Conic Section Elements Based on the Rational Absolute Nodal Coordinate Formulation
Abstract
1. Introduction
1.1. Background
1.2. Articulation of the Research Problem Relevant to This Investigation
1.3. Review of Related Studies
1.4. Scope and Significance of This Research
- (1)
- A direct definition method for RANCF conic section elements is proposed based on the analytical properties of conic sections, together with the derivation of nodal vector formulations.
- (2)
- Standardization criteria for RANCF conic section elements are introduced, which in most cases eliminate the need for additional constraint equations during preprocessing, thereby improving efficiency.
- (3)
- A parameterization method for standardized RANCF conic section elements is proposed, in which the concept of a mapping factor K is introduced for the first time, together with its corresponding parameterization framework.
- (4)
- The influence of K on element weights, shape functions, and gradients is systematically analyzed, and the concept of an optimal mapping factor Kopt is introduced to identify the most effective standardized RANCF conic section element.
1.5. Paper Outline
2. Rational Parametric Representation of Conic Sections
2.1. Unique Definition of Conic Sections in Rational Parametric Form
- (1)
- The endpoints of the conic are P0, P1 ∈.
- (2)
- The angles between the tangents at P0 and P2 and the chord of the conic are θ0 and θ1, with θ0 < 90° and θ1 < 90°.
- (3)
- An arbitrary point Pu lies on the conic, with Pu ≠ P0, Pu ≠ P2, and Pu ∈.
2.2. Degree Elevation Method of Conic Sections Defined by Rational Parametric Equations
3. Construction Method of RANCF Conic Section Elements
