Structural Origin of the Fast Polymerization Rates and Monomer Universality of Pyrazole-Based Photoiniferters
Abstract
1. Introduction
- Quantify photophysical properties (absorption spectra, intersystem crossing (ISC) rates, and internal conversion (IC) rates) and photolysis kinetics of pyrazole-CTAs under blue light, rationalizing the efficient light absorption and rapid photolysis of these CTAs;
- Evaluate chain transfer and fragmentation kinetics for MAMs (e.g., methyl acrylate (MA), N,N-dimethylacrylamide (DMA), and methyl methacrylate (MMA)) and LAMs (NVP);
- Identify why acrylates/acrylamides achieve good molecular-weight control while methacrylates suffer from termination and broad dispersity;
- Propose molecular design strategies for CTAs with enhanced monomer universality.
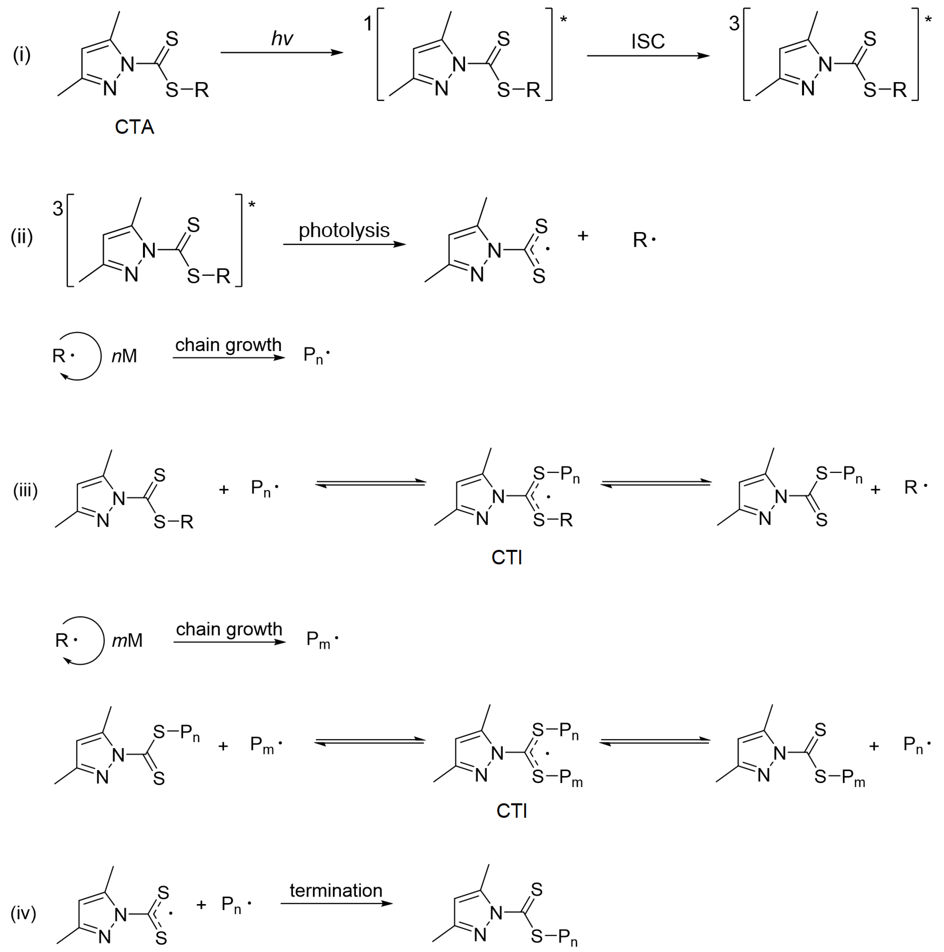
2. Results and Discussion
2.1. Photoexcitation
2.2. Initiation
2.3. Chain Transfer
3. Discussion
- The pyrazolyl group is chemically very different from the S–R group in the CTA, which helps to break the approximate C2v symmetry around the C=S group and enhance light absorption.
- The pyrazolyl group is a sufficiently strong conjugative electron-donating group, giving lower excited-state S–R bond dissociation barriers than trithiocarbonates, which increases the apparent polymerization rate.
