Sign in to use this feature.

Years

Between: -

Subjects

remove_circle_outline
remove_circle_outline
remove_circle_outline
remove_circle_outline
remove_circle_outline
remove_circle_outline
remove_circle_outline

Journals

Article Types

Countries / Regions

Search Results (17)

Search Parameters:
Keywords = N-chlorosuccinimide

Order results
Result details
Results per page
Select all
Export citation of selected articles as:
8 pages, 954 KB  
Communication
On-Resin Acetamidomethyl (Acm) Removal and Disulfide Formation in Cysteinyl Peptides Using N-Chlorosuccinimide (NCS) in the Presence of Other Cys-Protecting Groups
by Amit Chakraborty, Fernando Albericio and Beatriz G. de la Torre
Int. J. Mol. Sci. 2025, 26(6), 2523; https://doi.org/10.3390/ijms26062523 - 11 Mar 2025
Cited by 1 | Viewed by 2375
Abstract
Acetamidomethyl (Acm)-protected cysteine derivatives are essential components of multi-disulfide synthesis, particularly due to the availability of multimodal removal conditions for Acm protection. Most of these removal conditions are harsh and are commonly used to remove Acm protection at the last step of regioselective [...] Read more.
Acetamidomethyl (Acm)-protected cysteine derivatives are essential components of multi-disulfide synthesis, particularly due to the availability of multimodal removal conditions for Acm protection. Most of these removal conditions are harsh and are commonly used to remove Acm protection at the last step of regioselective synthesis of a multi-disulfide, implying that the removal of Acm is performed in the absence of other Cys thiol protections. In this context, N-chlorosuccinimide (NCS)-mediated removal of Acm and concomitant disulfide bridge formation provides a fast and reliable way to synthesize multi-disulfides. In the present study, we demonstrate that NCS-mediated Acm removal and disulfide bond formation can be performed in the presence of other commonly used Cys thiol protections. Interestingly, Acm can be removed with NCS without affecting the Trt group, which is also removed with I2. Later, we successfully employ the NCS-based Acm removal method in the synthesis of multi-disulfide peptides like α-conotoxin SI. Full article
(This article belongs to the Special Issue Solid-Phase Peptides: Syntheses and Applications)
Show Figures

Figure 1

13 pages, 1597 KB  
Article
Halogen Bonding and Rearrangements in Complexes of N-Chlorosuccinimide with Halides
by Maison Hardin, Matthias Zeller and Sergiy V. Rosokha
Molecules 2025, 30(3), 639; https://doi.org/10.3390/molecules30030639 - 31 Jan 2025
Cited by 1 | Viewed by 1313
Abstract
The role of halogen bonding (HaB) in the reactions of N-chlorosuccinimide (SimCl), a versatile reagent in organic synthesis, was investigated through experimental and computational analyses of its interactions with halides. The reactions of SimCl with Br or I resulted in [...] Read more.
The role of halogen bonding (HaB) in the reactions of N-chlorosuccinimide (SimCl), a versatile reagent in organic synthesis, was investigated through experimental and computational analyses of its interactions with halides. The reactions of SimCl with Br or I resulted in the crystallization of HaB complexes of chloride with N-iodosuccinimide (SimI) or N-bromosuccinimide (SimBr). Computational analysis revealed that halogen rearrangements, which occurred even at −73 °C, were facilitated by halogen bonding. The dissociation of SimCl∙Y (Y = I or Br) complexes into a Sim + ClY pair (followed by the rotation and re-binding of the interhalogen molecules) bypassed the formation of the high-energy Sim + Cl+ pair and drastically (about tenfold) reduced the dissociation energy of the N–Cl bond. Furthermore, while the dissociation energy of individual SimCl is higher (and its HaB is weaker) compared to that of SimI or SimBr, the dissociation of the N-Cl bond in SimCl∙Y requires less energy than in the complexes of SimBr or SimI. The facile cleavage of such bonds in HaB complexes explains the high reactivity of SimCl and its effectiveness as a halogenating agent. Full article
Show Figures

