Sign in to use this feature.

Years

Between: -

Subjects

remove_circle_outline
remove_circle_outline
remove_circle_outline
remove_circle_outline
remove_circle_outline
remove_circle_outline
remove_circle_outline
remove_circle_outline
remove_circle_outline

Journals

remove_circle_outline
remove_circle_outline
remove_circle_outline
remove_circle_outline
remove_circle_outline
remove_circle_outline
remove_circle_outline
remove_circle_outline

Article Types

Countries / Regions

remove_circle_outline
remove_circle_outline

Search Results (276)

Search Parameters:
Keywords = NH3 exposure

Order results
Result details
Results per page
Select all
Export citation of selected articles as:
18 pages, 5332 KB  
Article
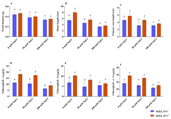
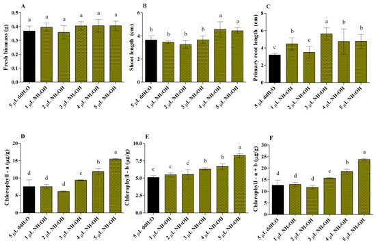
Influence of Pseudomonas sp. NEEL19 Expelled Volatile Compounds on Growth and Development of Crop Seedlings
by Poovarasan Neelakandan, Fo-Ting Shen, Shih-Yao Lin, Shih-Han Lin and Chiu-Chung Young
Microorganisms 2025, 13(12), 2754; https://doi.org/10.3390/microorganisms13122754 - 4 Dec 2025
Viewed by 165
Abstract
This research intended to investigate the airborne chemical communication that occurs via volatile substances released by phyllosphere-associated bacteria, and it has been investigated whether it is beneficial to plants. The composition of halotolerant Pseudomonas sp. NEEL19 volatiles and impact on mung bean and [...] Read more.
This research intended to investigate the airborne chemical communication that occurs via volatile substances released by phyllosphere-associated bacteria, and it has been investigated whether it is beneficial to plants. The composition of halotolerant Pseudomonas sp. NEEL19 volatiles and impact on mung bean and fenugreek growth and metabolism were examined through co-culture in PPD. NEEL19 volatile mixtures (NEEL19 V+) enhanced the shoot and root length and chlorophyll content of mung bean under different saline conditions on short-term exposure. In particular, total chlorophyll a + b showed percentage increases of 58.15%, 67.00%, and 29.5% at 0, 50, and 100 mM NaCl, respectively. Furthermore, fenugreek seedlings’ biomass, shoot length, and chlorophyll content significantly increased while exposed to NEEL19 V+. In order to identify the range of volatile organic compounds (VOCs) that NEEL19 released, SPME-GCMS was utilized. The predominant VOC was dimethyl disulfide, while volatile inorganic compounds (VICs), including CO2 and NH3, were examined using the volatile trapping method. Saline stress of 100 mM NaCl influences the quantity and composition of both VOCs and VICs production in NEEL19. The consequences of aqueous NH4OH (1–5 μL) exposure seed PPD assay disclosed that NH3 is one of the responsible volatile substances that trigger substantial alterations in shoot length, root length, total chlorophyll, and stomatal structure in mung bean seedlings. Whereas, fenugreek seedlings exhibited a high chlorophyll content overall. This study indicates that the release of volatile mixtures from NEEL19 promotes the growth and development of mung bean and fenugreek seedlings. Full article
(This article belongs to the Special Issue Interaction Between Microorganisms and Environment)
Show Figures

Figure 1

34 pages, 2364 KB  
Article
Development of TiO2 Films by Sol–Gel/Sedimentation for the Inactivation of Multidrug-Resistant Escherichia coli and Salmonella Typhimurium in Greywater
by Luz Adriana Rincón-Barón, María Paula Forero-Carvajal, Laura Gabriela Ramírez-Alemán, Augusto Enrique Mejía-Gómez, Juan Carlos Salcedo-Reyes, Ana Karina Carrascal-Camacho, Camilo Velez and Aura Marina Pedroza-Rodríguez
Catalysts 2025, 15(12), 1115; https://doi.org/10.3390/catal15121115 - 30 Nov 2025
Viewed by 372
Abstract
Crystalline TiO2 films were synthesized on hydrophilic glass substrates by Peroxo sol–gel and sedimentation (S1–S4) and compared with conventional sol–gel protocols (S5–S10). The films were deposited on soda-lime glass and characterized by X-ray diffraction (XRD), scanning electron microscopy (SEM), energy-dispersive X-ray spectroscopy [...] Read more.
Crystalline TiO2 films were synthesized on hydrophilic glass substrates by Peroxo sol–gel and sedimentation (S1–S4) and compared with conventional sol–gel protocols (S5–S10). The films were deposited on soda-lime glass and characterized by X-ray diffraction (XRD), scanning electron microscopy (SEM), energy-dispersive X-ray spectroscopy (EDS), and UV–Vis absorption. Photocatalytic activity was evaluated through the inactivation of multidrug-resistant Escherichia coli and Salmonella Typhimurium, and the removal of chemical oxygen demand (COD) from greywater under UV irradiation. The obtained films exhibited anatase crystallinity, crystallite sizes of ~60 nm, and grain sizes between 1.5 and 3.0 µm. S1 films showed a bandgap of 3.26 eV (380 nm). Under UV exposure, S1 reduced E. coli and S. Typhimurium by 4.78 and 3.00 Log10 units, respectively, at pH 5.0 after 30 min, while COD decreased to 380 mg L−1 compared to 433 mg L−1 with UV photolysis alone. Increasing TiO2 loading and extending irradiation to 120 min further enhanced bacterial inactivation (93 and 78% for E. coli and S. Typhimurium), COD (33%), NH4+ (90%), and H2S (89%) oxidation, outperforming UV-light controls. These results indicate that S1 films exhibited superior crystallinity, photocatalytic performance, and bacterial inactivation compared to other protocols, although complete mineralization was not achieved. Full article
(This article belongs to the Special Issue Advances in Photocatalytic Degradation)
Show Figures

