Sign in to use this feature.

Years

Between: -

Subjects

remove_circle_outline
remove_circle_outline
remove_circle_outline
remove_circle_outline
remove_circle_outline
remove_circle_outline
remove_circle_outline
remove_circle_outline
remove_circle_outline

Journals

Article Types

Countries / Regions

Search Results (90)

Search Parameters:
Keywords = NIR grading

Order results
Result details
Results per page
Select all
Export citation of selected articles as:
21 pages, 17132 KB  
Article
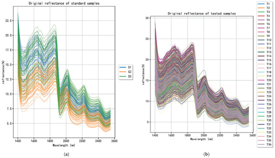
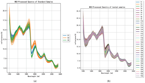
An Exploratory Study of FT-NIR Spectroscopy and Class-Wise PCA for Quality Screening of Mee Rough Tea
by Wenfei Zou, Li Luo, Xiangyang Yu and Weibin Hong
Spectrosc. J. 2026, 4(1), 7; https://doi.org/10.3390/spectroscj4010007 - 18 Mar 2026
Viewed by 256
Abstract
To address the need for rapid evaluation of large batches of Mee rough tea during the acceptance stage, this study aims to explore the feasibility of using portable Fourier transform near-infrared (FT-NIR) spectroscopy for preliminary quality screening. The goal is to develop a [...] Read more.
To address the need for rapid evaluation of large batches of Mee rough tea during the acceptance stage, this study aims to explore the feasibility of using portable Fourier transform near-infrared (FT-NIR) spectroscopy for preliminary quality screening. The goal is to develop a rapid, non-destructive, and relatively objective assessment method that is applicable to practical acceptance scenarios. This work represents an exploratory proof-of-concept study rather than a finalized industrial grading solution. Spectral data of three reference categories and thirty-six test samples were collected in the wavelength range of 1350–2500nm using a portable FT-NIR spectrometer. The sample configuration was designed to simulate practical acceptance sampling conditions. The spectra were preprocessed using multiplicative scatter correction, first-order derivative transformation, and mean-centering. Independent principal component analysis (PCA) models were constructed for each reference category to achieve class-wise feature dimensionality reduction, with cumulative explained variance exceeding 95%. Distance thresholds were determined using the 3σ principle based on Euclidean distance and Mahalanobis distance. Classification was performed by distance-based matching between test samples and reference categories. Under optimized matching degree threshold settings of 0.9 and 0.7, the two distance models achieved classification accuracies of 86.11% and 83.33%, respectively, demonstrating the feasibility of the proposed approach. The main contribution of this study is the application of class-wise PCA combined with distance-based discrimination to the acceptance stage of Mee rough tea. The proposed framework provides a practical exploratory approach for rapid screening and offers a preliminary digital tool to support acceptance decisions. Further validation using larger and more diverse datasets will be necessary prior to large-scale industrial implementation. Full article
Show Figures

Figure 1

15 pages, 6224 KB  
Article
Preparation and Investigation of Nano-TiO2-Modified Silicone-Based Reflective Thermal Insulation Coatings
by Shutong Kan, Xian Zeng, Xuanyu Xie, Run-Zi Wang and Xudong Cheng
Coatings 2026, 16(3), 319; https://doi.org/10.3390/coatings16030319 - 5 Mar 2026
Viewed by 328
Abstract
A nano-TiO2-modified silicone-based reflective thermal insulation coating is successfully synthesized. The influence of the nano-TiO2 content on the microstructure, adhesion strength as well as near-infrared reflectivity (NIR) of the coatings before and after heat treatment is investigated. The results demonstrate [...] Read more.
A nano-TiO2-modified silicone-based reflective thermal insulation coating is successfully synthesized. The influence of the nano-TiO2 content on the microstructure, adhesion strength as well as near-infrared reflectivity (NIR) of the coatings before and after heat treatment is investigated. The results demonstrate that the coating is an organic/inorganic composite coating composed of muscovite, rutile-phase titanium dioxide and an organosilicon binder before heat treatment. The addition of an appropriate amount of nano-TiO2 helps fill the pores in the coating, resulting in a dense coating and improved adhesion. Meanwhile, due to the reduced average size of the pigment, the reflectance of the coating is maintained or enhanced. When the addition amount is 5.0 wt.%, the coating achieves the highest bonding strength of Grade 1 with a reflectivity of 0.830. After heat treatment at 1000 °C for an hour, the coating transforms into an inorganic coating composed of partially melted muscovite and rutile-phase TiO2. The nano-TiO2 promotes the formation of a molten phase, which further increases the coating density and makes the surface smoother. Consequently, the coating’s bonding strength and reflectance are further improved, reaching Grade 0 and 0.945 respectively. Full article
(This article belongs to the Special Issue Ceramic and Glass Material Coatings)
Show Figures

