Next Article in Journal
Synergistic Integration of CIP and Graphene Within Honeycomb Architectures Toward High-Efficiency Electromagnetic Wave Absorption
Next Article in Special Issue
Effect of Anodizing and Welding Parameters on Microstructure and Mechanical Properties of Laser-Welded A356 Alloy
Previous Article in Journal
Perception of Structural Colors in Nanostructured Anodic Aluminum Oxide Films
Previous Article in Special Issue
Simulation and Experimental Study of γ-TiAl Alloy Cutting with scCO2-MQL Based on Modified Heat Transfer Coefficient
 
 
Font Type:
Arial Georgia Verdana
Font Size:
Aa Aa Aa
Line Spacing:
Column Width:
Background:
Article

Model-Based Prediction and Compensation of Structural Loop Cross-Talk-Induced Geometric Errors in Machine Tools

1
Ningbo Haitian Precision Machinery Co., Ltd., Ningbo 315800, China
2
College of Mechanical and Electrical Engineering, Northeast Forestry University, Harbin 150040, China
3
National Numerical Control System Engineering Research Center, Huazhong University of Science and Technology, Wuhan 430074, China
4
School of Mechanical and Power Engineering, Harbin University of Science and Technology, Harbin 150080, China
*
Author to whom correspondence should be addressed.
Coatings 2025, 15(11), 1261; https://doi.org/10.3390/coatings15111261
Submission received: 28 August 2025 / Revised: 16 October 2025 / Accepted: 20 October 2025 / Published: 1 November 2025
(This article belongs to the Special Issue Cutting Performance of Coated Tools)

Abstract

This study compares one traditional prediction model—the conventional single-variable interpolation method—with two newly developed models: an improved multi-variable interpolation model extended from the single-variable formulation, and a more advanced NURBS-based multi-variable interpolation model. All models are integrated into a real-time volumetric error compensation framework embedded within a CNC controller, enabling in-kernel correction without external hardware. Accuracy verification is carried out using planar body diagonal measurements obtained from a dense on-machine PDGE data grid across the coupling plane. Quantitatively, the improved multi-variable interpolation model reduces diagonal errors by 71%–74%, while the NURBS-based model achieves 82% (T1) and 84% (T2) reductions, delivering an additional 18%–19% improvement relative to the single-variable baseline. The in-kernel evaluation satisfies 2–4 ms interpolation cycles, confirming real-time feasibility. The proposed framework provides a compact, data-driven solution for predicting and compensating cross-talk-induced PDGEs in precision machine tools.

1. Introduction

Precision manufacturing increasingly relies on computer numerical control (CNC) machine tools to achieve sub-micrometer tolerances essential for aerospace, automotive, medical, and energy sectors. In multi-axis machine tools, structural loop cross-talk induces position-dependent geometric errors (PDGEs) that vary with multiple axis coordinates, invalidating the single-variable assumption in conventional volumetric error models. Even small geometric deviations can accumulate to degrade part quality, assembly reliability, and overall productivity. Recent studies report that geometric errors contribute to more than 40% of dimensional deviations in stable machining, often exceeding thermal and dynamic effects [1,2]. Ensuring geometric accuracy is therefore critical not only for product performance but also for cost efficiency and industrial competitiveness.
Machine tool accuracy is determined by the structural loop linking tool and workpiece, which accumulates positioning, straightness, squareness, and angular errors. Conventional volumetric error models are typically developed under the independent-axis assumption, in which each error is treated as a function of its own axis coordinate. Linear or polynomial interpolation based on sparse measurements is then applied, and error maps are embedded into CNC compensation modules [3,4,5]. These approaches have demonstrated long-standing effectiveness, and substantial progress has been achieved in rigid-body modeling, laser interferometry calibration, and compensation algorithms [6]. Recent developments also extend these frameworks to thermal error modeling [7,8], servo dynamics [9,10,11], and data-driven learning [12,13,14].
However, as machine tools evolve toward larger workspaces and higher speeds, the independent-axis assumption becomes inadequate. In stacked configurations such as X–Y cross-slides, axis motions are mechanically coupled, producing structural loop cross-talk. This effect generates position-dependent geometric errors (PDGEs) that vary with multiple axis coordinates, making single-variable models invalid [15,16,17]. Although polynomial surfaces and spline interpolation have been investigated, most existing work either neglects cross-talk or requires complex external metrology [18,19,20]. Furthermore, single-variable interpolation fails to capture nonlinearities, resulting in residual errors during coupled motions. Efficient and smooth multi-variable prediction methods that are compatible with real-time CNC cycles remain scarce. Recent research has demonstrated increasing interest in modeling cross-axis coupling and compensation. Fan et al. introduced an enhanced volumetric error model explicitly including cross-talk terms with ISO 230-6 validation [21]. Gao et al. reviewed calibration–modeling–compensation methods highlighting the move toward controller-level integration [22]. Wang et al. analyzed inter-axis error transfer and cross-coupled control for five-axis machines [23]. Yin et al. introduced a dual-quaternion-based kinematic identification method for geometric errors in rotary axes, which provided more accurate decoupling between translational and rotational deviations [24]. Recent progress on NURBS and dual-NURBS interpolation enables embedding multivariable geometric-error surfaces into CNC cycles [25,26]. These studies further motivate our development of a real-time multi-variable prediction and compensation framework. In addition, the integration of real-time error compensation often depends on the openness of the CNC architecture in industrial practice. Most high-end CNC systems (e.g., Siemens, Fanuc, Heidenhain) adopt closed control structures, while the secondary development ecosystem of domestic controllers is still evolving. These factors limit the online modification of embedded compensation models and pose challenges for real-time implementation and cross-platform deployment.
To address these gaps, this study proposes a data-driven framework for predicting and compensating cross-talk-induced PDGEs in CNC machine tools. We benchmark three models: a conventional single-variable interpolation method, an improved bilinear interpolation model, and a non-uniform rational B-spline (NURBS)-based formulation capable of representing complex error surfaces. All models are embedded directly into the interpolation kernel of a commercial CNC controller to enable real-time compensation without additional hardware. Dense on-machine measurements are employed to construct error maps, and compensation performance is evaluated through ISO 230-6 planar diagonal tests [27].
The remainder of this paper is structured as follows. Section 2 introduces the machine tool configuration, measurement strategy, and embedded sensor system for PDGE acquisition. Section 3 develops the three prediction models, from single-variable interpolation to multi-variable bilinear and NURBS-based formulations. Section 4 details the real-time error compensation controller integrated into the CNC kernel. Section 5 reports experimental validations, including planar diagonal accuracy verification. Finally, Section 6 summarizes the contributions.

