Sign in to use this feature.

Years

Between: -

Subjects

remove_circle_outline
remove_circle_outline
remove_circle_outline
remove_circle_outline
remove_circle_outline

Journals

Article Types

Countries / Regions

Search Results (20)

Search Parameters:
Keywords = NAPE-PLD

Order results
Result details
Results per page
Select all
Export citation of selected articles as:
24 pages, 10948 KB  
Article
Genome-Wide Characterization of the wnt Gene Family Reveals a wnt5b-Mediated Regulatory Mechanism of Testicular Development in Cynoglossus semilaevis
by Zhengjie Li, Junhao Wang, Chao Li and Ying Zhu
Animals 2026, 16(3), 387; https://doi.org/10.3390/ani16030387 - 26 Jan 2026
Abstract
The wnt gene family encodes a group of highly conserved secreted glycoproteins that play essential roles in vertebrate development, including tissue patterning, cell differentiation, and gonadal regulation. However, the genomic organization, evolutionary dynamics, and functional roles of Wnt signaling components in flatfish remain [...] Read more.
The wnt gene family encodes a group of highly conserved secreted glycoproteins that play essential roles in vertebrate development, including tissue patterning, cell differentiation, and gonadal regulation. However, the genomic organization, evolutionary dynamics, and functional roles of Wnt signaling components in flatfish remain poorly understood. In this study, we performed a comprehensive genome-wide identification, evolutionary characterization, expression profiling, and functional analysis of wnt genes in Cynoglossus semilaevis, a flatfish species exhibiting ZW/ZZ sex determination and temperature-induced sex reversal. A total of 20 wnt genes were identified and classified into 13 subfamilies, displaying conserved structural organization and phylogenetic relationships consistent with other teleosts. Chromosomal mapping revealed lineage-specific WNT clusters, including a unique wnt3–wnt7b–wnt5b–wnt16 block, as well as syntenic associations with reproduction-related genes (e.g., adipor2, sema3a, nape-pld, erc2, lamb2), suggesting coordinated genomic regulation. Tissue transcriptome analysis demonstrated strong sex- and tissue-biased expression patterns, with wnt5a predominantly expressed in ovaries and wnt5b specifically upregulated in pseudo-male testes. Functional assays revealed that knockdown of wnt5a or wnt5b induced testis-specific genes (sox9b, tesk1) and suppressed ovarian markers (foxl2, cyp19a1a), indicating antagonistic regulatory roles in gonadal fate determination. Promoter analysis identified yy1a as a selective repressor of wnt5b, but not wnt5a, providing a mechanistic basis for paralog divergence. Furthermore, pull-down combined with LC–MS/MS analysis showed that WNT5b interacts with proteins enriched in ribosome biogenesis and ubiquitin-mediated proteolysis, suggesting a role in translational regulation and protein turnover during spermatogenesis. Together, these findings establish WNT5 signaling—particularly wnt5b—as a key driver of testicular development in C. semilaevis and provide new insights into the molecular mechanisms underlying sex differentiation and sex reversal in flatfish. Full article
(This article belongs to the Special Issue Sustainable Aquaculture: A Functional Genomic Perspective)
Show Figures

Figure 1

11 pages, 1026 KB  
Article
Effects of N3SA Analogues on Cerebral and Peripheral Arteriolar Vasomotion in Spontaneously Hypertensive Rats
by Dominga Lapi, Giuseppe Federighi, Maria Paola Tramonti Fantozzi, Gianpiero Garau and Rossana Scuri
Int. J. Mol. Sci. 2026, 27(2), 1006; https://doi.org/10.3390/ijms27021006 - 20 Jan 2026
Viewed by 90
Abstract
Thiazides are among the most efficacious and commonly used drugs for the treatment of hypertension. The nanomolar stabilizer N3SA binds specifically to the recently discovered thiazide-binding site of the membrane target NAPE-PLD, showing sustained arterial blood pressure-lowering effects and vasodilation in spontaneous hypertensive [...] Read more.
Thiazides are among the most efficacious and commonly used drugs for the treatment of hypertension. The nanomolar stabilizer N3SA binds specifically to the recently discovered thiazide-binding site of the membrane target NAPE-PLD, showing sustained arterial blood pressure-lowering effects and vasodilation in spontaneous hypertensive rats (SHRs). To further support the relation between stabilizers anchored to NAPE-PLD and their beneficial effects on hypertension, we selected compound analogues of N3SA with chemical modifications at the three target-interacting sulfonic groups, including the drug Suramin. Each compound was injected i.v in an adult SHR (systolic blood pressure of 217 ± 5 mmHg) to evaluate the frequency components contribution to cerebral and peripheral arteriolar vasomotion. We visualized the pial and rectus femoral muscle microcirculation by Epi-illumination, measuring changes in the rhythmic arteriolar diameter. Findings showed that the minor structural differences in compounds correlated with the contribution of the six different frequency components affecting the arterial tone, as well as their vasodilatory effects, in both cerebral and femoral muscle arterioles. These results provide evidence that the spectra analysis of the regulation mechanisms of vascular tone and arterial blood pressure can accurately reflect the structure–activity correlations of different analogues of an antihypertensive compound. Full article
Show Figures

