Next Article in Journal
Bayesian Prony Modal Identification and Hierarchical Control Strategy for Low-Frequency Oscillation of Ship Microgrid
Previous Article in Journal
Proactive Power Compensation Strategy of Pulsed Load for Transient Ride-Through of Ship Microgrid
 
 
Font Type:
Arial Georgia Verdana
Font Size:
Aa Aa Aa
Line Spacing:
Column Width:
Background:
Article

RCS Prediction for Flexible Targets with Uncertain Shape Based on CNN-LSTM

by
Huimin Zhang
,
Jiqin Huang
and
Ying Zhao
*
College of Computer and Information Engineering (College of Artificial Intelligence), Nanjing Tech University, Nanjing 211816, China
*
Author to whom correspondence should be addressed.
Electronics 2025, 14(23), 4668; https://doi.org/10.3390/electronics14234668
Submission received: 4 November 2025 / Revised: 24 November 2025 / Accepted: 25 November 2025 / Published: 27 November 2025

Abstract

Traditional radar cross-section (RCS) prediction methods struggle with dynamically uncertain shapes of flexible targets, because they cannot disentangle intrinsic geometry from transient deformation, leading to degraded accuracy and prohibitive computational cost. To bridge this gap, we propose a dual-branch deep learning architecture that explicitly separates static geometric features from dynamic deformation characteristics, suppressing deformation noise in target identity representation. Training data are generated by coupling non-uniform rational B-spline (NURBS) parametric modeling with computational electromagnetics. The dynamic branch employs a one-dimensional convolutional neural network-long short-term memory-Transformer (1D-CNN-LSTM-Transformer) to extract temporal deformation features, while the static branch encodes baseline geometry via fully connected layers; their fused outputs deliver high-fidelity RCS predictions. Trained and tested on 1000 deformed metasurface samples, the proposed method achieves mean squared error (MSE) = 0.0541, root mean squared error (RMSE) = 0.2326 and coefficient of determination (R2) = 0.9997. The results demonstrate end-to-end accurate prediction under shape uncertainty, extending RCS modeling for flexible targets beyond recent studies that focus on static scenarios, and offering a reliable tool for flexible stealth design and high-resolution radar target recognition.

1. Introduction

A target’s Radar Cross Section (RCS) is a defining property that represents its capacity to scatter incident radar energy. This value directly dictates a radar system’s ability to identify the target, with a higher RCS correlating to lower detection difficulty. In modern military technology, RCS prediction is crucial for designing stealthy aircraft and ships. A dramatically reduced radar cross-section (RCS) is the cornerstone of the stealth technology employed by the F-22, F-35, and B-2 bomber, helping evade enemy radar and boost battlefield survivability [1,2]. A study optimizing advanced Unmanned Aerial Vehicle (UAV) design through deep learning-based surrogate models also highlights the significance of RCS in military applications. Describing radar flexible targets—which refer to objects with dynamic geometric uncertainties, such as deformable metasurfaces whose shapes are governed by control points—with a fixed RCS is difficult, as shown in Figure 1 as RCS varies depending on factors like incident angle, frequency, polarization, and materials [3,4].
Within the domain of computational electromagnetics, techniques are broadly categorized by their operational frequency range. Approaches designed for the low-frequency regime, including the Finite-Difference Time-Domain (FDTD) technique [5,6], such as its application in modeling the effect of switched gradients on the human body in Magnetic Resonance Imaging (MRI) [7], the Finite Element Method (FEM) [8], and the Method of Moments (MoM) [9], are generally recognized for providing solutions of high fidelity. However, they become computationally expensive when applied to electrically large flexible targets, posing challenges in practical applications. When modeling intricate, flexible structures, high-frequency asymptotic methods prove effective. Notable techniques for these applications include Gaussian Beam (GB) [10,11], Shooting and Bouncing Ray (SBR) [12,13], and Iterative Physical Optics (IPO) [14]. While these methods are faster than low-frequency methods, they face limitations when simulating complex boundaries and can still be time-consuming. Recent improvements include an SBR method based on a blend-tree for the EM scattering of multiple moving targets and enhanced ray-tracing algorithms for electrically large targets [15]. The computational efficiency of such methods can be further boosted through hardware acceleration, such as Graphics Processing Unit (GPU) implementation [16].
In the field of RCS prediction, theoretical calculations, simulation experiments, or experimental measurements are commonly used to evaluate the RCS of flexible targets and verify the effectiveness of optimized designs. The accurate prediction and control of RCS for such targets are fundamentally linked to the manipulation and characterization of their electromagnetic properties. Recent advances in two key areas are particularly relevant: first, in the active control of scattering behavior, where devices like flexible multifunctional active frequency selective surfaces demonstrate dynamic electromagnetic switching and polarization selection on conformal surfaces [17], directly illustrating the tunable scattering characteristics that prediction methods must capture; and second, in high-fidelity scattering characterization, where advanced signal processing techniques such as efficient near-field radar microwave imaging leverage low-rank and structured sparsity constraints to achieve precise imaging and parameter estimation under low Signal-to-Noise Ratio (SNR) conditions [18]. These developments underscore the critical need for RCS prediction tools that can model such complex, variable electromagnetic interactions [19]. Complementary to this, studies combining artificial plasma cloud technology with electromagnetic theory have explored RCS reduction for UAV swarms [20], while other techniques like radar-absorbing materials and target shape design remain foundational for RCS control. Beyond scattering analysis, NURBS surface modeling technology, combined with electromagnetic theory, has been used to calculate RCS, leveraging its flexibility and precision for accurate simulation [21]. However, these high-fidelity methods often face challenges of high computational complexity and long calculation times when dealing with electrically large and complex-shaped flexible targets. To address efficiency, various techniques have been developed, including efficient interpolation techniques [22], the Prony method for military aircraft models in high-frequency bands [23], and adaptive design-based Gaussian process methods for efficient RCS modeling [24]. Furthermore, significant research focuses on near-field to far-field RCS prediction, utilizing methods like regression estimation for isotropic-point scattering targets [25], amplitude estimation based on the state space method [26], and correction optimization techniques [27]. Novel electromagnetic-based radar propagation models are also being developed for applications like vehicular sensing [28] and fine-grained human sensing [29]. Diagnostic imaging of RCS using parameter extraction techniques of the state space method further enriches the analytical toolkit [30].
The accelerated advancement of artificial intelligence has introduced novel methodologies for the prediction of Radar Cross Section (RCS). Convolutional Neural Networks (CNNs), for instance, have demonstrated considerable efficacy in tasks related to image analysis [31]. Meanwhile, Long Short-Term Memory (LSTM) networks, including Bi-LSTM for RCS statistical feature extraction for space target recognition [32], are particularly well-suited for handling sequential and temporal data [33]. Furthermore, Transformer-based models utilize self-attention mechanisms to effectively model extended contextual relationships within data sequences [34,35]. These technological developments collectively offer enhanced capabilities for accurate RCS estimation. A Frequency-Modulated Continuous-Wave (FMCW) radar system based on self-attention mechanisms has been constructed to capture long-range dependencies in radar signals [36]. By capturing the spatiotemporal features of RCS sequences, high-precision recognition of space flexible targets has been achieved, providing important inspiration for the further development of RCS prediction [37]. Reference [38] combined physical models with machine learning algorithms to optimize the experimental design process, significantly improving the efficiency and accuracy of RCS prediction for flexible metasurface targets. Deep learning-based data-driven approaches have also been integrated with model-based methods for inverse synthetic aperture radar target recognition [39]. Reference [40] used machine learning models to learn the mapping relationship from target geometry or electromagnetic parameters to RCS, replacing numerical simulations in traditional computational electromagnetics. This method maintains high prediction accuracy while significantly reducing computation time. Reference [41] employed a machine learning framework based on decision trees to estimate the RCS values for complex flexible targets. The original training data were generated through simulations using the shooting and bouncing ray (SBR) technique. This machine learning-based prediction approach demonstrated satisfactory predictive performance, effectively mitigating the challenges associated with the substantial computational time and expense inherent in conventional RCS calculation methods.
This research innovatively proposes a hybrid deep learning architecture that combines Transformer encoders, CNNs, and LSTMs to accurately and efficiently predict the RCS of flexible targets with uncertain shapes. In the data preprocessing stage, feature engineering was carefully designed, introducing features such as periodicity, second-order regional enhancement, and mutation regional enhancement, which greatly enhance data expressiveness. Deep learning, with its superior data mining and pattern recognition capabilities, offers a new path to solving complex RCS prediction problems. Its advantages in automatic feature extraction and mapping relationship construction are significant. By harnessing the complementary advantages of NURBS surface modeling, this combined approach promises to achieve higher levels of both computational expediency and predictive accuracy in RCS estimation for flexible targets.
Furthermore, the proposed methodology demonstrates significant potential for application beyond its immediate scope, particularly in high-resolution High-Frequency Surface Wave Radar (HFSWR) systems for maritime target detection [42,43]. Accurately modeling the RCS of dynamic targets, such as small vessels, under varying sea conditions could greatly enhance the performance evaluation and target recognition capabilities of these advanced radar systems.
The structure of this paper is organized as follows: Section 2 presents the NURBS surface modeling and shape parameterization; Section 3 elucidates the electromagnetic parameter extraction for flexible targets based on RWG basis functions; Section 4 proposes the hybrid CNN-LSTM-Transformer network architecture; Section 5 provides the training strategy and evaluation metrics; Section 6 validates the method’s accuracy through two numerical examples of flexible metasurfaces; and Section 7 concludes the paper and outlines future research directions.