3.1. RANCF Cable Element
3.2. Standard RANCF Conic Section Element
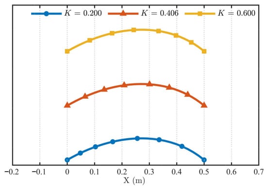
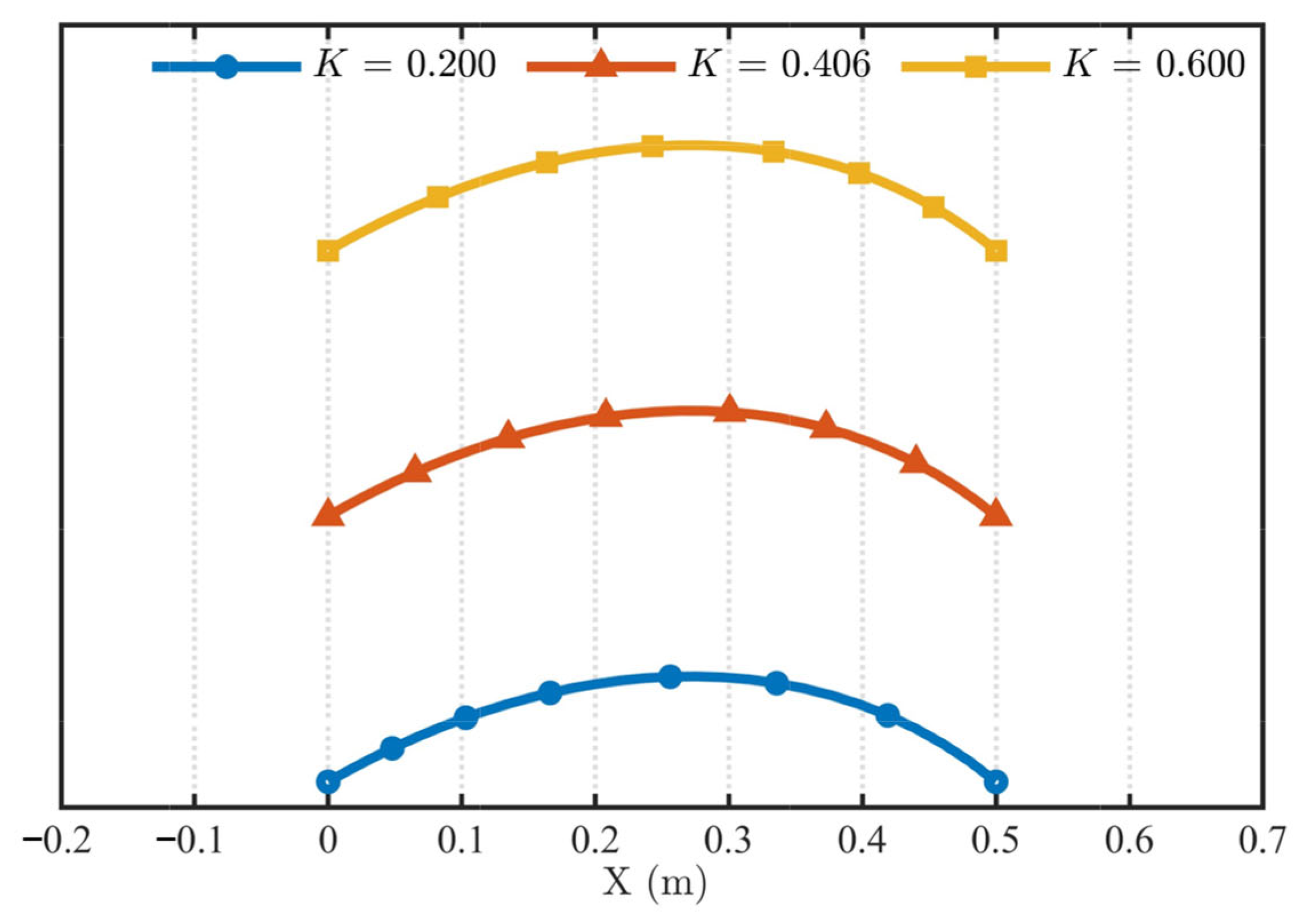
4. Selection of RANCF Conic Section Elements
4.1. Arbitrariness Problem in RANCF Element Definition
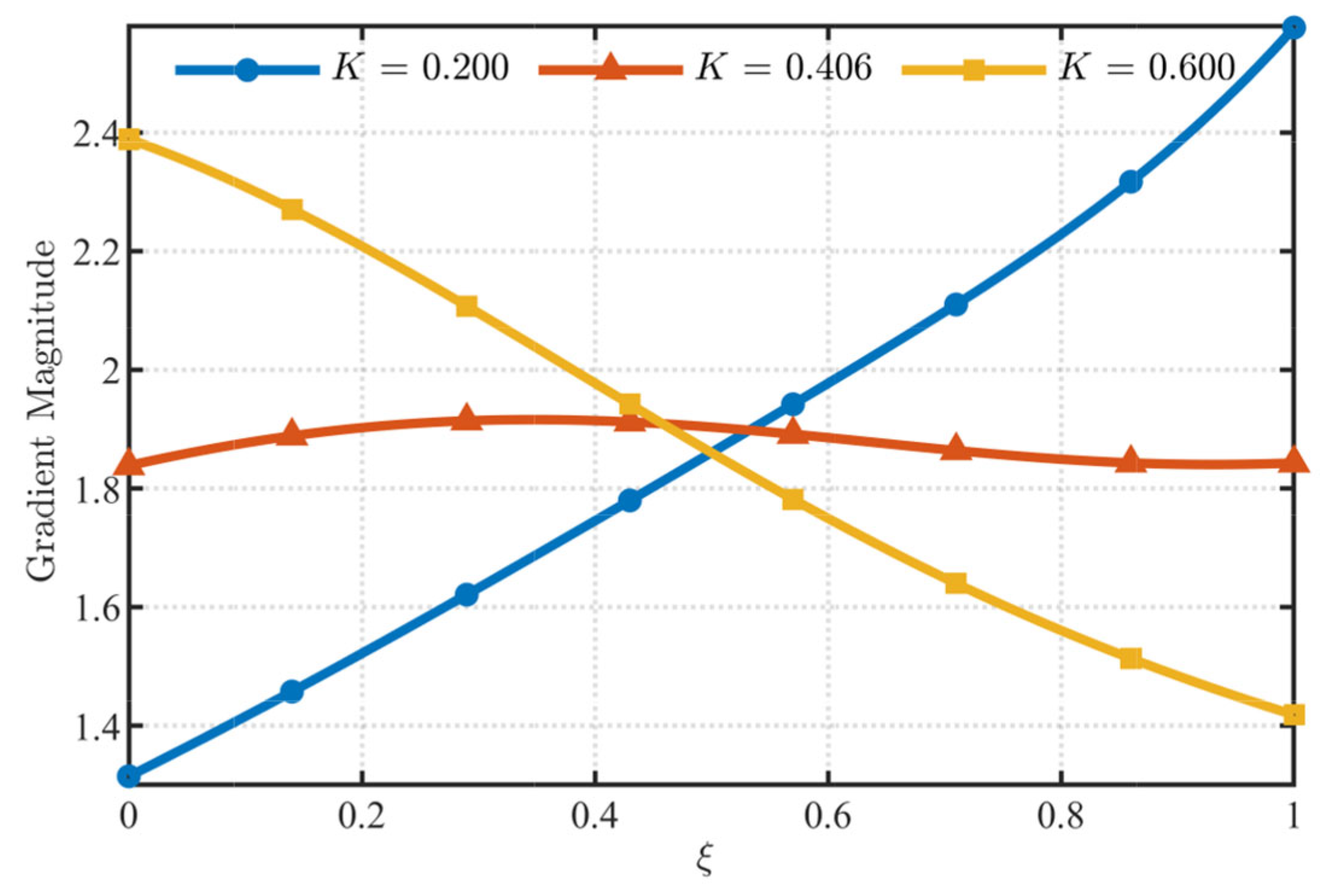
4.2. Mapping Factor of RANCF Conic Section Elements
4.3. Optimal Standard RANCF Conic Section Element
5. Equations of Motion of RANCF Conic Section Elements
5.1. Mass Matrix of RANCF Conic Section Elements
5.2. Elastic Forces of RANCF Conic Section Elements
5.3. Generalized Forces of RANCF Conic Section Elements
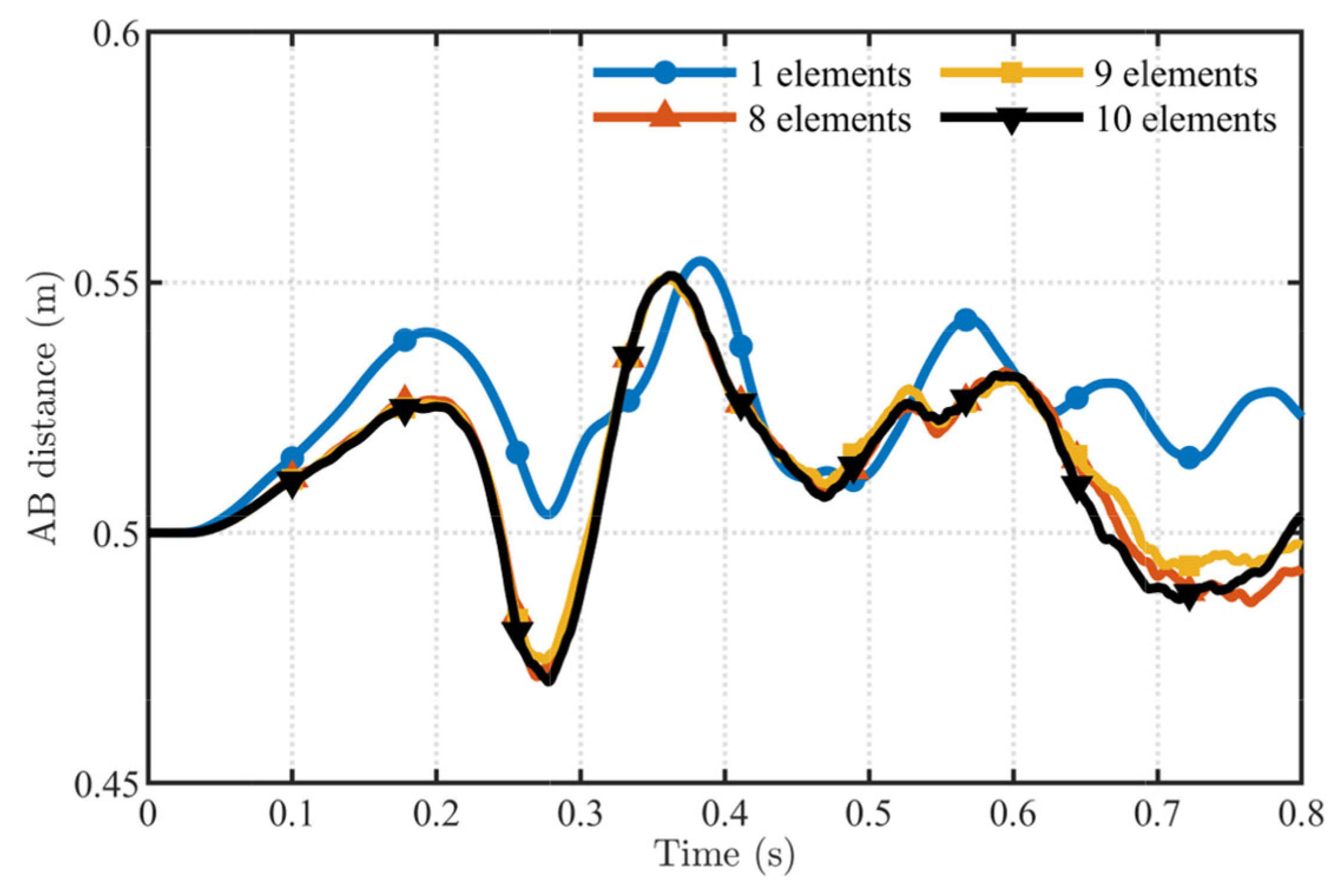
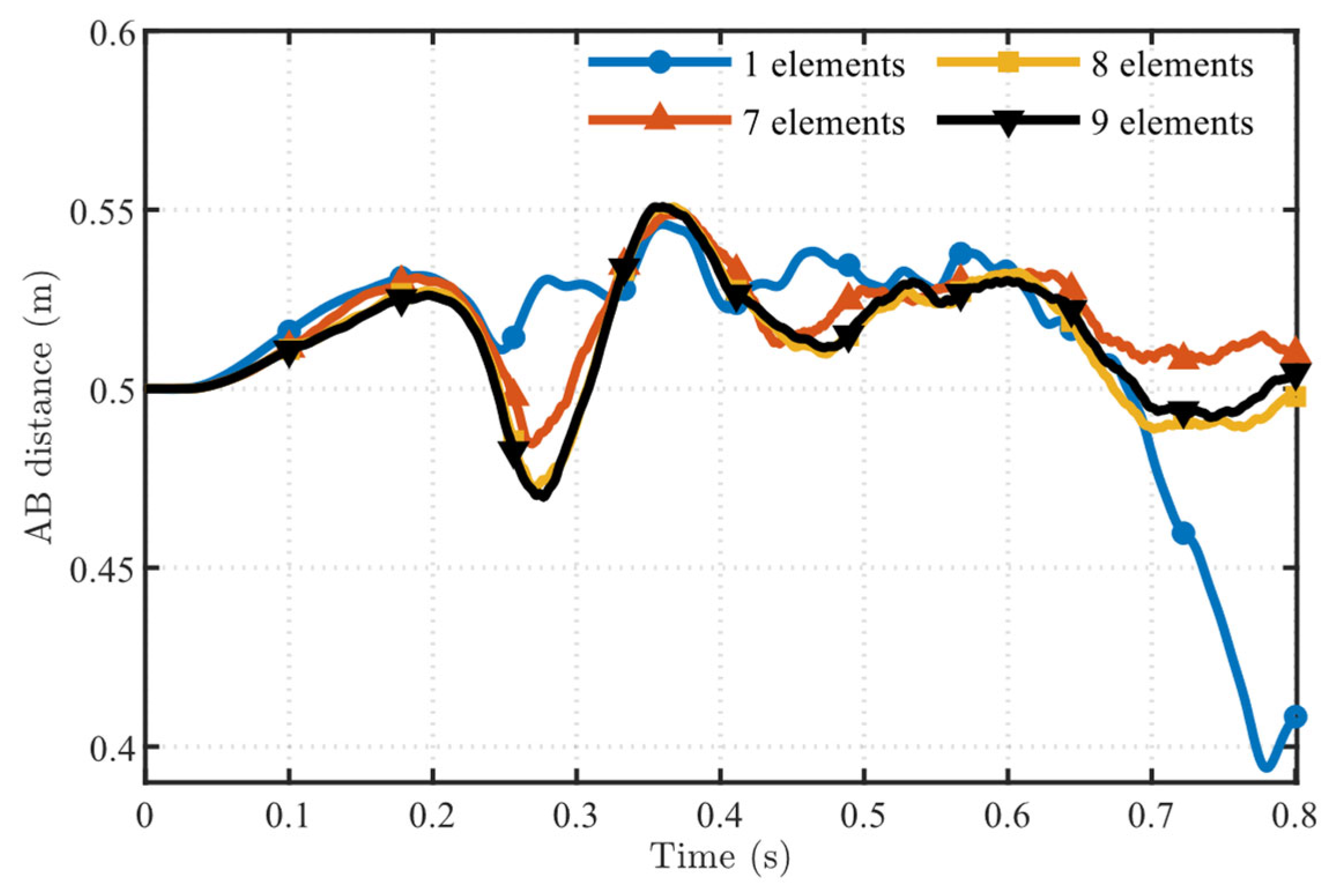
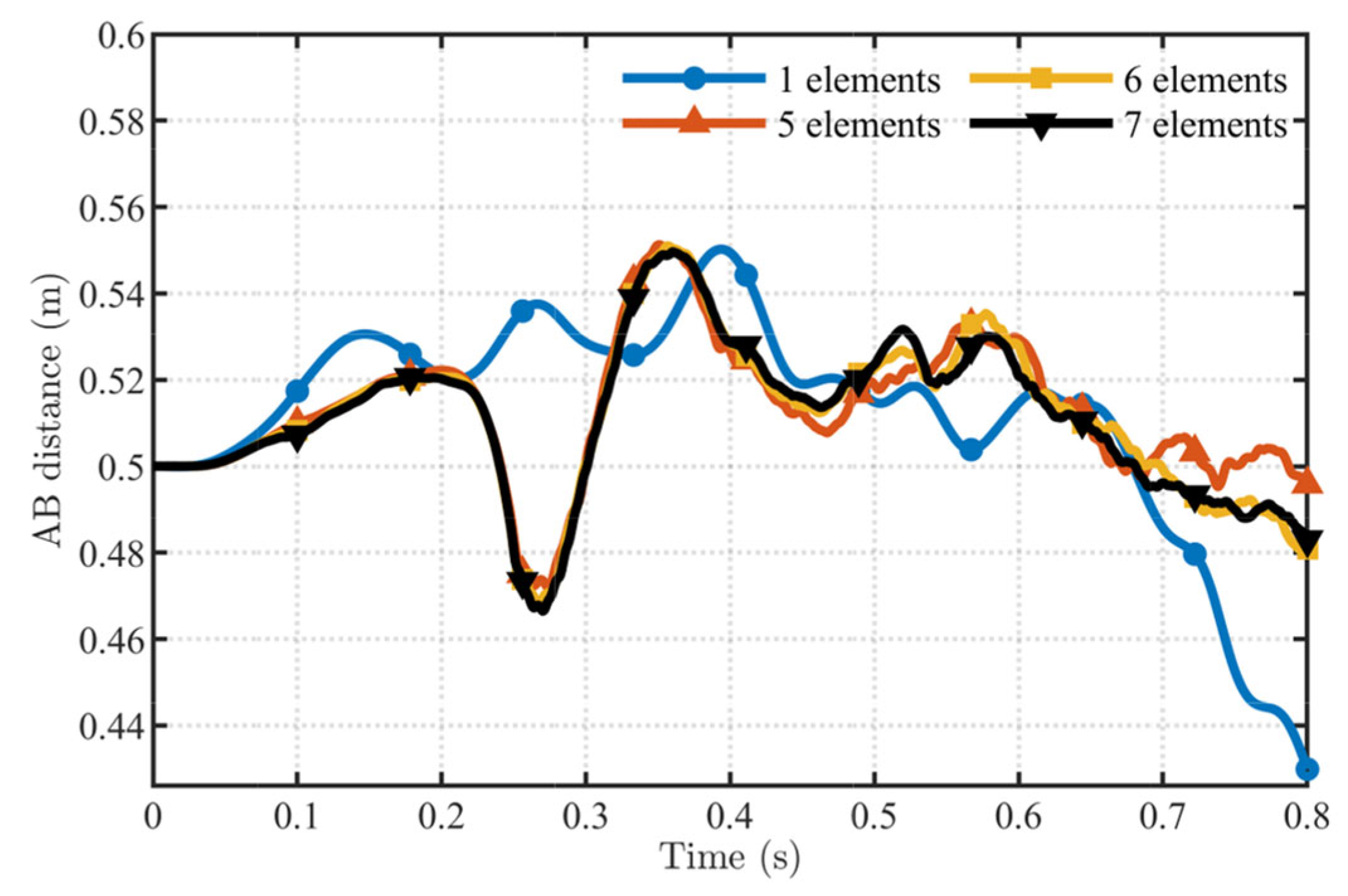
6. Examples and Result
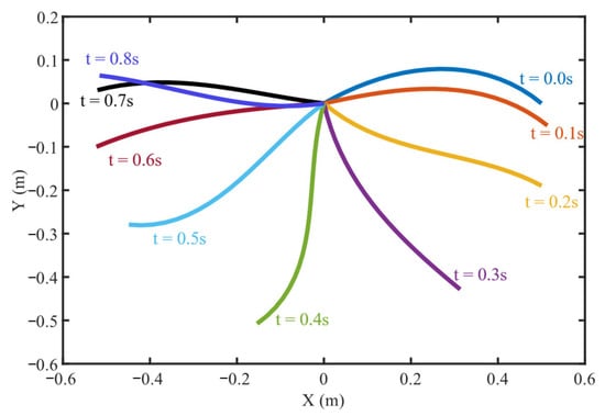
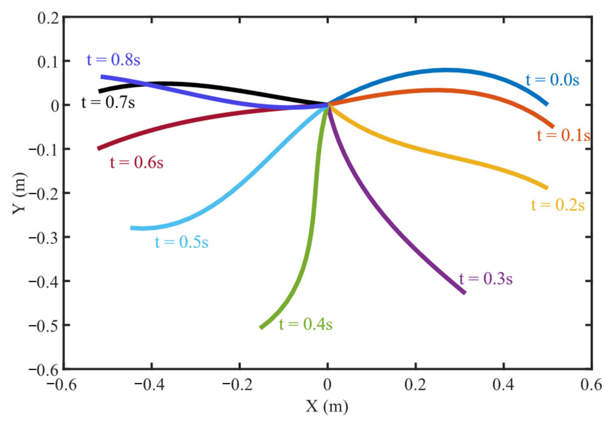
6.1. Planar Pendulum with an Elliptical-Arc Cable
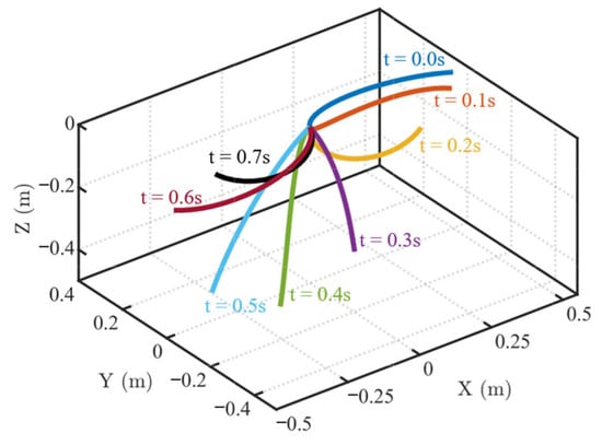
6.2. Spatial Pendulum with a Flexible Elliptical-Arc Cable
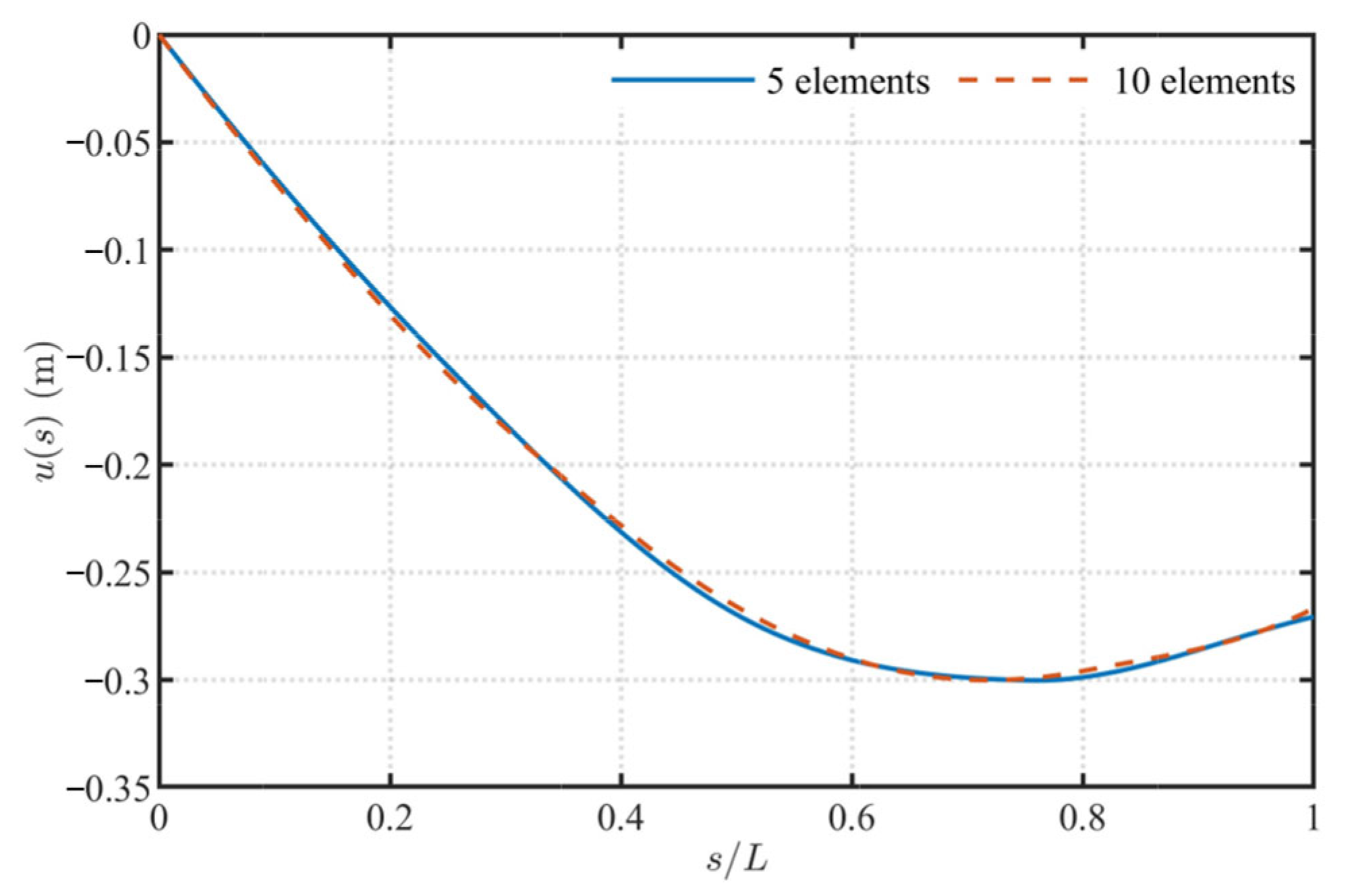
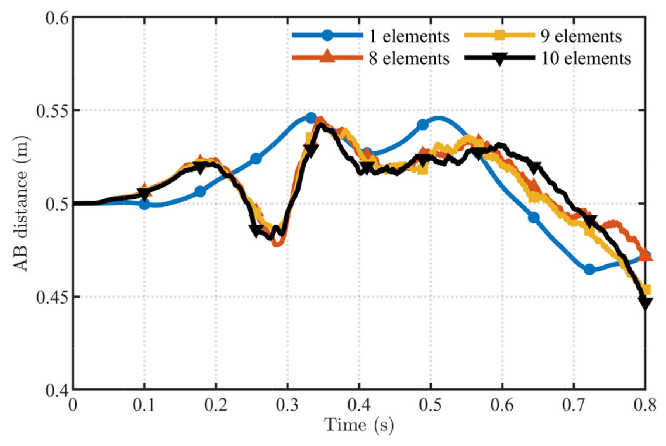
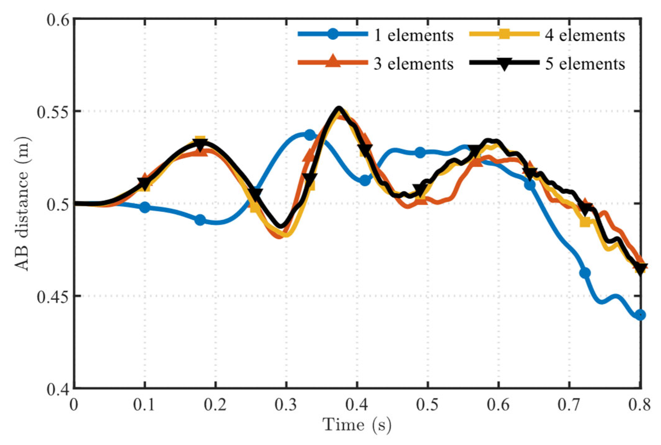
6.3. Free and Forced Vibration Analysis of an Elliptical-Arc Cable
7. Conclusions
Author Contributions
Funding
Data Availability Statement
Acknowledgments
Conflicts of Interest
References
- Shabana, A.A. An absolute nodal coordinates formulation for the large rotation and deformation analysis of flexible bodies. In Technical Report MBS96-1-UIC; University of Illinois at Chicago: Chicago, IL, USA, 1996. [Google Scholar]
- Shabana, A.A.; Hussien, H.A.; Escalona, J.L. Application of the absolute nodal coordinate formulation to large rotation and large deformation problems. J. Mech. Des. 1998, 120, 188–195. [Google Scholar] [CrossRef]