Figure 1

17 pages, 533 KB  
Systematic Review
Immersive Virtual Reality in Addictive Disorders: A Systematic Review of Neuroimaging Evidence
by Francesco Monaco, Ernesta Panarello, Annarita Vignapiano, Stefania Landi, Rossella Mucciolo, Raffaele Malvone, Ilaria Pullano, Alessandra Marenna, Anna Maria Iazzolino, Giulio Corrivetti and Luca Steardo
Neuroimaging 2026, 1(1), 5; https://doi.org/10.3390/neuroimaging1010005 - 4 Mar 2026
Viewed by 457
Abstract
Background: Addictive disorders are characterized by the dysregulation of neural circuits involved in reward processing, salience attribution, emotional regulation, and cognitive control. Traditional neuroimaging paradigms based on static or two-dimensional stimuli show limited ecological validity and may fail to capture the contextual [...] Read more.
Background: Addictive disorders are characterized by the dysregulation of neural circuits involved in reward processing, salience attribution, emotional regulation, and cognitive control. Traditional neuroimaging paradigms based on static or two-dimensional stimuli show limited ecological validity and may fail to capture the contextual complexity of real-world addictive triggers. Immersive virtual reality (VR) offers a novel approach to simulate realistic, multisensory environments capable of eliciting craving and emotional responses. Although several reviews have examined VR in addictive disorders, most combined immersive and non-immersive tools and did not restrict inclusion to studies with brain-based outcomes. Methods: This systematic review with narrative synthesis was conducted in PubMed/MEDLINE and APA PsycINFO for studies published up to 30 December 2025. This systematic review followed PRISMA 2020 and was prospectively registered in PROSPERO; due to heterogeneity, findings were synthesized narratively. Eligible studies included human participants with substance-related or behavioral addictions and employed immersive VR paradigms (e.g., head-mounted display–based environments) combined with neuroimaging or neurophysiological measures (EEG, fMRI, fNIRS, PET, or DTI). Risk of bias was assessed using ROB-2 or ROBINS-I, and overall certainty of evidence was evaluated with the GRADE framework. Results: Ten studies met the inclusion criteria, encompassing over 1450 participants with alcohol, nicotine, methamphetamine, opioid use disorders, and internet gaming disorder. Immersive VR was associated with craving-related neural responses across modalities, involving prefrontal, insular, limbic, and striatal networks. EEG studies reported spectral power changes associated with craving and attentional salience, while fMRI, fNIRS, and PET studies demonstrated activation and modulation of executive control and reward-related circuits. Preliminary longitudinal and interventional studies indicate that repeated VR exposure may induce neurobiological changes consistent with therapeutic modulation. Conclusions: Immersive VR combined with neuroimaging supports the use of immersive VR as an ecologically grounded framework to probe addiction-related brain circuits; however, larger trials and standardized reporting are needed to strengthen clinical translation. Future studies should prioritize adequately powered randomized designs, harmonized VR cue-reactivity paradigms, and transparent neuroimaging reporting to enable reproducibility and cumulative inference. Full article
Show Figures