2. NURBS-Based TDS Method

The mathematical characterization of a NURBS surface is fundamentally dependent upon the underlying B-spline basis functions. Generally, the standard computational approach for generating B-splines is attributed to the recursive formulation developed by DeBoor and Cox [44,45]. Within this framework, let U = u 0 , u 1 , , u m represent an ordered set of real numbers, which constitutes the knot vector. The terms u i and U refer to specific knots within this sequence. Furthermore, let N i , p ( u ) symbolize the i -th normalized B-spline basis function of p -th degree. The mathematical representation of this function, denoted as N i , p ( u ) , is as follows (1):
N i , 0 u = 1 u i u u i + 1 0 o t h e r w i s e N i , p u = u u i u i + p u i N i , p 1 u + u i + p + 1 u u i + p + 1 u i + 1 N i + 1 , p 1 u ,
NURBS surfaces can be shaped using a bivariate piecewise rational function controlled by multiple control points. The position of any point on the surface can be represented utilizing a coordinate system:
S ( u , v ) = i = 0 U j = 0 V w i j N i , p ( u ) N j , q ( v ) P i j i = 0 U j = 0 V w i j N i , p ( u ) N j , q ( v ) ,
In the u and v directions, the quantities of control points are specified by the parameters U and V , respectively. The associated polynomial degrees are designated as p for the u direction and q for the v direction. The spatial coordinates of each control point along the x , y , and z axes are defined by the set P i j = [ P i j x , P i j y , P i j z ] , while the term w i j refers to their respective weighting coefficients. The B-spline basis function of p-th degree in the u-direction, represented as N i , p ( u ) , is computationally derived through the recursive Cox-DeBoor algorithm. This algorithm operates on a predefined knot vector U = [ u 0 , u 1 , , u m u ] , where the maximum knot index m u is related to the number of control points n u and the degree p by the equation m u = n u + p + 1 . Similarly, the basis function in the v -direction, N j , q ( v ) , is obtained from its knot vector V = [ v 0 , v 1 , , v m v ] with m v = n v + q + 1 . Consequently, the bivariate rational basis function is given by:
R i j ( u , v ) = w i , j N i , p ( u ) N j , q ( v ) k = 0 n u l = 0 m v w k , l N k , p ( u ) N l , q ( v ) ,
NURBS surface utilizes a specific mathematical framework to define the precise location of any point residing upon it.
S ( u , v ) = i = 0 u j = 0 v R i , j ( u , v ) P i , j ,
From Equation (1), to compute the value of the i -th P degree B-spline basis function N i , p ( u ) , it is necessary to know the u i , u i + 1 , , u i + p + 1 nodes P + 2 . In the definition of B-spline basis functions, at any position U in the u [ u i , u i + 1 ] direction, there are at most P + 1 non-zero P degree B-spline functions N t , p ( u ) , t = i p , , i . Other P degree B-splines are zero at that point. This indicates that, if a control point P i j of the NURBS surface is moved along the U direction, the change in the object’s shape will only manifest on the surface within the defining interval [ u i , u i + 1 ] , while other parts of the surface remain unaffected. The same applies when control points are moved along the V direction. This is a special property of NURBS surfaces, namely that moving the coordinates of a control point only changes the shape of the surface around that control point but does not cause the entire object to change; this is the local modification property of NURBS surfaces.