Figure 1

24 pages, 2722 KB  
Article
Perinatal Ethanol Exposure Induces Astrogliosis and Decreases GRP55/PEA-Mediated Neuroprotection in Hippocampal Astrocytes of the 3×Tg Alzheimer’s Animal Model
by Miguel Rodríguez-Pozo, Beatriz Pacheco-Sánchez, Meriem Ben Rabaa, Marialuisa de Ceglia, Sonia Melgar-Locatelli, Ignacio Santos, Fernando Rodríguez de Fonseca, Juan Suárez and Patricia Rivera
Int. J. Mol. Sci. 2025, 26(22), 11154; https://doi.org/10.3390/ijms262211154 - 18 Nov 2025
Viewed by 757
Abstract
Prenatal ethanol exposure (PEE) alters fetal brain development, potentially increasing the risk of neurodegenerative diseases such as Alzheimer’s disease (AD) later in life. Although glial activation is implicated in AD pathology via cannabinoid and neuroinflammatory signaling, its potential response to PEE in the [...] Read more.
Prenatal ethanol exposure (PEE) alters fetal brain development, potentially increasing the risk of neurodegenerative diseases such as Alzheimer’s disease (AD) later in life. Although glial activation is implicated in AD pathology via cannabinoid and neuroinflammatory signaling, its potential response to PEE in the developing brain and its contribution to AD pathogenesis remain unknown. Using 3×Tg-AD offspring of both sexes born to mothers with PEE, we analyzed astrogliosis, inflammatory markers, and key components of cannabinoid and Ca2+ signaling in primary cultures of hippocampal astrocytes, elements whose dysfunction contributes to neurodegeneration. Our results indicated that PEE increased astrogliosis/inflammatory response (significant elevation of Gfap and Tnfα expression) in hippocampal astrocytes at birth. This neuroinflammation was significantly associated with lower expression of cannabinoid receptors (Cnr1 and Gpr55), and decreased concentrations of the anti-inflammatory lipid PEA in the culture medium, probably due to a deregulated endocannabinoid enzymatic machinery (NAPE-PLD/FAAH ratio). This research provides insights into GRP55/PEA-mediated signaling as a potential hippocampal astrocytic mechanism influenced by maternal ethanol exposure, which may contribute to neurobiological changes associated with increased vulnerability to AD-related pathology. Full article
Show Figures

Graphical abstract

21 pages, 2413 KB  
Article
Brain Hsp90 Inhibition Mitigates Facial Allodynia in a Rat Model of CSD Headache and Upregulates Endocannabinoid Signaling in the PAG
by Seph M. Palomino, Aidan A. Levine, Erika Liktor-Busa, Parthasaradhireddy Tanguturi, John M. Streicher and Tally M. Largent-Milnes
Pharmaceuticals 2025, 18(10), 1430; https://doi.org/10.3390/ph18101430 - 24 Sep 2025
Viewed by 839
Abstract
Background/Objectives: The role of the molecular chaperone heat shock protein 90 (Hsp90) in pain and analgesia has been recognized; however, no study to date has investigated its role in facial allodynia during headache. In the current study, we examined the role of [...] Read more.
Background/Objectives: The role of the molecular chaperone heat shock protein 90 (Hsp90) in pain and analgesia has been recognized; however, no study to date has investigated its role in facial allodynia during headache. In the current study, we examined the role of Hsp90 and its possible connection to the endocannabinoid system utilizing a rodent model of cortical spreading depression (CSD). Methods: CSD, a physiological phenomenon associated with headache disorders, was induced by cortical injection of KCl in female Sprague Dawley rats. To selectively inhibit Hsp90, 17-AAG was applied on the dura mater 24 h before CSD induction. Periorbital allodynia was assessed by von Frey filaments, while tissue samples were subjected to LC-MS, qPCR, Western immunoblotting, and the GTPγS coupling assay. Results: Increased expression of Hsp90 was selectively observed in the periaqueductal gray (PAG) harvested 90 min after cortical KCl injection, suggesting increased cellular stress from CSD induction. Application of 17-AAG (0.5 nmol) on dura mater 24 h before CSD induction significantly prevented facial allodynia as measured by von Frey filaments. This effect was blocked by injection of the CB1R antagonist rimonabant (1 mg/kg, ip). The pretreatment with 17-AAG significantly increased the level of anandamide (AEA) in PAG 90 min after cortical insult, as measured by LC-MS. This effect was accompanied by reduced expression of FAAH and increased expression of NAPE-PLD in the same nuclei. Conclusions: These results suggest that Hsp90 inhibition positively modulates the endocannabinoid system, causing pain relief through descending pain modulation in PAG post-CSD. Full article
Show Figures