Graphical abstract

8 pages, 3257 KB  
Article
Na2S-Mediated One-Pot Selective Deoxygenation of α-Hydroxyl Carbonyl Compounds including Natural Products
by Xiaobo Xu, Leyu Yan, Zhi-Kai Zhang, Bingqing Lu, Zhuangwen Guo, Mengyue Chen and Zhong-Yan Cao
Molecules 2022, 27(15), 4675; https://doi.org/10.3390/molecules27154675 - 22 Jul 2022
Cited by 4 | Viewed by 3594
Abstract
A practical method for the deoxygenation of α-hydroxyl carbonyl compounds under mild reaction conditions is reported here. The use of cheap and easy-to-handle Na2S·9H2O as the reductant in the presence of PPh3 and N-chlorosuccinimide (NCS) enables the [...] Read more.
A practical method for the deoxygenation of α-hydroxyl carbonyl compounds under mild reaction conditions is reported here. The use of cheap and easy-to-handle Na2S·9H2O as the reductant in the presence of PPh3 and N-chlorosuccinimide (NCS) enables the selective dehydroxylation of α-hydroxyl carbonyl compounds, including ketones, esters, amides, imides and nitrile groups. The synthetic utility is demonstrated by the late-stage deoxygenation of bioactive molecule and complex natural products. Full article
(This article belongs to the Special Issue Chemical Synthesis of Natural Products)
Show Figures

Scheme 1

8 pages, 854 KB  
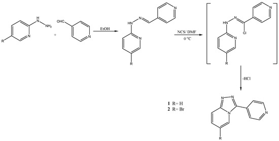
Article
Efficient Synthesis and X-ray Structure of [1,2,4]Triazolo[4,3-a]pyridines via Oxidative Cyclization Using N-Chlorosuccinimide (NCS)
by Said El-Kurdi, Bassam Abu Thaher, Kanan Wahedy, Dieter Schollmeyer, Levin Nopper, Oliver Riester and Hans-Peter Deigner
Crystals 2021, 11(10), 1156; https://doi.org/10.3390/cryst11101156 - 23 Sep 2021
Cited by 1 | Viewed by 3796
Abstract
Triazolopyridines are a family of compounds that, owing to their biological activity, have many pharmaceutical applications. In this study, 3-(pyridine-4-yl)-[1,2,4]triazolo[4,3-a]pyridine and 6-bromo-3-(pyridine-4-yl)-[1,2,4]triazolo[4,3-a]pyridine were synthesized by using the chlorinated agent NCS for hydrazones under very mild conditions. The characterization of [...] Read more.
Triazolopyridines are a family of compounds that, owing to their biological activity, have many pharmaceutical applications. In this study, 3-(pyridine-4-yl)-[1,2,4]triazolo[4,3-a]pyridine and 6-bromo-3-(pyridine-4-yl)-[1,2,4]triazolo[4,3-a]pyridine were synthesized by using the chlorinated agent NCS for hydrazones under very mild conditions. The characterization of these compounds was achieved by 1H NMR, 13C NMR, FTIR, MS and X-ray diffraction. The compound 3-(pyridine-4-yl)-[1,2,4]triazolo[4,3-a]pyridine was crystallized in the monoclinic space group P 21/c with a = 15.1413(12), b = 6.9179(4), c = 13.0938(8) Å, β = 105.102(6)°, V = 1324.16(16)Å3, Z = 4, and R = 0.0337. Also compound 6-bromo-3-(pyridine-4-yl)-[1,2,4]triazolo[4,3-a]pyridine was crystallized in the monoclinic space group P 21/c with a = 14.3213(11), b = 6.9452(4) (4), c = 12.6860(8)Å, β = 100.265(6)°, V = 1241.62(14)Å3, Z = 4, and R = 0.0561. Full article
(This article belongs to the Section Organic Crystalline Materials)
Show Figures