- Htun, T.Z.; Suzuki, H.; García-Vallejo, D. Dynamic modeling of a radially multilayered tether cable for a remotely-operated underwater vehicle (ROV) based on the absolute nodal coordinate formulation (ANCF). Mech. Mach. Theory 2020, 153, 103961. [Google Scholar] [CrossRef]
- Fan, B.; Wang, Z.M. Vibration analysis of radial tire using the 3D rotating hyperelastic composite REF based on ANCF. Appl. Math. Model. 2024, 126, 206–231. [Google Scholar] [CrossRef]
- Berzeri, M.; Shabana, A.A. Development of simple models for the elastic forces in the absolute nodal coordinate formulation. J. Sound Vib. 2000, 235, 539–565. [Google Scholar] [CrossRef]
- Sun, J.L.; Tian, Q.; Hu, H.Y. Advances in dynamic modeling and optimization of flexible multibody systems. Chin. J. Theor. Appl. Mech. 2019, 51, 1565–1586. [Google Scholar] [CrossRef]
- Mikkola, A.M.; Shabana, A.A. A non-incremental finite element procedure for the analysis of large deformation of plates and shells in mechanical system applications. Multibody Syst. Dyn. 2003, 9, 283–309. [Google Scholar] [CrossRef]
- Shabana, A.A.; Eldeeb, A.E. Motion and shape control of soft robots and materials. Nonlinear Dyn. 2021, 104, 165–189. [Google Scholar] [CrossRef]
- Li, H.Y.; Zhong, H.Z. Spatial weak form quadrature beam elements based on absolute nodal coordinate formulation. Mech. Mach. Theory 2023, 181, 105192. [Google Scholar] [CrossRef]
- Yuan, T.T.; Tang, L.L.; Liu, J.Y. Dynamic modeling and analysis for inflatable mechanisms considering adhesion and rolling frictional contact. Mech. Mach. Theory 2023, 184, 105295. [Google Scholar] [CrossRef]
