Sign in to use this feature.

Years

Between: -

Subjects

remove_circle_outline
remove_circle_outline
remove_circle_outline
remove_circle_outline
remove_circle_outline
remove_circle_outline
remove_circle_outline
remove_circle_outline
remove_circle_outline

Journals

Article Types

Countries / Regions

Search Results (25)

Search Parameters:
Keywords = N,N-dimethyl acrylamide

Order results
Result details
Results per page
Select all
Export citation of selected articles as:
15 pages, 1890 KB  
Article
Synergistic Enhancement of Oxygen Permeability in Silane-Modified Hydrogel Networks for Advanced Ophthalmic Applications
by Min-Jae Lee and A-Young Sung
Gels 2025, 11(12), 987; https://doi.org/10.3390/gels11120987 - 8 Dec 2025
Viewed by 390
Abstract
This study investigates the compatibility of various acrylic and silane monomers and aims to develop a high-performance hydrogel ophthalmic polymer. The formulations incorporated 2-(trimethylsiloxy)ethyl methacrylate (2TSEMA), 3-(methacryloxy)propyl tris(trimethylsiloxy)silane (3TRIS), and (1,1-dimethyl-2-propyl)oxy-trimethylsilane (TRIS) as functional additives to a base composition of silanol-terminated silicone (Sil-OH), [...] Read more.
This study investigates the compatibility of various acrylic and silane monomers and aims to develop a high-performance hydrogel ophthalmic polymer. The formulations incorporated 2-(trimethylsiloxy)ethyl methacrylate (2TSEMA), 3-(methacryloxy)propyl tris(trimethylsiloxy)silane (3TRIS), and (1,1-dimethyl-2-propyl)oxy-trimethylsilane (TRIS) as functional additives to a base composition of silanol-terminated silicone (Sil-OH), N,N–dimethyl acrylamide (DMA), methyl methacrylate (MMA), and methyl acrylate (MA). Copolymerization was carried out using ethylene glycol dimethacrylate (EGDMA) as the crosslinking agent and azobisisobutyronitrile (AIBN) as the thermal initiator. All synthesized hydrogel lenses exhibited excellent optical transparency, indicating good monomer compatibility. The optical and physicochemical properties of the hydrogels varied depending on monomer composition. Notably, the formulation combining 2TSEMA with 1 wt% TRIS showed enhanced oxygen permeability, suggesting a synergistic interaction between the two silane-based components. These results demonstrate the potential of such hybrid formulations for use in next-generation functional hydrogel ophthalmic lenses. Full article
(This article belongs to the Section Gel Processing and Engineering)
Show Figures

Figure 1

15 pages, 4244 KB  
Article
Structural Origin of the Fast Polymerization Rates and Monomer Universality of Pyrazole-Based Photoiniferters
by Bo Wang, Xuegang Liu, Zhilei Wang, Chenyu Wu, Zikuan Wang and Wenjian Liu
Molecules 2025, 30(18), 3687; https://doi.org/10.3390/molecules30183687 - 10 Sep 2025
Viewed by 782
Abstract
Herein, we report a combined computational and experimental investigation into the recently reported universal pyrazole-based reversible addition-fragmentation chain transfer (RAFT) agents (Z−C(=S)−S−R, where Z is 3,5-dimethyl-1H-pyrazol-1-yl), which can mediate controlled radical polymerization of a broad scope of monomers without the need [...] Read more.
Herein, we report a combined computational and experimental investigation into the recently reported universal pyrazole-based reversible addition-fragmentation chain transfer (RAFT) agents (Z−C(=S)−S−R, where Z is 3,5-dimethyl-1H-pyrazol-1-yl), which can mediate controlled radical polymerization of a broad scope of monomers without the need for an additional initiator or catalyst. The results reveal that the high molar absorption coefficient and efficient photolysis kinetics of pyrazole-based chain transfer agents (CTAs) under blue light (λmax = 465 nm) enable rapid radical generation, underpinning ultrafast polymerization of acrylates, acrylamides, methacrylates, and N-vinylpyrrolidone (NVP). While the efficient light absorption is attributed to structural dissimilarity between the Z group and the S–R group (which breaks the local symmetry of the C=S group), the fast photolysis originates from favorable π electron donation from the Z group to the C=S group. Meanwhile, the π electron donation is still weaker than in xanthates, which explains the excellent control of a wide range of monomers, except methacrylates. This work establishes design principles for next-generation CTAs for ultrafast and monomer-universal photoiniferter RAFT polymerization. Full article
(This article belongs to the Section Macromolecular Chemistry)
Show Figures