2. Measurement and Data Acquisition of Structural Loop Cross-Talks

2.1. Machine Tool Configuration

A three-axis vertical machining center was considered in this study, with axis travels of 850 mm, 500 mm, and 500 mm along the X-, Y-, and Z-directions, respectively. The general machine tool configuration is shown in Figure 1a, and the corresponding kinematic chain is illustrated in Figure 1b. From the perspective of structural loops, the machine comprises two main chains: (i) the tool structural loop, where the Z-axis is arranged independently to carry the cutting tool, and (ii) the workpiece structural loop, where the workpiece is mounted on an X-table carried by the Y-saddle. In this arrangement, the Y-saddle supports the X-drive, and the X-table is guided by linear guide mounted on the Y-saddle. The stacked configuration of X- and Y-axes inevitably introduces mutual dependence, such that the geometric error of one axis can influence the motion of the other. The measurement–model–compensation workflow adopted in this study is not tied to this specific configuration and can be ported to machines with additional axes by extending the measured PDGE coordinates and cross-terms.
This structural relationship leads to the presence of structural loop cross-talk, particularly between the X- and Y-coupling axes within the workpiece loop. As a result, PDGEs in the coupled plane cannot be treated as purely single-variable functions of each axis, but must be analyzed as functions of multiple axis positions.

2.2. Embedded 5-DOF Sensor Modules for Axis Error Measurement

The schematic configuration of the embedded 5-DOF optical sensor module is illustrated in Figure 2a. A semiconductor laser generates the reference beam. The beam is redirected by mirror M1 and divided by the first beam splitter (BS1) into two paths. Beam 1 is transmitted directly through BS1, while Beam 2 is obtained by reflection through BS1 and mirror M2. Fine angular adjustment of M2 ensures that the two beams remain parallel. These parallel beams are further directed by BS2 and BS3 into separate detection channels. The straightness errors in horizontal and vertical directions are captured by two position-sensitive detectors (PSD1 and PSD2), calibrated using a commercial digital indicator (P12DHR, Sylvac, Switzerland; accuracy: 0.22 µm). Pitch and yaw angular errors are detected by two optical channels consisting of focusing lenses (FL1, FL2) and quadrant photodiodes (QPD1, QPD2), calibrated using an autocollimator (5000U3050, AutoMat, Tianjin, China). The roll angle is determined from the relative y-displacement of laser spots on PSD1 and PSD2 and calibrated using an electronic level (WL/AL11, Dongtai, China).
The physical arrangement of the sensor module integrated on each linear axis is shown in Figure 2b. In this setup; the laser part is mounted on the machine bed; while the sensor part is attached to the moving axis carrier; enabling the relative motion during axis travel to be accurately monitored. In accordance with conventional definitions; the encoder feedback point located at the center of the ballscrew nut is referred to as the Abbe point; and center point of the PSD1 is referred to as the Bryan point. A secondary PSD2 provides additional information for detecting roll motion. The performance characteristics of the system are summarized in Table 1.
The results demonstrate that the developed modules achieve measurement accuracy and repeatability comparable to that of reference-grade instruments, while maintaining excellent stability. These features ensure that the system meets the requirements for subsequent monitoring of structural loop cross-talks and real-time compensation implementation.

2.3. Planar Grid Measurement Strategy

To characterize PDGEs over the XY coupling plane, a dense measurement grid is defined with 85 mm X-axis increments and 50 mm Y-axis increments. This configuration produces 22 lines and 121 target positions across the plane, as illustrated in Figure 3, providing sufficient spatial density to capture localized variations and cross-axis coupling effects. Each trajectory was executed in both forward and reverse directions, forming bidirectional scanning paths. The double-pass measurement not only enhanced repeatability but also enabled the identification of possible hysteresis or reversal-related effects in the error behavior. By adopting this grid strategy, the geometric error distribution of the XY cross-slide was comprehensively mapped, establishing a reliable basis for subsequent modeling and compensation of structural loop cross-talks.

3. Prediction Models for PDGEs with Cross-Talks

3.1. Conventional Single-Variable Interpolation Model

The conventional single-variable interpolation model constitutes the baseline approach for predicting PDGEs in machine tools. In this method, the error along a given axis is treated as a one-dimensional function of its position. Suppose that pi and pi+1 are two adjacent measurement points along axis i, and that eji denotes the error component in direction j induced by the motion of axis i. For an arbitrary intermediate position p ∈ [pi, pi+1], the error is estimated by linear interpolation as (1) [28], which follows the conventional one-dimensional interpolation formulation widely used in geometric-error compensation.
e j i ( p ) = e j i ( p i ) + e j i ( p i + 1 ) e j i ( p i ) p i + 1 p i ( p p i )
Equivalently, by introducing a normalized interpolation parameter t = (ppi)/(pi+1pi) (0 ≤ t ≤ 1), the model can be expressed as a weighted average of the neighboring error measurements:
e j i ( p ) = ( 1 t ) e j i ( p i ) + t e j i ( p i + 1 )
This baseline method assumes that the error in each Cartesian direction depends only on the corresponding single axis position, and errors are interpolated linearly between measured nodes. It is noted that a fundamental limitation of this model is that cross-axis interactions are entirely neglected. In regions where structural loop cross-talk effects are significant, such as when two or more axes move simultaneously, the single-variable assumption becomes invalid. As a result, large residual errors are observed in coupled motion regions, motivating the development of multi-variable interpolation models to improve prediction accuracy.