Figure 1

14 pages, 730 KB  
Article
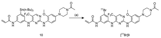
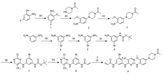
A Radiobrominated Tyrosine Kinase Inhibitor for EGFR with L858R/T790M Mutations in Lung Carcinoma
by Muammar Fawwaz, Kenji Mishiro, Ryuichi Nishii, Akira Makino, Yasushi Kiyono, Kazuhiro Shiba, Seigo Kinuya and Kazuma Ogawa
Pharmaceuticals 2021, 14(3), 256; https://doi.org/10.3390/ph14030256 - 12 Mar 2021
Cited by 12 | Viewed by 3823
Abstract
Activating double mutations L858R/T790M in the epidermal growth factor receptor (EGFR) region are often observed as the cause of resistance to tyrosine kinase inhibitors (TKIs). Third-generation EGFR-TKIs, such as osimertinib and rociletinib (CO-1686), was developed to target such resistance mutations. The detection of [...] Read more.
Activating double mutations L858R/T790M in the epidermal growth factor receptor (EGFR) region are often observed as the cause of resistance to tyrosine kinase inhibitors (TKIs). Third-generation EGFR-TKIs, such as osimertinib and rociletinib (CO-1686), was developed to target such resistance mutations. The detection of activating L858R/T790M mutations is necessary to select sensitive patients for therapy. Hence, we aimed to develop novel radiobromine-labeled CO-1686 as a positron emission tomography (PET) imaging probe for detecting EGFR L858R/T790M mutations. Nonradioactive brominated-CO1686 (BrCO1686) was synthesized by the condensation of N-(3-[{2-chloro-5-(trifluoromethyl)pyrimidin-4-yl}amino]-5-bromophenyl) acrylamide with the corresponding substituted 1-(4-[4-amino-3-methoxyphenyl]piperazine-1-yl)ethan-1-one. The radiobrominated [77Br]BrCO1686 was prepared through bromodestannylation of the corresponding tributylstannylated precursor with [77Br]bromide and N-chlorosuccinimide. Although we aimed to provide a novel PET imaging probe, 77Br was used as an alternative radionuclide for 76Br. We fundamentally evaluated the potency of [77Br]BrCO1686 as a molecular probe for detecting EGFR L858R/T790M using human non-small-cell lung cancer (NSCLC) cell lines: H1975 (EGFR L858R/T790M), H3255 (EGFR L858R), and H441 (wild-type EGFR). The BrCO1686 showed high cytotoxicity toward H1975 (IC50 0.18 ± 0.06 µM) comparable to that of CO-1686 (IC50 0.14 ± 0.05 µM). In cell uptake experiments, the level of accumulation of [77Br]BrCO1686 in H1975 was significantly higher than those in H3255 and H441 upon 4 h of incubation. The radioactivity of [77Br]BrCO1686 (136.3% dose/mg protein) was significantly reduced to 56.9% dose/mg protein by the pretreatment with an excess CO-1686. These results indicate that the binding site of the radiotracers should be identical to that of CO-1686. The in vivo accumulation of radioactivity of [77Br]BrCO1686 in H1975 tumor (4.51 ± 0.17) was higher than that in H441 tumor (3.71 ± 0.13) 1 h postinjection. Our results suggested that [77Br]BrCO1686 has specificity toward NSCLC cells with double mutations EGFR L858R/T790M compared to those in EGFR L858R and wild-type EGFR. However, the in vivo accumulation of radioactivity in the targeted tumor needs to be optimized by structural modification. Full article
(This article belongs to the Section Radiopharmaceutical Sciences)
Show Figures

Figure 1

12 pages, 928 KB  
Article
Technoeconomic Assessment of Organic Halide Based Gold Recovery from Waste Electronic and Electrical Equipment
by Jamie Wordsworth, Nadia Khan, Jack Blackburn, Jason E. Camp and Athanasios Angelis-Dimakis
Resources 2021, 10(2), 17; https://doi.org/10.3390/resources10020017 - 20 Feb 2021
Cited by 8 | Viewed by 4309
Abstract
Waste Electronic and Electrical Equipment (WEEE) is one of the fastest growing waste streams worldwide, with significant economic value due to the precious metals contained within. Currently, only a small share of the total globally produced quantity produced is treated effectively and a [...] Read more.
Waste Electronic and Electrical Equipment (WEEE) is one of the fastest growing waste streams worldwide, with significant economic value due to the precious metals contained within. Currently, only a small share of the total globally produced quantity produced is treated effectively and a large amount of valuable non-renewable resources are being wasted. Moreover, the methods currently applied in industry on a large scale are not always environmentally friendly. Thus, an economically viable and environmentally friendly method that would achieve high recovery of certain elements is sought. The objective of this paper is to assess four different organic halides as leaching agents for gold recovery from WEEE. Two of them have been previously tested (namely N-bromosuccinimide, NBS, and N-chlorosuccinimide, NCS) and have shown promising results, whereas the other two are novel and were selected due to their lower toxicity levels (trichloroisocyanuric acid, TCICA, and tribromoisocyanuric acid, TBICA). Both commercially supplied pure gold powder and WEEE dust from a recycling company were used as the gold source. Results show that from a technical standpoint, the NBS is a superior solution with both substrates, reaching 61% and 99% extraction efficiency from WEEE dust and pure gold, respectively. The other three methods recorded lower recovery efficiency (with the highest value reaching 36% for NCS, 53% for TCICA and 29% for TBICA). However, taking into account the price of gold and the expenses of the extraction process, only three of the lixiviants tested (NBS, NCS and TCICA) could be potentially profitable and viable on a larger scale. Full article
Show Figures