3. Parameter Extraction for Flexible Targets with Shape Uncertainty

Set the position coordinates of the control points as the shape vector α = [ α 1 , α 2 , , α t , ] ( t is the number of elements in the shape vector), meaning the uncertainty of the flexible target’s geometric shape is described by the shape vector α .
The position vector of any point residing on NURBS surface is defined by its respective parametric coordinates:
S x = i = 0 U j = 0 V R i , j P i j x S y = i = 0 U j = 0 V R i , j P i j y S z = i = 0 U j = 0 V R i , j P i j z ,
To integrate NURBS with the MoM program, Rao–Wilton–Glisson (RWG) basis functions are placed on the NURBS surface. The coordinates of each triangular vertex are represented by the coordinates of the corresponding NURBS control points. Furthermore, the geometric information of the RWG basis function f n ( r ) can be expressed using the shape vector α :
f n ( r ) = l n ( α ) 2 A n + ( α ) ρ n + ( α ) , r T n + l n ( α ) 2 A n ( α ) ρ n ( α ) , r T n 0 ,       r other ,
Within the context of this formulation, l n ( α ) denotes the length of the shared edge between neighboring triangles. Meanwhile, A n + ( α ) and A n ( α ) correspond to the respective areas of triangles T n and T n + . Furthermore, ρ n + represents the vector connecting a vertex of triangle T n + to a field point on that triangle, whereas ρ n signifies the vector extending from a field point on triangle T n to its respective vertex. Combining with the principle of MoM, after discretizing the integral equation using RWG basis functions incorporating the shape vector α , the MoM matrix equation can be regarded as a functional equation with respect to the shape vector α , as shown in Equation (7):
Z ( α ) x ( α ) = b ( α ) ,
where Z ( α ) and b ( α ) are the impedance matrix and the right-hand side vector, respectively, both dependent on the shape vector α ; x ( α ) is the current dependent on the shape vector α .
Figure 2 illustrates the integrated workflow encompassing NURBS surface modeling, mesh discretization, RWG basis function definition, and final MoM matrix formulation.

4. Hybrid CNN-LSTM Architecture for RCS Prediction of Canonical Flexible Targets

This paper presents a hybrid deep learning model using 1D-CNN and LSTM to estimate flexible target RCS, mean, and standard deviation. Dynamic features captured by 1D-CNN are modeled with LSTM and enhanced by a Transformer encoder. Static features extracted by dense layers are extended to the time dimension via a Repeat Vector layer, which replicates the static feature vector across all time steps to match the temporal length of the dynamic sequence. This operation is crucial for feature fusion, as it transforms the static, non-sequential feature vector into a sequence of identical vectors. This allows it to be concatenated, on a per-time-step basis, with the dynamic feature sequence output by the LSTM-Transformer pathway, ensuring dimensional compatibility for subsequent processing. Finally, these features are concatenated and processed through dense and dropout layers, with results output by a Time Distributed (Dense (1)) layer. The overall architecture is shown in Figure 3.

4.1. D-CNN-Based Local Feature Extraction

A one-dimensional CNN architecture is employed to process the RCS data sequences, serving as a potent local pattern extractor. The sliding operation of convolutional kernels along the sequence allows the model to capture intricate local fluctuations. The first convolutional layer utilizes a kernel size of 3, which was identified as optimal through an ablation study in Table 1. This configuration strikes a balance between receptive field size and feature granularity. As evidenced in Table 1, smaller kernels (e.g., size 1) preserve high-frequency details but suffer from a limited receptive field, failing to capture broader contextual patterns, which results in a higher MSE. Conversely, larger kernels (e.g., size 5 or 7) incorporate broader context at the expense of blurring subtle local fluctuations, leading to diminished local sensitivity and a subsequent increase in prediction error. Furthermore, larger kernels increase computational overhead, as reflected in the longer training time per epoch. Therefore, a kernel size of 3 provides an optimal trade-off, effectively capturing both local details and intermediate-range dependencies without compromising computational efficiency.
The convolution operation is formulated mathematically by the following expression:
Z t = σ K 1 K = 0 W k · X t + k + b ,
where the term X is defined as the sequence of data provided to the system, Wk denotes the weights of the k-th convolutional kernel, b is the bias term, and σ refers to the Rectified Linear Unit (ReLU) activation function. Multiple convolutional kernels work in parallel, with each kernel extracting specific feature patterns from the input sequence to form feature maps.
This study employs a multi-layer convolutional structure, where the first layer utilizes smaller convolutional kernels to capture subtle local fluctuations, while subsequent layers adopt larger kernels to extract broader patterns. To expedite convergence and improve regularization, the network architecture sequentially employs Layer Normalization following convolutional layers and integrates Dropout during training. The CNN module ultimately outputs a high-dimensional sequence rich in local feature information, providing foundational feature representations for the subsequent LSTM and Transformer modules.

