Sign in to use this feature.

Years

Between: -

Subjects

remove_circle_outline
remove_circle_outline
remove_circle_outline
remove_circle_outline
remove_circle_outline
remove_circle_outline

Journals

Article Types

Countries / Regions

Search Results (71)

Search Parameters:
Keywords = Michael acceptor

Order results
Result details
Results per page
Select all
Export citation of selected articles as:
13 pages, 1569 KB  
Article
A Second Opportunity for the Peptide-Based Analogues with γ-Lactam at the P1 Position: Human Cathepsin S Inhibition
by Santo Previti, Nunzio Iraci, Elsa Calcaterra, Roberta Ettari and Maria Zappalà
Pharmaceuticals 2025, 18(10), 1462; https://doi.org/10.3390/ph18101462 - 28 Sep 2025
Viewed by 493
Abstract
Background/Objectives: SARS-CoV-2 pandemic led to the identification of peptide-based main protease (Mpro) inhibitors. The overwhelming majority of them carry an electrophilic warhead and a γ-lactam at the P1 position. During the selectivity assessment of an in-house Michael acceptors targeting SARS-CoV-2 [...] Read more.
Background/Objectives: SARS-CoV-2 pandemic led to the identification of peptide-based main protease (Mpro) inhibitors. The overwhelming majority of them carry an electrophilic warhead and a γ-lactam at the P1 position. During the selectivity assessment of an in-house Michael acceptors targeting SARS-CoV-2 Mpro, we unexpectedly observed a significant inhibition of human cathepsin S (hCatS). Methods: The biological investigation of three compounds (i.e., SPR38, SPR39, and SPR41) against hCatS was performed. The binding mode of SPRs was investigated by docking and molecular dynamics simulations. Results: Biological investigation has corroborated that hCatS is sensitive to peptide-based analogues harbouring γ-lactam at the P1 position and a vinyl methyl ketone warhead. In silico studies revealed that despite being solvent exposed, the γ-lactam at P1 might be involved in water-mediated H-bonds that could be optimized to gain inhibition potency and selectivity. Conclusions: The molecules repurposing of peptide-based SARS-CoV-2 Mpro inhibitors carrying the γ-lactam at the P1 site could pave the way for the identification of novel potent and selective hCatS ligands. Full article
(This article belongs to the Special Issue Peptide-Based Drug Discovery: Innovations and Breakthroughs)
Show Figures

Graphical abstract

26 pages, 2730 KB  
Review
Cysteine Alkylation in Enzymes and Transcription Factors: A Therapeutic Strategy for Cancer
by Celia María Curieses Andrés, Fernando Lobo, José Manuel Pérez de la Lastra, Elena Bustamante Munguira, Celia Andrés Juan and Eduardo Pérez-Lebeña
Cancers 2025, 17(11), 1876; https://doi.org/10.3390/cancers17111876 - 3 Jun 2025
Cited by 1 | Viewed by 1119
Abstract
Metabolic enzymes and cancer-driving transcriptions factors are often overexpressed in neoplastic cells, and their exposed cysteine residues are amenable to chemical modification. This review explores cysteine alkylation as a cancer treatment strategy, focusing on Michael acceptors like curcumin and helenalin, which interact with [...] Read more.
Metabolic enzymes and cancer-driving transcriptions factors are often overexpressed in neoplastic cells, and their exposed cysteine residues are amenable to chemical modification. This review explores cysteine alkylation as a cancer treatment strategy, focusing on Michael acceptors like curcumin and helenalin, which interact with transcription factors NF-κB, STAT3 and HIF-1α. Molecular docking studies using AutoDockFR revealed distinct binding affinities: curcumin showed strong interactions with STAT3 and NF-κB, while helenalin exhibited high affinity for STAT3 and HIF-1α. Synthetic compounds like STAT3-IN-1 and CDDO-Me demonstrated superior binding in most targets, except for CDDO-Me with HIF-1α, suggesting unique structural incompatibilities. Natural products such as zerumbone and umbelliferone displayed moderate activity, while palbociclib highlighted synthetic-drug advantages. These results underscore the importance of ligand−receptor structural complementarity, particularly for HIF-1α’s confined binding site, where helenalin’s terminal Michael acceptor system proved optimal. The findings advocate for integrating computational and experimental approaches to develop cysteine-targeted therapies, balancing synthetic precision with natural product versatility for context-dependent cancer treatment strategies. Full article
(This article belongs to the Special Issue Research on Targeted Drugs in Cancer)
Show Figures