Figure 1

14 pages, 1197 KB  
Article
Silver Sulfide Quantum Dots Conjugated with Anti-PSG1 Monoclonal Antibodies: Optical, Photothermal, and Cytocompatibility Assessment
by Daniel Martinez-Osuna, Imelda Olivas-Armendariz, Porfirio Estrada-Rojas, Florinda Jimenez-Vega, Mónica Elvira Mendoza-Duarte, Alejandro Vega-Rios, Christian Chapa-Gonzalez, Santos-Adriana Martel-Estrada, Laura Elizabeth Valencia-Gomez, Mauricio Salcedo and María Fernanda Amézaga-González
Processes 2025, 13(11), 3382; https://doi.org/10.3390/pr13113382 - 22 Oct 2025
Viewed by 424
Abstract
Silver sulfide quantum dots (Ag2S QDs) are promising nanomaterials for biomedical applications due to their near-infrared emission and biocompatibility. In this study, Ag2S QDs were synthesized using bovine serum albumin (BSA) as a stabilizing and reducing agent to assess [...] Read more.
Silver sulfide quantum dots (Ag2S QDs) are promising nanomaterials for biomedical applications due to their near-infrared emission and biocompatibility. In this study, Ag2S QDs were synthesized using bovine serum albumin (BSA) as a stabilizing and reducing agent to assess their potential in targeted photothermal therapy. The QDs showed an average size of 1.06 ± 0.38 nm by DLS and 4.42 nm by TEM. Conjugation to an anti-PSG1 monoclonal antibody was performed via EDC/Sulfo-NHS chemistry and confirmed by FTIR spectroscopy, a decrease in zeta potential, and a redshift in emission. The conjugate exhibited an average size of 22.82 ± 9.7 nm and a zeta potential of +85.7 mV, indicating high colloidal stability. Fluorescence studies showed that the conjugate emits at 590 nm when excited at 560 nm, whereas the BSA-Ag2S QDs (non-conjugated) emit at 480 nm upon excitation at 400 nm, reflecting changes in optical properties due to conjugation. Thermal imaging under 808 nm laser irradiation revealed efficient photothermal conversion, with temperature increases up to 13.6 °C at 200 μg/mL and a conversion efficiency of 11.41 ± 0.04%. The conjugate was non-cytotoxic to fibroblasts but induced selective cytotoxicity in HeLa cells after laser exposure, with a selectivity index of 3.0. These findings suggest that Ag2S-BSA QDs conjugated with anti-PSG1 represent promising candidates for further investigation in cancer nanotheranostics. Full article
(This article belongs to the Section Biological Processes and Systems)
Show Figures