Figure 1

9 pages, 2227 KB  
Communication
Catalytic Asymmetric Chlorination of β-Ketoesters Using N-PFB-PyBidine-Zn(OAc)2
by Junma Ma, Takumi Suzuki, Satoru Kuwano and Takayoshi Arai
Catalysts 2020, 10(10), 1177; https://doi.org/10.3390/catal10101177 - 13 Oct 2020
Cited by 2 | Viewed by 3495
Abstract
A PyBidine-Zn(OAc)2 complex catalyzed asymmetric chlorination of β-ketoesters. With assistance of NaHCO3, a newly developed N-pentafluorobenzyl-PyBidine (N-PFB-PyBidine)-Zn(OAc)2 catalyst promoted the reaction of α-benzyl-β-ketoesters with N-chlorosuccinimide (NCS) to give the chlorinated products with up to 82% [...] Read more.
A PyBidine-Zn(OAc)2 complex catalyzed asymmetric chlorination of β-ketoesters. With assistance of NaHCO3, a newly developed N-pentafluorobenzyl-PyBidine (N-PFB-PyBidine)-Zn(OAc)2 catalyst promoted the reaction of α-benzyl-β-ketoesters with N-chlorosuccinimide (NCS) to give the chlorinated products with up to 82% ee. Results of a mechanistic study suggested that zinc-enolate of β-ketoesters was formed on the basic (N-PFB-PyBidine)-Zn(OAc)2 catalyst. The α-chlorinated-β-ketoester was successfully transformed into the chiral epoxide through sequential asymmetric chlorination/cyano-epoxidation in a one-pot synthesis. Full article
(This article belongs to the Special Issue Multi-Step Syntheses in Biology & Chemistry)
Show Figures

Graphical abstract

17 pages, 1512 KB  
Article
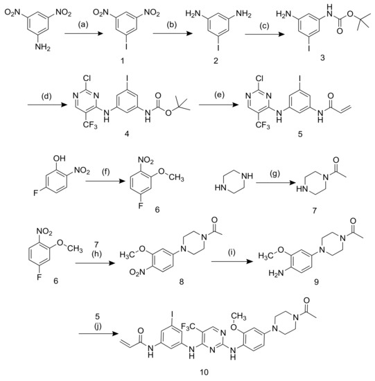
Synthesis and Fundamental Evaluation of Radioiodinated Rociletinib (CO-1686) as a Probe to Lung Cancer with L858R/T790M Mutations of Epidermal Growth Factor Receptor (EGFR)
by Muammar Fawwaz, Kenji Mishiro, Ryuichi Nishii, Izumi Sawazaki, Kazuhiro Shiba, Seigo Kinuya and Kazuma Ogawa
Molecules 2020, 25(12), 2914; https://doi.org/10.3390/molecules25122914 - 24 Jun 2020
Cited by 21 | Viewed by 4793
Abstract
Rociletinib (CO-1686), a 2,4-diaminopyrimidine derivative, is a highly potent tyrosine kinase inhibitor (TKI) that acts on epidermal growth factor receptor (EGFR) with L858R/T790M mutations. We supposed radioiodinated CO-1686 would function as a useful tool for monitoring EGFR L858R/T790M mutations. To aid in patient [...] Read more.
Rociletinib (CO-1686), a 2,4-diaminopyrimidine derivative, is a highly potent tyrosine kinase inhibitor (TKI) that acts on epidermal growth factor receptor (EGFR) with L858R/T790M mutations. We supposed radioiodinated CO-1686 would function as a useful tool for monitoring EGFR L858R/T790M mutations. To aid in patient selection before therapy with EGFR-TKIs, this study aimed to develop a 125I-labeled derivative of CO-1686, N-{3-[(2-{[4-(4-acetylpiperazin-1-yl)-2-methoxyphenyl]amino}-5-(trifluoromethyl)pyrimidine-4-yl] amino}-5-([125I]iodophenyl)acrylamide ([125I]ICO1686) and evaluate its selectivity toward EGFR L858R/T790M. Radiosynthesis was performed by iododestannylation of the corresponding tributylstannyl precursor with [125I]NaI and N-chlorosuccinimide. The selectivity of the tracer for detecting EGFR L858R/T790M was evaluated using three relevant non-small cell lung cancer (NSCLC) cell lines—H1975, H3255 and H441 overexpressing the dual mutation EGFR L858R/T790M, active mutant EGFR L858R and wild-type EGFR, respectively. The nonradioactive ICO1686 and the precursor compound were successfully synthesized. A novel radiolabeled probe, [125I]ICO1686, was prepared with high radiochemical yield (77%) and purity (>99%). ICO1686 exhibited high cytotoxicity toward H1975 (IC50 0.20 ± 0.05 μM) and H3255 (IC50 0.50 ± 0.21 μM), which is comparable to that of CO-1686. In contrast, the cytotoxicity of ICO1686 toward H441 was 10-fold lower than that toward H1975. In the cell uptake study, the radioactivity uptake of [125I]ICO1686 in H1975 was 101.52% dose/mg, whereas the uptakes in H3255 and H441 were 33.52 and 8.95% dose/mg, respectively. The uptake of [125I]ICO1686 in H1975 was greatly reduced to 45.61% dose/mg protein by treatment with excess CO-1686. In vivo biodistribution study of the radiotracer found that its accumulation in H1975 tumor (1.77 ± 0.43% ID/g) was comparable to that in H3255 tumor (1.63 ± 0.23% ID/g) and the accumulation in H1975 tumor was not reduced by pretreatment with an excess dose of CO-1686. Although this radiotracer exhibited highly specific in vitro uptake in target cancer cells, structural modification is required to improve in vivo biodistribution. Full article
(This article belongs to the Section Medicinal Chemistry)
Show Figures