- Yang, C.J.; Gong, Y.Z. An enhanced absolute nodal coordinate formulation for efficient modeling and analysis of long torsion-free cable structures. Appl. Math. Model. 2023, 123, 406–429. [Google Scholar] [CrossRef]
- Yamashita, H.; Sugiyama, H. Numerical convergence of finite element solutions of nonrational B-spline element and absolute nodal coordinate formulation. Nonlinear Dyn. 2012, 67, 177–189. [Google Scholar] [CrossRef]
- Mikkola, A.; Shabana, A.A.; Sanchez-Rebollo, C. Comparison between ANCF and B-spline surfaces. Multibody Syst. Dyn. 2013, 30, 119–138. [Google Scholar] [CrossRef]
- Nada, A.A. Use of B-spline surface to model large-deformation continuum plates: Procedure and applications. Nonlinear Dyn. 2013, 72, 243–263. [Google Scholar] [CrossRef]
- Shabana, A.A. Integration of computer-aided design and analysis: Application to multibody vehicle systems. Int. J. Veh. Perform. 2019, 3, 300–327. [Google Scholar] [CrossRef]
- Shabana, A.A. An overview of the ANCF approach, justifications for its use, implementation issues, and future research directions. Multibody Syst. Dyn. 2023, 58, 433–477. [Google Scholar] [CrossRef]
- Lan, P.; Shabana, A.A. Rational finite elements and flexible body dynamics. J. Vib. Acoust. 2010, 132, 041007. [Google Scholar] [CrossRef]
- Sanborn, G.G.; Shabana, A.A. A rational finite element method based on the absolute nodal coordinate formulation. Nonlinear Dyn. 2009, 58, 565–572. [Google Scholar] [CrossRef]
- Sanborn, G.G.; Shabana, A.A. On the integration of computer aided design and analysis using the finite element absolute nodal coordinate formulation. Multibody Syst. Dyn. 2009, 22, 181–197. [Google Scholar] [CrossRef]