Figure 1

14 pages, 3040 KB  
Article
Functional Hydrogels Promote Vegetable Growth in Cadmium-Contaminated Soil
by Jin Huang, Takehiko Gotoh, Satoshi Nakai and Akihiro Ueda
Gels 2024, 10(5), 348; https://doi.org/10.3390/gels10050348 - 20 May 2024
Cited by 4 | Viewed by 2866
Abstract
Over the years, the concentration of cadmium in soil has increased due to industrialization. Cadmium in the soil enters the human body through plant accumulation, seriously endangering human health. In the current study, two types of hydrogels were successfully synthesized using a free [...] Read more.
Over the years, the concentration of cadmium in soil has increased due to industrialization. Cadmium in the soil enters the human body through plant accumulation, seriously endangering human health. In the current study, two types of hydrogels were successfully synthesized using a free radical polymerization method: an ion-type hydrogel referred to as DMAPAA (N-(3-(Dimethyl amino) propyl) acrylamide)/DMAPAAQ (N,N-Dimethyl amino propyl acrylamide, methyl chloride quaternary) and a non-ion-type hydrogel known as DMAA (N,N-Dimethylacrylamide). In the experiment carried out in this study, the ion-type hydrogel DMAPAA/DMAPAAQ was introduced to cadmium-contaminated soil for vegetable cultivation. The study found that at cadmium levels of 0 and 2 mg/kg in soil, when exposed to a pH 2 solution, cadmium wasn’t detected in the filtrate using ICP. As the amount of cadmium increased to 500 mg/kg, hydrogel addition gradually reduced the filtrate cadmium concentration. Notably, the use of the 4% hydrogel resulted in 0 mg/L of cadmium. For the 0% hydrogel, vegetable cadmium absorption was determined to be 0.07 mg/g, contrasting with 0.03 mg/g for the 4% hydrogel. The DMAPAA/DMAPAAQ hydrogel significantly boosts vegetable growth by efficiently absorbing nitrate ions through ion exchange, releasing them for plant uptake. In contrast, the DMAA hydrogel, used as a control, does not enhance plant growth despite its water absorption properties. In summary, the composite hydrogel shows great potential for enhancing vegetable yield and immobilizing heavy metals in soil. Full article
(This article belongs to the Special Issue Hydrogels: Synthesis, Characterization and Applications (2nd Edition))
Show Figures

Graphical abstract

18 pages, 6913 KB  
Article
Dual Benefits of Hydrogel Remediation of Cadmium-Contaminated Water or Soil and Promotion of Vegetable Growth under Cadmium Stress
by Jin Huang, Takehiko Gotoh, Satoshi Nakai and Akihiro Ueda
Plants 2023, 12(24), 4115; https://doi.org/10.3390/plants12244115 - 8 Dec 2023
Cited by 6 | Viewed by 2080
Abstract
This study aims to solve the problem of cadmium heavy metal ion pollution caused by the abuse of chemical fertilizers and activities such as mining, which pose a serious threat to the plant growth environment. We successfully synthesized DMAPAA (N-(3-(Dimethyl amino) [...] Read more.
This study aims to solve the problem of cadmium heavy metal ion pollution caused by the abuse of chemical fertilizers and activities such as mining, which pose a serious threat to the plant growth environment. We successfully synthesized DMAPAA (N-(3-(Dimethyl amino) propyl) acrylamide)/DMAPAAQ (N, N-Dimethyl amino propyl acrylamide, methyl chloride quaternary) hydrogels via free radical polymerization. Subsequently, we conducted experiments on this hydrogel for growing vegetables under cadmium stress conditions in aqueous solutions and soil. The cadmium capture capacity of DMAPAA/DMAPAAQ hydrogels under different cadmium ion concentrations and pH values was evaluated by using inductively coupled plasma optical emission spectrometry (ICP). The research results show that under the condition of pH = 7.3, the cadmium capture capacity of DMAPAA/DMAPAAQ hydrogels is the greatest. We used the Langmuir model to fit the adsorption data, and the correlation coefficient was as high as 0.96, indicating that the model fits well. The application of the hydrogels promoted the growth of vegetables in soil under cadmium stress conditions. The results showed that when the added amount of hydrogel was 4%, the dry weight of the vegetables was the largest. In addition, when the added amount of cadmium was 500 mg/kg and the added amount of hydrogel was 4%, the absorption of cadmium by the vegetables decreased to an undetectable level. In summary, the hydrogel successfully synthesized in this study can be effectively used to immobilize cadmium ions in soil while positively promoting the growth and yield of vegetables. This achievement has practical significance for solving the problem of heavy metal ion pollution. Full article
(This article belongs to the Section Plant Physiology and Metabolism)
Show Figures