Graphical abstract

20 pages, 8664 KB  
Article
Molecular Fingerprint of Endocannabinoid Signaling in the Developing Paraventricular Nucleus of the Hypothalamus as Revealed by Single-Cell RNA-Seq and In Situ Hybridization
by Evgenii O. Tretiakov, Zsófia Hevesi, Csenge Böröczky, Alán Alpár, Tibor Harkany and Erik Keimpema
Cells 2025, 14(11), 788; https://doi.org/10.3390/cells14110788 - 27 May 2025
Viewed by 1884
Abstract
The paraventricular nucleus of the hypothalamus (PVN) regulates, among others, the stress response, sexual behavior, and energy metabolism through its magnocellular and parvocellular neurosecretory cells. Within the PVN, ensemble coordination occurs through the many long-range synaptic afferents, whose activity in time relies on [...] Read more.
The paraventricular nucleus of the hypothalamus (PVN) regulates, among others, the stress response, sexual behavior, and energy metabolism through its magnocellular and parvocellular neurosecretory cells. Within the PVN, ensemble coordination occurs through the many long-range synaptic afferents, whose activity in time relies on retrograde neuromodulation by, e.g., endocannabinoids. However, the nanoarchitecture of endocannabinoid signaling in the PVN, especially during neuronal development, remains undescribed. By using single-cell RNA sequencing, in situ hybridization, and immunohistochemistry during fetal and postnatal development in mice, we present a spatiotemporal map of both the 2-arachidonoylglycerol (2-AG) and anandamide (AEA) signaling cassettes, with a focus on receptors and metabolic enzymes, in both molecularly defined neurons and astrocytes. We find type 1 cannabinoid receptors (Cnr1), but neither Cnr2 nor Gpr55, expressed in neurons of the PVN. Dagla and Daglb, which encode the enzymes synthesizing 2-AG, were found in all neuronal subtypes of the PVN, with a developmental switch from Daglb to Dagla. Mgll, which encodes an enzyme degrading 2-AG, was only found sporadically. Napepld and Faah, encoding enzymes that synthesize and degrade AEA, respectively, were sparsely expressed in neurons throughout development. Notably, astrocytes expressed Mgll and both Dagl isoforms. In contrast, mRNA for any of the three major cannabinoid-receptor subtypes could not be detected. Immunohistochemistry validated mRNA expression and suggested that endocannabinoid signaling is configured to modulate the activity of afferent inputs, rather than local neurocircuits, in the PVN. Full article
Show Figures

Figure 1

17 pages, 2831 KB  
Article
Connections between Endometrial Health Status, Fatty Liver and Expression of Endocannabinoid System Genes in Endometrium of Postpartum Dairy Cows
by Zuzanna Polak, Milena Krupa, Joanna Sadowska, Paweł Brym, Maciej Ślebioda, Andrzej Jurczak, Dominika Grzybowska and Dawid Tobolski
Int. J. Mol. Sci. 2024, 25(17), 9187; https://doi.org/10.3390/ijms25179187 - 24 Aug 2024
Cited by 1 | Viewed by 1848
Abstract
The endocannabinoid system (ECS) plays a crucial role in reproductive health, but its function in postpartum dairy cows remains poorly understood. This study investigated the expression patterns of ECS-related genes in the endometrium of postpartum dairy cows and their associations with endometrial health [...] Read more.
The endocannabinoid system (ECS) plays a crucial role in reproductive health, but its function in postpartum dairy cows remains poorly understood. This study investigated the expression patterns of ECS-related genes in the endometrium of postpartum dairy cows and their associations with endometrial health and the presence of fatty liver. Endometrial biopsies were collected from 22 Holstein Friesian cows at 4 and 7 weeks postpartum. Gene expression was analyzed using RT-qPCR, focusing on key ECS components including CNR2, MGLL, FAAH1, NAAA, NAPEPLD, PADI4 and PTGDS. The results reveal dynamic changes in ECS gene expression associated with endometritis and fatty liver. MGLL expression was significantly upregulated in cows with endometritis at 7 weeks postpartum, while NAAA expression was consistently downregulated in cows with fatty liver. CNR2 showed a time-dependent pattern in endometritis, and PTGDS expression was elevated in clinical endometritis at 4 weeks postpartum. The presence of fatty liver was associated with altered expression patterns of several ECS genes, suggesting a link between metabolic stress and endometrial ECS function. These findings indicate a potential role for the ECS in postpartum uterine health and recovery, offering new insights into the molecular mechanisms underlying reproductive disorders in dairy cows and paving the way for novel therapeutic approaches. Full article
(This article belongs to the Special Issue Genetic and Epigenetic Regulation of Reproduction)
Show Figures