Figure 1

23 pages, 6751 KB  
Article
Health Risk Assessment of Groundwater in Cold Regions Based on Kernel Density Estimation–Trapezoidal Fuzzy Number–Monte Carlo Simulation Model: A Case Study of the Black Soil Region in Central Songnen Plain
by Jiani Li, Yu Wang, Jianmin Bian, Xiaoqing Sun and Xingrui Feng
Water 2025, 17(20), 2984; https://doi.org/10.3390/w17202984 - 16 Oct 2025
Cited by 1 | Viewed by 626
Abstract
The quality of groundwater, a crucial freshwater resource in cold regions, directly affects human health. This study used groundwater quality monitoring data collected in the central Songnen Plain in 2014 and 2022 as a case study. The improved DRASTICL model was used to [...] Read more.
The quality of groundwater, a crucial freshwater resource in cold regions, directly affects human health. This study used groundwater quality monitoring data collected in the central Songnen Plain in 2014 and 2022 as a case study. The improved DRASTICL model was used to assess the vulnerability index, while water quality indicators were selected using a random forest algorithm and combined with the entropy-weighted groundwater quality index (E-GQI) approach to realize water quality assessment. Furthermore, self-organizing maps (SOM) were used for pollutant source analysis. Finally, the study identified the synergistic migration mechanism of NH4+ and Cl, as well as the activation trend of As in reducing environments. The uncertainty inherent to health risk assessment was considered by developing a kernel density estimation–trapezoidal fuzzy number–Monte Carlo simulation (KDE-TFN-MCSS) model that reduced the distribution mis-specification risks and high-risk misjudgment rates associated with conventional assessment methods. The results indicated that: (1) The water chemistry type in the study area was predominantly HCO3–Ca2+ with moderately to weakly alkaline water, and the primary and nitrogen pollution indicators were elevated, with the average NH4+ concentration significantly increasing from 0.06 mg/L in 2014 to 1.26 mg/L in 2022, exceeding the Class III limit of 1.0 mg/L. (2) The groundwater quality in the central Songnen Plain was poor in 2014, comprising predominantly Classes IV and V; by 2022, it comprised mostly Classes I–IV following a banded distribution, but declined in some central and northern areas. (3) The results of the SOM analysis revealed that the principal hardness component shifted from Ca2+ in 2014 to Ca2+–Mg2+ synergy in 2022. Local high values of As and NH4+ were determined to reflect geogenic origin and diffuse agricultural pollution, whereas the Cl distribution reflected the influence of de-icing agents and urbanization. (4) Through drinking water exposure, a deterministic evaluation conducted using the conventional four-step method indicated that the non-carcinogenic risk (HI) in the central and eastern areas significantly exceeded the threshold (HI > 1) in 2014, with the high-HI area expanding westward to the central and western regions in 2022; local areas in the north also exhibited carcinogenic risk (CR) values exceeding the threshold (CR > 0.0001). The results of a probabilistic evaluation conducted using the proposed simulation model indicated that, except for children’s CR in 2022, both HI and CR exceeded acceptable thresholds with 95% probability. Therefore, the proposed assessment method can provide a basis for improved groundwater pollution zoning and control decisions in cold regions. Full article
(This article belongs to the Special Issue Soil and Groundwater Quality and Resources Assessment, 2nd Edition)
Show Figures

Figure 1

14 pages, 2513 KB  
Article
Long-Term Chemical Solubility of 2.3Y-TZP Dental Ceramics
by Lidija Ćurković, Sanja Štefančić, Irena Žmak, Vilko Mandić, Ivana Gabelica and Ketij Mehulić
J. Funct. Biomater. 2025, 16(10), 374; https://doi.org/10.3390/jfb16100374 - 8 Oct 2025
Viewed by 904
Abstract
In this study, the chemical solubility (stability) of yttria-partially stabilized zirconia (2.3Y-TZP) dental ceramics, both glazed (Group 2) and non-glazed samples (Group 1), was evaluated using a modified testing protocol based on ISO 6872:2024. Chemical stability was assessed by measuring ion release with [...] Read more.
In this study, the chemical solubility (stability) of yttria-partially stabilized zirconia (2.3Y-TZP) dental ceramics, both glazed (Group 2) and non-glazed samples (Group 1), was evaluated using a modified testing protocol based on ISO 6872:2024. Chemical stability was assessed by measuring ion release with inductively coupled plasma mass spectrometry (ICP-MS) and by analyzing phase composition with X-ray diffraction (XRD). While ISO 6872 prescribes chemical stability testing in a 4 wt.% aqueous acetic acid solution at 80 °C for 16 h, the exposure duration in this study was extended to 768 h (32 days) to allow a more accurate determination of long-term solubility behavior. Additionally, the surface roughness parameters (Ra, Rmax, Rz, Sa, Sq) were analyzed and evaluated before and after solubility testing. Kinetic analysis revealed that degradation followed a near-parabolic rate law, with power-law exponents of n = 2.261 for Group 1 and n = 1.935 for Group 2. The corresponding dissolution rate constants were 3.85 × 10−5 µgn·cm−2n·h−1 for Group 1 and 132.3 µgn·cm−2n·h−1 for Group 2. XRD results indicated that the long exposure to acetic acid induced a partial phase transformation of zirconia from the tetragonal to the monoclinic phase. Under prolonged acetic exposure, the glaze layer on 2.3Y-TZP exhibited significantly higher dissolution, whereas the zirconia (polished, unglazed) showed low ion release. The temporal change in the total amount of dissolved ions was statistically analyzed for Group 1 and Group 2. The samples showed a strong correlation, but ANOVA confirmed significant differences between them. Full article
(This article belongs to the Special Issue Women’s Special Issue Series: Functional Biomaterials (2nd Edition))
Show Figures