Figure 1

19 pages, 1586 KB  
Article
Michael Acceptor Compounds as Hemoglobin Oxygen Affinity Modulators for Reversing Sickling of Red Blood Cells
by Khadijah A. Mohammad, Asala H. Naghi, Mohini S. Ghatge, Benita Balogun, Mariana Macias, Salma Roland, Albert Opare, Osheiza Abdulmalik, Martin K. Safo, Abdelsattar M. Omar and Moustafa E. El-Araby
Pharmaceuticals 2025, 18(6), 783; https://doi.org/10.3390/ph18060783 - 24 May 2025
Viewed by 1051
Abstract
Background/Objectives: Sickle cell disease (SCD) is caused by a β-globin gene mutation (βGlu6Val) that produces sickle hemoglobin (HbS). When deoxygenated, HbS polymerizes, leading to red blood cell (RBC) sickling; therefore, hemoglobin is a central therapeutic target for SCD. Current strategies include increasing [...] Read more.
Background/Objectives: Sickle cell disease (SCD) is caused by a β-globin gene mutation (βGlu6Val) that produces sickle hemoglobin (HbS). When deoxygenated, HbS polymerizes, leading to red blood cell (RBC) sickling; therefore, hemoglobin is a central therapeutic target for SCD. Current strategies include increasing the levels of oxygenated HbS (which cannot polymerize) and/or directly destabilizing the deoxygenated HbS polymer. This study aimed to design and synthesize next-generation Michael acceptor antisickling hemoglobin modifiers (MMA-206, MMA-207, MMA-208, and MMA-209) and evaluate their antisickling efficacy. Methods: Four Michael acceptor compounds (MMA-206 to MMA-209) were synthesized and characterized. Their pharmacologic activities and modes of action were assessed in vitro using disulfide exchange reaction with normal hemoglobin, sickling inhibition assays with sickle red blood cells, and hemoglobin oxygen equilibrium curve analysis with normal and sickle red blood cells. Results: MMA-206 exhibited the strongest antisickling activity, outperforming previously studied Michael acceptor antisickling agents. All four MMA analogues bound to hemoglobin at βCys93, destabilizing the low-oxygen-affinity T-state and thereby preventing deoxygenation-induced HbS polymerization and RBC sickling. In addition, they appeared to directly destabilize the HbS polymer, indicating a second mechanism of action. Furthermore, time-dependent oxygen equilibrium measurements confirmed that their pharmacologic effect was sustained over time in vitro. Conclusions: The new Michael acceptor compounds, particularly MMA-206, demonstrated potent antisickling effects via dual mechanisms and showed sustained activity. These findings highlight Michael acceptor compounds’ promise as hemoglobin oxygen-affinity modulators for the treatment of SCD. Full article
(This article belongs to the Section Medicinal Chemistry)
Show Figures

Figure 1

16 pages, 2749 KB  
Article
Data Checking of Asymmetric Catalysis Literature Using a Graph Neural Network Approach
by Eduardo Aguilar-Bejarano, Viraj Deorukhkar and Simon Woodward
Molecules 2025, 30(2), 355; https://doi.org/10.3390/molecules30020355 - 16 Jan 2025
Viewed by 1509
Abstract
The range of chemical databases available has dramatically increased in recent years, but the reliability and quality of their data are often negatively affected by human-error fidelity. The size of chemical databases can make manual data curation/checking of such sets time consuming; thus, [...] Read more.
The range of chemical databases available has dramatically increased in recent years, but the reliability and quality of their data are often negatively affected by human-error fidelity. The size of chemical databases can make manual data curation/checking of such sets time consuming; thus, automated tools to help this process are highly desirable. Herein, we propose the use of Graph Neural Networks (GNNs) to identifying potential stereochemical misassignments in the primary asymmetric catalysis literature. Our method relies on the use of an ensemble of GNN models to predict the expected stereoselectivity of exemplars for a particular asymmetric reaction. When the majority of these models do not correlate to the reported outcome, the point is labeled as a possible stereochemical misassignment. Such identified cases are few in number and more easily investigated for their cause. We demonstrate the use of this approach to spot potential literature stereochemical misassignments in the ketone products resulting from catalytic asymmetric 1,4-addition of organoboron nucleophiles to Michael acceptors in two different databases, each one using a different family of chiral ligands (bisphosphine and diene ligands). Our results demonstrate that this methodology is useful for curation of medium-sized databases, speeding this process significantly compared to complete manual curation/checking. In the datasets investigated, human expert checking was reduced to 2.2% and 3.5% of the total data exemplars. Full article
(This article belongs to the Special Issue Recent Advances in Transition Metal Catalysis, 2nd Edition)
Show Figures