Figure 1

19 pages, 3414 KB  
Article
Cannabidiol Disrupts Mitochondrial Respiration and Metabolism and Dysregulates Trophoblast Cell Differentiation
by Tina Podinic, Louise Limoges, Cristina Monaco, Andie MacAndrew, Mahek Minhas, Joshua Nederveen and Sandeep Raha
Cells 2024, 13(6), 486; https://doi.org/10.3390/cells13060486 - 11 Mar 2024
Cited by 10 | Viewed by 5468
Abstract
Trophoblast differentiation is a crucial process in the formation of the placenta where cytotrophoblasts (CTs) differentiate and fuse to form the syncytiotrophoblast (ST). The bioactive components of cannabis, such as Δ9-THC, are known to disrupt trophoblast differentiation and fusion, as well [...] Read more.
Trophoblast differentiation is a crucial process in the formation of the placenta where cytotrophoblasts (CTs) differentiate and fuse to form the syncytiotrophoblast (ST). The bioactive components of cannabis, such as Δ9-THC, are known to disrupt trophoblast differentiation and fusion, as well as mitochondrial dynamics and respiration. However, less is known about the impact of cannabidiol (CBD) on trophoblast differentiation. Due to the central role of mitochondria in stem cell differentiation, we evaluated the impact of CBD on trophoblast mitochondrial function and differentiation. Using BeWo b30 cells, we observed decreased levels of mRNA for markers of syncytialization (GCM1, ERVW1, hCG) following 20 µM CBD treatment during differentiation. In CTs, CBD elevated transcript levels for the mitochondrial and cellular stress markers HSP60 and HSP70, respectively. Furthermore, CBD treatment also increased the lipid peroxidation and oxidative damage marker 4-hydroxynonenal. Mitochondrial membrane potential, basal respiration and ATP production were diminished with the 20 µM CBD treatment in both sub-lineages. mRNA levels for endocannabinoid system (ECS) components (FAAH, NAPEPLD, TRPV1, CB1, CB2, PPARγ) were altered differentially by CBD in CTs and STs. Overall, we demonstrate that CBD impairs trophoblast differentiation and fusion, as well as mitochondrial bioenergetics and redox homeostasis. Full article
(This article belongs to the Section Reproductive Cells and Development)
Show Figures

Figure 1

15 pages, 4741 KB  
Article
Endocannabinoid System Components of the Female Mouse Reproductive Tract Are Modulated during Reproductive Aging
by Gianna Rossi, Valentina Di Nisio, Alessandro Chiominto, Sandra Cecconi and Mauro Maccarrone
Int. J. Mol. Sci. 2023, 24(8), 7542; https://doi.org/10.3390/ijms24087542 - 19 Apr 2023
Cited by 10 | Viewed by 2666
Abstract
The endocannabinoid (eCB) system has gained ground as a key modulator of several female fertility-related processes, under physiological/pathological conditions. Nevertheless, its modulation during reproductive aging remains unclear. This study aimed to investigate the expression levels of the main receptors (cannabinoid receptor 1,CB1 [...] Read more.
The endocannabinoid (eCB) system has gained ground as a key modulator of several female fertility-related processes, under physiological/pathological conditions. Nevertheless, its modulation during reproductive aging remains unclear. This study aimed to investigate the expression levels of the main receptors (cannabinoid receptor 1,CB1; cannabinoid receptor 2, CB2; G-protein coupled receptor, GPR55; and transient receptor potential vanilloid type 1 channel, TRPV1) and metabolic enzymes (N-acylphosphatidylethanolamine phospholipase D, NAPE-PLD; fatty acid amide hydrolase, FAAH; monoacylglycerol lipase, MAGL; and diacylglycerol lipase, DAGL-α and -β) of this system in the ovaries, oviducts, and uteri of mice at prepubertal, adult, late reproductive, and post-reproductive stages through quantitative ELISA and immunohistochemistry. The ELISA showed that among the receptors, TRPV1 had the highest expression and significantly increased during aging. Among the enzymes, NAPE-PLD, FAAH, and DAGL-β were the most expressed in these organs at all ages, and increased age-dependently. Immunohistochemistry revealed that, regardless of age, NAPE-PLD and FAAH were mainly found in the epithelial cells facing the lumen of the oviduct and uteri. Moreover, in ovaries, NAPE-PLD was predominant in the granulosa cells, while FAAH was sparse in the stromal compartment. Of note, the age-dependent increase in TRPV1 and DAGL-β could be indicative of increased inflammation, while that of NAPE-PLD and FAAH could suggest the need to tightly control the levels of the eCB anandamide at late reproductive age. These findings offer new insights into the role of the eCB system in female reproduction, with potential for therapeutic exploitation. Full article
Show Figures