- Zhang, W.S.; Liu, M.L. Construction method for circular arc elements in rational absolute nodal coordinate formulation. Mech. Mach. Theory 2024, 203, 105811. [Google Scholar] [CrossRef]
- Shabana, A.A. Continuum-based geometry/analysis approach for flexible and soft robotic systems. Soft Robot. 2018, 5, 613–621. [Google Scholar] [CrossRef]
- Li, L.; Guo, X.; Liu, Y.; Zhang, D.; Liao, W.H. Dynamic modeling of a fish tail actuated by IPMC actuator based on the absolute nodal coordinate formulation. Smart Mater. Struct. 2022, 31, 085003. [Google Scholar] [CrossRef]
- Yu, Z.Q.; Liu, Y.G.; Tinsley, B.; Shabana, A.A. Integration of geometry and analysis for vehicle system applications: Continuum-based leaf spring and tire assembly. J. Comput. Nonlinear Dyn. 2016, 11, 031011. [Google Scholar] [CrossRef]
- Li, Y.Y.; Wang, C.; Huang, W.H. Dynamics analysis of planar rigid-flexible coupling deployable solar array system with multiple revolute clearance joints. Mech. Syst. Signal Process. 2019, 117, 188–209. [Google Scholar] [CrossRef]
- Lim, J.; Chung, J. Dynamic analysis of a tethered satellite system for space debris capture. Nonlinear Dyn. 2018, 94, 2391–2408. [Google Scholar] [CrossRef]
- Tang, Y.; Guo, J.; Tian, Q.; Hu, H. Dynamic modeling of three-dimensional muscle wrapping based on absolute nodal coordinate formulation. Nonlinear Dyn. 2024, 112, 13073–13093. [Google Scholar] [CrossRef]
- Luo, K.; Tian, Q.; Hu, H. Dynamic modeling, simulation and design of smart membrane systems driven by soft actuators of multilayer dielectric elastomers. Nonlinear Dyn. 2020, 102, 1463–1483. [Google Scholar] [CrossRef]