Figure 1

15 pages, 4218 KB  
Article
The Preparation and Characterization of N,N-Dimethyl Acrylamide-Diallyl Maleate Gel/Hydrogel in a Non-Aqueous Solution
by Md Murshed Bhuyan, Mobinul Islam and Jae-Ho Jeong
Gels 2023, 9(8), 598; https://doi.org/10.3390/gels9080598 - 25 Jul 2023
Cited by 12 | Viewed by 2923
Abstract
A few drugs need non-aqueous gels for release in the specific region of the intestine. The present work focuses on preparing N,N-Dimethyl acrylamide-Diallyl Maleate (DMAA-DAM) gel in Dimethyl sulfoxide (DMSO) solvent by applying different doses of gamma radiation and then [...] Read more.
A few drugs need non-aqueous gels for release in the specific region of the intestine. The present work focuses on preparing N,N-Dimethyl acrylamide-Diallyl Maleate (DMAA-DAM) gel in Dimethyl sulfoxide (DMSO) solvent by applying different doses of gamma radiation and then characterization. The blend solution of 10%: 10%—DMAA: DAM was prepared in DMSO and irradiated at 2, 5, 10, 20, and 30 kGy doses from the Co-60 gamma source. After extraction, it was observed that all of the radiation doses yielded more than 95% gel content. The best gel content was found for 10 kGy dose, which was 97%. The equilibrium swelling was optimized 1800% of the dried gel for 5 kGy dose. Gel formation was confirmed by analyzing characteristic functional groups and the environment of protons in the gel structure by using FTIR and NMR spectroscopy. The thermal stability was tested using DSC and TGA which showed the glass transition temperature at 86.55 °C and the degradation started at 320 °C. The XRD pattern analysis revealed the semi-crystalline nature of the gel. Therefore, DMAA-DAM gels can be a good candidate for use in different fields of study, especially in drug delivery. Full article
(This article belongs to the Special Issue Recent Advances in Gels Engineering for Drug Delivery)
Show Figures

Graphical abstract

15 pages, 2818 KB  
Article
Conceptualization and Investigation of Multicomponent Polymer Networks as Prospective Corticosteroid Carriers
by Dilyana Georgieva, Mariela Alexandrova, Sijka Ivanova, Darinka Christova and Bistra Kostova
Gels 2023, 9(6), 470; https://doi.org/10.3390/gels9060470 - 7 Jun 2023
Cited by 3 | Viewed by 2025
Abstract
Dexamethasone (DXM) is a highly potent and long-acting synthetic glucocorticoid with anti-inflammatory, anti-allergic, and immunosuppressive effects. However, the systemic application of DXM can cause undesirable side effects: sleep disorders, nervousness, heart rhythm disorders, heart attack, and others. In the present study, multicomponent polymer [...] Read more.
Dexamethasone (DXM) is a highly potent and long-acting synthetic glucocorticoid with anti-inflammatory, anti-allergic, and immunosuppressive effects. However, the systemic application of DXM can cause undesirable side effects: sleep disorders, nervousness, heart rhythm disorders, heart attack, and others. In the present study, multicomponent polymer networks were developed as potential new platforms for the dermal application of dexamethasone sodium phosphate (DSP). First, a copolymer network (CPN) comprising hydrophilic segments of different chemical structures was synthesized by applying redox polymerization of dimethyl acrylamide onto poly(ethylene glycol) in the presence of poly(ethylene glycol) diacrylate (PEGDA) as a crosslinker. On this basis, an interpenetrating polymer network structure (IPN) was obtained by introducing a second network of PEGDA-crosslinked poly(N-isopropylacrylamide). Multicomponent networks obtained were characterized by FTIR, TGA, and swelling kinetics in different solvents. Both CPN and IPN showed a high swelling degree in aqueous media (up to 1800 and 1200%, respectively), reaching the equilibrium swelling within 24 h. Additionally, IPN showed temperature-responsive swelling in an aqueous solution as the equilibrium swelling degree decreased considerably with an increase in the temperature. In order to evaluate the networks’ potential as drug carriers, swelling in DSP aqueous solutions of varied concentration was investigated. It was established that the amount of encapsulated DSP could be easily controlled by the concentration of drug aqueous solution. In vitro DSP release was studied in buffer solution (BS) with pH 7.4 at 37 °C. The results obtained during DSP loading and release experiments proved the feasibility of the developed multicomponent hydrophilic polymer networks as effective platforms for potential dermal application. Full article
(This article belongs to the Special Issue Research on Hydrogels for Controlled Drug Delivery)
Show Figures