Figure 1

20 pages, 3137 KB  
Article
HX-Linear and Nonlinear Optical Responsiveness of Rationally Designed Heteroleptic d8-Metallo-dithiolene Complexes
by Salahuddin S. Attar, Flavia Artizzu, Luca Pilia, Angela Serpe, Alessia Colombo, Claudia Dragonetti, Francesco Fagnani, Dominique Roberto, Daniele Marinotto and Paola Deplano
Molecules 2025, 30(19), 4004; https://doi.org/10.3390/molecules30194004 - 7 Oct 2025
Viewed by 552
Abstract
This work presents the HX-responsiveness of the following heteroleptic donor–M–acceptor dithiolene complexes: Bu4N[MII(L1)(L2)] [M = Ni(1), Pd(2), Pt(3)], where L1 is the chiral acceptor ligand [(R)-α-MBAdto = chiral (R)-(+)α-methylbenzyldithio-oxamidate] and L2 is the donor ligand (tdas = [...] Read more.
This work presents the HX-responsiveness of the following heteroleptic donor–M–acceptor dithiolene complexes: Bu4N[MII(L1)(L2)] [M = Ni(1), Pd(2), Pt(3)], where L1 is the chiral acceptor ligand [(R)-α-MBAdto = chiral (R)-(+)α-methylbenzyldithio-oxamidate] and L2 is the donor ligand (tdas = 1,2,5-thiadiazole-3,4-dithiolato). Addition of hydrohalic acids induces a strong bathochromic shift and visible color change, which is fully reversed by ammonia (NH3). Moreover, the sensing capability of 1 was further evaluated by deposition on a cellulose substrate. Exposure to HCl vapors induces an evident color change from purple to green, whereas successive exposure to NH3 vapors fully restores the purple color. Remarkably, cellulose films of 1 were revealed to be excellent optical sensors against the response to triethylamine, which is a toxic volatile amine. Moreover, the HCl-responsiveness of the nonlinear optical properties of complexes 1, 2, and 3 embedded into a poly(methyl methacrylate) poled matrix was demonstrated. Reversible chemical second harmonic generation (SHG) switching is achieved by exposing the poled films to HCl vapors and then to NH3 vapors. The SHG response ratio HCl–adduct/complex is significant (around 1.5). Remarkably, the coefficients of the susceptibility tensor for the HCl–adduct films are always larger than those of the respective free-complex films. Density Functional Theory (DFT) and time-dependent DFT calculations help in highlighting the structure–properties relationship. Full article
(This article belongs to the Special Issue Functional Coordination Compounds: Design, Synthesis and Applications)
Show Figures

Graphical abstract

26 pages, 842 KB  
Article
Speech Production Intelligibility Is Associated with Speech Recognition in Adult Cochlear Implant Users
by Victoria A. Sevich, Davia J. Williams, Aaron C. Moberly and Terrin N. Tamati
Brain Sci. 2025, 15(10), 1066; https://doi.org/10.3390/brainsci15101066 - 30 Sep 2025
Viewed by 1199
Abstract
Background/Objectives: Adult cochlear implant (CI) users exhibit broad variability in speech perception and production outcomes. Cochlear implantation improves the intelligibility (comprehensibility) of CI users’ speech, but the degraded auditory signal delivered by the CI may attenuate this benefit. Among other effects, degraded [...] Read more.
Background/Objectives: Adult cochlear implant (CI) users exhibit broad variability in speech perception and production outcomes. Cochlear implantation improves the intelligibility (comprehensibility) of CI users’ speech, but the degraded auditory signal delivered by the CI may attenuate this benefit. Among other effects, degraded auditory feedback can lead to compression of the acoustic–phonetic vowel space, which makes vowel productions confusable, decreasing intelligibility. Sustained exposure to degraded auditory feedback may also weaken phonological representations. The current study examined the relationship between subjective ratings and acoustic measures of speech production, speech recognition accuracy, and phonological processing (cognitive processing of speech sounds) in adult CI users. Methods: Fifteen adult CI users read aloud a series of short words, which were analyzed in two ways. First, acoustic measures of vowel distinctiveness (i.e., vowel dispersion) were calculated. Second, thirty-seven normal-hearing (NH) participants listened to the words produced by the CI users and rated the subjective intelligibility of each word from 1 (least understandable) to 100 (most understandable). CI users also completed an auditory sentence recognition task and a nonauditory cognitive test of phonological processing. Results: CI users rated as having more understandable speech demonstrated more accurate sentence recognition than those rated as having less understandable speech, but intelligibility ratings were only marginally related to phonological processing. Further, vowel distinctiveness was marginally associated with sentence recognition but not related to phonological processing or subjective ratings of intelligibility. Conclusions: The results suggest that speech intelligibility ratings are related to speech recognition accuracy in adult CI users, and future investigation is needed to identify the extent to which this relationship is mediated by individual differences in phonological processing. Full article
(This article belongs to the Special Issue Language, Communication and the Brain—2nd Edition)
Show Figures