Graphical abstract

8 pages, 2832 KB  
Communication
Synthesis of 2-Cyanopyrimidines
by Andreas S. Kalogirou and Panayiotis A. Koutentis
Molbank 2019, 2019(4), M1086; https://doi.org/10.3390/M1086 - 22 Oct 2019
Cited by 4 | Viewed by 4406
Abstract
4,6-Dichloro-2-(methylthio)pyrimidine (7) was converted to 4-chloro-6-methoxy-2-(methylthio)pyrimidine (15) and 4,6-dimethoxy-2-(methylthio)pyrimidine (14). Chlorination of the latter with N-chlorosuccinimide (NCS) affords 5-chloro-4,6-dimethoxy-2-(methylthio)pyrimidine (16) in 56% yield. Both methylthiopyrimidines 15 and 14 were converted in two steps to [...] Read more.
4,6-Dichloro-2-(methylthio)pyrimidine (7) was converted to 4-chloro-6-methoxy-2-(methylthio)pyrimidine (15) and 4,6-dimethoxy-2-(methylthio)pyrimidine (14). Chlorination of the latter with N-chlorosuccinimide (NCS) affords 5-chloro-4,6-dimethoxy-2-(methylthio)pyrimidine (16) in 56% yield. Both methylthiopyrimidines 15 and 14 were converted in two steps to 4-chloro-6-methoxypyrimidine-2-carbonitrile (13) and 4,6-dimethoxypyrimidine-2-carbonitrile (12), respectively, after oxidation to sulfones and displacement of the sulfinate group with KCN. 4,6-Dimethoxypyrimidine-2-carbonitrile (12) was chlorinated with NCS to give 5-chloro-4,6-dimethoxypyrimidine-2-carbonitrile (10) in 53% yield. All new compounds were fully characterized. Full article
Show Figures