Graphical abstract

48 pages, 13908 KB  
Review
Michael Acceptors as Anti-Cancer Compounds: Coincidence or Causality?
by Celia María Curieses Andrés, José Manuel Pérez de la Lastra, Elena Bustamante Munguira, Celia Andrés Juan and Eduardo Pérez-Lebeña
Int. J. Mol. Sci. 2024, 25(11), 6099; https://doi.org/10.3390/ijms25116099 - 1 Jun 2024
Cited by 21 | Viewed by 5006
Abstract
Michael acceptors represent a class of compounds with potential anti-cancer properties. They act by binding to nucleophilic sites in biological molecules, thereby disrupting cancer cell function and inducing cell death. This mode of action, as well as their ability to be modified and [...] Read more.
Michael acceptors represent a class of compounds with potential anti-cancer properties. They act by binding to nucleophilic sites in biological molecules, thereby disrupting cancer cell function and inducing cell death. This mode of action, as well as their ability to be modified and targeted, makes them a promising avenue for advancing cancer therapy. We are investigating the molecular mechanisms underlying Michael acceptors and their interactions with cancer cells, in particular their ability to interfere with cellular processes and induce apoptosis. The anti-cancer properties of Michael acceptors are not accidental but are due to their chemical structure and reactivity. The electrophilic nature of these compounds allows them to selectively target nucleophilic residues on disease-associated proteins, resulting in significant therapeutic benefits and minimal toxicity in various diseases. This opens up new perspectives for the development of more effective and precise cancer drugs. Nevertheless, further studies are essential to fully understand the impact of our discoveries and translate them into clinical practice. Full article
(This article belongs to the Special Issue New Trends in Biologically Active Compounds in Age-Related Diseases)
Show Figures

Figure 1

25 pages, 7871 KB  
Article
Chemoselective Synthesis and Anti-Kinetoplastidal Properties of 2,6-Diaryl-4H-tetrahydro-thiopyran-4-one S-Oxides: Their Interplay in a Cascade of Redox Reactions from Diarylideneacetones
by Thibault Gendron, Don Antoine Lanfranchi, Nicole I. Wenzel, Hripsimée Kessedjian, Beate Jannack, Louis Maes, Sandrine Cojean, Thomas J. J. Müller, Philippe M. Loiseau and Elisabeth Davioud-Charvet
Molecules 2024, 29(7), 1620; https://doi.org/10.3390/molecules29071620 - 4 Apr 2024
Cited by 2 | Viewed by 2201
Abstract
2,6-Diaryl-4H-tetrahydro-thiopyran-4-ones and corresponding sulfoxide and sulfone derivatives were designed to lower the major toxicity of their parent anti-kinetoplatidal diarylideneacetones through a prodrug effect. Novel diastereoselective methodologies were developed and generalized from diarylideneacetones and 2,6-diaryl-4H-tetrahydro-thiopyran-4-ones to allow the introduction of [...] Read more.
2,6-Diaryl-4H-tetrahydro-thiopyran-4-ones and corresponding sulfoxide and sulfone derivatives were designed to lower the major toxicity of their parent anti-kinetoplatidal diarylideneacetones through a prodrug effect. Novel diastereoselective methodologies were developed and generalized from diarylideneacetones and 2,6-diaryl-4H-tetrahydro-thiopyran-4-ones to allow the introduction of a wide substitution profile and to prepare the related S-oxides. The in vitro biological activity and selectivity of diarylideneacetones, 2,6-diaryl-4H-tetrahydro-thiopyran-4-ones, and their S-sulfoxide and sulfone metabolites were evaluated against Trypanosoma brucei brucei, Trypanosoma cruzi, and various Leishmania species in comparison with their cytotoxicity against human fibroblasts hMRC-5. The data revealed that the sulfides, sulfoxides, and sulfones, in which the Michael acceptor sites are temporarily masked, are less toxic against mammal cells while the anti-trypanosomal potency was maintained against T. b. brucei, T. cruzi, L. infantum, and L. donovani, thus confirming the validity of the prodrug strategy. The mechanism of action is proposed to be due to the involvement of diarylideneacetones in cascades of redox reactions involving the trypanothione system. After Michael addition of the dithiol to the double bonds, resulting in an elongated polymer, the latter—upon S-oxidation, followed by syn-eliminations—fragments, under continuous release of reactive oxygen species and sulfenic/sulfonic species, causing the death of the trypanosomal parasites in the micromolar or submicromolar range with high selectivity indexes. Full article
(This article belongs to the Special Issue Chemistry of Antiparasitic Drugs)
Show Figures