- Meanwhile, the electron-donating ability is not overly strong, enabling the C=S bond to readily accept attacks from PMA and PDMA propagating radicals and efficiently mediate chain transfer—unlike xanthates, which underperform in controlling MA and DMA polymerization. The addition of PNVP propagating radicals to CTA-e is faster than for PMA and PDMA, but its dissociation from the CTI is also accelerated, yielding reasonably fast NVP polymerization (though still one order of magnitude slower than MA/DMA).
- (a)
- Use dithiocarbamates with electron-poor nitrogen substituents;
- (b)
- Use xanthates with electron-poor oxygen substituents;
- (c)
- Use trithiocarbonates with electron-rich sulfur substituents;
- (d)
- Use dithioesters with electron-rich carbon substituents.
- Reducing the polymerization temperature, increasing the steady-state concentration of the CTI taking advantage of the exothermicity of CTI formation (Table S5);
- Adding electron-withdrawing substituents (e.g., chlorine) [51] to pyrazole rings (however, this may slow down LAM polymerization);
- Prioritizing strategy (d) for MMA control (leveraging dithiobenzoates’ excellent performance for MMA polymerization [43]), though highly electron-donating substituents would be needed for LAM compatibility.
4. Conclusions
Supplementary Materials
Author Contributions
Funding
Institutional Review Board Statement
Informed Consent Statement
Data Availability Statement
Acknowledgments
Conflicts of Interest
Abbreviations
| CTA | Chain transfer agent |
| CTI | Chain transfer intermediate |
| DMA | N,N-Dimethylacrylamide |
| DMF | N,N-Dimethylformide |
| DMSO | Dimethyl sulfoxide |
| DP | Degree of polymerization |
| IC | Internal conversion |
| ISC | Intersystem crossing |
| LAM | Less active monomer |
| MA | Methyl acrylate |
| MAM | More active monomer |
| MMA | Methyl methacrylate |
| NVP | N-Vinylpyrrolidone |
| RAFT | Reversible addition-fragmentation chain transfer |
| RDRP | Reversible deactivation radical polymerization |
| SOCME | Spin–orbit-coupling matrix element |
| TAS | Transient absorption spectroscopy |
| TEMPO | 2,2,6,6-tetramethylpiperidinoxy |
References
- Aerts, A.; Lewis, R.W.; Zhou, Y.; Malic, N.; Moad, G.; Postma, A. Light-Induced RAFT Single Unit Monomer Insertion in Aqueous Solution-Toward Sequence-Controlled Polymers. Macromol. Rapid Commun. 2018, 39, e1800240. [Google Scholar] [CrossRef]
- Huang, Z.; Noble, B.B.; Corrigan, N.; Chu, Y.; Satoh, K.; Thomas, D.S.; Hawker, C.J.; Moad, G.; Kamigaito, M.; Coote, M.L.; et al. Discrete and Stereospecific Oligomers Prepared by Sequential and Alternating Single Unit Monomer Insertion. J. Am. Chem. Soc. 2018, 140, 13392–13406. [Google Scholar] [CrossRef]
- Braunecker, W.A.; Matyjaszewski, K. Controlled/living radical polymerization: Features, developments, and perspectives. Prog. Polym. Sci. 2007, 32, 93–146. [Google Scholar] [CrossRef]
- Carmean, R.N.; Becker, T.E.; Sims, M.B.; Sumerlin, B.S. Ultra-High Molecular Weights via Aqueous Reversible-Deactivation Radical Polymerization. Chem 2017, 2, 93–101. [Google Scholar] [CrossRef]
- Kreutzer, J.; Yagci, Y. Metal Free Reversible-Deactivation Radical Polymerizations: Advances, Challenges, and Opportunities. Polymers 2017, 10, 35. [Google Scholar] [CrossRef] [PubMed]