Figure 1

18 pages, 3378 KB  
Article
Synthesis, Biological Evaluation and Docking Studies of 13-Epimeric 10-fluoro- and 10-Chloroestra-1,4-dien-3-ones as Potential Aromatase Inhibitors
by Rebeka Jójárt, Péter Traj, Édua Kovács, Ágnes Horváth, Gyula Schneider, Mihály Szécsi, Attila Pál, Gábor Paragi and Erzsébet Mernyák
Molecules 2019, 24(9), 1783; https://doi.org/10.3390/molecules24091783 - 8 May 2019
Cited by 10 | Viewed by 3398
Abstract
Fluorination of 13-epimeric estrones and their 17-deoxy counterparts was performed with Selectfluor as the reagent. In acetonitrile or trifluoroacetic acid (TFA), 10β-fluoroestra-1,4-dien-3-ones were formed exclusively. Mechanistic investigations suggest that fluorinations occurred via SET in acetonitrile, but another mechanism was operative in TFA. Simultaneous [...] Read more.
Fluorination of 13-epimeric estrones and their 17-deoxy counterparts was performed with Selectfluor as the reagent. In acetonitrile or trifluoroacetic acid (TFA), 10β-fluoroestra-1,4-dien-3-ones were formed exclusively. Mechanistic investigations suggest that fluorinations occurred via SET in acetonitrile, but another mechanism was operative in TFA. Simultaneous application of N-chlorosuccinimide (NCS) and Selectfluor in TFA led to a 1.3:1 mixture of 10β-fluoroestra-1,4-dien-3-one and 10β-chloroestra-1,4-dien-3-one as the main products. The potential inhibitory action of the 10-fluoro- or 10-chloroestra-1,4-dien-3-one products on human aromatase was investigated via in vitro radiosubstrate incubation. The classical estrane conformation with trans ring anellations and a 13β-methyl group seems to be crucial for the inhibition of the enzyme, while test compounds bearing the 13β-methyl group exclusively displayed potent inhibitory action with submicromolar or micromolar IC50 values. Concerning molecular level explanation of biological activity or inactivity, computational simulations were performed. Docking studies reinforced that besides the well-known Met374 H-bond connection, the stereocenter in the 13 position has an important role in the binding affinity. The configuration inversion at C-13 results in weaker binding of 13α-estrone derivatives to the aromatase enzyme. Full article
Show Figures

Graphical abstract

16 pages, 5284 KB  
Article
One-Pot Synthesis of P(O)-N Containing Compounds Using N-Chlorosuccinimide and Their Influence in Thermal Decomposition of PU Foams
by Khalifah A. Salmeia, Florence Flaig, Daniel Rentsch and Sabyasachi Gaan
Polymers 2018, 10(7), 740; https://doi.org/10.3390/polym10070740 - 5 Jul 2018
Cited by 17 | Viewed by 7579
Abstract
Synthesis of intermediate containing P(O)-Cl bonds is the key to converting P(O)-H bonds to P(O)-N. In this work we have performed chlorination reactions of different H-phosphinates and H-phosphonates using N-chlorosuccinimide as an environmentally-benign chlorinating [...] Read more.
Synthesis of intermediate containing P(O)-Cl bonds is the key to converting P(O)-H bonds to P(O)-N. In this work we have performed chlorination reactions of different H-phosphinates and H-phosphonates using N-chlorosuccinimide as an environmentally-benign chlorinating agent. The chlorination reaction showed high yield and high selectivity for transformation of P(O)-H bonds into P(O)-Cl analogues, resulting in an easily separable succinimide as the by-product. Using a one-pot synthesis methodology, we have synthesized a series of P(O)-N containing derivatives whose synthesis was found to be dependent on the reaction solvents and the starting materials. The synthesized P(O)-N compounds were incorporated in flexible polyurethane foam (FPUF) and screened for their influence in thermal decomposition of FPUFs using thermogravimetric analysis (TGA) and a microscale combustion calorimeter (MCC). All solid P(O)-N compounds influenced the first-stage decomposition of FPUFs, which resulted in an accelerated decomposition or temporary stabilization of this stage. However, the liquid P(O)-N derivatives volatilize at an earlier stage and could be active in the gas phase. In addition, they also work in condensed phase via acid catalyzed decomposition for FPUFs. Full article
Show Figures

Graphical abstract

6 pages, 5459 KB  
Article
A Recyclable Fluorous Hydrazine‐1,2Bis(Carbothioate) Organocatalyst for the Synthesis of ꞵ‐Chloroethers with N‐Chlorosuccinimide
by Yi‐Wei Zhu, Yi‐Xin Shi and Yu‐Qi Yin
Catalysts 2017, 7(2), 66; https://doi.org/10.3390/catal7020066 - 16 Feb 2017
Cited by 5 | Viewed by 4376
Abstract
A novel fluorous hydrazine‐1,2‐bis(carbothioate) was prepared. It showed good catalytic activity in the synthesis of ꞵ‐chloroethers with N‐chlorosuccinimide under mild reaction conditions. This fluorous organocatalyst could be recovered and recycled several times with good purity. [...] Read more.
A novel fluorous hydrazine‐1,2‐bis(carbothioate) was prepared. It showed good catalytic activity in the synthesis of ꞵ‐chloroethers with N‐chlorosuccinimide under mild reaction conditions. This fluorous organocatalyst could be recovered and recycled several times with good purity. Full article
(This article belongs to the Special Issue Metal-free Organocatalysis)
Show Figures