3.2. Improved Multi-Variable Interpolation Model

To address the limitation of the single-variable interpolation approach, an improved multi-variable interpolation model is introduced. In this model, the PDGE is considered as a function of two coupled axis positions rather than a single axis coordinate. This extension enables the model to explicitly capture cross-talk effects in the structural loop.
Let eji denote the error component in direction j induced by the motion of axis i. Suppose that four neighboring measurement points in the (x, y) plane are given by (x0, y0), (x1, y0), (x0, y1), and (x1, y1) with the corresponding error values eji (x0, y0), eji (x1, y0), eji (x0, y1), eji (x1, y1). For an arbitrary query point (x, y) located in the rectangle defined by these nodes, the error is interpolated bilinearly as (3) [20], consistent with recent implementations of two-dimensional interpolation in error-field reconstruction for CNC machine tools.
e j i ( x , y ) = ( 1 t x ) ( 1 t y ) e j i ( x 0 , y 0 ) + t x ( 1 t y ) e j i ( x 1 , y 0 ) + ( 1 t x ) t y e j i ( x 0 , y 1 ) + t x t y e j i ( x 1 , y 1 )
where
t x = x x 0 x 1 x 0 , t y = y y 0 y 1 y 0 , 0 t x , t y 1
The bilinear interpolation method was selected for this study due to its favorable balance between accuracy and computational efficiency. It requires only four neighboring data points and involves limited computational effort; making it well suited for real-time implementation within a CNC controller. However; although bilinear interpolation significantly improves prediction accuracy over the single-variable model; its piecewise linear nature may lead to limited smoothness in representing complex error distributions. To further enhance spatial fidelity and continuity across the coupled plane; a more advanced surface representation based on non-uniform rational B-splines (NURBS) is introduced in Section 3.3.

3.3. NURBS-Based Multi-Variable Interpolation Model

Building upon the motivation outlined in Section 3.2, a non-uniform rational B-spline (NURBS)-based multi-variable interpolation model is established to provide a smoother and more accurate representation of cross-talk errors across the coupled axes. The NURBS formulation enables continuous surface modeling of PDGEs over the full working plane and offers several key advantages for error prediction and real-time compensation. It allows local modification of control points without affecting the entire surface, preserves strong convex hull properties that enhance stability, and supports the definition of non-uniform knot intervals, which improves convergence and approximation performance. Moreover, as the surface is defined with relatively few parameters, the NURBS model offers a compact and efficient mathematical representation of free-form error surfaces. This compactness reduces computational overhead and facilitates integration into CNC real-time compensation modules.
Mathematically, a NURBS surface can be regarded as a two-dimensional extension of a NURBS curve. An r × s degree NURBS surface for the error component eji, where eji denotes the error in direction j induced by the motion of axis i, is expressed as (5) [26], following the standard NURBS-surface definition used in recent geometric-error modeling and interpolation studies.
e j i ( u , v ) = k = 0 m l = 0 n N k , r ( u ) M l , s ( v ) w k l P k l ( j i ) k = 0 m l = 0 n N k , r ( u ) M l , s ( v ) w k l
where { P k l ( j i ) } are the control vertices forming a two-dimensional grid for the error component eji, {wkl} are the weights of the control vertices, and Nk,r (u), Ml,s (v) are the B-spline basis functions of degree r and s defined on knot vectors U and V, respectively.
In this study, the cross-talk measurement values of the X- and Y-axis PDGEs obtained in experiments were organized into an 11 × 11 topology matrix, which served as the input dataset for constructing the surface. The interpolation procedure, illustrated in Figure 4, defines the parameter u along the section-line direction and the parameter v along the vertical direction. First, the sample points in the u-direction were used to compute the knot vectors and to determine the control vertices of each curve. The knot vectors of all curves were then unified using the averaging method to generate the global knot vector U. The curve control vertices were subsequently treated as new data points for interpolation in the v-direction, from which the control vertices and knot vector V were determined. By combining the results in both directions, the full NURBS surface and its control net were reconstructed, yielding a smooth and accurate approximation of the cross-talk error surface across the working plane.
The topology matrix of 11 × 11 nodes was selected as an appropriate trade-off between spatial resolution and computational efficiency. Preliminary evaluations showed that denser grids (e.g., 15 × 15 or higher) produced only marginal improvements in prediction accuracy while significantly increasing interpolation time, which is unfavorable for real-time CNC execution. Conversely, sparser grids (e.g., 7 × 7 or 9 × 9) could not adequately capture localized nonlinear variations in the cross-talk error field. Therefore, the 11 × 11 matrix provided sufficient smoothness and precision for NURBS surface reconstruction within the 2–4 ms interpolation cycle of the CNC controller.
Compared with the bilinear interpolation model discussed in Section 3.2, the NURBS-based multi-variable interpolation model offers superior smoothness and prediction accuracy. Nonlinear variations in cross-talk effects are effectively captured, and the compact representation ensures that the computational overhead remains compatible with the 2–4 ms CNC interpolation cycle. Consequently, the NURBS-based model provides the most accurate and reliable foundation for the real-time error compensation controller presented in the next section.

4. Development of Real-Time Error Compensation Controller Considering Cross-Talks

4.1. Planar Error Compensation Within the CNC Kernel

A real-time error compensation controller (RECC) was developed based on the planar position error model and embedded directly into the interpolation layer of the Huazhong HNC-818D CNC system kernel (Huazhong CNC Co., Ltd., Wuhan, China). Internal communication within the controller utilizes the self-developed industrial field bus NCUC-Bus, which provides high real-time capability, high performance, and high bandwidth with a flexible topology structure [29,30]. By operating synchronously with the CNC interpolation cycle, the RECC ensures seamless integration into the real-time control system. Because the RECC operates at the interpolation layer and exchanges data through the same kernel interface (NCUC-Bus), additional translational/rotary axes can be supported by adding the corresponding compensation channels (e.g., ΔA/ΔB/ΔC) without altering the controller architecture. The integration of the RECC into the CNC system is shown in Figure 5a. The left part (red dashed frame) represents the user-programmable compensation module, while the right part (green dashed frame) corresponds to the original CNC structure.
As illustrated in the flow chart of Figure 5b, planar PDGEs were first obtained from the grid measurement paths shown in Figure 3, in which cross-talk coupling between the X- and Y-axes was explicitly considered. The measured error data were then interpolated using the selected prediction model (Mode 1: single-variable interpolation, Mode 2: improved multi-variable interpolation, or Mode 3: NURBS-based multi-variable interpolation). The interpolated results, together with the initial offset error vector, were substituted into the planar position error model. Finally, the planar compensation values (Ex, Ey) were computed, thereby enabling accurate and timely compensation of planar positional errors.