- Chen, M.; Zhong, M.; Johnson, J.A. Light-Controlled Radical Polymerization: Mechanisms, Methods, and Applications. Chem. Rev. 2016, 116, 10167–10211. [Google Scholar] [CrossRef] [PubMed]
- Dadashi-Silab, S.; Doran, S.; Yagci, Y. Photoinduced Electron Transfer Reactions for Macromolecular Syntheses. Chem. Rev. 2016, 116, 10212–10275. [Google Scholar] [CrossRef] [PubMed]
- Matyjaszewski, K. Atom Transfer Radical Polymerization (ATRP): Current Status and Future Perspectives. Macromolecules 2012, 45, 4015–4039. [Google Scholar] [CrossRef]
- Moad, G.; Chiefari, J.; Chong, Y.K.; Krstina, J.; Mayadunne, R.T.A.; Postma, A.; Rizzardo, E.; Thang, S.H. Living free radical polymerization with reversible addition-fragmentation chain transfer (the life of RAFT). Polym. Int. 2000, 49, 993–1001. [Google Scholar] [CrossRef]
- Moad, G.; Rizzardo, E.; Thang, S.H. Living radical polymerization by the RAFT process. Aust. J. Chem. 2005, 58, 379–410. [Google Scholar] [CrossRef]
- Xu, J.; Shanmugam, S.; Fu, C.; Aguey-Zinsou, K.F.; Boyer, C. Selective Photoactivation: From a Single Unit Monomer Insertion Reaction to Controlled Polymer Architectures. J. Am. Chem. Soc. 2016, 138, 3094–3106. [Google Scholar] [CrossRef] [PubMed]
- Moad, G.; Rizzardo, E.; Thang, S.H. Radical addition-fragmentation chemistry in polymer synthesis. Polymer 2008, 49, 1079–1131. [Google Scholar] [CrossRef]
- Lian, S.; Armes, S.P.; An, Z. Universal Visible-Light Photoiniferter Polymerization. CCS Chem. 2024, 7, 2304–2314. [Google Scholar] [CrossRef]
- Hartlieb, M. Photo-iniferter RAFT polymerization. Macromol. Rapid Commun. 2022, 43, 2100514. [Google Scholar] [CrossRef]
- Bobrin, V.A.; Zhang, J.; Corrigan, N.; Boyer, C. The Emergence of Reversible-Deactivation Radical Polymerization in 3D Printing. Adv. Mater. Technol. 2023, 8, 2201054. [Google Scholar] [CrossRef]
- Bagheri, A. Application of RAFT in 3D Printing: Where Are the Future Opportunities? Macromolecules 2023, 56, 1778–1797. [Google Scholar] [CrossRef]
- Barner-Kowollik, C.; Buback, M.; Charleux, B.; Coote, M.L.; Drache, M.; Fukuda, T.; Goto, A.; Klumperman, B.; Lowe, A.B.; Mcleary, J.B. Mechanism and kinetics of dithiobenzoate-mediated RAFT polymerization. I. The current situation. J. Polym. Sci. Part A Polym. Chem. 2006, 44, 5809–5831. [Google Scholar] [CrossRef]
- Moad, G. Mechanism and Kinetics of Dithiobenzoate-Mediated RAFT Polymerization–Status of the Dilemma. Macromol. Chem. Phys. 2014, 215, 9–26. [Google Scholar] [CrossRef]
- Moad, G. Trithiocarbonates in RAFT polymerization. RAFT Polym. Methods Synth. Appl. 2021, 1, 359–492. [Google Scholar]
- Perrier, S.; Takolpuckdee, P. Macromolecular design via reversible addition–fragmentation chain transfer (RAFT)/xanthates (MADIX) polymerization. J. Polym. Sci. Part A Polym. Chem. 2005, 43, 5347–5393. [Google Scholar] [CrossRef]
- Stenzel, M.H.; Cummins, L.; Roberts, G.E.; Davis, T.P.; Vana, P.; Barner-Kowollik, C. Xanthate mediated living polymerization of vinyl acetate: A systematic variation in MADIX/RAFT agent structure. Macromol. Chem. Phys. 2003, 204, 1160–1168. [Google Scholar] [CrossRef]