Figure 1

15 pages, 7365 KB  
Article
A Thermal-Responsive Zwitterionic Polymer Gel as a Filtrate Reducer for Water-Based Drilling Fluids
by Kaihe Lv, Hongyan Du, Jinsheng Sun, Xianbin Huang and Haokun Shen
Gels 2022, 8(12), 832; https://doi.org/10.3390/gels8120832 - 16 Dec 2022
Cited by 19 | Viewed by 3609
Abstract
It is crucial to address the performance deterioration of water-based drilling fluids (WDFs) in situations of excessive salinity and high temperature while extracting deep oil and gas deposits. The focus of research in the area of drilling fluid has always been on filter [...] Read more.
It is crucial to address the performance deterioration of water-based drilling fluids (WDFs) in situations of excessive salinity and high temperature while extracting deep oil and gas deposits. The focus of research in the area of drilling fluid has always been on filter reducers that are temperature and salt resistant. In this study, a copolymer gel (PAND) was synthesized using acrylamide, N-isopropyl acrylamide, and 3-dimethyl (methacryloyloxyethyl) ammonium propane sulfonate through free-radical polymerization. The copolymer gel was then studied using FTIR, NMR, TGA, and element analysis. The PAND solution demonstrated temperature and salt stimulus response characteristics on rheology because of the hydrophobic association effect of temperature-sensitive monomers and the anti-polyelectrolyte action of zwitterionic monomers. Even in conditions with high temperatures (180 °C) and high salinities (30 wt% NaCl solution), the water-based drilling fluid with 1 wt% PAND displayed exceptional rheological and filtration properties. Zeta potential and scanning electron microscopy (SEM) were used to investigate the mechanism of filtration reduction. The results indicated that PAND could enhance bentonite particle colloidal stability, prevent bentonite particle aggregation, and form a compact mud cake, all of which are crucial for reducing the filtration volume of water-based drilling fluid. The PAND exhibit excellent potential for application in deep and ultra-deep drilling engineering, and this research may offer new thoughts on the use of zwitterionic polymer gel in the development of smart water-based drilling fluid. Full article
(This article belongs to the Special Issue Gels for Oil Drilling and Enhanced Recovery)
Show Figures

Graphical abstract

16 pages, 4194 KB  
Article
Investigation on Filtration Control of Zwitterionic Polymer AADN in High Temperature High Pressure Water-Based Drilling Fluids
by Ren Wang, Jie Yang, Luman Liu, Jianlong Wang, Zhenbo Feng, Die Zhang, Shan Gao, Jiao Wang, Han Ren and Baotong Hui
Gels 2022, 8(12), 826; https://doi.org/10.3390/gels8120826 - 14 Dec 2022
Cited by 11 | Viewed by 3604
Abstract
With the exploration and development of high-temperature and high-salt deep oil and gas, more rigorous requirements are warranted for the performance of water-based drilling fluids (WBDFs). In this study, acrylamide, 2-acrylamide-2-methylpropanesulfonic acid, diallyl dimethyl ammonium chloride, and N-vinylpyrrolidone were synthesized by free radical [...] Read more.
With the exploration and development of high-temperature and high-salt deep oil and gas, more rigorous requirements are warranted for the performance of water-based drilling fluids (WBDFs). In this study, acrylamide, 2-acrylamide-2-methylpropanesulfonic acid, diallyl dimethyl ammonium chloride, and N-vinylpyrrolidone were synthesized by free radical copolymerization in an aqueous solution to form a temperature and salt-resistant zwitterionic polymer gel filtration loss reducer (AADN). The zwitterionic polymer had excellent adsorption and hydration groups, which could effectively combine with bentonite through hydrogen bonds and electrostatic attraction, strengthening the hydration film thickness on the surface of bentonite, and promoting the stable dispersion of drilling fluid. In addition, the reverse polyelectrolyte effect of zwitterionic polymers strengthened the drilling fluid’s ability to resist high-temperature and high-salt. The AADN-based drilling fluid showed excellent rheological and filtration control properties (FLAPI < 8 mL, FLHTHP < 29.6 mL) even after aging at high-temperature (200 °C) and high-salt (20 wt% NaCl) conditions. This study provides a new strategy for simultaneously improving the high-temperature and high-salt tolerance of WBDFs, presenting the potential for application in drilling in high-temperature and high-salt deep formations. Full article
(This article belongs to the Special Issue Gels for Oil Drilling and Enhanced Recovery)
Show Figures