- Yu, Z.; Lan, P.; Lu, N. A piecewise beam element based on absolute nodal coordinate formulation. Nonlinear Dyn. 2014, 77, 1–15. [Google Scholar] [CrossRef]
- Lan, P.; Yu, Z.Q.; Du, L.; Lu, N.L. Integration of non-uniform rational B-splines geometry and rational absolute nodal coordinates formulation finite element analysis. Acta Mech. Solida Sin. 2014, 27, 486–495. [Google Scholar] [CrossRef]
- Guo, K.; Zhang, D. A novel Bézier planar beam modeling method based on absolute nodal coordinate formulation. Appl. Math. Model. 2025, 141, 115922. [Google Scholar] [CrossRef]
- Yu, Z.Q.; Shabana, A.A. Mixed-coordinate ANCF rectangular plate finite element. J. Comput. Nonlinear Dyn. 2015, 10, 061003. [Google Scholar] [CrossRef]
- Pappalardo, C.M.; Yu, Z.Q.; Zhang, X.S.; Shabana, A.A. Rational ANCF thin plate finite element. J. Comput. Nonlinear Dyn. 2016, 11, 031003. [Google Scholar] [CrossRef]
- Ma, C.; Wei, C.; Sun, J.; Liu, B. Modeling method and application of rational finite element based on absolute nodal coordinate formulation. Acta Mech. Solida Sin. 2018, 31, 207–228. [Google Scholar] [CrossRef]
- Ma, L.; Wei, C.; Ma, C.; Zhao, Y. Modeling and verification of a RANCF fluid element based on cubic rational Bézier volume. J. Comput. Nonlinear Dyn. 2020, 15, 041005. [Google Scholar] [CrossRef]
- Ding, Z.S.; Ouyang, B. A variable-length rational finite element based on the absolute nodal coordinate formulation. Machines 2022, 10, 174. [Google Scholar] [CrossRef]
- Gerstmayr, J.; Sugiyama, H.; Mikkola, A. Review on the absolute nodal coordinate formulation for large deformation analysis of multibody systems. J. Comput. Nonlinear Dyn. 2013, 8, 031016. [Google Scholar] [CrossRef]