4.2. Planar Positional Error Model Using the Vector Transfer Method

The commonly used planar XY error model measures 13 terms of geometric errors along two selected X and Y lines within the working plane. The measurement paths of 5-DOF PDGEs are shown in Figure 3 for X and Y directions with totally 22 lines and 121 target points. In this work, a planar positional error model is established using the vector transfer method, in which all translational and angular error components are transferred from the measurement points to the tool center point (TCP).
Following the definitions used in previous work [5], the Abbe point is located at the center of the ballscrew nut, and the Bryan point is located at center point of the straightness sensor PSD1. The Abbe offset is defined as the distance from the Abbe point to the TCP, while the Bryan offset is defined as the distance from the Bryan point to the TCP. These offsets determine how translational and angular errors propagate from the measurement locations to the TCP. Based on the vector transfer principle, the planar positional errors are formulated by mapping axis-specific PDGEs, including positioning errors, straightness errors, and angular errors, to the TCP. In this model, the cross-talk coupling between the X- and Y-axes is explicitly included.
For X-axis motion, the planar error at the TCP can be expressed as
E x x ( x , y ) = δ a x x ( x , y ) + L a z ( x ) ε y x ( x , y ) L a y ( x ) ε z x ( x , y ) E y x ( x , y ) = δ b y x ( x , y ) L b z ( x ) ε x x ( x , y ) + L b x ( x ) ε z x ( x , y )
where Laz and Lay are the Abbe offsets from Abbe point to TCP in the z and y directions, respectively; Lbz and Lbx are the Bryan offsets from Bryan point to TCP in the z and x directions; δaxx is the X-axis positioning error; δbyx is the straightness error of the X-axis measured in the y-direction; εyx, εzx and εxx are pitch, yaw and roll angular errors of the X-axis, respectively.
Similarly, for Y-axis motion, the planar error at the TCP is expressed as
E x y ( x , y ) = δ b x y ( x , y ) + L b z ( y ) ε y y ( x , y ) L b y ( y ) ε z y ( x , y ) E y y ( x , y ) = δ a y y ( x , y ) L a z ( y ) ε x y ( x , y ) + L a x ( y ) ε z y ( x , y )
where Laz and Lax are the Abbe offsets from Abbe point to TCP in the z and x directions, respectively; Lbz and Lby are the Bryan offsets from Bryan point to TCP in the z and y directions; δayy is the Y-axis positioning error; δbxy is the straightness error of the Y-axis measured in the x-direction; εxy, εzy and εyy are pitch, yaw and roll angular errors of the Y-axis, respectively.
The total planar positional error model is then obtained by summing the contributions of both axes together with the squareness error between the X- and Y-axes:
E x ( x , y ) = E x x ( x , y ) + E x y ( x , y ) y a x y E y ( x , y ) = E y x ( x , y ) + E y y ( x , y )
where α x y indicates the measured squareness error of Y-axis relative to X-axis.

5. Experimental Validation

The experimental validation of the proposed prediction and compensation framework was carried out on a VMC850HS PLUS vertical machining center manufactured by Ningbo Haitian Precision Machinery Co., Ltd. (Ningbo, China), as illustrated in Figure 6. The machine provides axis travels of 850 mm, 500 mm, and 500 mm along the X-, Y-, and Z-directions, respectively, and is equipped with an HNC-818D CNC controller, which enables real-time implementation of the developed error compensation strategies. The repeatability of the X/Y/Z axes is 0.006/0.005/0.005 mm, and the positioning accuracy is 0.010/0.008/0.008 mm, with a maximum feed rate of 36 m/min along each axis.