4.2. LSTM-Based Temporal Dependency Modeling

The feature sequences extracted by CNN are fed into the LSTM layer. RCS sequences are essentially a function of angle Theta, with significant long-term dependency and periodicity. LSTM sophisticated gate mechanism addresses vanishing/exploding gradient issues, enabling selective memory and information discard.
The LSTM is structurally organized around three principal gating mechanisms, which serve distinct regulatory functions: the gate controlling information retention, the gate governing the incorporation of new data, and the gate responsible for determining the final output. The mathematical representation is as follows:
The forget gate modulates the extent to which historical information is preserved within the unit:
f t = σ W f h t 1 , x t + b f ,
The assimilation of novel information into the state is governed by the input gate:
i t = σ W i h t 1 , x t + b i C ˜ t = tanh W C h t 1 , x t + b C ,
Modification of the cellular state is documented as follows:
C t = f t C t 1 + i t C ˜ t ,
The function of the output gate is to govern the extent to which the current hidden state is propagated forward:
o t = σ W O h t 1 , x t + b o h t = o t tanh C t ,
In this research, a bidirectional LSTM architecture is adopted. By analyzing input sequences concurrently in both temporal directions, forward and reverse, the model captures richer contextual dependencies at every time step. Consequently, the framework achieves a substantial improvement in discerning overall trends and cyclical characteristics within the RCS sequences, leading to more reliable forecasting outcomes.

4.3. The Self-Attention Component Within the Transformer Architecture

The self-attention mechanism integral to the Transformer encoder architecture permits direct interaction between any two elements within a sequence. This structural feature facilitates the modeling of long-range dependencies in RCS sequences, thereby overcoming constraints inherent in conventional recurrent neural networks (RNNs), wherein information is processed incrementally and long-distance contextual relationships may be inadequately captured. The calculation process of the self-attention mechanism is as follows:
This process defines the transformation of the input into distinct query, key, and value representations:
Q = X W Q , K = X W K , V = X W V ,
the attention scores are obtained through a linear transformation using a learnable parameter matrix, designated W Q , W K , W V :
A t t e n t i o n ( Q , K , V ) = s o f t max ( Q K T d k ) V ,
the parameter d k denotes the dimensionality of the key vectors, which is used to scale the dot product to stabilize gradients. The present study implements a mechanism of multi-head attention. This design facilitates the simultaneous execution of the described operation h times, in parallel:
M u l y i H e a d ( Q , K , V ) = C o n c a t ( h e a d 1 , , h e a d h ) W o ,
Among which,
h e a d i = A t t e n t i o n ( Q W Q ( i ) , K W K ( i ) , V W V ( i ) ) ,
Within the multi-head attention framework, computation is distributed across several heads, with each one operating on a specific subspace of the representation to capture unique relational patterns among features, thereby enhancing the model’s expressive power. In this paper, the Transformer encoder is responsible for integrating features extracted by CNN and LSTM, establishing global feature dependencies, making it particularly well-suited for capturing long-range dependencies between distant angles in RCS sequences.

5. Model Architecture and Evaluation for RCS Prediction of Flexible Targets with Uncertain Shape

The core research of this paper is a hybrid architecture that combines CNN, LSTM, and Transformers. The design leverages the complementary strengths of each network: convolutional operations for localized feature detection, recurrent LSTM units for modeling temporal sequences, and attention-based Transformers for encoding global context. This integration aims to achieve a more holistic and powerful feature representation from complex datasets. Static features are mapped to a high-dimensional space via a fully connected network and fused with dynamic features through cross-modal fusion. To generate the predictions for RCS, including estimates of their mean and standard deviation, the ultimate layer of the network applies a linear projection to the consolidated feature set.
In the assessment of predictive model performance, several numerical indicators are frequently utilized, such as Mean Squared Error (MSE), Root Mean Squared Error (RMSE), and the Coefficient of Determination (R2). The MSE measures the average squared difference between predictions and actual observations, which is mathematically expressed as follows:
M S E = 1 N n = 1 N ( y n y ^ n ) 2 ,
the terms are defined as follows: y n signifies the ground truth, y ^ n is the model’s output, and N signifies the total number of observations in the dataset. RMSE is defined as the square root of MSE. This computation serves to recalibrate the measure of predictive deviation, aligning its dimensional units with those of the initial observations, which ensures dimensional homogeneity for the purpose of interpretation. Its formula is:
R M S E = M S E = 1 N n = 1 N ( y n y ^ n ) 2 ,
The statistic R2 reflects the fraction of data variability explained by the model. A value approximating 1.0 corresponds to a better-fitting model. Its calculation formula is:
R 2 = 1 n 1 N ( y n y ^ n ) 2 n 1 N ( y n y ¯ ) 2 ,
herein, the symbol y ¯ denotes the population mean. These quantitative benchmarks offer an objective evaluation of the model’s predictive precision and stability concerning flexible objects with shape uncertainty. The resulting analysis forms a critical foundation for subsequent optimization and refinement efforts.

6. Numerical Analysis of Examples

The method’s accuracy was verified through two examples. The RCS results from 1000 deformed instances served as the datasets, split into training (70%) and testing (30%) subsets. Figure 4 illustrates that, as epochs increased, both training and validation losses decreased and stabilized in tandem, signaling successful model training without overfitting.