Figure 1

22 pages, 4357 KB  
Article
Assessing Melt Flow Rate in Post-Consumer Polypropylene via Near-Infrared Hyperspectral Imaging
by Nikolai Kuhn, Moritz Mager, Gerald Koinig, Jutta Geier, Jean-Philippe Andreu, Joerg Fischer and Alexia Tischberger-Aldrian
Polymers 2026, 18(4), 524; https://doi.org/10.3390/polym18040524 - 20 Feb 2026
Viewed by 620
Abstract
Mechanical recycling of polypropylene (PP) is constrained by the heterogeneous properties of post-consumer feedstocks. Melt flow rate (MFR) is a key property relevant to processing, and it varies widely across packaging grades, which limits the quality and substitutability of recyclates. This study evaluates [...] Read more.
Mechanical recycling of polypropylene (PP) is constrained by the heterogeneous properties of post-consumer feedstocks. Melt flow rate (MFR) is a key property relevant to processing, and it varies widely across packaging grades, which limits the quality and substitutability of recyclates. This study evaluates near-infrared hyperspectral imaging (NIR-HSI) for predicting MFR in post-consumer PP packaging. Eighty-two rigid PP samples (46 white, 36 clear) with MFR values between 2 and 108 g 10 min−1 were collected from an Austrian material recovery facility. Thirteen different linear and non-linear regression models were examined using median and pixel-wise aggregated spectral representations across the samples. Tree-based models consistently achieved best performances with R2 = 0.85, RMSE = 12.4 g 10 min−1 on white samples and R2 = 0.61, RMSE = 14.0 g 10 min−1 on clear samples. On the combined sample set, R2 = 0.66 and RMSE = 17.3 g 10 min−1 were reached. Informative spectral regions correspond to typical bands of PP. Binary classification at different thresholds (6, 12, 30, 60 g 10 min−1) were also examined and achieved balanced accuracies of 0.82–0.92. Median spectral representations consistently outperformed pixel-wise aggregation. Results demonstrate that NIR-HSI can support grade-directed sorting of post-consumer PP, particularly for opaque white samples, though heteroscedasticity at high MFR values and irreducible outliers represent inherent limitations. Full article
(This article belongs to the Section Circular and Green Sustainable Polymer Science)
Show Figures

Graphical abstract

13 pages, 1185 KB  
Article
A Dual-Mode Near-Infrared Optical Probe and Monte Carlo Framework for Functional Monitoring of Rheumatoid Arthritis: Addressing Diagnostic Ambiguity and Skin Tone Robustness
by Parmveer Atwal, Ryley McWilliams, Ramani Ramaseshen and Farid Golnaraghi
Sensors 2026, 26(4), 1179; https://doi.org/10.3390/s26041179 - 11 Feb 2026
Viewed by 467
Abstract
Current diagnostic modalities for rheumatoid arthritis (RA), such as Magnetic Resonance Imaging (MRI) and ultrasound (US), excel at visualizing structural pathology but are either resource-intensive or often limited to morphological assessment. In this work, we present the design and technical validation of a [...] Read more.
Current diagnostic modalities for rheumatoid arthritis (RA), such as Magnetic Resonance Imaging (MRI) and ultrasound (US), excel at visualizing structural pathology but are either resource-intensive or often limited to morphological assessment. In this work, we present the design and technical validation of a low-cost continuous-wave near-infrared (NIR) dual-mode optical probe for functional monitoring of joint inflammation. Unlike superficial imaging, NIR light penetrates approximately 3–5 cm and is tissue and wavelength dependent, enabling trans-illumination of the synovial volume. The system combines reflectance and transmission geometries to resolve the ambiguity between disease presence and disease severity. To validate the diagnostic logic, we employed mcxyzn Monte Carlo (MC) simulations to model the optical signature of RA progression from early onset to EULAR-OMERACT grade 2 pannus hypertrophy on a simplified finger model, based on several tissue models in the literature and supported by physical measurements on a multilayer silicone phantom and in vivo signal verification on human volunteers. Our results demonstrate a distinct functional dichotomy: reflectance geometry serves as a binary discriminator of synovial turbidity onset, while transmission flux serves as a monotonic proxy for pannus volume, exhibiting a quantifiable signal decay consistent with the Beer–Lambert law. Signal verification on a subject with confirmed RA pathology demonstrated a significant increase in the effective attenuation coefficient (µeff ~ 0.59 mm−1) compared to the healthy baseline (µeff ~ 0.47  mm−1). Furthermore, simulation analysis revealed a critical “metric inversion” in darker skin phenotypes (Fitzpatrick V–VI), where the standard beam-broadening signature of inflammation is artificially suppressed by epidermal absorption. We conclude that while transmission flux remains a robust grading metric across diverse skin tones, morphological beam-shape metrics are not robust, particularly in high-absorption populations. By targeting the hemodynamic precursors of structural damage, this dual-mode probe design offers a potential pathway for longitudinal, quantitative monitoring of disease activity at the point of care, while the systematic use of the Monte Carlo framework provides insight into the measurement geometry most suitable for a given clinical endpoint, whether that be detecting the presence or severity of rheumatoid arthritis. Full article
Show Figures