Figure 1

14 pages, 4417 KB  
Article
Long-Term Tamoxifen Effects in the Cyclic Interaction of the Endocannabinoid and Endocrine System in the Rat Central Nervous System
by Bruno M. Fonseca, Niloy Bhowmick, Sara Cunha, João Maia, Georgina Correia-da-Silva, Natércia Teixeira and Susana I. Sá
Biomedicines 2023, 11(3), 720; https://doi.org/10.3390/biomedicines11030720 - 27 Feb 2023
Cited by 2 | Viewed by 2479
Abstract
Steroid hormones can modulate the endocannabinoid system (ECS). Within the female reproductive tract, estrogen increases the expression of the cannabinoid receptors CB1 and CB2, and modifies the levels of anandamide (AEA), the major endocannabinoid, by altering the expression of both AEA synthesis (NAPE-PLD) [...] Read more.
Steroid hormones can modulate the endocannabinoid system (ECS). Within the female reproductive tract, estrogen increases the expression of the cannabinoid receptors CB1 and CB2, and modifies the levels of anandamide (AEA), the major endocannabinoid, by altering the expression of both AEA synthesis (NAPE-PLD) and catabolic enzymes (FAAH). Here, we addressed the mechanisms involved in ECS fluctuations within the central nervous system and evaluated the effects of tamoxifen (TAM), a selective estrogen receptor modulator, in central AEA regulation. The current results suggest that the hypothalamic and pituitary AEA levels change differently according to the brain area and phase of the estrous cycle. In TAM-treated rats, there is a disruption of the cyclic fluctuation and reduction of the AEA levels in all brain areas. In the pituitary gland, NAPE-PLD expression increases in the metestrus phase, whereas throughout the rat cycle their expression remained constant, even upon TAM treatment. The fluctuations of pituitary AEA levels result from altered FAAH and NAPE-LPD expression. In contrast, no differences in FAAH or NAPE-PLD hypothalamic expression were observed. Overall, this study presents a broad view of the distribution and expression of ECS elements in the central nervous system and a way to suggest possible brain areas involved in the interaction of the endocannabinoid and neuroendocrine systems to induce several behavioral responses. Full article
(This article belongs to the Section Molecular and Translational Medicine)
Show Figures

Figure 1

19 pages, 3394 KB  
Article
Expression of MUC-2, MUC-6, NAPE-PLD, IL-6 and IL-13 in Healthy and Metaplastic Bronchial Epithelium
by Elizabeta Lohova and Mara Pilmane
Diseases 2023, 11(1), 5; https://doi.org/10.3390/diseases11010005 - 27 Dec 2022
Cited by 2 | Viewed by 2926
Abstract
Background: The normal tissue structure of the respiratory system is necessary to provide adequate protection of the airways and lungs. Prolonged exposure to trigger factors can result in adaptive mechanism activation and lead to the development of chronic pulmonary diseases or even dysplastic [...] Read more.
Background: The normal tissue structure of the respiratory system is necessary to provide adequate protection of the airways and lungs. Prolonged exposure to trigger factors can result in adaptive mechanism activation and lead to the development of chronic pulmonary diseases or even dysplastic changes. Materials and methods: Respiratory system material with a pseudostratified ciliated epithelium was obtained from 12 patients (aged 16 to 95), and material with a stratified squamosa epithelium was obtained from six patients (aged 23 to 93). Routine staining was performed, and an immunohistochemistry was conducted for MUC-2, MUC-6, NAPE-PLD, IL-6 and IL-13. Results: Inflammatory processes were not detected in any of the specimens. A number of correlations were identified, with the most important being a strong positive correlation for IL-13 between the alveolar epithelium and alveolar macrophages and a strong positive correlation for IL-6 between the alveolar epithelium and alveolar macrophages in the stratified squamous epithelium group. We also detected a statistically significant difference in IL-6 in alveolar macrophages. Conclusions: There were no signs of dysplastic changes in either group. Increased secretion of IL-13 in the stratified squamous epithelium group shows its involvement in metaplastic changes in the bronchial epithelium. The secretion of atypical factors by hyaline cartilage demonstrates its plasticity and adaptability. Full article
Show Figures