Graphical abstract

15 pages, 2872 KB  
Article
New Zwitterionic Polymer as a Highly Effective Salt- and Calcium-Resistant Fluid Loss Reducer in Water-Based Drilling Fluids
by Luman Liu, Jinsheng Sun, Ren Wang, Fan Liu, Shifeng Gao, Jie Yang, Han Ren, Yuanzhi Qu, Rongchao Cheng, Yuan Geng and Zhenbo Feng
Gels 2022, 8(11), 735; https://doi.org/10.3390/gels8110735 - 11 Nov 2022
Cited by 30 | Viewed by 3916
Abstract
To control the filtration loss of drilling fluids in salt–gypsum formations, a novel type of zwitterionic polymer gel (DNDAP) was synthesized by free radical polymerization, which was used as a salt- and calcium-resistant fluid loss reducer for water-based drilling fluids (WBDF). DNDAP was [...] Read more.
To control the filtration loss of drilling fluids in salt–gypsum formations, a novel type of zwitterionic polymer gel (DNDAP) was synthesized by free radical polymerization, which was used as a salt- and calcium-resistant fluid loss reducer for water-based drilling fluids (WBDF). DNDAP was prepared with N, N-dimethylacrylamide (DMAA), N-vinylpyrrolidone (NVP), Diallyl dimethyl ammonium chloride (DMDAAC), 2-acrylamide-2-methylpropaneonic acid (AMPS), and isopentenol polyether (TPEG) as raw materials. Fourier transform infrared spectroscopy (FT-IR) and proton nuclear magnetic resonance (1H-NMR) were used to characterize the composition and structure of the DNDAP copolymer. The thermal stability of DNDAP was evaluated by the use of thermogravimetric analysis (TGA). WBDF with DNDAP was analyzed for zeta potential and particle size and the corresponding filter cake underwent energy dispersive spectrum (EDS) analysis and scanning electron microscope (SEM) analysis. The results showed that the thermal decomposition of DNDAP mainly occurred above 303 °C. DNDAP exhibits excellent rheological and filtration properties in water-based drilling fluids, even under high-temperature aging (up to 200 °C) and high salinity (20 wt% NaCl or 5 wt% CaCl2) environments. The strong adsorption effect of DNDAP makes the particle size of bentonite reasonably distributed to form a dense mud cake that reduces filtration losses. Full article
(This article belongs to the Special Issue Gels for Oil Drilling and Enhanced Recovery)
Show Figures

Figure 1

13 pages, 3613 KB  
Article
Anionic Copolymers with Different Charge Densities for Regulating the Properties of Cement Pastes
by Nanxiao Gao, Jian Chen, Min Qiao, Guangcheng Shan, Jingzhi Wu and Qianping Ran
Materials 2022, 15(21), 7629; https://doi.org/10.3390/ma15217629 - 30 Oct 2022
Viewed by 1762
Abstract
Self-compacting concrete (SCC) is an extremely flowable concrete, which increases the probability of segregation and bleeding. Viscosity-modifying admixtures (VMAs) have been developed to improve the stability of SCC. Synthetic polymer VMAs have excellent water solubility and stability, and can be easily chemically prepared [...] Read more.
Self-compacting concrete (SCC) is an extremely flowable concrete, which increases the probability of segregation and bleeding. Viscosity-modifying admixtures (VMAs) have been developed to improve the stability of SCC. Synthetic polymer VMAs have excellent water solubility and stability, and can be easily chemically prepared and modified. In this work, a series of copolymers based on anionic 2-acrylamido-2-methyl-propanesulfonic acid (AMPS) and nonionic N, N-dimethyl acrylamide (DMAA), with similar molecular weights but different charge densities, were prepared. The effect of the charge density of the anionic polymers on the fluidity, rheological property, and adsorption behavior of the cement pastes was investigated. The action mechanism of the polymers was discussed. The results indicate that the charge density of anionic polymer VMAs is of great significance for the development of cost-effective SCCs with good rheological properties. Full article
(This article belongs to the Section Construction and Building Materials)
Show Figures