5.1. Error Measurement Experiments

The experimental setup of the embedded 5-DOF sensor modules installed on the machine tool is shown in Figure 7. These modules enabled simultaneous acquisition of straightness and angular error components during axis motion, providing comprehensive data for analyzing structural loop cross-talk effects.
Prior to data collection, the experiments were conducted under ambient workshop conditions, with a temperature of 20 ± 1 °C and relative humidity of 45% ± 5%. The machine tool was allowed to reach thermal equilibrium for at least two hours before measurements. The error data were collected via a self-developed sensor interface, and the interpolation as well as compensation algorithms were compiled into a C-based dynamic link library (DLL) and embedded into the kernel of the Huazhong HNC-818D CNC controller for real-time execution.
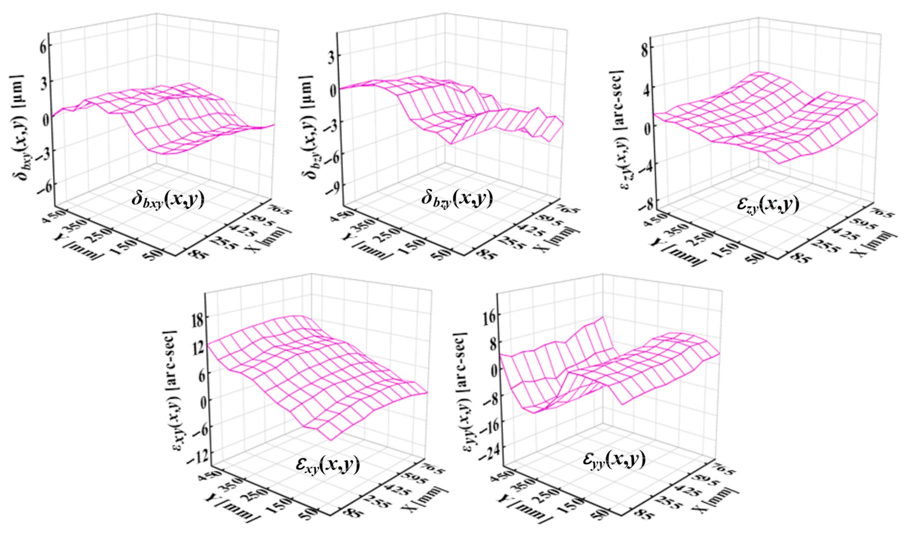
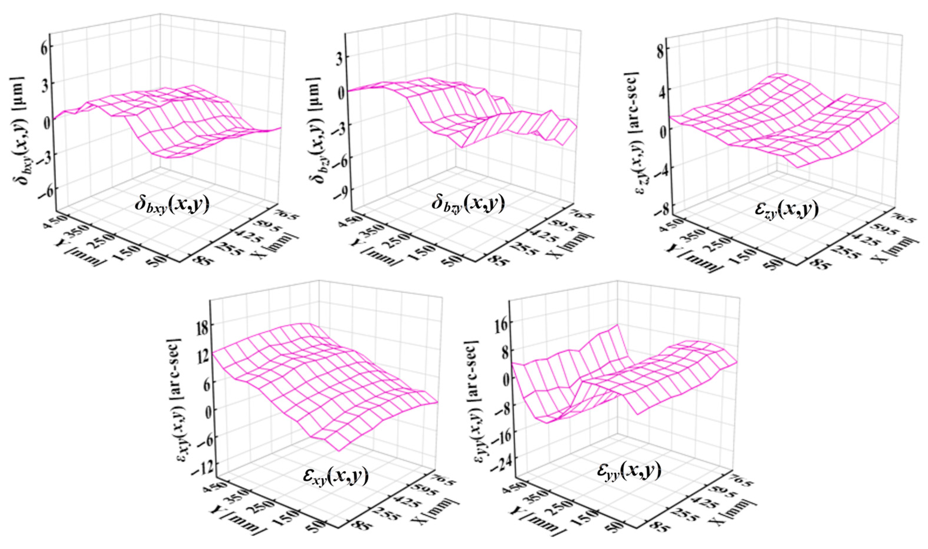
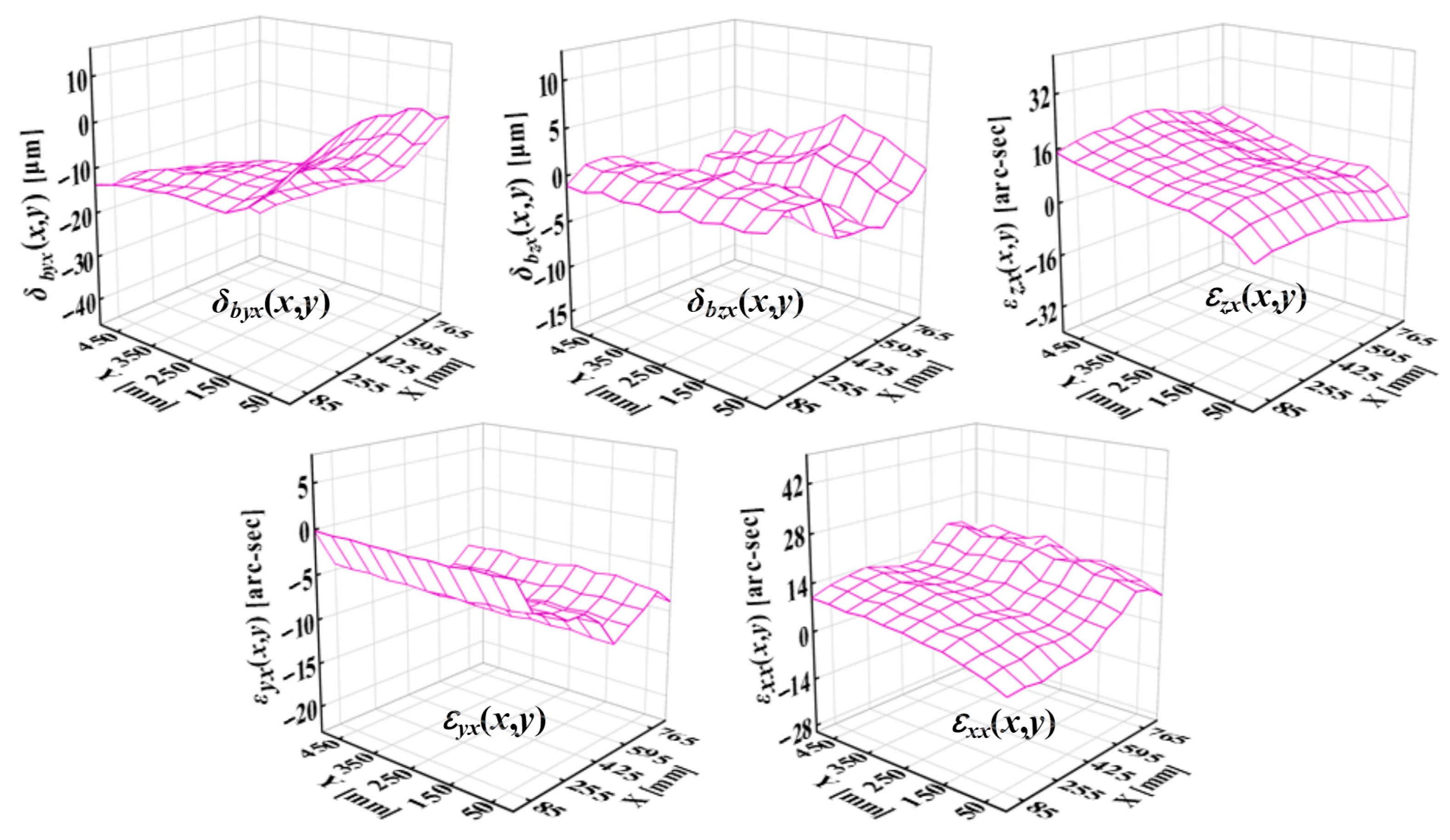
Figure 8 presents the measured PDGEs of the Y-saddle under X-axis motions at different Y positions. The results indicate that cross-talk errors strongly influence the vertical straightness error δbzy, as well as pitch error εxy and roll error εyy. Similarly, Figure 9 shows the PDGEs of the X-table under Y-axis motions at different X positions. In this case, the coupling primarily affects the horizontal straightness error δbyx, the yaw error εzx, and εxx. These observations confirm that structural loop cross-talks have significant and direction-dependent impacts on specific PDGE components, underscoring the necessity of adopting multi-variable prediction models to capture such coupling effects accurately.
The positioning feedback of the linear axes in the investigated vertical machining center is provided by rotary encoders, with the Abbe point defined at the center of the ballscrew nut. To quantify the positioning deviations at these reference points, a high-precision laser interferometric system was employed. The XL-80 interferometer (Renishaw, Wotton-under-Edge, UK), with a specified accuracy of ±0.5 ppm and a linear resolution of 1 nm, was used to measure the positioning errors of the X- and Y-axes. The experimental setups for these measurements are shown in Figure 10a,b. By establishing the Abbe point as the measurement reference, the obtained error data can be consistently transferred to the TCP using the vector transfer method.
Figure 11a,b present the spatial positioning errors at the Abbe points of the X- and Y-axes. Each measurement was repeated five times, and the averaged results were used for analysis. The peak-to-valley (P–V) values of the positioning errors were found to be 47 µm for the X-axis and 39 µm for the Y-axis. These errors include contributions from systematic deviations, cosine errors, and Abbe offsets. The results highlight the necessity of incorporating Abbe-referenced positioning errors into the planar positional error model in order to accurately account for their influence on the tool center point.