Figure 1

21 pages, 1887 KB  
Article
Effect of Nickel Stress on Nitrogen Metabolism in Cucumber Plants
by Ewa Gajewska and Aleksandra Witusińska
Int. J. Mol. Sci. 2025, 26(19), 9327; https://doi.org/10.3390/ijms26199327 - 24 Sep 2025
Viewed by 462
Abstract
Excessive concentrations of nickel (Ni) are phytotoxic, leading to disturbances in plant cell structure and function. Although some attempts have been made to elucidate the Ni impact on plant metabolism, the effect of this metal on nitrogen assimilation and transformation of nitrogen compounds [...] Read more.
Excessive concentrations of nickel (Ni) are phytotoxic, leading to disturbances in plant cell structure and function. Although some attempts have been made to elucidate the Ni impact on plant metabolism, the effect of this metal on nitrogen assimilation and transformation of nitrogen compounds still remains poorly understood. The objective of our study was to gain a better insight into the Ni influence on nitrogen metabolism in cucumber plants. Nitrogen metabolism-related enzyme activities and selected metabolite contents were assayed using spectrophotometric methods. Additionally, in the leaves, nitrogen assimilation-involved gene expression was analyzed using quantitative real-time PCR. Nickel treatment resulted in a decline in NO3 content in the leaf and NH4+ content in the root. In the leaf, ferredoxin-dependent glutamate synthase (Fd-GOGAT) activity decreased, while NADH-dependent glutamate synthase (NADH-GOGAT) and glutamate dehydrogenase (GDH) activities increased. The GDH activity showed increases in both its aminating (NADH-GDH) and deaminating (NAD-GDH) functions. The activities of the other enzymes involved in nitrogen assimilation were not influenced by Ni stress. In the root, the activities of most enzymes were downregulated by Ni treatment except for NADH-GDH and NAD-GDH activities which showed increases. While glutamate content remained unaltered after Ni exposure in the leaf, in the root it was slightly lowered. In contrast to the leaf, showing accumulation of non-protein thiols and proline, in the root, these compound contents were markedly decreased. Our study revealed an organ-specific response of cucumber plants to Ni treatment. Accumulation of glutamate derivatives involved in response to heavy metal stress without significant changes in glutamate content may suggest that in the leaf, the induction of NADH-GOGAT and NADH-GDH activities efficiently compensates for the reduced Fd-GOGAT activity. Additionally, the increased NADP-ICDH activity may support glutamate production by providing 2-oxoglutarate for reactions catalyzed by NADH-GOGAT and NADH-GDH. Full article
Show Figures