Figure 1

19 pages, 1732 KB  
Article
Influence of Particle Agglomeration on the Spectral Characteristics of Hematite and the Underlying Mechanisms
by Ruibo Ding, Shanjun Liu, Wenhua Yi and Lianhuan Wei
Minerals 2026, 16(2), 190; https://doi.org/10.3390/min16020190 - 10 Feb 2026
Cited by 1 | Viewed by 325
Abstract
The spectral characteristics of hematite are critical for its remote sensing identification and inversion, but these characteristics are significantly influenced by particle size. Previous studies have primarily focused on particle size ranges (>40 µm) that have already been investigated and generally concluded that [...] Read more.
The spectral characteristics of hematite are critical for its remote sensing identification and inversion, but these characteristics are significantly influenced by particle size. Previous studies have primarily focused on particle size ranges (>40 µm) that have already been investigated and generally concluded that spectral reflectance in the near-infrared (NIR) band increases as particle size decreases. However, the potential “reversal” of this trend—specifically, a decrease in reflectance with decreasing particle size due to agglomeration effects—and its underlying mechanism at the micron and sub-micron scales remain unclear. To address this issue, six distinct particle size grades targeting the ultrafine scale were systematically prepared from high-purity hematite, with average diameters ranging from 37.5 µm down to 0.76 µm. Reflectance spectroscopy measurements were conducted to analyze spectral variations across the 350~2500 nm wavelength range. The experimental results showed that particle size had little influence on reflectance within the 350~1175 nm wavelength range. In contrast, significant dependence on particle size was observed in the 1175~2500 nm range, where a reversal of the reflectance trend occurred at a critical particle size of 15.41 µm. Specifically, reflectance increased with decreasing particle size above 15.41 µm. However, reflectance decreases dramatically when particle size falls below 15.41 µm due to increased agglomeration. This contrasts with the trend reported in previous studies. Mechanism analysis revealed that, within the 350~1175 nm range, the high complex refractive index of hematite resulted in minimal influence of particle size on reflectance. In the range of 1175~2500 nm, reflectance increased with decreasing particle size when the particle size exceeded 15.41 µm, a behavior primarily governed by particle scattering effects. Conversely, when the particle size decreased below 15.41 µm, the reflectance declined significantly with a further reduction in particle size, demonstrating a distinct trend reversal. This phenomenon is attributed to the low complex refractive index of hematite combined with a dramatic increase in particle aggregation effects as particle size decreases. These factors collectively increase the equivalent optical path length and intensify multiple absorption, leading to the observed decrease in reflectance. This study establishes the key control of agglomeration effects on the spectral behavior of fine hematite particles, providing crucial theoretical and experimental foundations for advancing high-precision, quantitative remote sensing inversion. Full article
(This article belongs to the Section Mineral Exploration Methods and Applications)
Show Figures

Graphical abstract

17 pages, 2438 KB  
Article
Development of a Gravity-Driven Vis/NIR Spectroscopy Device for Detection and Grading of Soluble Solids Content in Oranges
by Yuhao Huang, Sai Xu, Xin Liang, Huazhong Lu and Pingzhi Wu
Agriculture 2026, 16(3), 293; https://doi.org/10.3390/agriculture16030293 - 23 Jan 2026
Viewed by 393
Abstract
To address the limitations of conventional conveyor-based systems in online detection and grading of orange soluble solids content (SSC), this study developed a novel gravity-driven detection device. Traditional systems are constrained by carrier-induced optical interference, complex mechanical structures, and large spatial requirements, limiting [...] Read more.
To address the limitations of conventional conveyor-based systems in online detection and grading of orange soluble solids content (SSC), this study developed a novel gravity-driven detection device. Traditional systems are constrained by carrier-induced optical interference, complex mechanical structures, and large spatial requirements, limiting their application in small- and medium-sized enterprises. By introducing a gravity-driven paradigm, this research eliminates the need for fruit carriers and enables vertical spectral acquisition during gravitational descent, effectively overcoming carrier interference and spatial constraints. The integrated system comprises a synchronous-release feeding mechanism, a Vis/NIR detection module, and an intelligent grading unit. Through systematic optimization of disk rotation speed, integration time, and spot size, stable and efficient spectral acquisition was achieved, resulting in a throughput of one fruit per second. The optimized PLSR model, utilizing SG-SNV preprocessing and CARS feature selection, demonstrated excellent predictive performance, with an Rp2 of 0.8746 and an RMSEP of 0.3001 °Brix. External validation confirmed 96.6% prediction accuracy within a ±1.0 °Brix error range and an overall grading accuracy of 86.6%. This system offers a compact, cost-effective, and high-performance solution for real-time fruit quality inspection, with potential applications to various spherical fruits. Full article
(This article belongs to the Section Agricultural Technology)
Show Figures