5.2. Planar Diagonal Accuracy Verification Experiments

Following this ISO 230-6 [27], two planar body diagonals T1 and T2 in the XY plane are selected, shown in Figure 12a. A laser interferometer with Renishaw XL-80 recorded the positioning error along each diagonal before and after compensation with the three prediction models. Planar body diagonal tests were performed to verify the effectiveness of the proposed prediction models in improving positioning accuracy under cross-talk conditions. The results for the two selected diagonals, denoted as T1 and T2, are presented in Figure 12b–d.
For diagonal T1 (Figure 12b), the uncompensated peak-to-valley (P–V) positioning error was 61.7 μm. After applying error compensation, the single-variable interpolation model reduced the error by 60% for the predicted result and 63% for the measured result. The improved multi-variable model achieved reductions of 71% and 68%, respectively, while the NURBS-based multi-variable model delivered the best performance, with reductions of 79% and 82% relative to the uncompensated case. According to Equation (5), the model-predicted residual error for T1 demonstrates excellent prediction accuracy.
For diagonal T2 (Figure 12c), the uncompensated P–V error was 67.7 μm. After compensation, the single-variable interpolation model reduced the error by 65% for the predicted result and 67% for the measured result. The improved multi-variable model achieved reductions of 72% and 74%, while the NURBS-based multi-variable model again performed best, reducing the error by 81% and 84%. According to Equation (5), the model-predicted residual error for T2 also confirms excellent prediction accuracy.
The comparative results for both diagonals are summarized in Figure 12d. Across T1 and T2, the single-variable model consistently reduced the error by approximately 60%–67%, whereas the improved multi-variable interpolation achieved 68%–74%, confirming the advantage of explicitly modeling cross-axis dependencies. The NURBS-based multi-variable model outperformed both alternatives, achieving reductions of 79%–84%. In particular, the actual NURBS-based multi-variable model consistently showed the best compensation capability, reducing planar diagonal errors by more than 82% on T1 and 84% on T2.
These results demonstrate that multi-variable interpolation substantially improves compensation effectiveness compared with the single-variable baseline, and that the NURBS-based surface formulation provides the highest spatial fidelity and accuracy among the three models. The consistent improvements across both diagonals confirm the robustness of the proposed modeling and compensation framework in mitigating cross-talk-induced errors in planar motion.

6. Conclusions

This study investigated structural loop cross-talk in a three-axis CNC machine tool and proposed a data-driven framework for error prediction and compensation. By employing dense grid measurements of position-dependent geometric errors (PDGEs), three interpolation models were developed and compared: single-variable, improved bilinear multi-variable, and NURBS-based multi-variable formulations. Planar diagonal verification experiments demonstrated that cross-talk significantly affects positioning accuracy, and that moving from single-variable to multi-variable prediction markedly improves both modeling and compensation. The NURBS-based approach achieved the highest spatial fidelity, reducing planar diagonal errors by more than 80% and yielding an additional 18%–19% accuracy improvement over the baseline. To enable practical application, a real-time error compensation controller was designed and embedded into the interpolation kernel of an HNC-818D CNC system, ensuring in-cycle operation without external hardware. The framework is compact, computationally efficient, and independent of mechanical modeling, providing a scalable solution for improving geometric accuracy in precision machine tools. In terms of economic feasibility, the proposed framework requires only software integration into existing CNC systems and low-cost optical sensor modules. No additional hardware modification is needed, making the method suitable for practical industrial deployment.
The research novelty of this study lies in three key aspects: (1) the development of a data-driven NURBS-based multi-variable interpolation model that, for the first time, enables accurate prediction of structural loop cross-talk-induced geometric errors within the CNC interpolation cycle; (2) the realization of a fully embedded real-time error compensation controller directly integrated into a commercial CNC kernel without any external hardware or post-processing interface; and (3) the experimental validation demonstrating over 82% reduction in planar diagonal errors, confirming both the theoretical innovation and industrial applicability of the proposed method. These novelties collectively advance the state of machine tool geometric error modeling from single-variable assumptions toward fully coupled, controller-level, data-driven compensation frameworks.

Author Contributions

Conceptualization, Y.F. and Y.H.; methodology, F.W. and Y.F.; validation, F.Y. and J.L.; formal analysis, Y.F. and X.T.; investigation, X.T. and F.Y.; writing—original draft preparation, Y.F.; writing—review and editing, Y.H. and J.L.; funding acquisition, F.W. and Y.F. All authors have read and agreed to the published version of the manuscript.

Funding

This research was funded by the Fundamental Research Funds for the Central Universities (Grant No. 2572025BR10) and the Zhejiang Provincial “Pioneer” Project (Grant No. 2024C01239(SD2)).

Institutional Review Board Statement

Not applicable.

Informed Consent Statement

Not applicable.

Data Availability Statement

Data is contained within the article.

Conflicts of Interest

Author F.W. was employed by the company Ningbo Haitian Precision Machinery Co., Ltd. The remaining authors declare that the research was conducted in the absence of any commercial or financial relationships that could be construed as a potential conflict of interest.