Figure 1

18 pages, 1523 KB  
Article
Anandamide Alters Barrier Integrity of Bovine Vascular Endothelial Cells during Endotoxin Challenge
by Carsten C. F. Walker, Lorraine M. Sordillo and G. Andres Contreras
Antioxidants 2022, 11(8), 1461; https://doi.org/10.3390/antiox11081461 - 27 Jul 2022
Cited by 6 | Viewed by 2254
Abstract
Vascular endothelial cells are crucial mediators of inflammation during infectious diseases, due to their ability to produce lipid-based inflammatory mediators and facilitate leukocyte migration and translocation to infected tissues. Mastitis is the costliest infectious disease in North America, with over two billion dollars [...] Read more.
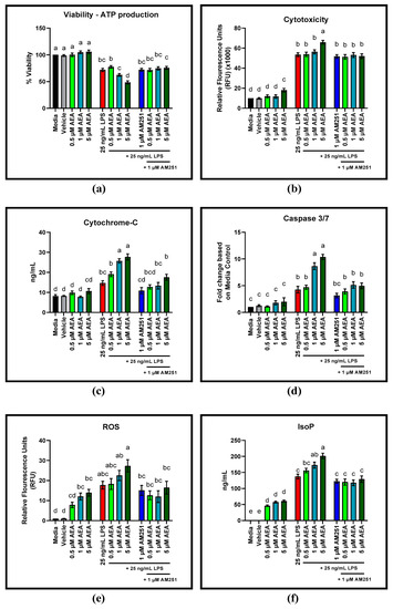
Vascular endothelial cells are crucial mediators of inflammation during infectious diseases, due to their ability to produce lipid-based inflammatory mediators and facilitate leukocyte migration and translocation to infected tissues. Mastitis is the costliest infectious disease in North America, with over two billion dollars in annual costs due to loss of milk production, medical treatment, and potential loss of the animal. Infections caused by coliform bacteria are particularly deleterious, causing a negative impact on cow well-being and a high mortality rate. Dysfunction and breakdown of the endothelial barrier is a key part of the pathology of coliform mastitis. The endocannabinoid system (ECS), shown to modulate inflammatory responses of vascular endothelial cells in humans and rodents, may be a novel target for inflammatory modulation in dairy cows. The endocannabinoid (EC) arachidonoylethanolamide (AEA) is a potent anti- or pro-inflammatory mediator in endothelial cells, depending on location, timing, and concentration. We hypothesized that elevated AEA during LPS challenge will impair endothelial barrier integrity via increased production of reactive oxygen species (ROS) and activation of apoptotic pathways. Challenge of bovine aortic endothelial cells (BAEC) with 25 ng/mL lipopolysaccharide (LPS) for 8 h induced AEA synthesis, increased expression of cannabinoid receptor 1 and 2 (CB1/2) and the AEA synthesizing enzyme N-acyl phosphatidylethanolamine phospholipase D (NAPE-PLD), while decreasing gene expression of the AEA degradation enzyme fatty acid amide hydrolase (FAAH). Trans endothelial resistance (TER), measured through electrical resistance across the monolayer, increased 2 h after 0.5 µM AEA treatment and decreased with 5 µM AEA, compared to LPS alone. Addition of AEA to BAEC challenged with LPS induced mitochondrial dysfunction via increased ROS production, cytochrome-C release, and activation of caspase 3/7. Antagonism of CB1 by 1 µM AM251 ameliorated AEA induced ROS production and cytochrome-C release. Addition of AM251 also eliminated 2 h TER increase and improved TER following 5 µM AEA. Doses of 0.5, 1, and 5 µM AEA delayed endothelial barrier recovery, which was eliminated by the addition of AM251. Mitochondrial dysfunction and activation of apoptotic pathways in response to AEA treatment during LPS challenge of BAEC may act to delay inflammatory resolution and contribute to endothelial dysfunction. Full article
Show Figures