- Chang, H.J.; Liu, C.; Tian, Q.; Hu, H.Y. Three new triangular shell elements of ANCF represented by Bézier triangles. Multibody Syst. Dyn. 2015, 35, 321–351. [Google Scholar] [CrossRef]
- Otsuka, K.; Makihara, K.; Sugiyama, H. Recent advances in the absolute nodal coordinate formulation: Literature review from 2012 to 2020. J. Comput. Nonlinear Dyn. 2022, 17, 080803. [Google Scholar] [CrossRef]
- Shabana, A.A. Definition of ANCF finite elements. J. Comput. Nonlinear Dynam. 2015, 10, 054506. [Google Scholar] [CrossRef]
- Ma, C.; Wang, R.; Wei, C.; Zhao, Y. A new absolute nodal coordinate formulation of solid element with continuity condition and viscosity model. Int. J. Simul. Syst. Sci. Technol. 2016, 17, 10.1–10.6. [Google Scholar] [CrossRef]
- Shabana, A.A.; Hamed, A.M.; Mohamed, A.N.A. Use of B-spline in the finite element analysis: Comparison with ANCF geometry. J. Comput. Nonlinear Dyn. 2012, 7, 011008. [Google Scholar] [CrossRef]
- Shi, M.; Liu, M.; Liu, Y.; Lan, P. Subdivision method for rational ANCF circular elements. Sci. Rep. 2025, 15, 21872. [Google Scholar] [CrossRef]
- Hughes, T.J.R.; Cottrell, J.A. Isogeometric analysis: CAD, finite elements, NURBS, exact geometry and mesh refinement. Comput. Methods Appl. Mech. Eng. 2005, 194, 4135–4195. [Google Scholar] [CrossRef]
- Buffa, A.; Gantner, G.; Giannelli, C.; Praetorius, D. Mathematical foundations of adaptive isogeometric analysis. Arch. Comput. Methods Eng. 2022, 29, 4479–4555. [Google Scholar] [CrossRef]
- Montanari, M.; Santi, G.M.; Sevilla, R.; Liverani, A.; Petrinic, N. NURBS-enhanced finite element method (NEFEM) on quadrilateral meshes. Finite Elem. Anal. Des. 2024, 231, 104099. [Google Scholar] [CrossRef]