Figure 1

46 pages, 9361 KB  
Review
Electrophilic Compounds in the Human Diet and Their Role in the Induction of the Transcription Factor NRF2
by Celia María Curieses Andrés, José Manuel Pérez de la Lastra, Elena Bustamante Munguira, Celia Andrés Juan, Francisco J. Plou and Eduardo Pérez Lebeña
Int. J. Mol. Sci. 2024, 25(6), 3521; https://doi.org/10.3390/ijms25063521 - 20 Mar 2024
Cited by 11 | Viewed by 3672
Abstract
The phrase “Let food be thy medicine…” means that food can be a form of medicine and medicine can be a form of food; in other words, that the diet we eat can have a significant impact on our health and well-being. Today, [...] Read more.
The phrase “Let food be thy medicine…” means that food can be a form of medicine and medicine can be a form of food; in other words, that the diet we eat can have a significant impact on our health and well-being. Today, this phrase is gaining prominence as more and more scientific evidence suggests that one’s diet can help prevent and treat disease. A diet rich in fruits, vegetables, whole grains, and lean protein can help reduce the risk of heart disease, cancer, diabetes, and other health problems and, on the other hand, a diet rich in processed foods, added sugars, and saturated fats can increase the risk of the same diseases. Electrophilic compounds in the diet can have a significant impact on our health, and they are molecules that covalently modify cysteine residues present in the thiol-rich Keap1 protein. These compounds bind to Keap1 and activate NRF2, which promotes its translocation to the nucleus and its binding to DNA in the ARE region, triggering the antioxidant response and protecting against oxidative stress. These compounds include polyphenols and flavonoids that are nucleophilic but are converted to electrophilic quinones by metabolic enzymes such as polyphenol oxidases (PPOs) and sulfur compounds present in foods such as the Brassica genus (broccoli, cauliflower, cabbage, Brussel sprouts, etc.) and garlic. This review summarizes our current knowledge on this subject. Full article
(This article belongs to the Special Issue Natural Products and Synthetic Compounds for Drug Development)
Show Figures

Figure 1

19 pages, 3618 KB  
Article
Rapeseed Oil as Feedstock for Bio-Based Thermoset Foams Obtained via Michael Addition Reaction
by Mikelis Kirpluks, Arnis Abolins, Darta Eihe, Ralfs Pomilovskis and Anda Fridrihsone
Polymers 2024, 16(1), 117; https://doi.org/10.3390/polym16010117 - 29 Dec 2023
Cited by 5 | Viewed by 1877
Abstract
Rapeseed oil was used to develop thermoset foams via Michael addition reaction by mixing two liquid components, Michael donor and Michael acceptor. The foaming of the curing thermoset was achieved by the physical blowing agent which expanded from the reacting foam mass due [...] Read more.
Rapeseed oil was used to develop thermoset foams via Michael addition reaction by mixing two liquid components, Michael donor and Michael acceptor. The foaming of the curing thermoset was achieved by the physical blowing agent which expanded from the reacting foam mass due to an exothermic curing reaction. The influence of the rapeseed oil-based Michael donor functionality on the foaming process and the characteristics of the obtained thermoset foams was studied. The 1,1,3,3-tetramethylguanidine catalyst’s influence on the foaming process kinetics was studied using FOAMAT equipment. The curing of the bio-based thermoset was analysed using a dielectric polarisation sensor. The morphology of the developed thermoset foam was analysed using a scanning electron microscope and the obtained foams were characterized using TGA, DSC, DMA and mechanical analysis tests. A direct correlation between the thermoset foam polymer crosslinking density and foaming reactivity, mechanical properties and glass transition temperature were determined. Obtained rapeseed oil based thermoset foams had a relatively low thermal conductivity of 33.9–35.4 mW/(m·K) which allows their use as thermal insulation material in civil engineering applications. Full article
(This article belongs to the Special Issue Recent Advances in Polyurethane Materials)
Show Figures