Graphical abstract

15 pages, 1746 KB  
Article
Multivariate Quantitative Prediction of Soluble Solids Content, Moisture Content, and Fruit Firmness in ‘Dinosaur Egg’ Apricot Plum via Near-Infrared Spectroscopy with Cross-Parameter Feature Fusion and SHapley Additive exPlanations-Based Optimization
by Yunhai Wang, Zhaoshuai Zhu, Wulan Mao, Kuanbo Cui, Liling Yang, Lina Sun, Wenjie Ma, Wenqiang Ma and Binbin Xiang
Foods 2025, 14(23), 4118; https://doi.org/10.3390/foods14234118 - 1 Dec 2025
Cited by 2 | Viewed by 711
Abstract
To meet market demand for fresh ‘Dinosaur Egg’ Apricot plum and realize effective quality classification, this study developed a non-destructive quality evaluation method using near-infrared spectroscopy (NIRS) with cross-parameter feature fusion. Spectral data were preprocessed, and key bands were screened via Competitive Adaptive [...] Read more.
To meet market demand for fresh ‘Dinosaur Egg’ Apricot plum and realize effective quality classification, this study developed a non-destructive quality evaluation method using near-infrared spectroscopy (NIRS) with cross-parameter feature fusion. Spectral data were preprocessed, and key bands were screened via Competitive Adaptive Reweighted Sampling (CARS) and Shuffled Frog Leaping Algorithm (SFLA). Partial Least Squares Regression (PLSR) models for soluble solids content (SSC), moisture content (MC), and fruit firmness (FF) were established. Chemical index features were fused with FF-related preliminary features, and SHapley Additive exPlanations (SHAP) optimized feature contribution. Final models showed high performance: SSC (Rc2 = 0.9354, Rp2 = 0.9302, RMSE = 0.5212° Brix), MC (Rc2 = 0.9367, Rp2 = 0.9314, RMSE = 5.037 × 10−5), and FF (Rc2 = 0.8151, Rp2 = 0.7986, RMSE = 1.2710 N). This strategy improved the multi-quality detection accuracy, especially for FF, and provides technical support for intelligent fruit grading. Full article
Show Figures

Figure 1

20 pages, 3588 KB  
Article
Design of a Portable Nondestructive Instrument for Apple Watercore Grade Classification Based on 1DQCNN and Vis/NIR Spectroscopy
by Haijian Wu, Yong Lin, Wenbin Zhang, Zikang Cao, Chunlin Zhao, Zhipeng Yin, Yue Lu, Liju Liu and Ding Hu
Micromachines 2025, 16(12), 1357; https://doi.org/10.3390/mi16121357 - 29 Nov 2025
Viewed by 592
Abstract
To address the challenge of nondestructively identifying watercore disease in apples during growth and maturation, a portable device was developed for real-time grading of apple watercore using visible/near-infrared (Vis/NIR) spectroscopy combined with a one-dimensional quadratic convolutional neural network (1DQCNN). The instrument enables rapid, [...] Read more.
To address the challenge of nondestructively identifying watercore disease in apples during growth and maturation, a portable device was developed for real-time grading of apple watercore using visible/near-infrared (Vis/NIR) spectroscopy combined with a one-dimensional quadratic convolutional neural network (1DQCNN). The instrument enables rapid, nondestructive, and accurate detection of apple watercore grades. The AI-OX2000-13 micro-spectrometer is used as the core data acquisition unit, and an ARM processing system is built with the STM32F103VET6 as the main control chip. A 4G wireless communication module enables efficient and stable data transmission between the processor and computer, meeting the real-time detection needs of apple watercore content in orchard environments. To improve the scientific and accurate classification of watercore grades, this paper combines the BiSeNet and RIFE algorithms to construct a 3D model of apple watercore, allowing quantification of the degree of watercore and classification into four levels. Based on this, quadratic convolution operations are incorporated into a one-dimensional convolutional neural network (1DCNN), leading to the development of the 1D quadratic convolutional neural network (1DQCNN) model for watercore grade classification. Experimental results indicate that the model achieves a classification accuracy of 98.05%, outperforming traditional methods and conventional CNN models. The designed portable instrument demonstrates excellent accuracy and practicality in real-world applications. Full article
(This article belongs to the Section B:Biology and Biomedicine)
Show Figures