Figure 1

13 pages, 277 KB  
Article
Regulation of Pseudomonas sp. PSC001 on the Artificial Rumen Environment Contaminated by Zearalenone
by Yiming Han, Xinfeng Li, Xiaoli Ren, Chao Song, Zhaojie Zhang, Yufeng Gao, Dongmei Shi, Hongyu Deng, Heping Huangfu and Jinming Wang
Toxins 2025, 17(9), 471; https://doi.org/10.3390/toxins17090471 - 21 Sep 2025
Viewed by 4008
Abstract
In this study, the RUSITEC system was used to study the regulation of rumen-derived Pseudomonas sp. PSC001 (PSC001) on the rumen environment contaminated by Zearalenone (ZEN). The rumen fluid of dairy cows was selected as the fermentation broth, and four experimental groups were [...] Read more.
In this study, the RUSITEC system was used to study the regulation of rumen-derived Pseudomonas sp. PSC001 (PSC001) on the rumen environment contaminated by Zearalenone (ZEN). The rumen fluid of dairy cows was selected as the fermentation broth, and four experimental groups were set up: control group (CON), Pseudomonas group (PS), ZEN pollution group (ZEN), and PS and ZEN co-treatment group (PS + ZEN). The NH3-N, microbial protein (MCP), and volatile fatty acid (VFA) in the rumen fermentation broth were measured after culturing, and the changes in microbial community structure in rumen fluid were analyzed by 16S rRNA gene sequencing. After adding PSC001, the concentration of propionic acid, valeric acid, and butyric acid increased, and the acetate to propionate ratio and concentration of isovaleric acid decreased. ZEN exposure can lead to an abnormal increase in NH3-N, valeric acid, and isovaleric acid content and a decrease in MCP content. The content of NH3-N, valeric acid, and isovaleric acid decreased and the content of MCP increased in the PS + ZEN combined treatment group. The addition of PSC001 and ZEN significantly or extremely significantly increased the abundance of 18 genera and significantly or extremely significantly decreased the relative abundance of 5 genera in rumen fluid, respectively. It is worth noting that with the addition of both at the same time, the abundance of four genera in the PS + ZEN group was significantly or extremely significantly increased among the five genera with decreased abundance in the ZEN group. Among the 18 genera with increased abundance in the ZEN group, 10 genera in the PS + ZEN group decreased significantly or extremely significantly. In summary, the addition of PSC001 alleviated the negative impact of ZEN on the internal environment of rumen fermentation, and it also had a positive regulatory effect on rumen fermentation. Full article
11 pages, 923 KB  
Article
Natural Herbicide Shows Cytotoxicity, Neurotoxicity, and Antioxidant System Alterations on SH-SY5Y and HaCaT Cell Lines
by Leticia Nominato-Oliveira, Juliana Ferreira da Silva, Shayane da Silva Milhorini, Larissa Lechinovski, Ana Carolina de Deus Bueno Krawczyk and Izonete Cristina Guiloski
Agrochemicals 2025, 4(3), 17; https://doi.org/10.3390/agrochemicals4030017 - 18 Sep 2025
Viewed by 756
Abstract
Weeds have acquired resistance to commonly used herbicides, and to replace them, new products, including those of natural origin, have been produced. This study evaluated the neurotoxicity, cytotoxicity, and changes in the antioxidant system caused by Natural Herbicide (NH) in SH-SY5Y neuroblastoma cells [...] Read more.
Weeds have acquired resistance to commonly used herbicides, and to replace them, new products, including those of natural origin, have been produced. This study evaluated the neurotoxicity, cytotoxicity, and changes in the antioxidant system caused by Natural Herbicide (NH) in SH-SY5Y neuroblastoma cells and HaCaT dermal cells. SH-SY5Y and HaCaT cells were exposed to three concentrations of NH (NH1: 0.6; NH2: 1.56; and NH3: 3.12 µL/mL) for 24 and 72 h. In the SH-SY5Y cell line, the highest concentration of NH (NH3) caused cytotoxicity at both 24 and 72 h. At 24 h, the NH3 group increased the SOD. In the NH2 and NH3 groups, there was also an increase in AChE activity after 24 h of exposure. The NH1 group led to an increase in GSH after 72 h of exposure. As for the HaCaT strain, there was cytotoxicity and an increase in SOD and GSH at all NH concentrations and for both periods analyzed (24 h and 72 h). GST was reduced after exposure to NH2 and NH3. Thus, NH showed cytotoxicity in neural and dermal cells (SH-SY5Y and HaCaT, respectively). These results show that NH altered cellular homeostasis, and the evaluation of other toxicity mechanisms is important to clarify its safety. Full article
(This article belongs to the Section Herbicides)
Show Figures

Figure 1

18 pages, 2649 KB  
Article
Doping of PDMS-NQS Sensors to Modify Their Response and Sustainability: Ammonia Quantitation in Farm Atmospheres as a Case Study
by Belén Monforte-Gómez, Camila Soto and Pilar Campíns-Falcó
Polymers 2025, 17(18), 2466; https://doi.org/10.3390/polym17182466 - 12 Sep 2025
Viewed by 623
Abstract
In this work, different passive solid composites of 1,2-naphthoquinone-4-sulfonic acid sodium salt (NQS) embedded in polydimethylsiloxane (PDMS) and tetraorthoethylsilicate (TEOS) doped with silica nanoparticles (SiO2NPs) were obtained. New composites including deep eutectic solvent (DES) and choline chloride (ChCl) were synthetized and [...] Read more.
In this work, different passive solid composites of 1,2-naphthoquinone-4-sulfonic acid sodium salt (NQS) embedded in polydimethylsiloxane (PDMS) and tetraorthoethylsilicate (TEOS) doped with silica nanoparticles (SiO2NPs) were obtained. New composites including deep eutectic solvent (DES) and choline chloride (ChCl) were synthetized and compared here vs. ionic liquid (IL) which was previously proposed, from their passive response with time. Monitoring and controlling of ammonia levels inside poultry and rabbit farming facilities are essential for animal welfare, workers’ exposure assessment, and measurement of environmental emissions. Real poultry and rabbit farm atmosphere samples were analyzed at different sensor exposition times, obtaining results between two and eight ppmv of NH3 in all cases. The results were compared by air sampling with Tedlar bags and analysis by UHPLC-QTOF from a miniaturized SPE supported derivatization that was developed. As primary amine group NH3 was the major component in the farm atmosphere, the presence of methylamine was negligible. PDMS-based sensors with DES or ChCl add new potential for previously developed composites, improving the versatility for controlling ammonia by using new sustainable composites with different time responses. Full article
(This article belongs to the Special Issue High-Performance Polymeric Sensors, 3rd Edition)
Show Figures