Figure 1

19 pages, 7282 KB  
Article
Synthesis and Biological Evaluation of Chalconesulfonamides: En Route to Proapoptotic Agents with Antiestrogenic Potency
by Stepan K. Krymov, Diana I. Salnikova, Lyubov G. Dezhenkova, Fedor B. Bogdanov, Alexander A. Korlyukov, Alexander M. Scherbakov and Andrey E. Shchekotikhin
Pharmaceuticals 2024, 17(1), 32; https://doi.org/10.3390/ph17010032 - 25 Dec 2023
Cited by 3 | Viewed by 1903
Abstract
Breast and other estrogen receptor α-positive cancers tend to develop resistance to existing drugs. Chalcone derivatives possess anticancer activity based on their ability to form covalent bonds with targets acting as Michael acceptors. This study aimed to evaluate the anticancer properties of a [...] Read more.
Breast and other estrogen receptor α-positive cancers tend to develop resistance to existing drugs. Chalcone derivatives possess anticancer activity based on their ability to form covalent bonds with targets acting as Michael acceptors. This study aimed to evaluate the anticancer properties of a series of chalcones (7al) with a sulfonamide group attached to the vinyl ketone moiety. Chalconesulfonamides showed a potent antiproliferative effect at low micromolar concentrations against several cancer cell lines, including ERα-positive 4-hydroxytamoxifen-resistant MCF7/HT2. Immunoblotting of samples treated with the lead compound 7e revealed its potent antiestrogenic activity (ERα/GREB1 axis) and induction of PARP cleavage (an apoptosis marker) in breast cancer cells. The obtained compounds represent a promising basis for further development of targeted drugs blocking hormone pathways in cancer cells. Full article
Show Figures

Graphical abstract

21 pages, 4662 KB  
Article
Regioselective and Stereoselective Synthesis of Parthenolide Analogs by Acyl Nitroso-Ene Reaction and Their Biological Evaluation against Mycobacterium tuberculosis
by Bruna Gioia, Francesca Ruggieri, Alexandre Biela, Valérie Landry, Pascal Roussel, Catherine Piveteau, Florence Leroux, Ruben C. Hartkoorn and Nicolas Willand
Int. J. Mol. Sci. 2023, 24(24), 17395; https://doi.org/10.3390/ijms242417395 - 12 Dec 2023
Cited by 1 | Viewed by 2016
Abstract
Historically, natural products have played a major role in the development of antibiotics. Their complex chemical structures and high polarity give them advantages in the drug discovery process. In the broad range of natural products, sesquiterpene lactones are interesting compounds because of their [...] Read more.
Historically, natural products have played a major role in the development of antibiotics. Their complex chemical structures and high polarity give them advantages in the drug discovery process. In the broad range of natural products, sesquiterpene lactones are interesting compounds because of their diverse biological activities, their high-polarity, and sp3-carbon-rich chemical structures. Parthenolide (PTL) is a natural compound isolated from Tanacetum parthenium, of the family of germacranolide-type sesquiterpene lactones. In recent years, parthenolide has been studied for its anti-inflammatory, antimigraine, and anticancer properties. Recently, PTL has shown antibacterial activities, especially against Gram-positive bacteria. However, few studies are available on the potential antitubercular activities of parthenolide and its analogs. It has been demonstrated that parthenolide’s biological effects are linked to the reactivity of α-exo-methylene-γ-butyrolactone, which reacts with cysteine in targeted proteins via a Michael addition. In this work, we describe the ene reaction of acylnitroso intermediates with parthenolide leading to the regioselective and stereoselective synthesis of new derivatives and their biological evaluation. The addition of hydroxycarbamates and hydroxyureas led to original analogs with higher polarity and solubility than parthenolide. Through this synthetic route, the Michael acceptor motif was preserved and is thus believed to be involved in the selective activity against Mycobacterium tuberculosis. Full article
(This article belongs to the Special Issue Current Research in Antimicrobial Natural Products)
Show Figures