6.1. Numerical Example 1

Using NURBS surface modeling technology, a flexible metasurface was constructed with dimensions: the first layer consists of two perpendicular cross-shaped patches measuring 0.18 m × 0.04 m each, made of copper; the second layer is a PDMS substrate measuring 0.2 m × 0.2 m, with a thickness of 0.00005 m, relative permittivity of 2.5, and conductivity of 0.03. The frequency is 300 MHz, arranged in a 3 × 10 array.
The flexible metasurface model was randomly deformed 1000 times within the Z-axis coordinate range of (0, 0.05). One of the deformed flexible metasurfaces is shown in Figure 5.
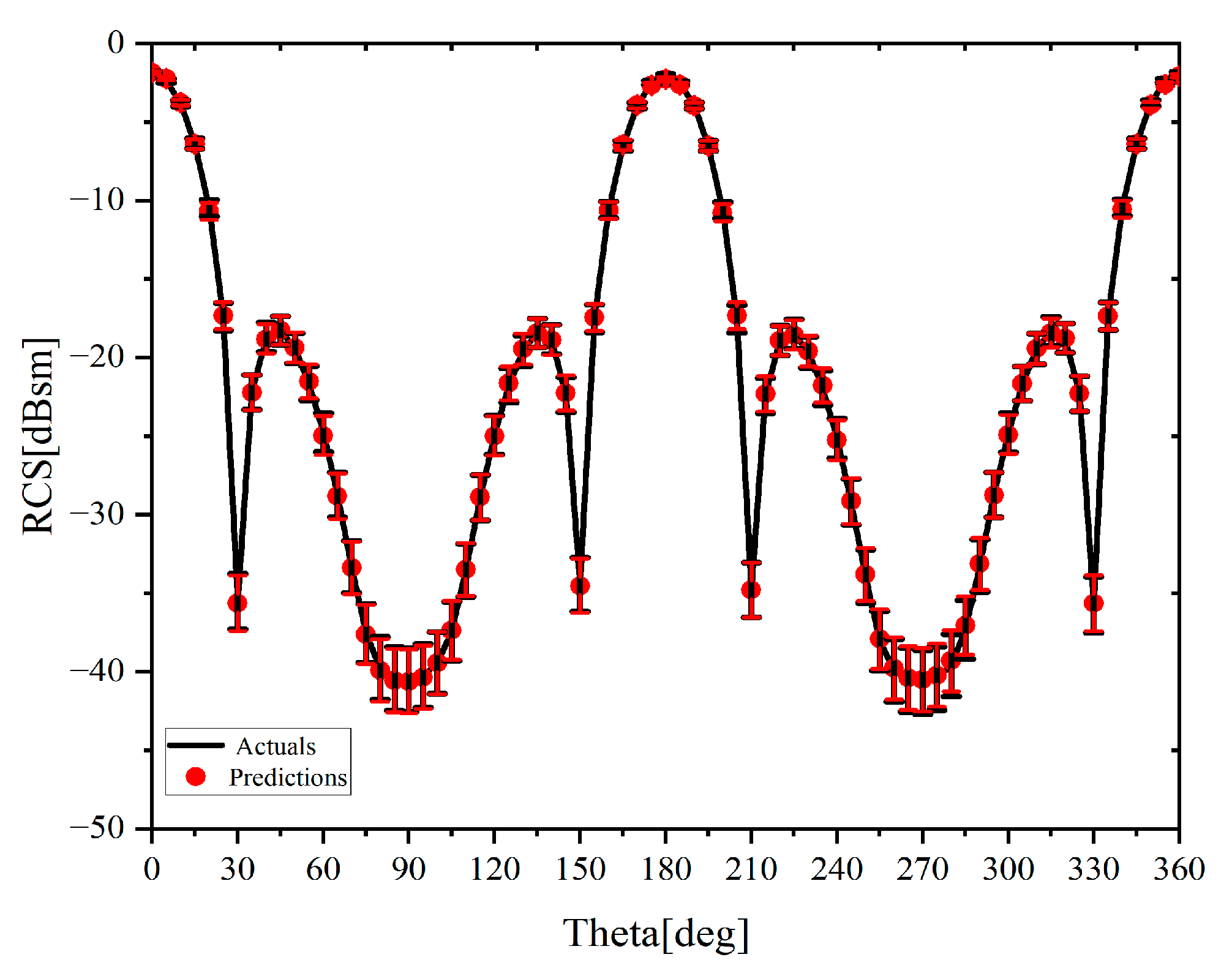
Figure 6 shows the mean and standard deviation of the RCS sequences under different angles obtained after running all files in the test set of this method. The predicted results exhibit high consistency with the true results.
In Table 2, the MSE and RMSE are relatively low, and the R2 is close to 1. The analysis of model performance indicates that the relative error is significantly low, merely 0.2761%. This confirms the high prediction accuracy of the model, indicating that the predicted values are highly consistent with the true values.

6.2. Numerical Example 2

The flexible metasurface model has the following dimensions: The first layer consists of two square annular patches made of graphene with a thickness of 0.00005 m. Each patch forms a rectangle of 0.08 m × 0.16 m with a rectangular cutout of 0.04 m × 0.12 m. The second layer is a PDMS substrate with a size of 0.2 m × 0.2 m × 0.005 m, a relative permittivity of 2.5, and a conductivity of 0.03. The model operates at a frequency of 300 MHz and is arranged in a 6 × 4 array. It underwent 1000 random deformations within the Z-axis range of (−0.02, 0.02). One deformed state of the flexible metasurface is shown in Figure 7.
Figure 8 shows the mean and standard deviation of the RCS sequences under different angles obtained after running all files in the test set of this method. The predicted results exhibit high consistency with the true results.
In Table 3, the MSE and RMSE are relatively low, and the R2 is close to 1. The analysis of model performance indicates that the relative error is significantly low, merely 0.2692%. This confirms the high prediction accuracy of the model, indicating that the predicted values are highly consistent with the true values. In summary, the model shows high prediction accuracy and strong reliability, and it is applicable to various flexible metasurfaces.

7. Conclusions

This paper innovatively combines NURBS surface modeling with deep learning. NURBS surfaces can accurately characterize the flexible target’s geometric shape, and using control points to define geometric deformations provides freedom for the design and optimization of the electromagnetic properties of thin dielectric sheets (TDSs). Building upon this, the architecture integrates Transformer encoders, CNNs, and LSTM, combined with refined feature engineering and data augmentation strategies. This effectively addresses problems such as high computational resource consumption and insufficient prediction accuracy encountered by traditional methods in predicting RCS under multidimensional uncertain parameters. Through rigorous numerical assessments, the proposed algorithm has demonstrated outstanding precision and operational efficiency. The method’s consistent outperformance in benchmark comparisons confirms its suitability as a superior and reliable tool for forecasting RCS in practical operational scenarios.
While the proposed method demonstrates high accuracy and efficiency in offline prediction, its practical deployment opens several avenues for future work. The model’s parallelized architecture and optimized kernel design show strong potential for near-real-time inference on specialized hardware (e.g., GPUs), a critical step for operational systems. To transition from laboratory simulation to real-world application, future research must address environmental factors, particularly the impact of varying weather conditions (e.g., rain, fog) on RCS propagation and clutter, which are not accounted for in the current ideal simulation. Systematically, our future efforts will focus on three directions: (1) extending the framework to model moving targets by integrating dynamic parameters like Doppler effects and pose variations; (2) enhancing environmental robustness by incorporating weather and clutter models into the training data; and (3) validating the model’s performance within practical systems, such as high-resolution HFSWR for maritime surveillance, and developing lightweight variants for embedded deployment.