Figure 1

19 pages, 4400 KB  
Article
Advanced CNC/PEG/PDMAA Semi-IPN Hydrogel for Drug Delivery Management in Wound Healing
by Samia Afrin, Md. Shahruzzaman, Papia Haque, Md. Sazedul Islam, Shafiul Hossain, Taslim Ur Rashid, Tanvir Ahmed, Makoto Takafuji and Mohammed Mizanur Rahman
Gels 2022, 8(6), 340; https://doi.org/10.3390/gels8060340 - 30 May 2022
Cited by 23 | Viewed by 5892
Abstract
A Semi Interpenetrating Polymer Network (semi-IPN) hydrogel was prepared and loaded with an antibiotic drug, gentamicin, to investigate the wound healing activity of this system. The semi-IPN hydrogel was synthesized by combining natural polymer cellulose nanocrystal (CNC) and synthetic polymer polyethylene glycol (PEG) [...] Read more.
A Semi Interpenetrating Polymer Network (semi-IPN) hydrogel was prepared and loaded with an antibiotic drug, gentamicin, to investigate the wound healing activity of this system. The semi-IPN hydrogel was synthesized by combining natural polymer cellulose nanocrystal (CNC) and synthetic polymer polyethylene glycol (PEG) and poly (N,N′-dimethyl acrylamide) (PDMAA), which was initially added as a monomer dimethyl acrylamide (DMAA). CNC was prepared from locally obtained jute fibers, dispersed in a PEG-NaOH solvent system and then mixed with monomer DMAA, where polymerization was initiated by an initiator potassium persulphate (KPS) and cross-linked by N,N′-methylenebisacrylamide (NMBA). The size, morphology, biocompatibility, antimicrobial activity, thermal and swelling properties of the hydrogel were investigated by different characterization techniques. The biocompatibility of the hydrogel was confirmed by cytotoxicity analysis, which showed >95% survival of the BHK-21, Vero cell line. The drug loaded hydrogel showed antimicrobial property by forming 25 and 23 mm zone of inhibition against Staphylococcus aureus (gram-positive) and Escherichia coli (gram-negative) bacteria, respectively, in antimicrobial analysis. At pH 5.5, 76% of the drug was released from the hydrogel within 72 h, as observed in an in vitro drug release profile. In an in vivo test, the healing efficiency of the drug loaded hydrogel was examined on a mice model with dorsal wounds. Complete healing of the wound without any scar formation was achieved in 12 days, which revealed excellent wound healing properties of the prepared drug loaded semi-IPN hydrogel. These results showed the relevance of such a system in the rapid healing of acute wounds. Full article
Show Figures

Graphical abstract

23 pages, 4301 KB  
Article
RAFT Emulsion Polymerization of Styrene Using a Poly((N,N-dimethyl acrylamide)-co-(N-isopropyl acrylamide)) mCTA: Synthesis and Thermosensitivity
by Katharina Nieswandt, Prokopios Georgopanos, Martin Held, Evgeni Sperling and Volker Abetz
Polymers 2022, 14(1), 62; https://doi.org/10.3390/polym14010062 - 24 Dec 2021
Cited by 20 | Viewed by 6897
Abstract
Thermoresponsive poly((N,N-dimethyl acrylamide)-co-(N-isopropyl acrylamide)) (P(DMA-co-NIPAM)) copolymers were synthesized via reversible addition−fragmentation chain transfer (RAFT) polymerization. The monomer reactivity ratios were determined by the Kelen–Tüdős method to be rNIPAM = 0.83 and rDMA = [...] Read more.
Thermoresponsive poly((N,N-dimethyl acrylamide)-co-(N-isopropyl acrylamide)) (P(DMA-co-NIPAM)) copolymers were synthesized via reversible addition−fragmentation chain transfer (RAFT) polymerization. The monomer reactivity ratios were determined by the Kelen–Tüdős method to be rNIPAM = 0.83 and rDMA = 1.10. The thermoresponsive properties of these copo-lymers with varying molecular weights were characterized by visual turbidimetry and dynamic light scattering (DLS). The copolymers showed a lower critical solution temperature (LCST) in water with a dependence on the molar fraction of DMA in the copolymer. Chaotropic and kosmotropic salt anions of the Hofmeister series, known to affect the LCST of thermoresponsive polymers, were used as additives in the aqueous copolymer solutions and their influence on the LCST was demonstrated. Further on, in order to investigate the thermoresponsive behavior of P(DMA-co-NIPAM) in a confined state, P(DMA-co-NIPAM)-b-PS diblock copolymers were prepared via polymerization induced self-assembly (PISA) through surfactant-free RAFT mediated emulsion polymerization of styrene using P(DMA-co-NIPAM) as the macromolecular chain transfer agent (mCTA) of the polymerization. As confirmed by cryogenic transmission electron microscopy (cryoTEM), this approach yielded stabilized spherical micelles in aqueous dispersions where the PS block formed the hydrophobic core and the P(DMA-co-NIPAM) block formed the hydrophilic corona of the spherical micelle. The temperature-dependent behavior of the LCST-type diblock copolymers was further studied by examining the collapse of the P(DMA-co-NIPAM) minor block of the P(DMA-co-NIPAM)-b-PS diblock copolymers as a function of temperature in aqueous solution. The nanospheres were found to be thermosensitive by changing their hydrodynamic radii almost linearly as a function of temperature between 25 °C and 45 °C. The addition of kosmotropic salt anions, as a potentially useful tuning feature of micellar assemblies, was found to increase the hydrodynamic radius of the micelles and resulted in a faster collapse of the micelle corona upon heating. Full article
(This article belongs to the Collection Design and Synthesis of Polymers)
Show Figures