- Chávez-Pichardo, M.; López-Barrientos, J.D.; Perea-Flores, S. Scrutinizing the General Conic Equation. Mathematics 2025, 13, 1428. [Google Scholar] [CrossRef]































Disclaimer/Publisher’s Note: The statements, opinions and data contained in all publications are solely those of the individual author(s) and contributor(s) and not of MDPI and/or the editor(s). MDPI and/or the editor(s) disclaim responsibility for any injury to people or property resulting from any ideas, methods, instructions or products referred to in the content. |
© 2025 by the authors. Licensee MDPI, Basel, Switzerland. This article is an open access article distributed under the terms and conditions of the Creative Commons Attribution (CC BY) license (https://creativecommons.org/licenses/by/4.0/).
Share and Cite
Liu, Y.; Shi, M.; Liu, M.; Lan, P. Conic Section Elements Based on the Rational Absolute Nodal Coordinate Formulation. Mathematics 2025, 13, 3951. https://doi.org/10.3390/math13243951
Liu Y, Shi M, Liu M, Lan P. Conic Section Elements Based on the Rational Absolute Nodal Coordinate Formulation. Mathematics. 2025; 13(24):3951. https://doi.org/10.3390/math13243951
Chicago/Turabian StyleLiu, Yaxiong, Manyu Shi, Manlan Liu, and Peng Lan. 2025. "Conic Section Elements Based on the Rational Absolute Nodal Coordinate Formulation" Mathematics 13, no. 24: 3951. https://doi.org/10.3390/math13243951
APA StyleLiu, Y., Shi, M., Liu, M., & Lan, P. (2025). Conic Section Elements Based on the Rational Absolute Nodal Coordinate Formulation. Mathematics, 13(24), 3951. https://doi.org/10.3390/math13243951