Author Contributions

H.Z.: Conceptualization, Methodology, Software, Data Curation, Writing—Original Draft. J.H.: Validation, Formal Analysis, Investigation, Resources, Writing—Review & Editing. Y.Z.: Supervision, Project Administration, Funding Acquisition, Writing—Review & Editing, Final Approval. All authors have read and agreed to the published version of the manuscript.

Funding

This work was supported by the National Natural Science Foundation of China under Grant 62201250, the State Key Laboratory of Millimeter Waves under Grant K202320 and the Natural Science Research of Jiangsu Higher Education Institutions of China under Grant 22KJB510025.

Data Availability Statement

The data that support the findings of this study are available from the corresponding author upon reasonable request.

Conflicts of Interest

The authors declare no conflicts of interest.

References

  1. Divyalakshmi, A.; Bhuvana, A.; Babu, G.V. Analysis of Radar Cross Section and Detection. Int. J. Pure Appl. Math. 2018, 119, 469–477. [Google Scholar]
  2. Semkin, V.; Haarla, J.; Pairon, T. Analyzing Radar Cross Section Signatures of Diverse Drone Models at mmWave Frequencies. IEEE Access 2020, 8, 48958–48969. [Google Scholar] [CrossRef]
  3. Karali, H.; Inalhan, G.; Tsourdos, A. Advanced UAV Design Optimization through Deep Learning-Based Surrogate Models. Aerospace 2024, 11, 669. [Google Scholar] [CrossRef]
  4. Guerra, A.; Dardari, D.; Djurić, P.M. Dynamic Radar Network of UAVs: A Joint Navigation and Tracking Approach. IEEE Access 2020, 8, 116454–116469. [Google Scholar] [CrossRef]
  5. Graf, J.; Baxter, J.; Sharma, S.; Kusminskiy, S.V.; Ramunno, L. A Finite-Difference Time-Domain Approach for Dispersive Magnetic Media. arXiv 2023, arXiv:2305.03770. [Google Scholar]
  6. Teixeira, F.L.; Sarris, C.; Zhang, Y.; Na, D.Y.; Berenger, J.P.; Su, Y.; Okoniewski, M.; Chew, W.C.; Backman, V.; Simpson, J.J. Finite-Difference Time-Domain Methods. Nat. Rev. Methods Primers 2023, 3, 75. [Google Scholar] [CrossRef]
  7. Zhao, H.; Crozier, S.; Liu, F. Finite Difference Time Domain (FDTD) Method for Modeling the Effect of Switched Gradients on the Human Body in MRI. Magn. Reson. Med. 2002, 48, 1037–1042. [Google Scholar] [CrossRef] [PubMed]
  8. Dular, P.; Péron, V.; Perrussel, R.; Krähenbühl, L.; Geuzaine, C. Perfect Conductor and Impedance Boundary Condition Corrections via a Finite Element Sub-problem Method. IEEE Trans. Magn. 2014, 50, 29–32. [Google Scholar] [CrossRef]
  9. Kalantari, M.; Sadeghi, S.H.H. An Efficient Surface Integral Equation-Method of Moments for Analysis of Electromagnetic Shielding Effectiveness of a Perforated Isotropic and Lossy Enclosure. IEEE Trans. Electromagn. Compat. 2024, 66, 789–799. [Google Scholar] [CrossRef]
  10. Wang, G.; Webb, J.F. Calculation of Electromagnetic Field Components for a Fundamental Gaussian Beam. Phys. Rev. E 2005, 72, 046501. [Google Scholar] [CrossRef]
  11. Pavković, S.; Zhou, S.; González-Ovejero, D.; Pavone, S.C.; Grbic, A.; Ettorre, M. Bessel–Gauss Beam Launchers for Wireless Power Transfer. IEEE Open J. Antennas Propag. 2021, 2, 654–663. [Google Scholar] [CrossRef]
  12. Kirik, Ö.; Özdemir, C. Accelerating the Shooting and Bouncing Ray Based Electromagnetic Scattering Calculations via CPU and GPU Implementations: Application to PREDICS Tool. Adv. Eng. Softw. 2024, 193, 103649. [Google Scholar] [CrossRef]
  13. Meng, W.; Li, J.; Xi, Y.J.; Guo, L.X.; Li, Z.H.; Wen, S.K. An Improved Shooting and Bouncing Ray Method Based on Blend-Tree for EM Scattering of Multiple Moving Targets and Echo Analysis. IEEE Trans. Antennas Propag. 2024, 72, 2723–2737. [Google Scholar] [CrossRef]
  14. Shah, M.A.; Tokgöz, Ç.; Salau, B.A. Radar Cross Section Prediction Using Iterative Physical Optics with Physical Theory of Diffraction. IEEE Trans. Antennas Propag. 2022, 70, 4683–4690. [Google Scholar] [CrossRef]
  15. Feng, T.T.; Guo, L.X. An Improved Ray-Tracing Algorithm for SBR-Based EM Scattering Computation of Electrically Large Targets. IEEE Antennas Wirel. Propag. Lett. 2021, 20, 818–822. [Google Scholar] [CrossRef]
  16. Gökkaya, E.; Saynak, U. An Approach for RCS Estimation Based on SBR Implemented on GPU. In Proceedings of the 2024 32nd Signal Processing and Communications Applications Conference (SIU), Istanbul, Turkey, 2–5 July 2024; pp. 1–4. [Google Scholar]
  17. Sun, G.; Wang, J.; Feng, D.; Xing, S.; Wang, X. A flexible multifunctional active frequency selective surface with angular and polarization stability for curved surface conformal. IEEE Trans. Antennas Propag. 2022, 70, 11752–11760. [Google Scholar] [CrossRef]
  18. Song, S.; Dai, Y.; Song, Y.; Jin, T. Efficient near-field radar microwave imaging based on joint constraints of low-rank and structured sparsity at low snr. IEEE Trans. Microw. Theory Tech. 2024, 73, 2962–2977. [Google Scholar] [CrossRef]