Figure 1

34 pages, 1873 KB  
Review
Artificial Intelligence in Rice Quality and Milling: Technologies, Applications, and Future Prospects
by Benjamin Ilo, Abraham Badjona, Yogang Singh, Alex Shenfield and Hongwei Zhang
Processes 2025, 13(11), 3731; https://doi.org/10.3390/pr13113731 - 19 Nov 2025
Cited by 1 | Viewed by 2799
Abstract
The global demand for high-quality rice necessitates advancements in milling technologies and quality assessment techniques that are rapid, accurate, and scalable. Traditional methods of rice evaluation are time-consuming and subjective, and are increasingly being replaced by artificial intelligence driven solutions that offer non-destructive, [...] Read more.
The global demand for high-quality rice necessitates advancements in milling technologies and quality assessment techniques that are rapid, accurate, and scalable. Traditional methods of rice evaluation are time-consuming and subjective, and are increasingly being replaced by artificial intelligence driven solutions that offer non-destructive, real-time monitoring capabilities. This review presents a comprehensive synthesis of current AI applications including machine vision, deep learning, spectroscopy, thermal imaging, and hyperspectral imaging for the assessment and classification of rice quality across various stages of processing. Major emphasis is put on the recent advances in convolutional neural networks (CNNs), YOLO architectures, and Mask R-CNN models, and their integration into industrial rice milling systems is discussed. Additionally, the review highlights next steps, notably designing lean AI architectures suitable for edge computing, hybrid imaging systems, and the creation of open-access datasets. Across recent rice-focused studies, classification accuracies for grading and varietal identification are typically ≥90% using machine vision and CNNs, while NIR–ANN models for physicochemical properties (e.g., moisture/protein proxies) commonly report strong fits (R20.900.99). End-to-end detectors/segmenters (e.g., YOLO/YO-LACTS) achieve high precision suitable for near real-time inspection. These results indicate that AI-based approaches can substantially outperform conventional evaluation in both accuracy and throughput. Full article
Show Figures

Figure 1

23 pages, 5198 KB  
Article
A Feasibility Study on Noninvasive Blood Glucose Estimation Using Machine Learning Analysis of Near-Infrared Spectroscopy Data
by Tae Wuk Bae, Byoung Ik Kim, Kee Koo Kwon and Kwang Yong Kim
Biosensors 2025, 15(11), 711; https://doi.org/10.3390/bios15110711 - 25 Oct 2025
Cited by 1 | Viewed by 3079
Abstract
This study explored the feasibility of noninvasive blood glucose (BG) estimation using near-infrared (NIR) spectroscopy with dog blood samples. A sensor module employing three representative wavelengths (770 nm, 850 nm, and 970 nm) was tested on an artificial blood vessel (ABV) and a [...] Read more.
This study explored the feasibility of noninvasive blood glucose (BG) estimation using near-infrared (NIR) spectroscopy with dog blood samples. A sensor module employing three representative wavelengths (770 nm, 850 nm, and 970 nm) was tested on an artificial blood vessel (ABV) and a thin pig skin (TPS) model. BG concentrations were adjusted through dilution and enrichment with injection-grade water and glucose solution, and reference values were obtained from three commercial invasive glucometers. Correlations between NIR spectral responses and glucose variations were quantitatively evaluated using linear, multiple, partial least squares (PLS), logistic regression, regularized linear models, and multilayer perceptron (MLP) analysis. The results revealed distinct negative correlations at 850 nm and 970 nm, identifying these wavelengths as promising candidates for noninvasive glucose sensing. Furthermore, an NIR–glucose database generated from actual dog blood was established, which may serve as a valuable resource for the development of future noninvasive glucose monitoring systems. Full article
Show Figures