- Moad, G. A critical survey of dithiocarbamate reversible addition-fragmentation chain transfer (RAFT) agents in radical polymerization. J. Polym. Sci. Part A Polym. Chem. 2019, 57, 216–227. [Google Scholar] [CrossRef]
- Gardiner, J.; Martinez-Botella, I.; Tsanaktsidis, J.; Moad, G. Dithiocarbamate RAFT agents with broad applicability–the 3,5-dimethyl-1H-pyrazole-1-carbodithioates. Polym. Chem. 2016, 7, 481–492. [Google Scholar] [CrossRef]
- Benaglia, M.; Chiefari, J.; Chong, Y.K.; Moad, G.; Rizzardo, E.; Thang, S.H. Universal (Switchable) RAFT Agents. J. Am. Chem. Soc. 2009, 131, 6914–6915. [Google Scholar] [CrossRef]
- Benaglia, M.; Chen, M.; Chong, Y.K.; Moad, G.; Rizzardo, E.; Thang, S.H. Polystyrene-block-poly(vinyl acetate) through the Use of a Switchable RAFT Agent. Macromolecules 2009, 42, 9384–9386. [Google Scholar] [CrossRef]
- Keddie, D.J.; Guerrero-Sanchez, C.; Moad, G.; Rizzardo, E.; Thang, S.H. Switchable Reversible Addition–Fragmentation Chain Transfer (RAFT) Polymerization in Aqueous Solution, N,N-Dimethylacrylamide. Macromolecules 2011, 44, 6738–6745. [Google Scholar] [CrossRef]
- Keddie, D.J.; Guerrero-Sanchez, C.; Moad, G.; Mulder, R.J.; Rizzardo, E.; Thang, S.H. Chain Transfer Kinetics of Acid/Base Switchable N-Aryl-N-Pyridyl Dithiocarbamate RAFT Agents in Methyl Acrylate, N-Vinylcarbazole and Vinyl Acetate Polymerization. Macromolecules 2012, 45, 4205–4215. [Google Scholar] [CrossRef]
- Moad, G.; Benaglia, M.; Chen, M.; Chiefari, J.; Chong, Y.K.; Keddie, D.J.; Rizzardo, E.; Thang, S.H. Block Copolymer Synthesis through the Use of Switchable RAFT Agents. In Non-Conventional Functional Block Copolymers; American Chemical Society: Washington, DC, USA, 2011; pp. 81–102. [Google Scholar]
- Stace, S.J.; Moad, G.; Fellows, C.M.; Keddie, D.J. The effect of Z-group modification on the RAFT polymerization of N-vinylpyrrolidone controlled by “switchable” N-pyridyl-functional dithiocarbamates. Polym. Chem. 2015, 6, 7119–7126. [Google Scholar] [CrossRef]
- Moad, G.; Keddie, D.; Guerrero-Sanchez, C.; Rizzardo, E.; Thang, S.H. Advances in Switchable RAFT Polymerization. Macromol. Symp. 2015, 350, 34–42. [Google Scholar] [CrossRef]
- Lissandrini, G.; Zeppilli, D.; Lorandi, F.; Matyjaszewski, K.; Isse, A.A.; Orian, L.; Fantin, M. Photo-RAFT Polymerization Under Microwatt Irradiation via Unimolecular Photoinduced Electron Transfer. Angew. Chem. Int. Ed. 2025, 64, e202424225. [Google Scholar] [CrossRef]
- Theriot, J.C.; Miyake, G.M.; Boyer, C.A. N,N-Diaryl Dihydrophenazines as Photoredox Catalysts for PET-RAFT and Sequential PET-RAFT/O-ATRP. ACS Macro Lett. 2018, 7, 662–666. [Google Scholar] [CrossRef] [PubMed]
- Ng, G.; Jung, K.; Li, J.; Wu, C.; Zhang, L.; Boyer, C. Screening RAFT agents and photocatalysts to mediate PET-RAFT polymerization using a high throughput approach. Polym. Chem. 2021, 12, 6548–6560. [Google Scholar] [CrossRef]
- Hughes, R.W.; Lott, M.E.; Sumerlin, B.S. Photoiniferter polymerization: Illuminating the history, ascendency, and renaissance. Prog. Polym. Sci. 2024, 156, 101871. [Google Scholar] [CrossRef]
- Otsu, T. Iniferter concept and living radical polymerization. J. Polym. Sci. Part A Polym. Chem. 2000, 38, 2121–2136. [Google Scholar] [CrossRef]
- Neese, F. The ORCA program system. WIREs Comput. Mol. Sci. 2012, 2, 73–78. [Google Scholar] [CrossRef]