Graphical abstract

12 pages, 5416 KB  
Article
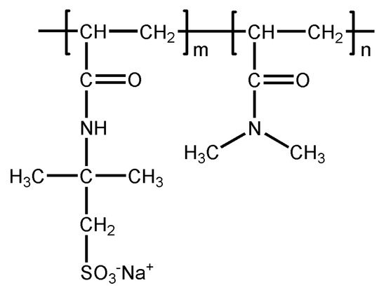
Synthesis, Characterization and Antibacterial Application of Copolymers Based on N,N-Dimethyl Acrylamide and Acrylic Acid
by Ulantay Nakan, Shayahati Bieerkehazhi, Balgyn Tolkyn, Grigoriy A. Mun, Mukhit Assanov, Merey E. Nursultanov, Raikhan K. Rakhmetullayeva, Kainaubek Toshtay, El-Sayed Negim and Alibek Ydyrys
Materials 2021, 14(20), 6191; https://doi.org/10.3390/ma14206191 - 18 Oct 2021
Cited by 9 | Viewed by 3491
Abstract
Hydrogel copolymers based on N,N-dimethyl acrylamide (DMA) and acrylic acid (AAc) were synthesized using a solution polymerization technique with different monomer ratios and ammonium persulfate as an initiator. This paper investigates the thermal stability, physical and chemical properties of the [...] Read more.
Hydrogel copolymers based on N,N-dimethyl acrylamide (DMA) and acrylic acid (AAc) were synthesized using a solution polymerization technique with different monomer ratios and ammonium persulfate as an initiator. This paper investigates the thermal stability, physical and chemical properties of the hydrogel copolymer. Testing includes Fourier transform infrared spectroscopy (FTIR), thermogravimetric analysis (TGA), scanning electron microscopy (SEM) and elemental analysis (CHNS). The copolymer composition was determined by elemental analysis, and the reactivity ratios of monomers were calculated through linearization methods such as Fineman–Ross (FR), inverted Fineman–Ross (IFR), Kelen–Tudos (KT) and Mayo–Lewis (ML). Good agreement was observed between the results of all four methods. The ratio of r1 and r2 were 0.38 (r1) and 1.45 (r2) (FR), 0.38 (r1) and 1.46 (r2) (IFR), 0.38 (r1) and 1.43 (r2) (KT), and 0.38 (r1) and 1.45 (r2) (ML). Hydrogel copolymers exhibited good thermal stability, and SEM showed three-dimensional porous structures. Antibiotic-free and antibiotic-loaded hydrogels demonstrated antimicrobial properties against both Gram-positive and Gram-negative bacteria. As the ratio of DMA in hydrogel copolymer increased, the activity of copolymer against bacteria enhanced. The results indicated that these hydrogels have the potential to be used as antibacterial materials. Full article
Show Figures

Graphical abstract

18 pages, 5776 KB  
Article
Reducing Unspecific Protein Adsorption in Microfluidic Papers Using Fiber-Attached Polymer Hydrogels
by Alexander Ritter von Stockert, Anna Luongo, Markus Langhans, Thomas Brandstetter, Jürgen Rühe, Tobias Meckel and Markus Biesalski
Sensors 2021, 21(19), 6348; https://doi.org/10.3390/s21196348 - 23 Sep 2021
Cited by 8 | Viewed by 4411
Abstract
Microfluidic paper combines pump-free water transport at low cost with a high degree of sustainability, as well as good availability of the paper-forming cellulosic material, thus making it an attractive candidate for point-of-care (POC) analytics and diagnostics. Although a number of interesting demonstrators [...] Read more.
Microfluidic paper combines pump-free water transport at low cost with a high degree of sustainability, as well as good availability of the paper-forming cellulosic material, thus making it an attractive candidate for point-of-care (POC) analytics and diagnostics. Although a number of interesting demonstrators for such paper devices have been reported to date, a number of challenges still exist, which limit a successful transfer into marketable applications. A strong limitation in this respect is the (unspecific) adsorption of protein analytes to the paper fibers during the lateral flow assay. This interaction may significantly reduce the amount of analyte that reaches the detection zone of the microfluidic paper-based analytical device (µPAD), thereby reducing its overall sensitivity. Here, we introduce a novel approach on reducing the nonspecific adsorption of proteins to lab-made paper sheets for the use in µPADs. To this, cotton linter fibers in lab-formed additive-free paper sheets are modified with a surrounding thin hydrogel layer generated from photo-crosslinked, benzophenone functionalized copolymers based on poly-(oligo-ethylene glycol methacrylate) (POEGMA) and poly-dimethyl acrylamide (PDMAA). This, as we show in tests similar to lateral flow assays, significantly reduces unspecific binding of model proteins. Furthermore, by evaporating the transport fluid during the microfluidic run at the end of the paper strip through local heating, model proteins can almost quantitatively be accumulated in that zone. The possibility of complete, almost quantitative protein transport in a µPAD opens up new opportunities to significantly improve the signal-to-noise (S/N) ratio of paper-based lateral flow assays. Full article
(This article belongs to the Special Issue Lateral Flow Immunoassay: Advances and Applications)
Show Figures