  19. Ullah, M.U.; Latef, T.B.A.; Othman, M.; Hussein, M.I.; Alkhoori, H.M.; Yamada, Y.; Kamardin, K.; Khalid, R. A Progression in the Techniques of Reducing RCS for the Targets. Alex. Eng. J. 2024, 100, 153–169. [Google Scholar] [CrossRef]
  20. Tang, W.; Xu, Z.W.; Zhao, H.S.; Xue, K. Scattering of UAV Swarm via Artificial Plasma Cloud for Probable Over-the-Horizon Detection at VHF Band. IEEE Trans. Antennas Propag. 2024, 72, 4524–4531. [Google Scholar] [CrossRef]
  21. Pons, A.; Somolinos, A.; González, I.; Cátedra, F. Fast Computation by MLFMM-FFT with NURBS in Large Volumetric Dielectric Structures. Electronics 2021, 10, 1560. [Google Scholar] [CrossRef]
  22. García, E.; Delgado, C.; Catedra, F. Efficient Interpolation Technique for the Analysis of RCS Problems. IEEE Trans. Antennas Propag. 2024, 72, 6831–6836. [Google Scholar] [CrossRef]
  23. Ahn, S.; Koh, J. RCS Prediction Using Prony Method in High-Frequency Band for Military Aircraft Models. Aerospace 2022, 9, 734. [Google Scholar] [CrossRef]
  24. Yang, Y.; Yu, W.M.; Cui, T.J. Efficient RCS Modeling with an Adaptive Design-Based Gaussian Process Method. IEEE Antennas Wirel. Propag. Lett. 2024, 23, 2006–2010. [Google Scholar] [CrossRef]
  25. Liu, Y.; Hu, W.; Zhang, W.; Sun, J.; Xing, B.; Ligthart, L. Radar Cross Section Near-Field to Far-Field Prediction for Isotropic-Point Scattering Target Based on Regression Estimation. Sensors 2020, 20, 6023. [Google Scholar] [CrossRef] [PubMed]
  26. Huang, J.; Zhou, J.; Deng, Y. Near-Field-to-Far-Field RCS Prediction Using Only Amplitude Estimation Technique Based on State Space Method. Electronics 2023, 12, 3371. [Google Scholar] [CrossRef]
  27. Huang, J.; Zhou, J.; Deng, Y. Near-to-Far Field RCS Calculation Using Correction Optimization Technique. Electronics 2023, 12, 2711. [Google Scholar] [CrossRef]
  28. De Saint Moulin, F.; Al Khalifeh, K.; Craeye, C.; Vandendorpe, L.; Oestges, C. Novel Electromagnetic-Based Radar Propagation Model for Vehicular Sensing. IEEE Access 2024, 12, 128201–128214. [Google Scholar] [CrossRef]
  29. Li, J.; Zhang, D.; Wu, Z.; Yu, C.; Li, Y.; Chen, Q.; Hu, Y.; Sun, Q.; Chen, Y. SBRF: A Fine-Grained Radar Signal Generator for Human Sensing. IEEE Trans. Mob. Comput. 2024, 23, 13114–13130. [Google Scholar] [CrossRef]
  30. Huang, J.; Liu, X.; Zhou, J.; Deng, Y. RCS Diagnostic Imaging Using Parameter Extraction Technique of State Space Method. Radio Sci. 2023, 58, e2022RS007565. [Google Scholar] [CrossRef]
  31. Anumol, C.S. Advancements in CNN Architectures for Computer Vision: A Comprehensive Review. In Proceedings of the 2023 Annual International Conference on Emerging Research Areas: International Conference on Intelligent Systems (AICERA/ICIS), Kottayam, India, 6–8 July 2023; pp. 1–7. [Google Scholar]
  32. Wang, Y.; Long, B.; Wang, F. RCS Statistical Feature Extraction for Space Target Recognition Based on Bi-LSTM. In Proceedings of the IGARSS 2023-2023 IEEE International Geoscience and Remote Sensing Symposium, Pasadena, CA, USA, 16–21 July 2023; pp. 6049–6052. [Google Scholar]
  33. Mahmoudi, A. Investigating LSTM-Based Time Series Prediction Using Dynamic Systems Measures. Evol. Syst. 2025, 16, 71. [Google Scholar] [CrossRef]
  34. Shi, J.; Wang, S.; Qu, P.; Shao, J. Time Series Prediction Model Using LSTM-Transformer Neural Network for Mine Water Inflow. Sci. Rep. 2024, 14, 18284. [Google Scholar] [CrossRef] [PubMed]
  35. Azad, B.; Adibfar, P.; Fu, K. Transdae: Dual Attention Mechanism in a Hierarchical Transformer for Efficient Medical Image Segmentation. arXiv 2024, arXiv:2409.02018. [Google Scholar] [CrossRef]
  36. Bi, Z.; Xu, J.; Liu, M. FMCW Radar Principles and Human Activity Recognition Systems: Foundations, Techniques, and Applications. arXiv 2024, arXiv:2410.08483. [Google Scholar] [CrossRef]
  37. Xie, M.; Wu, W.; Fu, C.; Sun, S. Space Target Recognition of Radar Cross-Section Sequence Based on Transformer. Mathematics 2025, 13, 653. [Google Scholar] [CrossRef]
  38. Xiao, D.; Guo, L.; Liu, W.; Hou, M. Efficient RCS Prediction of the Conducting Target Based on Physics-Inspired Machine Learning and Experimental Design. IEEE Trans. Antennas Propag. 2020, 69, 2274–2289. [Google Scholar] [CrossRef]
  39. Theagarajan, R.; Bhanu, B.; Erpek, T.; Hue, Y.-K.; Schwieterman, R.; Davaslioglu, K.; Shi, Y.; Sagduyu, Y.E. Integrating Deep Learning-Based Data Driven and Model-Based Approaches for Inverse Synthetic Aperture Radar Target Recognition. Opt. Eng. 2020, 59, 051407. [Google Scholar] [CrossRef]
  40. Kang, J.; Kong, D.; Zhang, W.; Cao, J.; Huang, W.; Xia, M. A Fast RCS Prediction Method for 3D Dielectric Target Based on Machine Learning. In Proceedings of the 2024 14th International Symposium on Antennas, Propagation and EM Theory (ISAPE), Harbin, China, 25–28 August 2024; pp. 1–4. [Google Scholar]
  41. Yuxin, Z.; Chunlei, D.; Xiao, M.; Lixin, G. RCS Prediction of a Target Based on the Machine Learning. In Proceedings of the 2023 International Applied Computational Electromagnetics Society Symposium (ACES-China), Chengdu, China, 2–5 August 2023; pp. 1–3. [Google Scholar]