References

  1. Shen, H.; Fu, J.; He, Y.; Yao, Y. On-line asynchronous compensation methods for static/quasi-static error implemented on CNC machine tools. Int. J. Mach. Tools Manuf. 2012, 60, 14–26. [Google Scholar] [CrossRef]
  2. Okafor, A.C.; Ertekin, Y.M. Derivation of machine tool error models and error compensation procedure for three axes vertical machining center using rigid body kinematics. Int. J. Mach. Tools Manuf. 2000, 40, 1199–1213. [Google Scholar] [CrossRef]
  3. Yang, J.; Altintas, Y. A generalized on-line estimation and control of five-axis contouring errors of CNC machine tools. Int. J. Mach. Tools Manuf. 2015, 88, 9–23. [Google Scholar] [CrossRef]
  4. Xiang, S.T.; Altintas, Y. Modeling and compensation of volumetric errors for five-axis machine tools. Int. J. Mach. Tools Manuf. 2016, 101, 65–78. [Google Scholar] [CrossRef]
  5. Huang, Y.B.; Fan, K.C.; Lou, Z.F. Sun Wei Anovel modeling of volumetric errors of three-axis machine tools based on Abbe Bryan principles. Int. J. Mach. Tools Manuf. 2020, 151, 103527. [Google Scholar] [CrossRef]
  6. Fan, Y.; Huang, Y.; Chen, Y.; Lou, Z.; Fan, K.C. Fast volumetric error assessment of a gantry-type machine using multi-degree-of-freedom laser-based sensors and Vector Transfer Model. Int. J. Adv. Manuf. Technol. 2022, 118, 3711–3724. [Google Scholar] [CrossRef]
  7. Feng, W.; Li, Z.; Gu, Q.; Yang, J. Thermally induced positioning error modelling and compensation based on thermal characteristic analysis. Int. J. Mach. Tools Manuf. 2015, 93, 26–36. [Google Scholar] [CrossRef]
  8. Liu, K.; Wu, J.; Liu, H.; Sun, M.; Wang, Y. Reliability analysis of thermal error model based on DBN and Monte Carlo method. Mech. Syst. Signal. Proc. 2021, 146, 107020. [Google Scholar] [CrossRef]
  9. Kuo, L.Y.; Yen, J.Y. Servo parameter tuning for a 5-axis machine center based upon GA rules. Int. J. Mach. Tools Manuf. 2001, 41, 1535–1550. [Google Scholar] [CrossRef]
  10. Andolfatto, L.; Lavernhe, S.; Mayer, J.R.R. Evaluation of servo, geometric and dynamic error sources on five-axis high-speed machine tool. Int. J. Mach. Tools Manuf. 2011, 51, 787–796. [Google Scholar] [CrossRef]
  11. Lin, M.T.; Wu, S.K. Modeling and analysis of servo dynamics errors on measuring paths of five-axis machine tools. Int. J. Mach. Tools Manuf. 2013, 66, 1–14. [Google Scholar] [CrossRef]
  12. Xie, Z.; Xie, F.; Liu, X.J.; Wang, J.; Mei, B. Tracking error prediction informed motion control of a parallel machine tool for high-performance machining. Int. J. Mach. Tools Manuf. 2021, 164, 103714. [Google Scholar] [CrossRef]
  13. Zhu, S.; Ding, G.; Qin, S.; Lei, J.; Zhuang, L.; Yan, K. Integrated geometric error modeling, identification and compensation of CNC machine tools. Int. J. Mach. Tools Manuf. 2012, 52, 24–29. [Google Scholar] [CrossRef]
  14. Muñiz-Montero, C.; García-Jiménez, L.V.; Sánchez-Gaspariano, L.A.; Sánchez-López, C.; González-Díaz, V.R.; Tlelo-Cuautle, E. New alternatives for analog implementation of fractional-order integrators, differentiators and PID controllers based on integer-order integrators. Nonlinear Dyn. 2017, 90, 241–256. [Google Scholar] [CrossRef]
  15. Ibaraki, S.; Hiruya, M. Assessment of non-rigid body, direction-and velocity-dependent error motions and their cross-talk by two-dimensional digital scale measurements at multiple positions. Precis. Eng. 2020, 66, 144–153. [Google Scholar] [CrossRef]
  16. Thoma, S.; Haas, T.; Nguyen, H.; Weikert, S.; Wegener, K. In-and Cross-Talk Evaluation of Different Machine Concepts. In Proceedings of the 11th International Conference and Exhibition on Laser Metrology, Coordinate Measuring Machine and Machine Tool Performance, LAMDAMAP, Zurich, Switzerland, 14–15 March 2015; pp. 17–18. [Google Scholar]
  17. Steinlin, M.; Weikert, S.; Wegener, K. Open Loop Inertial Cross-Talk Compensation Based on Measurement Data. In Proceedings of the 25th Annual Meeting of the American Society for Precision Engineering ASPE, Atlanta, GA, USA, 31 October–5 November 2010; pp. 101–104. [Google Scholar]
  18. Majda, P. Modeling of geometric errors of linear guideway and their influence on joint kinematic error in machine tools. Precis. Eng. 2012, 36, 369–378. [Google Scholar] [CrossRef]
  19. Khim, G.; Park, C.H.; Shamoto, E.; Kim, S.W. Prediction and compensation of motion accuracy in a linear motion bearing table. Precis. Eng. 2011, 35, 393–399. [Google Scholar] [CrossRef]
  20. Hu, P.H.; Lei, Y.J.; Ou, Y.K. Analysis of motion errors of linear guide pair based on parallel mechanism. Machines 2021, 9, 33. [Google Scholar] [CrossRef]
  21. Fan, Y.C.; Fan, K.C.; Huang, Y.B. Modeling and compensation of enhanced volumetric error of machine tools containing crosstalk errors. Precis. Eng. 2024, 86, 252–264. [Google Scholar] [CrossRef]
  22. Gao, W.; Ibaraki, S.; Donmez, M.A.; Kono, D.; Mayer, J.R.R.; Chen, Y.L.; Szipka, K.; Archenti, A.; Linares, J.M.; Suzuki, N. Machine tool calibration: Measurement, modeling, and compensation of machine tool errors. Int. J. Mach. Tools Manuf. 2023, 187, 104017. [Google Scholar] [CrossRef]
  23. Wang, L.; Kong, X.; Yu, G.; Li, W.; Li, M.; Jiang, A. Error estimation and cross-coupled control based on a novel tool pose representation method of a five-axis hybrid machine tool. Int. J. Mach. Tools Manuf. 2022, 182, 103955. [Google Scholar] [CrossRef]
  24. Yin, S.; Zhou, H.; Peng, Y.; Ju, X. Dual quaternion-based kinematic modeling for decoupling identification of geometric errors of rotary axes in five-axis platforms. Precis. Eng. 2023, 81, 93–103. [Google Scholar] [CrossRef]
  25. Nie, M.; Wan, Y.; Zhou, A. Real-Time NURBS Interpolation under Multiple Constraints. Comput. Intell. Neurosci. 2022, 1, 7492762. [Google Scholar] [CrossRef] [PubMed]
  26. Zhang, G.; Gao, J.; Zhang, L.; Wang, X.; Luo, Y.; Chen, X. Generalised NURBS interpolator with nonlinear feedrate scheduling and interpolation error compensation. Int. J. Mach. Tools Manuf. 2022, 183, 103956. [Google Scholar] [CrossRef]
  27. ISO 230-6; Test Code for Machine Tools-Part 6: Determination of Positioning Accuracy on Body and Face Diagonals (Diagonal Displacement Tests). International Organization for Standardization: Geneva, Switzerland, 2002. Available online: https://www.iso.org/standard/30762.html (accessed on 15 August 2025).
  28. Du, Y.; Jin, X.; Wang, H.; Lu, M. An adaptive multipath linear interpolation method for sample optimization. Mathematics 2023, 11, 768. [Google Scholar] [CrossRef]
  29. Xie, Y.; Tang, X.; Song, B.; Tao, J.; Li, H.; Ye, B. Data-based cascade control of permanent magnet synchronous motor with industrial robot application. J. Eng. 2018, 17, 1930–1934. [Google Scholar] [CrossRef]
  30. Zhou, H.; Lang, M.; Hu, P.; Su, Z.; Chen, J. The modeling analysis application of the in-process machining data for CNC machining. Int. J. Adv. Manuf. Technol. 2019, 102, 1051–1066. [Google Scholar] [CrossRef]
Figure 1. Machine tool configuration, (a) three-dimensional structural diagram and (b) kinematic chain.
Figure 1. Machine tool configuration, (a) three-dimensional structural diagram and (b) kinematic chain.
Coatings 15 01261 g001
Figure 2. 5-DOF sensor modules, (a) optical configuration and (b) schematic diagram of experimental set-up.
Figure 2. 5-DOF sensor modules, (a) optical configuration and (b) schematic diagram of experimental set-up.
Coatings 15 01261 g002
Figure 3. Travelling paths for PDGE cross-talk measurement of, (a) Y-axis caused by X-motion and (b) X-axis caused by Y-motion.
Figure 3. Travelling paths for PDGE cross-talk measurement of, (a) Y-axis caused by X-motion and (b) X-axis caused by Y-motion.
Coatings 15 01261 g003
Figure 4. The flow chart of NURBS surface interpolation.
Figure 4. The flow chart of NURBS surface interpolation.
Coatings 15 01261 g004
Figure 5. CNC error compensation system, (a) integration of the RECC into the CNC system and (b) internal workflow of the RECC implementation.
Figure 5. CNC error compensation system, (a) integration of the RECC into the CNC system and (b) internal workflow of the RECC implementation.
Coatings 15 01261 g005
Figure 6. The investigated vertical machining center VMC850HS PLUS.
Figure 6. The investigated vertical machining center VMC850HS PLUS.
Coatings 15 01261 g006
Figure 7. Experimental setup of the 5-DOF sensor modules installed on the machine tool.
Figure 7. Experimental setup of the 5-DOF sensor modules installed on the machine tool.
Coatings 15 01261 g007
Figure 8. Measured 5-DOF PDGEs in the Y-saddle showing cross-talk induced by X-direction motions at different Y positions.
Figure 8. Measured 5-DOF PDGEs in the Y-saddle showing cross-talk induced by X-direction motions at different Y positions.
Coatings 15 01261 g008
Figure 9. Measured 5-DOF PDGEs in the X-table showing cross-talk induced by Y-direction motions at different X positions.
Figure 9. Measured 5-DOF PDGEs in the X-table showing cross-talk induced by Y-direction motions at different X positions.
Coatings 15 01261 g009
Figure 10. Experimental setup of positioning error measurement along (a) the X-axis and (b) the Y-axis.
Figure 10. Experimental setup of positioning error measurement along (a) the X-axis and (b) the Y-axis.
Coatings 15 01261 g010
Figure 11. Experimental results of positioning error measurement along (a) the X-axis and (b) the Y-axis.
Figure 11. Experimental results of positioning error measurement along (a) the X-axis and (b) the Y-axis.
Coatings 15 01261 g011
Figure 12. Planar diagonal tests, (a) the selected two diagonals T1 and T2, (b) compensation performance of T1, (c) compensation performance of T2, and (d) comparison of compensation rates for T1 and T2.
Figure 12. Planar diagonal tests, (a) the selected two diagonals T1 and T2, (b) compensation performance of T1, (c) compensation performance of T2, and (d) comparison of compensation rates for T1 and T2.
Coatings 15 01261 g012
Table 1. Performance parameters of the 5-DOF measurement system.
Table 1. Performance parameters of the 5-DOF measurement system.
ParameterResolutionRepeatability Error (±2σ)Comparison DeviationMeasurement Range
Straightness error (X)0.1 μm±0.82 μm±1.01 μm±110 μm
Straightness error (Y)0.1 μm±0.95 μm±0.98 μm±110 μm
Yaw error0.1 arc-sec±1.05 arc-sec±1.13 arc-sec±110 arc-sec
Pitch error0.1 arc-sec±0.94 arc-sec±1.08 arc-sec±110 arc-sec
Roll error0.2 arc-sec±1.69 arc-sec±2.05 arc-sec±120 arc-sec
Disclaimer/Publisher’s Note: The statements, opinions and data contained in all publications are solely those of the individual author(s) and contributor(s) and not of MDPI and/or the editor(s). MDPI and/or the editor(s) disclaim responsibility for any injury to people or property resulting from any ideas, methods, instructions or products referred to in the content.