Graphical abstract

14 pages, 1611 KB  
Article
Associations of Prenatal Exposures to Fine Particulate Matter and Its Compositions with Preterm Birth Risk in Twins
by Yuan Zheng, Xinqi Zhong, Wan Peng, Zhiqing Chen, Lv Wang, Changshun Xia, Yixiang Huang, Qijiong Zhu, Yuwei Fan, Yiyu Lai, Qiliang Cui and Tao Liu
Green Health 2025, 1(2), 11; https://doi.org/10.3390/greenhealth1020011 - 2 Sep 2025
Cited by 3 | Viewed by 646
Abstract
Twin pregnancies have a higher risk of preterm birth (PTB) than single pregnancies, but studies about prenatal air pollution exposure and PTB in twin pregnancies are still scarce. To explore associations of prenatal fine particulate matter (PM2.5) exposure with PTB in [...] Read more.
Twin pregnancies have a higher risk of preterm birth (PTB) than single pregnancies, but studies about prenatal air pollution exposure and PTB in twin pregnancies are still scarce. To explore associations of prenatal fine particulate matter (PM2.5) exposure with PTB in twins, we collected birth data from 21 hospitals across China. Data on PM2.5 and its compositions (NO3, BC, NH4+, SO42−, and OM) were collected from Tracking Air Pollution. Generalized linear models were used to examine associations of air pollution with PTB. Each IQR increment in PM2.5, NH4+, SO42−, NO3, BC, and OM during entire pregnancy, the OR (95% CI) were 1.46 (1.34–1.59), 1.54 (1.39–1.70), 1.34 (1.25–1.44), 1.44 (1.30–1.59), 1.28 (1.20–1.37), and 1.28 (1.18–1.38), respectively. The results of trimester-specific analyses followed the patterns as seen during the entire pregnancy (all p < 0.05). The PAF of PTB attributable to PM2.5 was 40.75% (95% CI: 32.5%, 48.26%) in the total population. Participants living in warmer regions and lower residential greenness were more susceptible to PM2.5. Our findings suggest pregnant women should avoid severe air pollution exposure throughout pregnancy. Reducing heat exposure and increasing green spaces in communities can reduce PTB risk. Full article
Show Figures

Figure 1

18 pages, 728 KB  
Review
Systematic Review of Prenatal Exposure to PM2.5 and Its Chemical Components and Their Effects on Neurodevelopmental Outcomes in Neonates
by Gabriele Donzelli, Isabel Peraita-Costa, Nunzia Linzalone and María Morales-Suárez-Varela
Atmosphere 2025, 16(9), 1034; https://doi.org/10.3390/atmos16091034 - 30 Aug 2025
Viewed by 3259
Abstract
Particulate matter with a diameter less than 2.5 µm (PM2.5) and its chemical constituents—including ammonium (NH4+), sulfate (SO42−), nitrate (NO3), organic carbon (OC), soil dust, and black carbon (BC)—have been increasingly recognized [...] Read more.
Particulate matter with a diameter less than 2.5 µm (PM2.5) and its chemical constituents—including ammonium (NH4+), sulfate (SO42−), nitrate (NO3), organic carbon (OC), soil dust, and black carbon (BC)—have been increasingly recognized for their potential impact on fetal neurodevelopment. This systematic review aimed to synthesize current evidence on the relationship between prenatal exposure to PM2.5 and its chemical components and neurodevelopmental outcomes in neonates, focusing on diagnoses such as autism spectrum disorder (ASD) and attention deficit hyperactivity disorder (ADHD). Following PRISMA 2020 guidelines, a comprehensive literature search was conducted on PubMed and Embase databases from April to July 2025. Twenty-five studies meeting inclusion criteria were analyzed, of which sixteen addressed PM2.5 exposure generally, and nine assessed specific chemical constituents. The findings indicate that increased exposure to PM2.5, particularly during the third trimester, is associated with a higher risk of ASD. Additionally, prenatal exposure may adversely affect early neurodevelopmental domains including motor skills, problem-solving, and social interactions. Certain PM2.5 components, notably sulfate ions (SO42−), were identified as important contributors to neurological health outcomes. These results underscore the importance of reducing prenatal exposure to PM2.5 and its harmful constituents to protect neurodevelopment. Full article
(This article belongs to the Special Issue Air Pollution: Health Risks and Mitigation Strategies)
Show Figures