Figure 1

17 pages, 4000 KB  
Article
Development and Characterization of Near-Infrared Detectable Twin Dye Patterns on Polyester Packaging for Smart Optical Tagging
by Silvio Plehati, Aleksandra Bernašek Petrinec, Tomislav Bogović and Jana Žiljak Gršić
Polymers 2025, 17(20), 2784; https://doi.org/10.3390/polym17202784 - 17 Oct 2025
Viewed by 850
Abstract
Smart polyester materials with embedded near-infrared (NIR) functionalities offer a promising pathway for low-cost, covert tagging, and object identification. In this study we present the development and characterization of polyester packaging surfaces printed with spectrally matched twin dyes that are invisible under visible [...] Read more.
Smart polyester materials with embedded near-infrared (NIR) functionalities offer a promising pathway for low-cost, covert tagging, and object identification. In this study we present the development and characterization of polyester packaging surfaces printed with spectrally matched twin dyes that are invisible under visible light but selectively absorbed in the NIR region. The dye patterns were applied using a Direct-to-Film transfer (DTF) method onto polyester substrates. To validate their optical behavior, we applied a dual measurement approach. Laboratory grade NIR absorbance spectroscopy was used to characterize the spectral profiles of the twin dyes in the 400–900 nm range. A custom photodiode-based detection system was constructed to evaluate the feasibility of low-cost, embedded NIR absorbance sensing. Results from both methods show correlation in absorbance contrast between the dye pairs, confirming their suitability for spectral tagging. The developed materials were evaluated in a real-world detection scenario using commercially available NIR cameras. Under dark field conditions with edge illuminated planar lighting, the twin dye patterns were successfully recognized through custom software, enabling non-contact identification and spatial localization of the NIR codes. This work presents a low-cost, scalable approach for smart packaging applications based on optical detection of actively illuminated twin dyes using accessible NIR imaging systems. Full article
Show Figures

Graphical abstract

30 pages, 1350 KB  
Review
Mango Quality Assessment Using Near-Infrared Spectroscopy and Hyperspectral Imaging: A Systematic Review
by Ramesh Kumar Chaudhary, Arjun Neupane, Zhenglin Wang and Kerry Walsh
Agronomy 2025, 15(10), 2271; https://doi.org/10.3390/agronomy15102271 - 25 Sep 2025
Cited by 4 | Viewed by 5389
Abstract
Mango is considered a high-value tropical fruit, and its commercial and consumer acceptance depends on internal and external quality attributes such as Total Soluble Solids (TSS), Dry Matter Content (DMC), firmness, ripeness, and surface defects. In recent years, non-destructive sensing technologies such as [...] Read more.
Mango is considered a high-value tropical fruit, and its commercial and consumer acceptance depends on internal and external quality attributes such as Total Soluble Solids (TSS), Dry Matter Content (DMC), firmness, ripeness, and surface defects. In recent years, non-destructive sensing technologies such as Near-Infrared Spectroscopy (NIRS) and Hyperspectral Imaging (HSI) have gained prominence for their ability to quickly and accurately evaluate mango quality. In this study, 101 articles published within the last ten years, were systematically retrieved, and 85 research papers were selected for detailed analysis. The review focuses on statistical analysis, conventional machine learning, deep learning, and transformer-based methods applied to mango quality assessment. The objective is to systematically review and analyse data-driven models for non-destructive mango grading using NIRS and HSI technologies, with particular emphasis on data collection methods, preprocessing techniques, dimensionality reduction, and predictive modelling approaches. This review aims to identify the most effective and widely adopted machine learning and deep learning methods, especially transformer models, for accurate and real-time mango quality assessment. Furthermore, it highlights key quality traits evaluated, current research gaps, and future opportunities to advance intelligent, real-time, and automated mango grading systems for practical use in the fruit industry. Full article
Show Figures