Figure 1

14 pages, 2523 KB  
Article
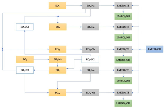
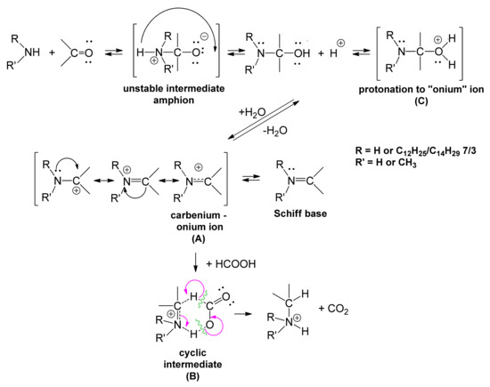
Reductive Methylation of Homogeneous Primary β-Lauryl/myristyl 7/3 Polyethyleneoxy n = 3–18 Ethylamines under Phase-Transfer Catalysis Conditions
by Călin Jianu
Molecules 2021, 26(15), 4612; https://doi.org/10.3390/molecules26154612 - 29 Jul 2021
Viewed by 2848
Abstract
Homogeneous tertiary N,N-dimethyl-N-β-lauryl/myristyl 7/3 polyethyleneoxy n = 3–18 ethylamines, LM(EO)nAT, are niche intermediates in the synthesis of homogeneous N-alkyl (C1–C18)-N,N-dimethyl-N-β-lauryl/myristyl 7/3 polyethyleneoxy n = 3–18 [...] Read more.
Homogeneous tertiary N,N-dimethyl-N-β-lauryl/myristyl 7/3 polyethyleneoxy n = 3–18 ethylamines, LM(EO)nAT, are niche intermediates in the synthesis of homogeneous N-alkyl (C1–C18)-N,N-dimethyl-N-β-lauryl/myristyl 7/3 polyethyleneoxy n = 3–18 ethylammonium chlorides (unitary degree of oligomerization of ethylene oxide in the polyoxyethylene chain). This paper synthetically presents the dependence of the reductive methylation yields of homogeneous primary β-lauryl/myristyl 7/3 polyethyleneoxy n = 3–18 ethylamines, LM(EO)nAP, on the reaction time (10–90 min), the temperature (70 °C), the molar ratio formic aldehyde /LM(EO)nAP (1.1/1–2.5/1), the molar ratio HCOOH/LM(EO)nAP (5/1), the degree of oligomerization of ethylene oxide in the homogeneous polyoxyethylene chain in the 3,6,9,12,18 series, and the structure of the phase-transfer catalysts. The steric effects of hydrophobic groups CH3 and C18H37 grafted onto the ammonium function, and the micellar phenomena in the vicinity of their critical micellar concentration, directly proportional to the homogeneous degree of oligomerization, were highlighted. In all cases, a steady increase in reductive methylation yields was observed, with even quantitative values obtained. The high purity of the homologous series LM(EO)nAT will allow their personalization as reference structures for the study of the evolution of basic colloidal characteristics useful in forecasting technological applications. LM(EO)nAP were obtained either by direct amidoethylation (nucleophilic addition under basic catalysis of homogeneous lauryl/myristyl 7/3 polyethoxylated n = 3, 6, 9, 12, 18 alcohols, LM(EO)nOH, to acrylamide monomer) or by cyanoethylation of LM(EO)nOH under basic catalysis at 25–50 °C, in the presence of Fe2+ cations as oligomerization/polymerization inhibitor, followed by partial acid hydrolysis of homogeneous β-alkyl (C12H25/C14H29) 7/3 polyethyleneoxy n = 3, 6, 9, 12, 18 propionitriles, LM(EO)nPN, to β-alkyl (C12H25/C14H29) 7/3 polyethyleneoxy n = 3, 6, 9, 12, 18 propionamides, LM(EO)nPD, which led to LM(EO)nAP by Hoffmann degradation. Homogeneous higher tertiary polyetheramines LM(EO)nAT were structurally characterized. Full article
(This article belongs to the Section Applied Chemistry)
Show Figures

Figure 1

Back to TopTop