Figure 1

10 pages, 993 KB  
Article
May 1,2-Dithiolane-4-carboxylic Acid and Its Derivatives Serve as a Specific Thioredoxin Reductase 1 Inhibitor?
by Anna Nikitjuka, Kristaps Krims-Davis, Iveta Kaņepe-Lapsa, Melita Ozola and Raivis Žalubovskis
Molecules 2023, 28(18), 6647; https://doi.org/10.3390/molecules28186647 - 15 Sep 2023
Cited by 1 | Viewed by 1948
Abstract
Thioredoxin reductase is an essential enzyme that plays a crucial role in maintaining cellular redox homeostasis by catalyzing the reduction of thioredoxin, which is involved in several vital cellular processes. The overexpression of TrxR is often associated with cancer development. A series of [...] Read more.
Thioredoxin reductase is an essential enzyme that plays a crucial role in maintaining cellular redox homeostasis by catalyzing the reduction of thioredoxin, which is involved in several vital cellular processes. The overexpression of TrxR is often associated with cancer development. A series of 1,2-dithiolane-4-carboxylic acid analogs were obtained to verify the selectivity of 1,2-dithiolane moiety toward TrxR. Asparagusic acid analogs and their bioisoters remain inactive toward TrxR, which proves the inability of the 1,2-dithiolane moiety to serve as a pharmacophore during the interaction with TrxR. It was found that the Michael acceptor functionality-containing analogs exhibit higher inhibitory effects against TrxR compared to other compounds of the series. The most potent representatives exhibited micromolar TrxR1 inhibition activity (IC50 varied from 5.3 to 186.0 μM) and were further examined with in vitro cell-based assays to assess the cytotoxic effects on various cancer cell lines and cell death mechanisms. Full article
(This article belongs to the Special Issue Design, Synthesis and Evaluation of Novel Anticancer Agents)
Show Figures

Graphical abstract

17 pages, 1880 KB  
Article
Synthesis of Benzocycloalkanone-Based Michael Acceptors and Biological Activities as Antimalarial and Antitrypanosomal Agents
by Ali Mijoba, Esteban Fernandez-Moreira, Nereida Parra-Giménez, Sandra Espinosa-Tapia, Zuleyma Blanco, Hegira Ramírez and Jaime E. Charris
Molecules 2023, 28(14), 5569; https://doi.org/10.3390/molecules28145569 - 21 Jul 2023
Cited by 7 | Viewed by 1727
Abstract
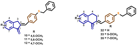
A series of benzocycloalkanone derivatives have been prepared and evaluated as antimalarial and antitrypanosomal agents. The compounds were obtained by direct coupling of preformed 4-substituted benzaldehyde and indanone or tetralone substitutes through aldol condensation of Claisen-Schmidt using sodium hydroxide as a catalyst in [...] Read more.
A series of benzocycloalkanone derivatives have been prepared and evaluated as antimalarial and antitrypanosomal agents. The compounds were obtained by direct coupling of preformed 4-substituted benzaldehyde and indanone or tetralone substitutes through aldol condensation of Claisen-Schmidt using sodium hydroxide as a catalyst in ethanol at room temperature. Although designed to inhibit the formation of β-hematin in vitro, only three compounds, 10, 11, and 12, showed activities greater than 50% (75.16%, 63.02%, and 56.17%, respectively). The results of the in vivo antimalarial evaluation show that 10, 11, and 12 reduced parasitemia marginally, and an insignificant increase in the days of survival of the mice was observed. As trypanocidals, all compounds showed marginal activity as inhibitors of the proliferation of T. cruzi epimastigotes, except compound 33, with an activity of 51.08 ± 3.4% compared to the activity shown by the reference compound benznidazole 59.99 ± 2.9%. The compounds appear to have little cytotoxic effect against VERO cells in vitro; this new class of Michael acceptor agents clearly warrants further investigation. Full article
(This article belongs to the Section Medicinal Chemistry)
Show Figures