Figure 1

19 pages, 3088 KB  
Article
Effects of Rare Phytocannabinoids on the Endocannabinoid System of Human Keratinocytes
by Camilla Di Meo, Daniel Tortolani, Sara Standoli, Clotilde Beatrice Angelucci, Federico Fanti, Alessandro Leuti, Manuel Sergi, Salam Kadhim, Eric Hsu, Cinzia Rapino and Mauro Maccarrone
Int. J. Mol. Sci. 2022, 23(10), 5430; https://doi.org/10.3390/ijms23105430 - 12 May 2022
Cited by 20 | Viewed by 7033
Abstract
The decriminalization and legalization of cannabis has paved the way for investigations into the potential of the use of phytocannabinoids (pCBs) as natural therapeutics for the treatment of human diseases. This growing interest has recently focused on rare (less abundant) pCBs that are [...] Read more.
The decriminalization and legalization of cannabis has paved the way for investigations into the potential of the use of phytocannabinoids (pCBs) as natural therapeutics for the treatment of human diseases. This growing interest has recently focused on rare (less abundant) pCBs that are non-psychotropic compounds, such as cannabigerol (CBG), cannabichromene (CBC), Δ9-tetrahydrocannabivarin (THCV) and cannabigerolic acid (CBGA). Notably, pCBs can act via the endocannabinoid system (ECS), which is involved in the regulation of key pathophysiological processes, and also in the skin. In this study, we used human keratinocytes (HaCaT cells) as an in vitro model that expresses all major ECS elements in order to systematically investigate the effects of CBG, CBC, THCV and CBGA. To this end, we analyzed the gene and protein expression of ECS components (receptors: CB1, CB2, GPR55, TRPV1 and PPARα/γ/δ; enzymes: NAPE-PLD, FAAH, DAGLα/β and MAGL) using qRT-PCR and Western blotting, along with assessments of their functionality using radioligand binding and activity assays. In addition, we quantified the content of endocannabinoid(-like) compounds (AEA, 2-AG, PEA, etc.) using UHPLC-MS/MS. Our results demonstrated that rare pCBs modulate the gene and protein expression of distinct ECS elements differently, as well as the content of endocannabinoid(-like) compounds. Notably, they all increased CB1/2 binding, TRPV1 channel stimulation and FAAH and MAGL catalytic activity. These unprecedented observations should be considered when exploring the therapeutic potential of cannabis extracts for the treatment of human skin diseases. Full article
(This article belongs to the Special Issue New Insight into Cannabinoid Effects)
Show Figures

Figure 1

12 pages, 2486 KB  
Article
Presence of the Endocannabinoid System in the Inferior Pulvinar of the Vervet Monkey
by Catarina Micaelo-Fernandes, Joseph Bouskila, Jean-François Bouchard and Maurice Ptito
Brain Sci. 2021, 11(6), 770; https://doi.org/10.3390/brainsci11060770 - 10 Jun 2021
Cited by 2 | Viewed by 4237
Abstract
The expression of the endocannabinoid (eCB) system, including cannabinoid receptor type 1 (CB1R) and the cannabinoid synthesizing (NAPE-PLD) and degrading (FAAH) enzymes, has been well-characterized in the retina of rodents and monkeys. More recently, the presence of CB1R was localized throughout the dorsal [...] Read more.
The expression of the endocannabinoid (eCB) system, including cannabinoid receptor type 1 (CB1R) and the cannabinoid synthesizing (NAPE-PLD) and degrading (FAAH) enzymes, has been well-characterized in the retina of rodents and monkeys. More recently, the presence of CB1R was localized throughout the dorsal lateral geniculate nucleus of the thalamus of vervet monkeys. Given that the retina projects also to the pulvinar either via a direct projection or via the superior colliculus, it was reasonable to assume that this system would be present therein. The visual pulvinar, namely the inferior pulvinar (PI) region, was delineated with calbindin immunohistochemical staining. Using Western blots and immunofluorescence, we demonstrated that CB1R, NAPE-PLD and FAAH are expressed in the PI of the vervet monkey. Throughout the PI, CB1R was mainly colocalized with VGLUT2-positive axon terminals in the vicinity of calbindin and parvalbumin-positive neurons. NAPE-PLD and FAAH rather colocalized with calbindin over the somatodendritic compartment of PI neurons. Our results suggest that visual information coming from the retina and entering the PI is modulated by the eCB system on its way to the dorsal visual stream. These results provide insights for understanding the role of eCBs in the modulation of visual thalamic inputs and, hence, visual perception. Full article
(This article belongs to the Special Issue A Decade of Brain Sciences)
Show Figures