- Neese, F. Software update: The ORCA program system, version 4.0. WIREs Comput. Mol. Sci. 2018, 8, e1327. [Google Scholar] [CrossRef]
- Neese, F.; Wennmohs, F.; Becker, U.; Riplinger, C. The ORCA quantum chemistry program package. J. Chem. Phys. 2020, 152, 224108. [Google Scholar] [CrossRef]
- Neese, F. Software update: The ORCA program system—Version 5.0. WIREs Comput. Mol. Sci. 2022, 12, e1606. [Google Scholar] [CrossRef]
- Neese, F. Software Update: The ORCA Program System—Version 6.0. WIREs Comput. Mol. Sci. 2025, 15, e70019. [Google Scholar] [CrossRef]
- Humphrey, W.; Dalke, A.; Schulten, K. VMD: Visual Molecular Dynamics. J. Mol. Graph. 1996, 14, 33–38. [Google Scholar] [CrossRef]
- Lu, T.; Chen, F. Multiwfn: A Multifunctional Wavefunction Analyzer. J. Comput. Chem. 2012, 33, 580–592. [Google Scholar] [CrossRef] [PubMed]
- Li, J.; Wu, C.; Lei, Y.; Liu, W. Tuning Catalyst-Free Photocontrolled Polymerization by Substitution: A Quantitative and Qualitative Interpretation. J. Phys. Chem. Lett. 2022, 13, 3290–3296. [Google Scholar] [CrossRef] [PubMed]
- Casanova, D.; Krylov, A.I. Spin-Flip Methods in Quantum Chemistry. Phys. Chem. Chem. Phys. 2020, 22, 4326–4342. [Google Scholar] [CrossRef] [PubMed]
- El-Sayed, M.A. Triplet state. Its radiative and nonradiative properties. Acc. Chem. Res. 1968, 1, 8–16. [Google Scholar] [CrossRef]
- Wang, Z.; Wu, C.; Liu, W. NAC-TDDFT: Time-dependent density functional theory for nonadiabatic couplings. Acc. Chem. Res. 2021, 54, 3288–3297. [Google Scholar] [CrossRef]
- Zhang, Y.; Suo, B.; Wang, Z.; Zhang, N.; Li, Z.; Lei, Y.; Zou, W.; Gao, J.; Peng, D.; Pu, Z.; et al. BDF: A relativistic electronic structure program package. J. Chem. Phys. 2020, 152, 064113. [Google Scholar] [CrossRef]
- Ladavière, C.; Dörr, N.; Claverie, J.P. Controlled Radical Polymerization of Acrylic Acid in Protic Media. Macromolecules 2001, 34, 5370–5372. [Google Scholar] [CrossRef]
- Foster, J.C.; Radzinski, S.C.; Lewis, S.E.; Slutzker, M.B.; Matson, J.B. Norbornene-containing dithiocarbamates for use in reversible addition–fragmentation chain transfer (RAFT) polymerization and ring-opening metathesis polymerization (ROMP). Polymer 2015, 79, 205–211. [Google Scholar] [CrossRef]
- Radzinski, S.C.; Foster, J.C.; Matson, J.B. Synthesis of bottlebrush polymers via transfer-to and grafting-through approaches using a RAFT chain transfer agent with a ROMP-active Z-group. Polym. Chem. 2015, 6, 5643–5652. [Google Scholar] [CrossRef]
- Zhang, Z.; Yu, Y.; Boyer, C.; Wu, Z.; Wu, C. Design and Synthesis of a New Indazole-Decorated RAFT Agent for Highly Efficient PET-RAFT Polymerization. Macromolecules 2024, 57, 4421–4429. [Google Scholar] [CrossRef]
- Li, Z.; Liu, W. Spin-adapted open-shell time-dependent density functional theory. III. An even better and simpler formulation. J. Chem. Phys. 2011, 135, 194106. [Google Scholar] [CrossRef]
- Lin, Y.; Li, G.; Mao, S.; Chai, J. Long-range corrected hybrid density functionals with improved dispersion corrections. J. Chem. Theory Comput. 2013, 9, 263–272. [Google Scholar] [CrossRef]
- Weigend, F.; Ahlrichs, R. Balanced Basis Sets of Split Valence, Triple Zeta Valence and Quadruple Zeta Valence Quality for H to Rn: Design and Assessment of Accuracy. Phys. Chem. Chem. Phys. 2005, 7, 3297–3305. [Google Scholar] [CrossRef]