Figure 1

17 pages, 2230 KB  
Article
New 3-Aminopropylsilatrane Derivatives: Synthesis, Structure, Properties, and Biological Activity
by Sergey N. Adamovich, Igor A. Ushakov, Elizaveta N. Oborina, Svetlana V. Lukyanova and Vladislav Y. Komarov
Int. J. Mol. Sci. 2023, 24(12), 9965; https://doi.org/10.3390/ijms24129965 - 9 Jun 2023
Cited by 5 | Viewed by 2180
Abstract
The biologically active compound 3-aminopropylsilatrane (a compound with a pentacoordinated silicon atom) underwent an aza-Michael reaction with various acrylates and other Michael acceptors. Depending on the molar ratio, the reaction yielded Michael mono- or diadducts (11 examples) containing functional groups (silatranyl, carbonyl, nitrile, [...] Read more.
The biologically active compound 3-aminopropylsilatrane (a compound with a pentacoordinated silicon atom) underwent an aza-Michael reaction with various acrylates and other Michael acceptors. Depending on the molar ratio, the reaction yielded Michael mono- or diadducts (11 examples) containing functional groups (silatranyl, carbonyl, nitrile, amino, etc.). These compounds were characterized via IR and NMR spectroscopy, mass spectrometry, X-ray diffraction, and elemental analysis. Calculations (using in silico, PASS, and SwissADMET online software) revealed that the functionalized (hybrid) silatranes were bioavailable, druglike compounds that exhibited pronounced antineoplastic and macrophage-colony-stimulating activity. The in vitro effect of silatranes on the growth of pathogenic bacteria (Listeria, Staphylococcus, and Yersinia) was studied. It was found that the synthesized compounds exerted inhibitory and stimulating effects in high and low concentrations, respectively. Full article
Show Figures

Graphical abstract

11 pages, 1656 KB  
Article
Thia-Michael Reaction under Heterogeneous Catalysis
by Giovanna Bosica, Roderick Abdilla and Alessio Petrellini
Organics 2023, 4(1), 86-96; https://doi.org/10.3390/org4010007 - 21 Feb 2023
Cited by 2 | Viewed by 3920
Abstract
Thia-Michael reactions between aliphatic and aromatic thiols and various Michael acceptors were performed under environmentally-friendly solvent-free conditions using Amberlyst® A21 as a recyclable heterogeneous catalyst to efficiently obtain the corresponding adducts in high yields. Ethyl acrylate was the main acceptor used, although [...] Read more.
Thia-Michael reactions between aliphatic and aromatic thiols and various Michael acceptors were performed under environmentally-friendly solvent-free conditions using Amberlyst® A21 as a recyclable heterogeneous catalyst to efficiently obtain the corresponding adducts in high yields. Ethyl acrylate was the main acceptor used, although others such as acrylamide, linear, and cyclic enones were also utilized successfully. Bifunctional Michael donor, 3-mercaptopropanoic acid, positively furnished the product, albeit in a lower yield and after leaving the reaction to take place for a longer time. The catalyst was easy and safe to handle and successfully recycled for five consecutive cycles. Full article
(This article belongs to the Collection Advanced Research Papers in Organics)
Show Figures

Graphical abstract

13 pages, 1721 KB  
Article
Synthesis, Characterization, and Biological Evaluation of Meldrum’s Acid Derivatives: Dual Activity and Molecular Docking Study
by Syed Nasir Abbas Bukhari, Mohamed Abdelwahab Abdelgawad, Naveed Ahmed, Muhammad Wahab Amjad, Muhammad Ajaz Hussain, Mervat A. Elsherif, Hasan Ejaz, Nasser H. Alotaibi, Ignjat Filipović and Nenad Janković
Pharmaceuticals 2023, 16(2), 281; https://doi.org/10.3390/ph16020281 - 13 Feb 2023
Cited by 7 | Viewed by 3510
Abstract
In the presented study, eight novel Meldrum’s acid derivatives containing various vanillic groups were synthesized. Vanillidene Meldrum’s acid compounds were tested against different cancer cell lines and microbes. Out of nine, three showed very good biological activity against E. coli, and HeLa [...] Read more.
In the presented study, eight novel Meldrum’s acid derivatives containing various vanillic groups were synthesized. Vanillidene Meldrum’s acid compounds were tested against different cancer cell lines and microbes. Out of nine, three showed very good biological activity against E. coli, and HeLa and A549 cell lines. It is shown that the O-alkyl substituted derivatives possessed better antimicrobial and anticancer activities in comparison with the O-acyl ones. The decyl substituted molecule (3i) has the highest activity against E. coli (MIC = 12.4 μM) and cancer cell lines (HeLa, A549, and LS174 = 15.7, 21.8, and 30.5 μM, respectively). The selectivity index of 3i is 4.8 (HeLa). The molecular docking study indicates that compound 3i showed good binding affinity to DNA, E. coli Gyrase B, and topoisomerase II beta. The covalent docking showed that 3i was a Michael acceptor for the nucleophiles Lys and Ser. The best Eb was noted for the topoisomerase II beta-LYS482-3i cluster. Full article
(This article belongs to the Special Issue Topoisomerases as Targets for Novel Drug Discovery)
Show Figures

Figure 1

Back to TopTop