  42. Chen, R.; Hua, M.; He, S. Forward Modeling of Robust Scattering Centers from Dynamic Ships on Time-Varying Sea Surfaces for Remote Sensing Target-Recognition Applications. Remote Sens. 2024, 16, 860. [Google Scholar] [CrossRef]
  43. Golubović, D.; Erić, M.; Vukmirović, N. High-Resolution Doppler and Azimuth Estimation and Target Detection in HFSWR: Experimental Study. Sensors 2022, 22, 3558. [Google Scholar] [CrossRef] [PubMed]
  44. De Boor, C. A Practical Guide to Splines; Springer: New York, NY, USA, 1978. [Google Scholar]
  45. Cox, M.G. The numerical evaluation of B-splines. IMA J. Appl. Math. 1972, 10, 134–149. [Google Scholar] [CrossRef]
Figure 1. Geometric model of the flexible metasurface.
Figure 1. Geometric model of the flexible metasurface.
Electronics 14 04668 g001
Figure 2. Flowchart of the parameter extraction process for flexible targets with shape uncertainty.
Figure 2. Flowchart of the parameter extraction process for flexible targets with shape uncertainty.
Electronics 14 04668 g002
Figure 3. 1D-CNN-LSTM hybrid Deep Learning architecture.
Figure 3. 1D-CNN-LSTM hybrid Deep Learning architecture.
Electronics 14 04668 g003
Figure 4. Variation in validation loss and training loss with epochs.
Figure 4. Variation in validation loss and training loss with epochs.
Electronics 14 04668 g004
Figure 5. Flexible metasurface deformation model with cross-shaped copper patches.
Figure 5. Flexible metasurface deformation model with cross-shaped copper patches.
Electronics 14 04668 g005
Figure 6. True and predicted value mean and standard deviation at each angle for the flexible metasurface with cross-shaped copper patches.
Figure 6. True and predicted value mean and standard deviation at each angle for the flexible metasurface with cross-shaped copper patches.
Electronics 14 04668 g006
Figure 7. Flexible metasurface deformation model with square-loop graphene patches.
Figure 7. Flexible metasurface deformation model with square-loop graphene patches.
Electronics 14 04668 g007
Figure 8. True and predicted value mean and standard deviation at each angle for the flexible metasurface with square-loop graphene patches.
Figure 8. True and predicted value mean and standard deviation at each angle for the flexible metasurface with square-loop graphene patches.
Electronics 14 04668 g008
Table 1. Performance comparison of different conventional kernel sizes.
Table 1. Performance comparison of different conventional kernel sizes.
Kernel SizeMSERMSER2Training Time (s/Epoch)
10.06720.25920.999642.3
30.05410.23260.999745.1
50.05890.24270.999647.8
70.06230.24960.999651.2
Table 2. Ablation experiment of flexible metasurface model with cross-shaped copper patches.
Table 2. Ablation experiment of flexible metasurface model with cross-shaped copper patches.
Performance MetricBaseline ModelAdd Periodic Features
MSE3.45570.5072
RMSE1.85900.7122
R20.98050.9971
Error%2.05530.7994
Performance MetricAdd Mutated Region EnhancementThis Method
MSE0.10150.0541
RMSE0.31870.2326
R20.99940.9997
Error%0.35910.2761
Table 3. Ablation experiment of flexible metasurface model with square-loop graphene patches.
Table 3. Ablation experiment of flexible metasurface model with square-loop graphene patches.
Performance MetricBaseline ModelAdd Periodic Features
MSE3.29590.4702
RMSE1.81550.6857
R20.98140.9973
Error%1.79020.7338
Performance MetricAdd Mutated Region EnhancementThis Method
MSE0.10050.0420
RMSE0.30570.2050
R20.99930.9997
Error%0.35730.2692
Disclaimer/Publisher’s Note: The statements, opinions and data contained in all publications are solely those of the individual author(s) and contributor(s) and not of MDPI and/or the editor(s). MDPI and/or the editor(s) disclaim responsibility for any injury to people or property resulting from any ideas, methods, instructions or products referred to in the content.

Share and Cite

MDPI and ACS Style

Zhang, H.; Huang, J.; Zhao, Y. RCS Prediction for Flexible Targets with Uncertain Shape Based on CNN-LSTM. Electronics 2025, 14, 4668. https://doi.org/10.3390/electronics14234668

AMA Style

Zhang H, Huang J, Zhao Y. RCS Prediction for Flexible Targets with Uncertain Shape Based on CNN-LSTM. Electronics. 2025; 14(23):4668. https://doi.org/10.3390/electronics14234668

Chicago/Turabian Style

Zhang, Huimin, Jiqin Huang, and Ying Zhao. 2025. "RCS Prediction for Flexible Targets with Uncertain Shape Based on CNN-LSTM" Electronics 14, no. 23: 4668. https://doi.org/10.3390/electronics14234668

APA Style

Zhang, H., Huang, J., & Zhao, Y. (2025). RCS Prediction for Flexible Targets with Uncertain Shape Based on CNN-LSTM. Electronics, 14(23), 4668. https://doi.org/10.3390/electronics14234668

Note that from the first issue of 2016, this journal uses article numbers instead of page numbers. See further details here.

Article Metrics

Back to TopTop