Figure 1

21 pages, 4871 KB  
Article
Assessment of Tenderness and Anthocyanin Content in Zijuan Tea Fresh Leaves Using Near-Infrared Spectroscopy Fused with Visual Features
by Shuya Chen, Fushuang Dai, Mengqi Guo and Chunwang Dong
Foods 2025, 14(17), 2938; https://doi.org/10.3390/foods14172938 - 22 Aug 2025
Viewed by 1048
Abstract
Focusing on the characteristic tea resource Zijuan tea, this study addresses the difficulty of grading on production lines and the complexity of quality evaluation. On the basis of the fusion of near-infrared (NIR) spectroscopy and visual features, a novel method is proposed for [...] Read more.
Focusing on the characteristic tea resource Zijuan tea, this study addresses the difficulty of grading on production lines and the complexity of quality evaluation. On the basis of the fusion of near-infrared (NIR) spectroscopy and visual features, a novel method is proposed for classifying different tenderness levels and quantitatively assessing key anthocyanin components in Zijuan tea fresh leaves. First, NIR spectra and visual feature data were collected, and anthocyanin components were quantitatively analyzed using UHPLC-Q-Exactive/MS. Then, four preprocessing techniques and three wavelength selection methods were applied to both individual and fused datasets. Tenderness classification models were developed using Particle Swarm Optimization–Support Vector Machine (PSO-SVM), Random Forest (RF), and Convolutional Neural Networks (CNNs). Additionally, prediction models for key anthocyanin content were established using linear Partial Least Squares Regression (PLSR), nonlinear Support Vector Regression (SVR) and RF. The results revealed significant differences in NIR spectral characteristics across different tenderness levels. Model combinations such as TEX + Medfilt + RF and NIR + Medfilt + CNN achieved 100% accuracy in both training and testing sets, demonstrating robust classification performance. The optimal models for predicting key anthocyanin contents also exhibited excellent predictive accuracy, enabling the rapid and nondestructive detection of six major anthocyanin components. This study provides a reliable and efficient method for intelligent tenderness classification and the rapid, nondestructive detection of key anthocyanin compounds in Zijuan tea, holding promising potential for quality control and raw material grading in the specialty tea industry. Full article
Show Figures

Figure 1

19 pages, 1779 KB  
Review
Current and Emerging Fluorescence-Guided Techniques in Glioma to Enhance Resection
by Trang T. T. Nguyen, Hayk Mnatsakanyan, Eunhee Yi and Christian E. Badr
Cancers 2025, 17(16), 2702; https://doi.org/10.3390/cancers17162702 - 19 Aug 2025
Cited by 4 | Viewed by 2733
Abstract
Maximal safe surgical resection remains a critical component of glioblastoma (GBM) management, improving both survival and quality of life. However, complete tumor removal is hindered by the infiltrative nature of GBM and its proximity to eloquent brain regions. Fluorescence-guided surgery (FGS) has emerged [...] Read more.
Maximal safe surgical resection remains a critical component of glioblastoma (GBM) management, improving both survival and quality of life. However, complete tumor removal is hindered by the infiltrative nature of GBM and its proximity to eloquent brain regions. Fluorescence-guided surgery (FGS) has emerged as a valuable tool to enhance intraoperative tumor visualization and optimize resection outcomes. Currently used fluorophores such as 5-aminolevulinic acid (5-ALA), fluorescein sodium (FS), and indocyanine green (ICG) have distinct advantages but are limited by suboptimal specificity, shallow tissue penetration, and technical constraints. 5-ALA and SF often yield unreliable signals in low-grade tumors or infiltrative regions and also pose challenges such as phototoxicity and poor depth resolution. In contrast, near-infrared (NIR) fluorescence imaging represents a promising next-generation approach, providing superior tissue penetration, reduced autofluorescence, and real-time delineation of tumor margins. This review explores the mechanisms, clinical applications, and limitations of currently approved FGS agents and highlights future directions in image-guided neurosurgery. Full article
(This article belongs to the Special Issue Research on Fluorescence-Guided Surgery in Cancer Treatment)
Show Figures

Figure 1

Back to TopTop