765 |
| Butyric Acid (µmol/g) | 41.09 ± 27.96 | 45.05 ± 22.52 | 3.962 ± 38.69 | 0.2781 | 36.27 ± 22.73 | 45.38 ± 19.41 | 9.111 ± 24.53 | 0.1375 | 0.6643 |
Disclaimer/Publisher’s Note: The statements, opinions and data contained in all publications are solely those of the individual author(s) and contributor(s) and not of MDPI and/or the editor(s). MDPI and/or the editor(s) disclaim responsibility for any injury to people or property resulting from any ideas, methods, instructions or products referred to in the content. |
© 2026 by the authors. Licensee MDPI, Basel, Switzerland. This article is an open access article distributed under the terms and conditions of the Creative Commons Attribution (CC BY) license.
Share and Cite
Baek, H.-I.; Kwon, S.-Y.; Noh, H.-J.; Park, S.J. Efficacy and Safety of CKDB-322, a Combination of Lactiplantibacillus plantarum Q180 and Phaeodactylum tricornutum, for Reducing Body Fat and Abdominal Adiposity in Overweight Adults. Nutrients 2026, 18, 250. https://doi.org/10.3390/nu18020250
Baek H-I, Kwon S-Y, Noh H-J, Park SJ. Efficacy and Safety of CKDB-322, a Combination of Lactiplantibacillus plantarum Q180 and Phaeodactylum tricornutum, for Reducing Body Fat and Abdominal Adiposity in Overweight Adults. Nutrients. 2026; 18(2):250. https://doi.org/10.3390/nu18020250
Chicago/Turabian StyleBaek, Hyang-Im, So-Young Kwon, Hye-Ji Noh, and Soo Jung Park. 2026. "Efficacy and Safety of CKDB-322, a Combination of Lactiplantibacillus plantarum Q180 and Phaeodactylum tricornutum, for Reducing Body Fat and Abdominal Adiposity in Overweight Adults" Nutrients 18, no. 2: 250. https://doi.org/10.3390/nu18020250
APA StyleBaek, H.-I., Kwon, S.-Y., Noh, H.-J., & Park, S. J. (2026). Efficacy and Safety of CKDB-322, a Combination of Lactiplantibacillus plantarum Q180 and Phaeodactylum tricornutum, for Reducing Body Fat and Abdominal Adiposity in Overweight Adults. Nutrients, 18(2), 250. https://doi.org/10.3390/nu18020250