Share and Cite

MDPI and ACS Style

Wei, F.; Fan, Y.; Yan, F.; Huang, Y.; Tong, X.; Li, J. Model-Based Prediction and Compensation of Structural Loop Cross-Talk-Induced Geometric Errors in Machine Tools. Coatings 2025, 15, 1261. https://doi.org/10.3390/coatings15111261

AMA Style

Wei F, Fan Y, Yan F, Huang Y, Tong X, Li J. Model-Based Prediction and Compensation of Structural Loop Cross-Talk-Induced Geometric Errors in Machine Tools. Coatings. 2025; 15(11):1261. https://doi.org/10.3390/coatings15111261

Chicago/Turabian Style

Wei, Feng, Yuchao Fan, Fei Yan, Yubin Huang, Xin Tong, and Jian Li. 2025. "Model-Based Prediction and Compensation of Structural Loop Cross-Talk-Induced Geometric Errors in Machine Tools" Coatings 15, no. 11: 1261. https://doi.org/10.3390/coatings15111261

APA Style

Wei, F., Fan, Y., Yan, F., Huang, Y., Tong, X., & Li, J. (2025). Model-Based Prediction and Compensation of Structural Loop Cross-Talk-Induced Geometric Errors in Machine Tools. Coatings, 15(11), 1261. https://doi.org/10.3390/coatings15111261

Note that from the first issue of 2016, this journal uses article numbers instead of page numbers. See further details here.

Article Metrics

Back to TopTop