Figure 1

19 pages, 11804 KB  
Article
Assessing the Impact of Ammonia Emissions from Mink Farming in Denmark on Human Health and Critical Load Exceedance
by Lise Marie Frohn, Jesper Leth Bak, Jørgen Brandt, Jesper Heile Christensen, Steen Gyldenkærne and Camilla Geels
Atmosphere 2025, 16(8), 966; https://doi.org/10.3390/atmos16080966 - 15 Aug 2025
Viewed by 1479
Abstract
In this study, the objective is to assess the impacts of NH3 emissions from mink farming on human health and nature, which are sensitive to atmospheric nitrogen deposition. The impact-pathway approach is applied to follow the emissions from source to impact on [...] Read more.
In this study, the objective is to assess the impacts of NH3 emissions from mink farming on human health and nature, which are sensitive to atmospheric nitrogen deposition. The impact-pathway approach is applied to follow the emissions from source to impact on human health in Europe (including Denmark) and from source to critical nitrogen load exceedances for NH3-sensitive nature in Denmark. The Danish Eulerian Hemispheric Model (DEHM) is used for modelling the air pollution concentrations in Europe and nitrogen depositions on land and water surfaces in Denmark arising from NH3 emissions from mink farming in Denmark. The Economic Valuation of Air (EVA) pollution model system is applied for deriving the health effects and corresponding socio-economic costs in Denmark and Europe arising from the emissions from mink farming. On a local scale in Denmark, the deposition resulting from the NH3 emissions from mink farming is modelled using the results from the OML-DEP model at a high resolution to derive the critical nitrogen load exceedances for Danish nature areas sensitive to NH3. From the analysis of the impacts through human exposure to the air pollutants PM2.5, NO2, and O3, it is concluded that in total, ~60 premature deaths annually in Europe, including Denmark, can be attributed to the emissions of NH3 to the atmosphere from the mink farming sector in Denmark. This corresponds to annual socio-economic costs on the order of EUR 142 million. From the analysis of critical load exceedances, it is concluded that an exceedance of the critical load of nitrogen deposition of ~14,600 hectares (ha) of NH3-sensitive nature areas in Denmark can be attributed to NH3 emissions from mink farming. The cost for restoring nature areas of this size, damaged by eutrophication from excess nitrogen deposition, is estimated to be ~EUR 110 million. In 2020, the mink sector in Denmark was shut down in connection with the COVID-19 pandemic. All mink were culled by order of the Danish Government, and now in 2025, the process of determining the level of financial compensation to the farmers is still ongoing. The socio-economic costs following the impacts on human health in Europe and nitrogen-sensitive nature in Denmark of NH3 emissions from the now non-existing mink sector can therefore be viewed as socio-economic benefits. In this study, these benefits are compared with the expected level of compensation from the Danish Government to the mink farmers, and the conclusion is that the compensation to the mink farmers breaks even with the benefits from reduced NH3 emissions over a timescale of ~20 years. Full article
Show Figures

Figure 1

17 pages, 1255 KB  
Article
Factors Related to Hypertension in Pediatric Patients Who Do Not Have Obstructive Sleep Apnea: A Retrospective Chart Study
by Alyssa Exarchakis, Alexandra Cohen, Penghao Wang, Seema Rani and Diana Martinez
J. Clin. Med. 2025, 14(13), 4699; https://doi.org/10.3390/jcm14134699 - 3 Jul 2025
Viewed by 794
Abstract
Background/Objectives: The relationship between OSA and adult hypertension has been extensively studied; however, it remains understudied in pediatric patients without OSA. The aim of this study is to identify factors associated with pediatric hypertension without OSA, through an IRB-approved retrospective chart review [...] Read more.
Background/Objectives: The relationship between OSA and adult hypertension has been extensively studied; however, it remains understudied in pediatric patients without OSA. The aim of this study is to identify factors associated with pediatric hypertension without OSA, through an IRB-approved retrospective chart review of patients who underwent polysomnography at Nemours Children’s Hospital, DE/NJ between January 2020 and July 2023. Methods: Eligibility criteria included children 8–17 years, completed PSG, and clinic visit blood pressure (BP). Anthropometrics, demographics, social determinants, and medical history were obtained from electronic medical records. Hypertension was defined as the average systolic and/or diastolic BP that is ≥95th percentile for gender, age, and height based on AAP Clinical Practice Guidelines. All variables were checked for normality. Chi-square tests for categorical data and Wilcoxon rank sum tests for continuous data were used to test significance between non-OSA non-hypertensives (NH) and hypertensives (H). p < 0.05 is considered significant. Results: Of 285 charts evaluated, 137 were classified as non-OSA. Patient information, including parents in household, smoking exposure, and food allergies, were statistically significant (p < 0.05) in hypertensive pediatric patients without OSA. Hypertension was significantly correlated (p < 0.05) with birth weight, BMI, daytime heart rate, systolic BP, and diastolic BP. Statistically significant differences (p < 0.05) were found in mental illnesses, neurological disease, and respiratory disease. Among polysomnography parameters, only nighttime heart rate was found to be statistically significant. Conclusions: The data suggests that in pediatric patients without OSA, there are multiple factors and co-morbidities associated with hypertension. These factors and co-morbidities warrant additional follow up in clinical practice to mitigate the risks of hypertension in pediatric patients. Full article
(This article belongs to the Section Clinical Pediatrics)
Show Figures

Graphical abstract

Back to TopTop