Figure 1

14 pages, 1688 KB  
Article
Engineered Lactobacillus paracasei Producing Palmitoylethanolamide (PEA) Prevents Colitis in Mice
by Giuseppe Esposito, Marcella Pesce, Luisa Seguella, Jie Lu, Chiara Corpetti, Alessandro Del Re, Fatima Domenica Elisa De Palma, Giovanni Esposito, Walter Sanseverino and Giovanni Sarnelli
Int. J. Mol. Sci. 2021, 22(6), 2945; https://doi.org/10.3390/ijms22062945 - 14 Mar 2021
Cited by 33 | Viewed by 5727
Abstract
Palmitoylethanolamide (PEA) is an N-acylethanolamide produced on-demand by the enzyme N-acylphosphatidylethanolamine-preferring phospholipase D (NAPE-PLD). Being a key member of the larger family of bioactive autacoid local injury antagonist amides (ALIAmides), PEA significantly improves the clinical and histopathological stigmata in models of [...] Read more.
Palmitoylethanolamide (PEA) is an N-acylethanolamide produced on-demand by the enzyme N-acylphosphatidylethanolamine-preferring phospholipase D (NAPE-PLD). Being a key member of the larger family of bioactive autacoid local injury antagonist amides (ALIAmides), PEA significantly improves the clinical and histopathological stigmata in models of ulcerative colitis (UC). Despite its safety profile, high PEA doses are required in vivo to exert its therapeutic activity; therefore, PEA has been tested only in animals or human biopsy samples, to date. To overcome these limitations, we developed an NAPE-PLD-expressing Lactobacillus paracasei F19 (pNAPE-LP), able to produce PEA under the boost of ultra-low palmitate supply, and investigated its therapeutic potential in a murine model of UC. The coadministration of pNAPE-LP and palmitate led to a time-dependent release of PEA, resulting in a significant amelioration of the clinical and histological damage score, with a significantly reduced neutrophil infiltration, lower expression and release of pro-inflammatory cytokines and oxidative stress markers, and a markedly improved epithelial barrier integrity. We concluded that pNAPE-LP with ultra-low palmitate supply stands as a new method to increase the in situ intestinal delivery of PEA and as a new therapeutic able of controlling intestinal inflammation in inflammatory bowel disease. Full article
Show Figures

Figure 1

16 pages, 2742 KB  
Article
Biosynthesis of N-Docosahexanoylethanolamine from Unesterified Docosahexaenoic Acid and Docosahexaenoyl-Lysophosphatidylcholine in Neuronal Cells
by Karl Kevala, Michel Lagarde, Arthur A. Spector and Hee-Yong Kim
Int. J. Mol. Sci. 2020, 21(22), 8768; https://doi.org/10.3390/ijms21228768 - 20 Nov 2020
Cited by 6 | Viewed by 3126
Abstract
We investigated the synthesis of N-docosahexaenoylethanolamine (synaptamide) in neuronal cells from unesterified docosahexaenoic acid (DHA) or DHA-lysophosphatidylcholine (DHA-lysoPC), the two major lipid forms that deliver DHA to the brain, in order to understand the formation of this neurotrophic and neuroprotective metabolite of [...] Read more.
We investigated the synthesis of N-docosahexaenoylethanolamine (synaptamide) in neuronal cells from unesterified docosahexaenoic acid (DHA) or DHA-lysophosphatidylcholine (DHA-lysoPC), the two major lipid forms that deliver DHA to the brain, in order to understand the formation of this neurotrophic and neuroprotective metabolite of DHA in the brain. Both substrates were taken up in Neuro2A cells and metabolized to N-docosahexaenoylphosphatidylethanolamine (NDoPE) and synaptamide in a time- and concentration-dependent manner, but unesterified DHA was 1.5 to 2.4 times more effective than DHA-lysoPC at equimolar concentrations. The plasmalogen NDoPE (pNDoPE) amounted more than 80% of NDoPE produced from DHA or DHA-lysoPC, with 16-carbon-pNDoPE being the most abundant species. Inhibition of N-acylphosphatidylethanolamine-phospholipase D (NAPE-PLD) by hexachlorophene or bithionol significantly decreased the synaptamide production, indicating that synaptamide synthesis is mediated at least in part via NDoPE hydrolysis. NDoPE formation occurred much more rapidly than synaptamide production, indicating a precursor–product relationship. Although NDoPE is an intermediate for synaptamide biosynthesis, only about 1% of newly synthesized NDoPE was converted to synaptamide, possibly suggesting additional biological function of NDoPE, particularly for pNDoPE, which is the major form of NDoPE produced. Full article
(This article belongs to the Special Issue 25th Anniversary of IJMS: Advances in Biochemistry)
Show Figures

Figure 1

Back to TopTop