- Marenich, A.V.; Cramer, C.J.; Truhlar, D.G. Universal Solvation Model Based on Solute Electron Density and on a Continuum Model of the Solvent Defined by the Bulk Dielectric Constant and Atomic Surface Tensions. J. Phys. Chem. B 2009, 113, 6378. [Google Scholar] [CrossRef]
- Niu, Y.; Li, W.; Peng, Q.; Geng, H.; Yi, Y.; Wang, L.; Nan, G.; Wang, D.; Shuai, Z. Molecular Materials Property Prediction Package (MOMAP) 1.0: A software package for predicting the luminescent properties and mobility of organic functional materials. Mol. Phys. 2018, 116, 1078–1090. [Google Scholar] [CrossRef]








| CTA | Exp. (nm (eV)) | Exp. (L mol−1 cm−1) | Cal. (nm (eV)) | Cal. f (10−4) | (eV) |
|---|---|---|---|---|---|
| a | 365 (3.40) | 51.0 | 334 (3.71) | 0.7 | 0.32 |
| b | 435 (2.85) | 38.9 | 399 (3.11) | 0.0 | 0.26 |
| c | 420 (2.95) | 71.3 | 385 (3.22) | 0.7 | 0.27 |
| d | 420 (2.95) | 71.6 | 391 (3.17) | 2.3 | 0.22 |
| e | 435 (2.85) | 66.1 | 403 (3.08) | 1.6 | 0.23 |
| MAD | 0.26 | ||||
| CTAs | (kcal/mol) | (s−1) | R(C=S) (T1, Å) |
|---|---|---|---|
| a | 5.3 | 1.732 | |
| b | 13.8 | 1.702 | |
| c | 11.4 | 1.711 | |
| d | 10.9 | 1.713 | |
| e | 6.9 | 1.711 |
| CTA | Ð | ||||||||
|---|---|---|---|---|---|---|---|---|---|
| kcal/mol | s−1 | kcal/mol | L/(mols) | kcal/mol | kg/mol | kg/mol | |||
| CTA-MA | 15.6 | 14.0 | 16 | 2.1 | 38.1 | 31.4 | 1.12 | ||
| CTA-DMA | 15.3 | 11.8 | 378 | 2.1 | 47.8 | 49.8 | 1.14 | ||
| CTA-MMA | 12.5 | 14.5 | 0.034 | 2.8 | 48.8 | 126.4 | 1.96 | ||
| CTA-NVP | 13.2 | 9.3 | 783 | 2.2 | 25.8 | 8.83 | 1.25 |
Disclaimer/Publisher’s Note: The statements, opinions and data contained in all publications are solely those of the individual author(s) and contributor(s) and not of MDPI and/or the editor(s). MDPI and/or the editor(s) disclaim responsibility for any injury to people or property resulting from any ideas, methods, instructions or products referred to in the content. |
© 2025 by the authors. Licensee MDPI, Basel, Switzerland. This article is an open access article distributed under the terms and conditions of the Creative Commons Attribution (CC BY) license (https://creativecommons.org/licenses/by/4.0/).
Share and Cite
Wang, B.; Liu, X.; Wang, Z.; Wu, C.; Wang, Z.; Liu, W. Structural Origin of the Fast Polymerization Rates and Monomer Universality of Pyrazole-Based Photoiniferters. Molecules 2025, 30, 3687. https://doi.org/10.3390/molecules30183687
Wang B, Liu X, Wang Z, Wu C, Wang Z, Liu W. Structural Origin of the Fast Polymerization Rates and Monomer Universality of Pyrazole-Based Photoiniferters. Molecules. 2025; 30(18):3687. https://doi.org/10.3390/molecules30183687
Chicago/Turabian StyleWang, Bo, Xuegang Liu, Zhilei Wang, Chenyu Wu, Zikuan Wang, and Wenjian Liu. 2025. "Structural Origin of the Fast Polymerization Rates and Monomer Universality of Pyrazole-Based Photoiniferters" Molecules 30, no. 18: 3687. https://doi.org/10.3390/molecules30183687
APA StyleWang, B., Liu, X., Wang, Z., Wu, C., Wang, Z., & Liu, W. (2025). Structural Origin of the Fast Polymerization Rates and Monomer Universality of Pyrazole-Based Photoiniferters. Molecules, 30(18), 3687. https://doi.org/10.3390/molecules30183687