Graphical abstract

10 pages, 10117 KB  
Article
Organocatalytic Asymmetric α-Chlorination of 1,3-Dicarbonyl Compounds Catalyzed by 2-Aminobenzimidazole Derivatives
by Daniel Serrano Sánchez, Alejandro Baeza and Diego A. Alonso
Symmetry 2016, 8(1), 3; https://doi.org/10.3390/sym8010003 - 13 Jan 2016
Cited by 11 | Viewed by 7484
Abstract
Bifunctional chiral 2-aminobenzimidazole derivatives 1 and 2 catalyze the enantioselective stereodivergent α-chlorination of β-ketoesters and 1,3-diketone derivatives with up to 50% ee using N-chlorosuccinimide (NCS) or 2,3,4,4,5,6-hexachloro-2,5-cyclohexadien-1-one as electrophilic chlorine sources. Full article
(This article belongs to the Special Issue Asymmetric Catalysis)
Show Figures

Graphical abstract

19 pages, 889 KB  
Communication
Synthesis of Phenolic Compounds by Trapping Arynes with a Hydroxy Surrogate
by Rajdip Karmakar, Sourav Ghorai, Yuanzhi Xia and Daesung Lee
Molecules 2015, 20(9), 15862-15880; https://doi.org/10.3390/molecules200915862 - 31 Aug 2015
Cited by 33 | Viewed by 9608
Abstract
Trapping of arynes with various nucleophiles provides a range of heteroatom-functionalized arene derivatives, but the corresponding reaction with water does not provide phenol derivatives. Silver trifluroacetate (AgO2CCF3) can nicely solve this problem. It was found that in typical organic [...] Read more.
Trapping of arynes with various nucleophiles provides a range of heteroatom-functionalized arene derivatives, but the corresponding reaction with water does not provide phenol derivatives. Silver trifluroacetate (AgO2CCF3) can nicely solve this problem. It was found that in typical organic solvent, AgO2CCF3 readily reacts with arynes to generate trifluoroacetoxy organosilver arene intermediate, which, upon treating with silica gel, provides phenolic products. This protocol can be extended to the synthesis of α-halofunctionalized phenol derivatives by simply adding NBS (N-bromosuccinimides) or NIS (N-iodosuccinimides) to the reaction along with silver trifluroacetate, which provided α-bromo or α-iodophenol derivatives in good yield. However, the similar reactions with NCS (N-chlorosuccinimides) afforded only the protonated product instead of the expected α-chlorophenols derivatives. Interestingly, substrates containing silyl substituents on 1,3-diynes resulted in α-halotrifluoroacetates rather than their hydrolyzed product. Additionally, trapping the same arynes with other oxygen-based nucleophiles containing silver counter cation, along with NXS (N-halosuccinimides), generated α-halooxyfunctionalized products. Full article
(This article belongs to the Special Issue Development and Application of Aryne Chemistry in Organic Synthesis)
Show Figures

Graphical abstract

8 pages, 60 KB  
Article
Synthetic Analogue of Stilbene Containing an Imidazole Nucleus
by Saika Siddiqui and Ramachandra S. Hosmane
Molecules 2000, 5(6), 856-863; https://doi.org/10.3390/50600856 - 18 Jun 2000
Cited by 2 | Viewed by 7636
Abstract
Synthesis of trans-1,2-bis(4-nitro-1-p-methoxybenzylimidazol-5-yl)ethene (1) as an imidazole analogue of stilbene has been reported. In order to confirm the trans geometry of the product using an UV spectral comparison, a mixture of both trans (1) and cis isomer (3) was also [...] Read more.
Synthesis of trans-1,2-bis(4-nitro-1-p-methoxybenzylimidazol-5-yl)ethene (1) as an imidazole analogue of stilbene has been reported. In order to confirm the trans geometry of the product using an UV spectral comparison, a mixture of both trans (1) and cis isomer (3) was also prepared. The synthesis involved one-step dimerization of the precursor, 4-nitro-1-p-methoxybenzyl-5-methyl-1H-imidazole (2), using N-chlorosuccinimide catalyzed by potassium t-butoxide. Full article
Show Figures

Figure 1

Back to TopTop